Strengths and Weaknesses of Cell Synchronization Protocols Based on Inhibition of DNA Synthesis
Abstract
1. Introduction
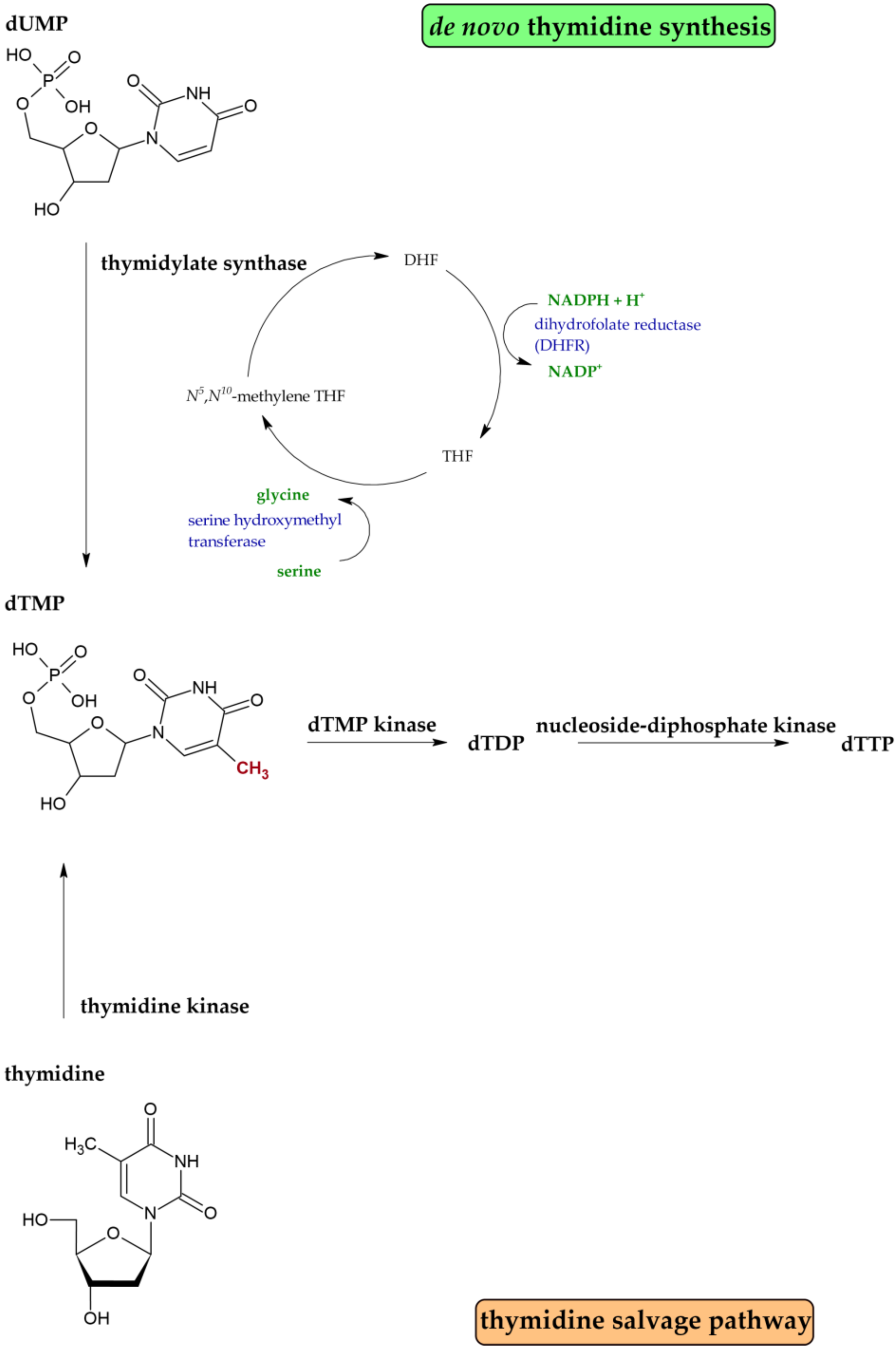
2. Metabolism of DNA Precursors
3. Targeting the Deoxynucleotide Metabolism and Its Use for Cell Synchronization
3.1. Thymidine
3.2. Hydroxyurea
3.3. Aminopterin and Methotrexate
3.4. 5-Fluorodeoxyuridine
3.5. Aphidicolin
3.6. Mimosine
4. Effects of Synchronization on Cellular Metabolism
5. Methods Overview
Author Contributions
Funding
Institutional Review Board Statement
Informed Consent Statement
Data Availability Statement
Conflicts of Interest
References
- Cooper, G.M. The Eukaryotic Cell Cycle. In The Cell: A Molecular Approach, 2nd ed.; Sinauer Associates: Sunderland, MA, USA, 2000. [Google Scholar]
- Alberts, B.; Johnson, A.; Lewis, J.; Raff, M.; Roberts, K.; Walter, P. The Mechanics of Cell Division. In Molecular Biology of the Cell, 6th ed.; Garland Science: New York, NY, USA, 2002; pp. 1027–1062. [Google Scholar]
- Malumbres, M.; Barbacid, M. Cell Cycle, CDKs and Cancer: A Changing Paradigm. Nat. Rev. Cancer 2009, 9, 153–166. [Google Scholar] [CrossRef]
- Bower, J.J.; Vance, L.D.; Psioda, M.; Smith-Roe, S.L.; Simpson, D.A.; Ibrahim, J.G.; Hoadley, K.A.; Perou, C.M.; Kaufmann, W.K. Patterns of Cell Cycle Checkpoint Deregulation Associated with Intrinsic Molecular Subtypes of Human Breast Cancer Cells. NPJ Breast Cancer 2017, 3, 9. [Google Scholar] [CrossRef] [PubMed]
- Pardee, A.B. G1 Events and Regulation of Cell Proliferation. Science 1989, 246, 603–608. [Google Scholar] [CrossRef]
- Harashima, H.; Dissmeyer, N.; Schnittger, A. Cell Cycle Control Across the Eukaryotic Kingdom. Trends Cell Biol. 2013, 23, 345–356. [Google Scholar] [CrossRef] [PubMed]
- Lane, A.N.; Fan, T.W. Regulation of Mammalian Nucleotide Metabolism and Biosynthesis. Nucleic Acids Res. 2015, 43, 2466–2485. [Google Scholar] [CrossRef]
- Reichard, P. Ribonucleotide Reductases: The Evolution of Allosteric Regulation. Arch. Biochem. Biophys. 2002, 397, 149–155. [Google Scholar] [CrossRef]
- Jordan, A.; Reichard, P. Ribonucleotide Reductases. Annu. Rev. Biochem. 1998, 67, 71–98. [Google Scholar] [CrossRef]
- Nordlund, P.; Reichard, P. Ribonucleotide Reductases. Annu. Rev. Biochem. 2006, 75, 681–706. [Google Scholar] [CrossRef] [PubMed]
- DeGregori, J.; Kowalik, T.; Nevins, J.R. Cellular Targets for Activation by the E2F1 Transcription Factor Include DNA Synthesis- and G1/S-Regulatory Genes. Mol. Cell. Biol. 1995, 15, 4215–4224. [Google Scholar] [CrossRef]
- Chabes, A.L.; Pfleger, C.M.; Kirschner, M.W.; Thelander, L. Mouse Ribonucleotide Reductase R2 Protein: A New Target for Anaphase-Promoting Complex-Cdh1-Mediated Proteolysis. Proc. Natl. Acad. Sci. USA 2003, 100, 3925–3929. [Google Scholar] [CrossRef]
- Chabes, A.; Thelander, L. Controlled Protein Degradation Regulates Ribonucleotide Reductase Activity in Proliferating Mammalian Cells during the Normal Cell Cycle and in Response to DNA Damage and Replication Blocks. J. Biol. Chem. 2000, 275, 17747–17753. [Google Scholar] [CrossRef]
- Pontarin, G.; Ferraro, P.; Bee, L.; Reichard, P.; Bianchi, V. Mammalian Ribonucleotide Reductase Subunit p53R2 is Required for Mitochondrial DNA Replication and DNA Repair in Quiescent Cells. Proc. Natl. Acad. Sci. USA 2012, 109, 13302–13307. [Google Scholar] [CrossRef]
- Tanaka, H.; Arakawa, H.; Yamaguchi, T.; Shiraishi, K.; Fukuda, S.; Matsui, K.; Takei, Y.; Nakamura, Y. A Ribonucleotide Reductase Gene Involved in a p53-Dependent Cell-Cycle Checkpoint for DNA Damage. Nature 2000, 404, 42–49. [Google Scholar] [CrossRef] [PubMed]
- Guittet, O.; Hakansson, P.; Voevodskaya, N.; Fridd, S.; Graslund, A.; Arakawa, H.; Nakamura, Y.; Thelander, L. Mammalian p53R2 Protein Forms an Active Ribonucleotide Reductase In Vitro with the R1 Protein, Which is Expressed Both in Resting Cells in Response to DNA Damage and in Proliferating Cells. J. Biol. Chem. 2001, 276, 40647–40651. [Google Scholar] [CrossRef] [PubMed]
