Bioderived Ionic Liquids and Salts with Various Cyano Anions as Precursors for Doped Carbon Materials
Abstract
:1. Introduction
2. Results and Discussion
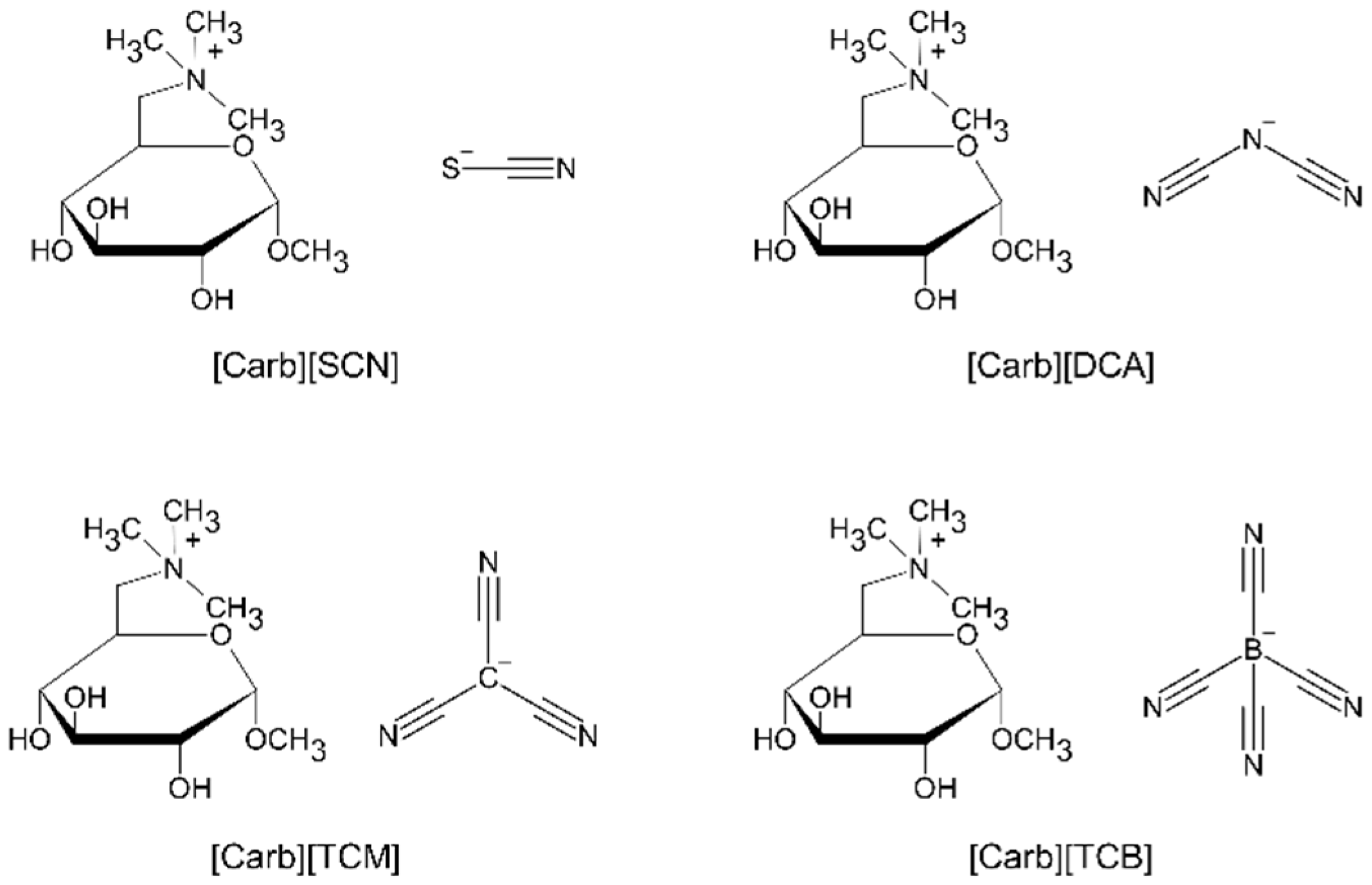
2.1. Synthesis of the Precursors and Their Thermophysical Properties
2.2. Carbonization of Carbohydrate-Derived ILs and Salts
2.3. Electrochemical Activity toward Oxygen Reduction Reaction (ORR)
3. Materials and Methods
3.1. Materials
3.2. Carbonization of Ionic Precursors
3.3. Synthesis of the Precursors
3.3.1. N-(6-Deoxy-1-O-Methoxy-α-d-Glucopyranoside)-N,N,N-Trimethylammonium Thiocyanate [Carb][SCN]
3.3.2. N-(6-Deoxy-1-O-Methoxy-α-d-Glucopyranoside)-N,N,N-Trimethylammonium Dicyanamide [Carb][DCA]
3.3.3. N-(6-Deoxy-1-O-Methoxy-α-d-Glucopyranoside)-N,N,N-Trimethylammonium Tricyanomethanide [Carb][TCM]
3.3.4. N-(6-Deoxy-1-O-Methoxy-α-d-Glucopyranoside)-N,N,N-Trimethylammonium Tetracyanoborate [Carb][TCB]
3.3.5. Silver Thiocyanate
3.3.6. Silver Dicyanamide
3.3.7. Silver Tricyanomethanide
3.3.8. Silver Tetracyanoborate
4. Conclusions
Supplementary Materials
Author Contributions
Funding
Data Availability Statement
Acknowledgments
Conflicts of Interest
References
- Gaida, B.; Brzęczek-Szafran, A. Insights into the Properties and Potential Applications of Renewable Carbohydrate-Based Ionic Liquids: A Review. Molecules 2020, 25, 3285. [Google Scholar] [CrossRef] [PubMed]
- Zullo, V.; Iuliano, A.; Guazzelli, L. Sugar-Based Ionic Liquids: Multifaceted Challenges and Intriguing Potential. Molecules 2021, 26, 2052. [Google Scholar] [CrossRef] [PubMed]
- Jopp, S. Carbohydrate Based Ionic Liquids (CHILs): Synthesis and Applications. Eur. J. Org. Chem. 2020, 2020, 6418–6428. [Google Scholar] [CrossRef]
- Hulsbosch, J.; De Vos, D.E.; Binnemans, K.; Ameloot, R. Biobased Ionic Liquids: Solvents for a Green Processing Industry. ACS Sustain. Chem. Eng. 2016, 4, 2917–2931. [Google Scholar] [CrossRef]
- Brzeczek-Szafran, A.; Erfurt, K.; Blacha-Grzechnik, A.; Krzywiecki, M.; Boncel, S.; Chrobok, A. Carbohydrate Ionic Liquids and Salts as All-in-One Precursors for N-Doped Carbon. ACS Sustain. Chem. Eng. 2019, 7, 19880–19888. [Google Scholar] [CrossRef]
- Zhao, M.; Li, T.; Jia, L.; Li, H.; Yuan, W.; Li, C.M. Pristine-Graphene-Supported Nitrogen-Doped Carbon Self-Assembled from Glucaminium-Based Ionic Liquids as Metal-Free Catalyst for Oxygen Evolution. ChemSusChem 2019, 12, 5041–5050. [Google Scholar] [CrossRef]
- Zhou, H.; Zhou, Y.; Li, L.; Li, Y.; Liu, X.; Zhao, P.; Gao, B. Amino Acid Protic Ionic Liquids: Multifunctional Carbon Precursor for N/S Codoped Hierarchically Porous Carbon Materials toward Supercapacitive Energy Storage. ACS Sustain. Chem. Eng. 2019, 7, 9281–9290. [Google Scholar] [CrossRef]
- Watanabe, M.; Thomas, M.L.; Zhang, S.; Ueno, K.; Yasuda, T.; Dokko, K. Application of Ionic Liquids to Energy Storage and Conversion Materials and Devices. Chem. Rev. 2017, 117, 7190–7239. [Google Scholar] [CrossRef] [Green Version]
- Watanabe, H.; Asano, S.; Fujita, S.; Yoshida, H.; Arai, M. Nitrogen-Doped, Metal-Free Activated Carbon Catalysts for Aerobic Oxidation of Alcohols. ACS Catal. 2015, 5, 2886–2894. [Google Scholar] [CrossRef]
- Lin, R.; Kaiser, S.K.; Hauert, R.; Pérez-Ramírez, J. Descriptors for High-Performance Nitrogen-Doped Carbon Catalysts in Acetylene Hydrochlorination. ACS Catal. 2018, 8, 1114–1121. [Google Scholar] [CrossRef]
- Brzęczek-Szafran, A.; Gwóźdź, M.; Kolanowska, A.; Krzywiecki, M.; Latos, P.; Chrobok, A. N-Doped Carbon as a Solid Base Catalyst for Continuous Flow Knoevenagel Condensation. React. Chem. Eng. 2021, 6, 1246–1253. [Google Scholar] [CrossRef]
- Yang, D.P.; Li, Z.; Liu, M.; Zhang, X.; Chen, Y.; Xue, H.; Ye, E.; Luque, R. Biomass-Derived Carbonaceous Materials: Recent Progress in Synthetic Approaches, Advantages, and Applications. ACS Sustain. Chem. Eng. 2019, 7, 4564–4585. [Google Scholar] [CrossRef]
- Zhang, P.; Gong, Y.; Wei, Z.; Wang, J.; Zhang, Z.; Li, H.; Dai, S.; Wang, Y. Updating Biomass into Functional Carbon Material in Ionothermal Manner. ACS Appl. Mater. Interfaces 2014, 6, 12515–12522. [Google Scholar] [CrossRef] [PubMed]
- Lee, J.S.; Mayes, R.T.; Luo, H.; Dai, S. Ionothermal Carbonization of Sugars in a Protic Ionic Liquid under Ambient Conditions. Carbon 2010, 48, 3364–3368. [Google Scholar] [CrossRef]
- Zhou, H.; Zhou, Y.; Wu, S.; Li, L.; Li, Y.; Guo, M.; Qi, Z.; Feng, C. Synthesis of N/S Co-Doped Porous Carbon Microspheres Based on Amino Acid Protic Salt for Supercapacitor. J. Alloys Compd. 2020, 829, 154549. [Google Scholar] [CrossRef]
- Zhou, H.; Wu, S.; Wang, H.; Li, Y.; Liu, X.; Zhou, Y. The Preparation of Porous Carbon Materials Derived from Bio-Protic Ionic Liquid with Application in Flexible Solid-State Supercapacitors. J. Hazard. Mater. 2021, 402, 124023. [Google Scholar] [CrossRef] [PubMed]