- Bourdon, A.; Minai, L.; Serre, V.; Jais, J.P.; Sarzi, E.; Aubert, S.; Chretien, D.; de Lonlay, P.; Paquis-Flucklinger, V.; Arakawa, H.; et al. Mutation of RRM2B, Encoding p53-Controlled Ribonucleotide Reductase (p53R2), Causes Severe Mitochondrial DNA Depletion. Nat. Genet. 2007, 39, 776–780. [Google Scholar] [CrossRef]
- Lim, A.Z.; McFarland, R.; Taylor, R.W.; Gorman, G.S. RRM2B Mitochondrial DNA Maintenance Defects. In GeneReviews ((R)); Adam, M.P., Ardinger, H.H., Pagon, R.A., Wallace, S.E., Bean, L.J.H., Mirzaa, G., Amemiya, A., Eds.; University of Washington: Seattle, WA, USA, 1993–2021. [Google Scholar]
- Thelander, L.; Reichard, P. Reduction of Ribonucleotides. Annu. Rev. Biochem. 1979, 48, 133–158. [Google Scholar] [CrossRef] [PubMed]
- Ahmad, M.F.; Dealwis, C.G. The Structural Basis for the Allosteric Regulation of Ribonucleotide Reductase. Prog. Mol. Biol. Transl. Sci. 2013, 117, 389–410. [Google Scholar] [CrossRef]
- Hofer, A.; Crona, M.; Logan, D.T.; Sjoberg, B.M. DNA Building Blocks: Keeping Control of Manufacture. Crit. Rev. Biochem. Mol. Biol. 2012, 47, 50–63. [Google Scholar] [CrossRef]
- Brown, N.C.; Canellakis, Z.N.; Lundin, B.; Reichard, P.; Thelander, L. Ribonucleoside Diphosphate Reductase. Purification of the Two Subunits, Proteins B1 and B2. Eur. J. Biochem. 1969, 9, 561–573. [Google Scholar] [CrossRef]
- Brown, N.C.; Reichard, P. Role of Effector Binding in Allosteric Control of Ribonucleoside Diphosphate Reductase. J. Mol. Biol. 1969, 46, 39–55. [Google Scholar] [CrossRef]
- Reichard, P.; Eliasson, R.; Ingemarson, R.; Thelander, L. Cross-Talk between the Allosteric Effector-Binding Sites in Mouse Ribonucleotide Reductase. J. Biol. Chem. 2000, 275, 33021–33026. [Google Scholar] [CrossRef]
- Xu, H.; Faber, C.; Uchiki, T.; Fairman, J.W.; Racca, J.; Dealwis, C. Structures of Eukaryotic Ribonucleotide Reductase I Provide Insights into dNTP Regulation. Proc. Natl. Acad. Sci. USA 2006, 103, 4022–4027. [Google Scholar] [CrossRef]
- Chimploy, K.; Mathews, C.K. Mouse Ribonucleotide Reductase Control: Influence of Substrate Binding upon Interactions with Allosteric Effectors. J. Biol. Chem. 2001, 276, 7093–7100. [Google Scholar] [CrossRef]
- Ray, N.B.; Mathews, C.K. Nucleoside Diphosphokinase: A Functional Link between Intermediary Metabolism and Nucleic Acid Synthesis. Curr. Top. Cell. Regul. 1992, 33, 343–357. [Google Scholar] [CrossRef]
- Nyiri, K.; Mertens, H.D.T.; Tihanyi, B.; Nagy, G.N.; Kohegyi, B.; Matejka, J.; Harris, M.J.; Szabo, J.E.; Papp-Kadar, V.; Nemeth-Pongracz, V.; et al. Structural Model of Human dUTPase in Complex with a Novel Proteinaceous Inhibitor. Sci. Rep. 2018, 8, 4326. [Google Scholar] [CrossRef]
- Rose, M.G.; Farrell, M.P.; Schmitz, J.C. Thymidylate Synthase: A Critical Target for Cancer Chemotherapy. Clin. Colorectal Cancer 2002, 1, 220–229. [Google Scholar] [CrossRef] [PubMed]
- Anderson, D.D.; Stover, P.J. SHMT1 and SHMT2 are Functionally Redundant in Nuclear de Novo Thymidylate Biosynthesis. PLoS ONE 2009, 4, e5839. [Google Scholar] [CrossRef] [PubMed]
- Okesli, A.; Khosla, C.; Bassik, M.C. Human Pyrimidine Nucleotide Biosynthesis as a Target for Antiviral Chemotherapy. Curr. Opin. Biotech. 2017, 48, 127–134. [Google Scholar] [CrossRef] [PubMed]
- Matsuda, S.; Kasahara, T. Simultaneous and Absolute Quantification of Nucleoside Triphosphates Using Liquid Chromatography-Triple Quadrupole Tandem Mass Spectrometry. Genes Environ. 2018, 40, 13. [Google Scholar] [CrossRef]
- Engstrom, J.U.; Kmiec, E.B. DNA Replication, Cell Cycle Progression and the Targeted Gene Repair Reaction. Cell Cycle 2008, 7, 1402–1414. [Google Scholar] [CrossRef]
- Chen, G.; Deng, X. Cell Synchronization by Double Thymidine Block. Bio Protoc. 2018, 8. [Google Scholar] [CrossRef]
- Bjursell, G.; Reichard, P. Effects of Thymidine on Deoxyribonucleoside Triphosphate Pools and Deoxyribonucleic Acid Synthesis in Chinese Hamster Ovary Cells. J. Biol. Chem. 1973, 248, 3904–3909. [Google Scholar] [CrossRef]