- Cheng, J.; Xu, Q.; Lu, J.; Du, J.; Chen, Q.; Zhang, Y.; Li, Z.; He, F.; Wu, F.; Xie, H. Synthesis of Ultrahigh Surface Area of Nitrogen-Doped Porous Carbon Materials from Alginic-Based Protic Polyanion Ionic Liquids for High-Performance Supercapacitors. Energy Technol. 2019, 7, 1800734. [Google Scholar] [CrossRef]
- Fragal, E.H.; Fragal, V.H.; Huang, X.; Martins, A.C.; Cellet, T.S.P.; Pereira, G.M.; Mikmeková, E.; Rubira, A.F.; Silva, R.; Asefa, T. From Ionic Liquid-Modified Cellulose Nanowhiskers to Highly Active Metal-Free Nanostructured Carbon Catalysts for the Hydrazine Oxidation Reaction. J. Mater. Chem. A 2017, 5, 1066–1077. [Google Scholar] [CrossRef]
- Zhang, Y.; Wang, J.; Shen, G.; Duan, J.; Zhang, S. Template-Free Synthesis of N-Doped Porous Carbon Materials From Furfuryl Amine-Based Protic Salts. Front. Chem. 2020, 8, 196. [Google Scholar] [CrossRef]
- Fulvio, P.F.; Lee, J.S.; Mayes, R.T.; Wang, X.; Mahurin, S.M.; Dai, S. Boron and Nitrogen-Rich Carbons from Ionic Liquid Precursors with Tailorable Surface Properties. Phys. Chem. Chem. Phys. 2011, 13, 13486–13491. [Google Scholar] [CrossRef]
- Zhang, S.; Dokko, K.; Watanabe, M. Direct Synthesis of Nitrogen-Doped Carbon Materials from Protic Ionic Liquids and Protic Salts: Structural and Physicochemical Correlations between Precursor and Carbon. Chem. Mater. 2014, 26, 2915–2926. [Google Scholar] [CrossRef]
- Wooster, T.J.; Johanson, K.M.; Fraser, K.J.; MacFarlane, D.R.; Scott, J.L. Thermal Degradation of Cyano Containing Ionic Liquids. Green Chem. 2006, 8, 691–696. [Google Scholar] [CrossRef]
- Paraknowitsch, J.P.; Thomas, A.; Antonietti, M. A Detailed View on the Polycondensation of Ionic Liquid Monomers towards Nitrogen Doped Carbon Materials. J. Mater. Chem. 2010, 20, 6746–6758. [Google Scholar] [CrossRef]
- Paraknowitsch, J.P.; Wienert, B.; Zhang, Y.; Thomas, A. Intrinsically Sulfur- and Nitrogen-Co-Doped Carbons from Thiazolium Salts. Chem. A Eur. J. 2012, 18, 15416–15423. [Google Scholar] [CrossRef]
- Lee, J.S.; Luo, H.; Baker, G.A.; Dai, S. Cation Cross-Linked Ionic Liquids as Anion-Exchange Materials. Chem. Mater. 2009, 21, 4756–4758. [Google Scholar] [CrossRef]
- Fellinger, T.P.; Su, D.S.; Engenhorst, M.; Gautam, D.; Schlögl, R.; Antonietti, M. Thermolytic Synthesis of Graphitic Boron Carbon Nitride from an Ionic Liquid Precursor: Mechanism, Structure Analysis and Electronic Properties. J. Mater. Chem. 2012, 22, 23996–24005. [Google Scholar] [CrossRef] [Green Version]