- Morris, N.R.; Fischer, G.A. Studies Concerning Inhibition of the Synthesis of Deoxycytidine by Phosphorylated Derivatives of Thymidine. Biochim. Biophys. Acta 1960, 42, 183–184. [Google Scholar] [CrossRef]
- Skoog, L.; Bjursell, G. Nuclear and Cytoplasmic Pools of Deoxyribonucleoside Triphosphates in Chinese Hamster Ovary Cells. J. Biol. Chem. 1974, 249, 6434–6438. [Google Scholar] [CrossRef]
- Adams, R.L.P.; Berryman, S.; Thomson, A. Deoxyribonucleoside Triphosphate Pools in Synchronized and Drug-Inhibited L929 Cells. Biochim. Biophys. Acta 1971, 240, 455–462. [Google Scholar] [CrossRef]
- Ligasova, A.; Raska, I.; Koberna, K. Organization of Human Replicon: Singles or Zipping Couples? J. Struct. Biol. 2009, 165, 204–213. [Google Scholar] [CrossRef]
- Ma, H.T.; Poon, R.Y. Synchronization of HeLa Cells. Methods Mol. Biol. 2011, 761, 151–161. [Google Scholar] [CrossRef]
- Dresler, W.F.C.; Stein, R. Ueber den Hydroxylharnstoff. Justus Liebigs Annalen der Chemie 1869, 150, 242–252. [Google Scholar] [CrossRef]
- Singh, A.; Xu, Y.J. The Cell Killing Mechanisms of Hydroxyurea. Genes 2016, 7, 99. [Google Scholar] [CrossRef]
- Skoog, L.; Nordenskjold, B. Effects of Hydroxyurea and 1-Beta-D-Arabinofuranosyl-Cytosine on Deoxyribonucleotide Pools in Mouse Embryo Cells. Eur. J. Biochem. 1971, 19, 81–89. [Google Scholar] [CrossRef]
- Tyrsted, G. Effect of Hydroxyurea and 5-Fluorodeoxy-Uridine on Deoxyribonucleoside Triphosphate Pools Early in Phytohemagglutinin-Stimulated Human-Lymphocytes. Biochem. Pharmacol. 1982, 31, 3107–3113. [Google Scholar] [CrossRef]
- Koc, A.; Wheeler, L.J.; Mathews, C.K.; Merrill, G.F. Hydroxyurea Arrests DNA Replication by a Mechanism that Preserves Basal dNTP Pools. J. Biol. Chem. 2004, 279, 223–230. [Google Scholar] [CrossRef]
- Tobey, R.A.; Crissman, H.A. Preparation of Large Quantities of Synchronized Mammalian Cells in Late G1 in the Pre-DNA Replicative Phase of the Cell Cycle. Exp. Cell Res. 1972, 75, 460–464. [Google Scholar] [CrossRef]
- Enger, M.D.; Tobey, R.A. Effects of Isoleucine Deficiency on Nucleic Acid and Protein Metabolism in Cultured Chinese Hamster Cells. Continued Ribonucleic Acid and Protein Synthesis in the Absence of Deoxyribonucleic Acid Synthesis. Biochemistry 1972, 11, 269–277. [Google Scholar] [CrossRef]
- Raska, I.; Koberna, K.; Jarnik, M.; Petrasovicova, V.; Bednar, J.; Raska, K., Jr.; Bravo, R. Ultrastructural Immunolocalization of Cyclin/PCNA in Synchronized 3T3 Cells. Exp. Cell. Res. 1989, 184, 81–89. [Google Scholar] [CrossRef]
- Walker, M.M.; Wanda, P.E. Immunochemical Detection of Cell Cycle Synchronization in a Human Erythroleukemia Cell Line, K562. J. Histochem. Cytochem. 1987, 35, 1143–1148. [Google Scholar] [CrossRef] [PubMed]
- Cronstein, B.N.; Aune, T.M. Methotrexate and its Mechanisms of Action in Inflammatory Arthritis. Nat. Rev. Rheumatol. 2020, 16, 145–154. [Google Scholar] [CrossRef]
- Raimondi, M.V.; Randazzo, O.; La Franca, M.; Barone, G.; Vignoni, E.; Rossi, D.; Collina, S. DHFR Inhibitors: Reading the Past for Discovering Novel Anticancer Agents. Molecules 2019, 24, 1140. [Google Scholar] [CrossRef]
- Avendano, C.; Menendez, J.C. Antimetabolites That Interfere with Nucleic Acid Biosynthesis. In Medicinal Chemistry of Anticancer Drugs, 2nd ed.; Avendano, C., Menendez, J.C., Eds.; Elsevier: Amsterdam, The Netherlands, 2015; pp. 23–79. [Google Scholar] [CrossRef]
- Liew, S.C. Folic Acid and Diseases—Supplement It or Not? Rev. Assoc. Med. Bras. 2016, 62, 90–100. [Google Scholar] [CrossRef] [PubMed]
- Cylwik, B.; Chrostek, L. Interactions between Alcohol and Folate. In Molecular Aspects of Alcohol and Nutrition; Patel, V.B., Ed.; Academic Press: San Diego, CA, USA, 2016; Chapter 13; pp. 157–169. [Google Scholar] [CrossRef]
- Ducker, G.S.; Rabinowitz, J.D. One-Carbon Metabolism in Health and Disease. Cell Metab. 2017, 25, 27–42. [Google Scholar] [CrossRef]
- Adams, R.L.P. Cell Synchronisation. In Laboratory Techniques in Biochemistry and Molecular Biology; Work, T.S., Burdon, R.H., Eds.; Elsevier: Amsterdam, The Netherlands, 1980; Volume 8, pp. 211–238. [Google Scholar]
- McBurney, M.W.; Whitmore, G.F. Mechanism of Growth Inhibition by Methotrexate. Cancer Res. 1975, 35, 586–590. [Google Scholar]
- Adams, R.L. The Effect of Endogenous Pools of Thymidylate on the Apparent Rate of DNA Synthesis. Exp. Cell Res. 1969, 56, 55–58. [Google Scholar] [CrossRef]
- Lindsay, J.G.; Berryman, S.; Adams, R.L. Characteristics of Deoxyribonucleic acid Polymerase Activity in Nuclear and Supernatant Fractions of Cultured Mouse Cells. Biochem. J. 1970, 119, 839–848. [Google Scholar] [CrossRef]
- Yunis, J.J. High Resolution of Human Chromosomes. Science 1976, 191, 1268–1270. [Google Scholar] [CrossRef]
- Rueckert, R.R.; Mueller, G.C. Studies on Unbalanced Growth in Tissue Culture. I. induction and Consequences of Thymidine Deficiency. Cancer Res. 1960, 20, 1584–1591. [Google Scholar] [PubMed]
- Kozminski, P.; Halik, P.K.; Chesori, R.; Gniazdowska, E. Overview of Dual-Acting Drug Methotrexate in Different Neurological Diseases, Autoimmune Pathologies and Cancers. Int. J. Mol. Sci. 2020, 21, 3483. [Google Scholar] [CrossRef]
- Rossana, C.; Gollakota Rao, L.; Johnson, L.F. Thymidylate Synthetase Overproduction in 5-Fluorodeoxyuridine-Resistant Mouse Fibroblasts. Mol. Cell. Biol. 1982, 2, 1118–1125. [Google Scholar] [CrossRef] [PubMed]
- Grogan, B.C.; Parker, J.B.; Guminski, A.F.; Stivers, J.T. Effect of the Thymidylate Synthase Inhibitors on dUTP and TTP Pool Levels and the Activities of DNA Repair Glycosylases on Uracil and 5-Fluorouracil in DNA. Biochemistry 2011, 50, 618–627. [Google Scholar] [CrossRef] [PubMed]
- Yan, Y.; Han, X.Z.; Qing, Y.L.; Condie, A.G.; Gorityala, S.; Yang, S.M.; Xu, Y.; Zhang, Y.W.; Gerson, S.L. Inhibition of Uracil DNA Glycosylase Sensitizes Cancer Cells to 5-Fluorodeoxyuridine through Replication Fork Collapse-Induced DNA Damage. Oncotarget 2016, 7, 59299–59313. [Google Scholar] [CrossRef]
- Webber, L.M.; Garson, O.M. Fluorodeoxyuridine Synchronization of Bone Marrow Cultures. Cancer Genet. Cytogenet. 1983, 8, 123–132. [Google Scholar] [CrossRef]
- Longley, D.B.; Harkin, D.P.; Johnston, P.G. 5-Fluorouracil: Mechanisms of Action and Clinical Strategies. Nat. Rev. Cancer 2003, 3, 330–338. [Google Scholar] [CrossRef] [PubMed]
- Malet-Martino, M.; Martino, R. Clinical Studies of Three Oral Prodrugs of 5-Fluorouracil (Capecitabine, UFT, S-1): A Review. Oncologist 2002, 7, 288–323. [Google Scholar] [CrossRef] [PubMed]
- Power, D.G.; Kemeny, N.E. The Role of Floxuridine in Metastatic Liver Disease. Mol. Cancer Ther. 2009, 8, 1015–1025. [Google Scholar] [CrossRef] [PubMed]
- Brundret, K.M.; Dalziel, W.; Hesp, B.; Jarvis, J.A.J.; Neidle, S. X-Ray Crystallographic Determination of the Structure of the Antibiotic Aphidicolin: A Tetracyclic Diterpenoid Containing a New Ring System. J. Chem. Soc. Chem. Commun. 1972, 18, 1027–1028. [Google Scholar] [CrossRef]
- Ikegami, S.; Taguchi, T.; Ohashi, M.; Oguro, M.; Nagano, H.; Mano, Y. Aphidicolin Prevents Mitotic Cell Division by Interfering with the Activity of DNA Polymerase-Alpha. Nature 1978, 275, 458–460. [Google Scholar] [CrossRef]
- Pedrali-Noy, G.; Spadari, S.; Miller-Faures, A.; Miller, A.O.; Kruppa, J.; Koch, G. Synchronization of HeLa Cell Cultures by Inhibition of DNA Polymerase Alpha with Aphidicolin. Nucleic Acids Res. 1980, 8, 377–387. [Google Scholar] [CrossRef]
- Matherly, L.H.; Schuetz, J.D.; Westin, E.; Goldman, I.D. A Method for the Synchronization of Cultured-Cells with Aphidicolin -Application to the Large-Scale Synchronization of L1210 Cells and the Study of the Cell-Cycle Regulation of Thymidylate Synthase and Dihydrofolate-Reductase. Anal. Biochem. 1989, 182, 338–345. [Google Scholar] [CrossRef]
- Fox, M.H.; Read, R.A.; Bedford, J.S. Comparison of Synchronized Chinese-Hamster Ovary Cells Obtained by Mitotic Shake-Off, Hydroxyurea, Aphidicolin, or Methotrexate. Cytometry 1987, 8, 315–320. [Google Scholar] [CrossRef]
- Kim, J.K.; Esteve, P.O.; Jacobsen, S.E.; Pradhan, S. UHRF1 Binds G9a and Participates in p21 Transcriptional Regulation in Mammalian Cells. Nucleic Acids Res. 2009, 37, 493–505. [Google Scholar] [CrossRef]
- Gilbert, D.M.; Neilson, A.; Miyazawa, H.; Depamphilis, M.L.; Burhans, W.C. Mimosine Arrests DNA-Synthesis at Replication Forks by Inhibiting Deoxyribonucleotide Metabolism. J. Biol. Chem. 1995, 270, 9597–9606. [Google Scholar] [CrossRef]
- Dai, Y.M.; Gold, B.; Vishwanatha, J.K.; Rhode, S.L. Mimosine Inhibits Viral-DNA Synthesis through Ribonucleotide Reductase. Virology 1994, 205, 210–216. [Google Scholar] [CrossRef]
- Mosca, P.J.; Dijkwel, P.A.; Hamlin, J.L. The Plant Amino-Acid Mimosine May Inhibit Initiation at Origins of Replication in Chinese-Hamster Cells. Mol. Cell Biol. 1992, 12, 4375–4383. [Google Scholar] [CrossRef] [PubMed][Green Version]
- Perry, C.; Sastry, R.; Nasrallah, I.M.; Stover, P.J. Mimosine Attenuates Serine Hydroxymethyltransferase Transcription by Chelating Zinc. Implications for Inhibition of DNA Replication. J. Biol. Chem. 2005, 280, 396–400. [Google Scholar] [CrossRef] [PubMed]
- Wang, G.; Miskimins, R.; Miskimins, W.K. Mimosine Arrests Cells in G1 by Enhancing the Levels of p27(Kip1). Exp. Cell Res. 2000, 254, 64–71. [Google Scholar] [CrossRef] [PubMed]
- Nguyen, B.C.; Tawata, S. The Chemistry and Biological Activities of Mimosine: A Review. Phytother. Res. 2016, 30, 1230–1242. [Google Scholar] [CrossRef] [PubMed]
- Galgano, P.J.; Schildkraut, C.L. G1/S Phase Synchronization Using Mimosine Arrest. CSH Protoc. 2006, 2006. [Google Scholar] [CrossRef] [PubMed]
- Park, S.Y.; Im, J.S.; Park, S.R.; Kim, S.E.; Wang, H.J.; Lee, J.K. Mimosine Arrests the Cell Cycle Prior to the Onset of DNA Replication by Preventing the Binding of Human Ctf4/and-1 to Chromatin via Hif-1 Alpha Activation in HeLa Cells. Cell Cycle 2012, 11, 761–766. [Google Scholar] [CrossRef]
- Zeman, M.K.; Cimprich, K.A. Causes and Consequences of Replication Stress. Nat. Cell Biol. 2014, 16, 2–9. [Google Scholar] [CrossRef]
- Byun, T.S.; Pacek, M.; Yee, M.C.; Walter, J.C.; Cimprich, K.A. Functional Uncoupling of MCM Helicase and DNA Polymerase Activities the ATR-Dependent Checkpoint. Gene Dev. 2005, 19, 1040–1052. [Google Scholar] [CrossRef]
- MacDougall, C.A.; Byun, T.S.; Van, C.; Yee, M.C.; Cimprich, K.A. The Structural Determinants of Checkpoint Activation. Gene Dev. 2007, 21, 898–903. [Google Scholar] [CrossRef]
- Marechal, A.; Zou, L. DNA Damage Sensing by the ATM and ATR Kinases. Cold Spring Harb. Perspect. Biol. 2013, 5, a012716. [Google Scholar] [CrossRef]
- Nam, E.A.; Cortez, D. AIR Signalling: More than Meeting at the Fork. Biochem. J. 2011, 436, 527–536. [Google Scholar] [CrossRef]
- Zou, L.; Elledge, S.J. Sensing DNA Damage through ATRIP Recognition of RPA-ssDNA Complexes. Science 2003, 300, 1542–1548. [Google Scholar] [CrossRef] [PubMed]
- Darzynkiewicz, Z.; Halicka, H.D.; Zhao, H.; Podhorecka, M. Cell Synchronization by Inhibitors of DNA Replication Induces Replication Stress and DNA Damage Response: Analysis by Flow Cytometry. Methods Mol. Biol. 2011, 761, 85–96. [Google Scholar] [CrossRef] [PubMed]
- Halicka, D.; Zhao, H.; Li, J.W.; Garcia, J.; Podhorecka, M.; Darzynkiewicz, Z. DNA Damage Response Resulting from Replication Stress Induced by Synchronization of Cells by Inhibitors of DNA Replication: Analysis by Flow Cytometry. Methods Mol. Biol. 2017, 1524, 107–119. [Google Scholar] [CrossRef] [PubMed]
- Kurose, A.; Tanaka, T.; Huang, X.; Traganos, F.; Darzynkiewicz, Z. Synchronization in the Cell Cycle by Inhibitors of DNA Replication Induces Histone H2AX Phosphorylation: An Indication of DNA Damage. Cell Prolif. 2006, 39, 231–240. [Google Scholar] [CrossRef]
- Hammond, E.M.; Green, S.L.; Giaccia, A.J. Comparison of Hypoxia-Induced Replication Arrest with Hydroxyurea and Aphidicolin-Induced Arrest. Mutat. Res. Mol. Mech. Mutagen. 2003, 532, 205–213. [Google Scholar] [CrossRef]
- Yang, S.J.; Hahn, G.M.; Bagshaw, M.A. Chromosome Aberrations Induced by Thymidine. Exp. Cell Res. 1966, 42, 130–135. [Google Scholar] [CrossRef]
- Gong, J.P.; Traganos, F.; Darzynkiewicz, Z. Growth Imbalance and Altered Expression of Cyclin-B1, Cyclin-a, Cyclin-E, and Cyclin-D3 in Molt-4 Cells Synchronized in the Cell-Cycle by Inhibitors of DNA-Replication. Cell Growth Differ. 1995, 6, 1485–1493. [Google Scholar]
- Kuriyama, R.; Terada, Y.; Lee, K.S.; Wang, C.L.C. Centrosome Replication in Hydroxyurea-Arrested CHO Cells Expressing GFP-Tagged Centrin2. J. Cell Sci. 2007, 120, 2444–2453. [Google Scholar] [CrossRef]
- MacFarlane, A.J.; Anderson, D.D.; Flodby, P.; Perry, C.A.; Allen, R.H.; Stabler, S.P.; Stover, P.J. Nuclear Localization of de Novo Thymidylate Biosynthesis Pathway Is Required to Prevent Uracil Accumulation in DNA. J. Biol. Chem. 2011, 286, 44015–44022. [Google Scholar] [CrossRef] [PubMed]
- MacFarlane, A.J.; Perry, C.A.; McEntee, M.F.; Lin, D.M.; Stover, P.J. Shmt1 Heterozygosity Impairs Folate-Dependent Thymidylate Synthesis Capacity and Modifies Risk of Apc(min)-Mediated Intestinal Cancer Risk. Cancer Res. 2011, 71, 2098–2107. [Google Scholar] [CrossRef] [PubMed]
- Schormann, N.; Ricciardi, R.; Chattopadhyay, D. Uracil-DNA Glycosylases-Structural and Functional Perspectives on An Essential Family of DNA Repair Enzymes. Protein Sci. 2014, 23, 1667–1685. [Google Scholar] [CrossRef] [PubMed]
- Schrader, C.E.; Guikema, J.E.J.; Wu, X.M.; Stavnezer, J. The roles of APE1, APE2, DNA Polymerase Beta and Mismatch Repair in Creating S Region DNA Breaks during Antibody Class Switch. Philos. Trans. R. Soc. B Biol. Sci. 2009, 364, 645–652. [Google Scholar] [CrossRef]
- Chon, J.; Stover, P.J.; Field, M.S. Targeting Nuclear Thymidylate Biosynthesis. Mol. Asp. Med. 2017, 53, 48–56. [Google Scholar] [CrossRef]
- Wyatt, M.D.; Wilson, D.M. Participation of DNA Repair in the Response to 5-Fluorouracil. Cell. Mol. Life Sci. 2009, 66, 788–799. [Google Scholar] [CrossRef]
- Berger, S.H.; Jenh, C.H.; Johnson, L.F.; Berger, F.G. Thymidylate Synthase Overproduction and Gene Amplification in Fluorodeoxyuridine-Resistant Human-Cells. Mol. Pharmacol. 1985, 28, 461–467. [Google Scholar]
- Banerjee, D.; Mayer-Kuckuk, P.; Capiaux, G.; Budak-Alpdogan, T.; Gorlick, R.; Bertino, J.R. Novel Aspects of Resistance to Drugs Targeted to Dihydrofolate Reductase and Thymidylate Synthase. BBA Acta Mol. Basis Dis. 2002, 1587, 164–173. [Google Scholar] [CrossRef]
- Feher, Z.; Mishra, N.C. Aphidicolin-Resistant Chinese-Hamster Ovary Cells Possess Altered DNA-Polymerases of the Alpha-Family. BBA Gene Struct. Expr. 1994, 1218, 35–47. [Google Scholar] [CrossRef]
- Zwanenburg, T.S.B. Standardized Shake-Off to Synchronize Cultured Cho Cells. Mutat. Res. 1983, 120, 151–159. [Google Scholar] [CrossRef]
- Liu, Y.; Nan, B.; Niu, J.; Kapler, G.M.; Gao, S. An Optimized and Versatile Counter-Flow Centrifugal Elutriation Workflow to Obtain Synchronized Eukaryotic Cells. Front. Cell Dev. Biol. 2021, 9, 664418. [Google Scholar] [CrossRef] [PubMed]
- Juan, G.; Hernando, E.; Cordon-Cardo, C. Separation of Live Cells in Different Phases of the Cell Cycle for Gene Expression Analysis. Cytometry 2002, 49, 170–175. [Google Scholar] [CrossRef] [PubMed]
- Vecsler, M.; Lazar, I.; Tzur, A. Using Standard Optical Flow Cytometry for Synchronizing Proliferating Cells in the G1 Phase. PLoS ONE 2013, 8, e83935. [Google Scholar] [CrossRef] [PubMed]
- De Brabander, M.J.; Van de Veire, R.M.; Aerts, F.E.; Borgers, M.; Janssen, P.A. The Effects of Methyl (5-(2-thienylcarbonyl)-1H-benzimidazol-2-yl) Carbamate, (R 17934; NSC 238159), a New Synthetic Antitumoral Drug Interfering with Microtubules, on Mammalian Cells Cultured In Vitro. Cancer Res. 1976, 36, 905–916. [Google Scholar]
- Salmon, E.D.; McKeel, M.; Hays, T. Rapid Rate of Tubulin Dissociation from Microtubules in the Mitotic Spindle In Vivo Measured by Blocking Polymerization with Colchicine. J. Cell Biol. 1984, 99, 1066–1075. [Google Scholar] [CrossRef] [PubMed]
- Blagosklonny, M.V. Mitotic Arrest and Cell-Fate Why and How Mitotic Inhibition of Transcription Drives Mutually Exclusive Events. Cell Cycle 2007, 6, 70–74. [Google Scholar] [CrossRef]
- Zieve, G.W.; Turnbull, D.; Mullins, J.M.; Mcintosh, J.R. Production of Large Numbers of Mitotic Mammalian-Cells by Use of the Reversible Microtubule Inhibitor Nocodazole-Nocodazole Accumulated Mitotic Cells. Exp. Cell Res. 1980, 126, 397–405. [Google Scholar] [CrossRef]
- Yao, Y.Z.; Zhang, Y.Y.; Liu, W.S.; Deng, X.M. Highly Efficient Synchronization of Sheep Skin Fibroblasts at G2/M Phase and Isolation of Sheep Y Chromosomes by Flow Cytometric Sorting. Sci. Rep. 2020, 10, 9933. [Google Scholar] [CrossRef]
- Romsdahl, M.M. Synchronization of Human Cell Lines with Colcemid. Exp. Cell Res. 1968, 50, 463–467. [Google Scholar] [CrossRef]
- Vassilev, L.T.; Tovar, C.; Chen, S.; Knezevic, D.; Zhao, X.; Sun, H.; Heimbrook, D.C.; Chen, L. Selective Small-Molecule Inhibitor Reveals Critical Mitotic Functions of Human CDK1. Proc. Natl. Acad. Sci. USA 2006, 103, 10660–10665. [Google Scholar] [CrossRef]
- Ma, H.T.; Tsang, Y.H.; Marxer, M.; Poon, R.Y. Cyclin A2-Cyclin-Dependent Kinase 2 Cooperates with the PLK1-SCFbeta-TrCP1-EMI1-Anaphase-Promoting Complex/Cyclosome Axis to Promote Genome Reduplication in the Absence of Mitosis. Mol. Cell Biol. 2009, 29, 6500–6514. [Google Scholar] [CrossRef] [PubMed]
- Vassilev, L.T. Cell Cycle Synchronization at the G2/M Phase Border by Reversible Inhibition of CDK1. Cell Cycle 2006, 5, 2555–2556. [Google Scholar] [CrossRef] [PubMed]
- Rao, S.; Lowe, M.; Herliczek, T.W.; Keyomarsi, K. Lovastatin Mediated G1 Arrest in Normal and Tumor Breast Cells is through Inhibition of CDK2 Activity and Redistribution of p21 and p27, Independent of p53. Oncogene 1998, 17, 2393–2402. [Google Scholar] [CrossRef] [PubMed]
- JavanMoghadam-Kamrani, S.; Keyomarsi, K. Synchronization of the Cell Cycle Using Lovastatin. Cell Cycle 2008, 7, 2434–2440. [Google Scholar] [CrossRef]
- Davis, P.K.; Ho, A.; Dowdy, S.F. Biological Methods for Cell-Cycle Synchronization of Mammalian Cells. Biotechniques 2001, 30, 1322–1326. [Google Scholar] [CrossRef]
- Kues, W.A.; Anger, M.; Carnwath, J.W.; Paul, D.; Motlik, J.; Niemann, H. Cell Cycle Synchronization of Porcine Fetal Fibroblasts: Effects of Serum Deprivation and Reversible Cell Cycle Inhibitors. Biol. Reprod. 2000, 62, 412–419. [Google Scholar] [CrossRef]
- Khammanit, R.; Chantakru, S.; Kitiyanant, Y.; Saikhun, J. Effect of Serum Starvation and Chemical Inhibitors on Cell Cycle Synchronization of Canine Dermal Fibroblasts. Theriogenology 2008, 70, 27–34. [Google Scholar] [CrossRef] [PubMed]
- Nilausen, K.; Green, H. Reversible Arrest of Growth in G1 of an Established Fibroblast Line (3T3). Exp. Cell Res. 1965, 40, 166–168. [Google Scholar] [CrossRef]
- Holley, R.W.; Kiernan, J.A. Contact Inhibition of Cell Division in 3t3 Cells. Proc. Natl. Acad. Sci. USA 1968, 60, 300–304. [Google Scholar] [CrossRef]
- Forsberg, F.; Mooser, R.; Arnold, M.; Hack, E.; Wyss, P. 3D Micro-Scale Deformations of Wood in Bending: Synchrotron Radiation μCT data Analyzed with Digital Volume Correlation. J. Struct. Biol. 2008, 164, 255–262. [Google Scholar] [CrossRef]





| Method | Principle | Advantages | Disadvantages | Protocol |
|---|---|---|---|---|
| Mitotic shake-off | -Detachment of mitotic cells from cultivation surface by shaking or by medium flow | -Low effect on the cell metabolism -No special treatment necessary | -Low cell yield -Adherent cells only | [106] |
| Centrifugal elutriation | -Difference in sedimentation velocity (cell size dependence) | -Low effect on the cell metabolism -Preparation of G1, S and M fraction from one sample -No special treatment necessary | -Expensive instrument -Adjustment of convenient parameters is necessary -Adherent cells have to be released from the surface | [107] |
| Flow cytometry and cell sorting after DNA staining | -Differences in DNA content | -Preparation of G1, S a M fraction from one sample | -Impact of staining step with DNA dye on cell metabolism -Low cell yield -Adherent cells have to be released from the surface -Cell sorter required | [108] |
| Flow cytometry and cell sorting of unstained cells | -Differences in cell size | -No special treatment necessary | -Low resolution of cell cycle phases -Low cell yield -Cell sorter required -Adherent cells have to be released from the surface | [109] |
| Nocodazole/Colchicine/Colcemid | -Inhibition of mitotic spindle formation [110,111] | -Simple | -Prolonged treatment can result into aneuploidy, cell death or mitotic slippage [112] | [113,114,115] |
| RO-3306 | -Inhibition of cyclin- dependent kinase 1 and consequently G2/M transition [116] | -Simple -Both adherent and suspension cell lines can be used | -Prolonged treatment can result into genome reduplication [117] | [118] |
| Lovastatin | -Mechanism is not completely understood -Lovastatin inhibits 3-hydroxy-3-methylglutaryl-coenzyme A reductase. -Decrease in the activity of cyclin-dependent kinase 1 was also documented [119]. | -Simple -Both adherent and suspension cell lines can be used | -Can induce apoptosis [120] -The stage of G1-phase at which lovastatin exerts its effect is not clear. | [120] |
| Serum starvation | -Nutrient deprivation resulting into G0/G1 arrest [121] | -Simple -Cheap -Both adherent and suspension cell lines can be used | - Inappropriate for transformed cell lines -Prolonged serum starvation can result into DNA fragmentation [122] | [123] |
| Contact inhibition | -Contact inhibition of cell proliferation at high cell density resulting into G1 arrest [121,124] | -Simple -Cheap -Both adherent and suspension cell lines can be used | -Impropriate for non-adherent and transformed cells | [125] |
| Thymidine | -Inhibition of dCTP synthesis [26] | -Simple -Cheap -Both adherent and suspension cell lines can be used | -Induction of replication stress -Imbalance in nucleotide pools | [40,126] |
| Hydroxyurea | -Inhibition of dNTP synthesis [42] | -Simple -Both adherent and suspension cell lines can be used | -Induction of replication stress | [46,48,49] |
| Aphidicolin | -Inhibition of DNA polymerase α activity [71] | -Simple -Both adherent and suspension cell lines can be used | -Induction of replication stress | [73,74,75] |
| Mimosine | -Inhibition of RNR [77] -Inhibition of HMT [79] -Initiation of DNA synthesis at origins of replication [78] | -Simple -Both adherent and suspension cell lines can be used | -Induction of replication stress -Imbalance in nucleotide pools | [83] |
Publisher’s Note: MDPI stays neutral with regard to jurisdictional claims in published maps and institutional affiliations. |
© 2021 by the authors. Licensee MDPI, Basel, Switzerland. This article is an open access article distributed under the terms and conditions of the Creative Commons Attribution (CC BY) license (https://creativecommons.org/licenses/by/4.0/).
Share and Cite
Ligasová, A.; Koberna, K. Strengths and Weaknesses of Cell Synchronization Protocols Based on Inhibition of DNA Synthesis. Int. J. Mol. Sci. 2021, 22, 10759. https://doi.org/10.3390/ijms221910759
Ligasová A, Koberna K. Strengths and Weaknesses of Cell Synchronization Protocols Based on Inhibition of DNA Synthesis. International Journal of Molecular Sciences. 2021; 22(19):10759. https://doi.org/10.3390/ijms221910759
Chicago/Turabian StyleLigasová, Anna, and Karel Koberna. 2021. "Strengths and Weaknesses of Cell Synchronization Protocols Based on Inhibition of DNA Synthesis" International Journal of Molecular Sciences 22, no. 19: 10759. https://doi.org/10.3390/ijms221910759
APA StyleLigasová, A., & Koberna, K. (2021). Strengths and Weaknesses of Cell Synchronization Protocols Based on Inhibition of DNA Synthesis. International Journal of Molecular Sciences, 22(19), 10759. https://doi.org/10.3390/ijms221910759