- Fechler, N.; Fellinger, T.P.; Antonietti, M. One-Pot Synthesis of Nitrogen-Sulfur-Co-Doped Carbons with Tunable Composition Using a Simple Isothiocyanate Ionic Liquid. J. Mater. Chem. A 2013, 1, 14097–14102. [Google Scholar] [CrossRef] [Green Version]
- Vereshchagin, A.N.; Frolov, N.A.; Egorova, K.S.; Seitkalieva, M.M.; Ananikov, V.P. Quaternary Ammonium Compounds (QACs) and Ionic Liquids (ILs) as Biocides: From Simple Antiseptics to Tunable Antimicrobials. Int. J. Mol. Sci. 2021, 22, 6793. [Google Scholar] [CrossRef]
- Erfurt, K.; Wandzik, I.; Walczak, K.; Matuszek, K.; Chrobok, A. Hydrogen-Bond-Rich Ionic Liquids as Effective Organocatalysts for Diels-Alder Reactions. Green Chem. 2014, 16, 3508–3514. [Google Scholar] [CrossRef]
- Komabayashi, M.; Stiller, T.; Jopp, S. Structure-Property Relationships of Ribose Based Ionic Liquids. J. Mol. Liq. 2021, 325, 115167. [Google Scholar] [CrossRef]
- Reiß, M.; Brietzke, A.; Eickner, T.; Stein, F.; Villinger, A.; Vogel, C.; Kragl, U.; Jopp, S. Synthesis of Novel Carbohydrate Based Pyridinium Ionic Liquids and Cytotoxicity of Ionic Liquids for Mammalian Cells. RSC Adv. 2020, 10, 14299–14304. [Google Scholar] [CrossRef]
- Navarro, P.; Larriba, M.; Rojo, E.; García, J.; Rodríguez, F. Thermal Properties of Cyano-Based Ionic Liquids. J. Chem. Eng. Data 2013, 58, 2187–2193. [Google Scholar] [CrossRef]
- Sanchez-Ramirez, N.; Martins, V.L.; Ando, R.A.; Camilo, F.F.; Urahata, S.M.; Ribeiro, M.C.C.; Torresi, R.M. Physicochemical Properties of Three Ionic Liquids Containing a Tetracyanoborate Anion and Their Lithium Salt Mixtures. J. Phys. Chem. B 2014, 118, 8772–8781. [Google Scholar] [CrossRef] [PubMed]
- Lee, J.S.; Wang, X.; Luo, H.; Baker, G.A.; Dai, S. Facile Ionothermal Synthesis of Microporous and Mesoporous Carbons from Task Specific Ionic Liquids. J. Am. Chem. Soc. 2009, 131, 4596–4597. [Google Scholar] [CrossRef]
- Jurkiewicz, K.; Pawlyta, M.; Zygadło, D.; Chrobak, D.; Duber, S.; Wrzalik, R.; Ratuszna, A.; Burian, A. Evolution of Glassy Carbon under Heat Treatment: Correlation Structure–Mechanical Properties. J. Mater. Sci. 2017, 53, 3509–3523. [Google Scholar] [CrossRef] [Green Version]
- Deldicque, D.; Rouzaud, J.N.; Velde, B. A Raman—HRTEM Study of the Carbonization of Wood: A New Raman-Based Paleothermometer Dedicated to Archaeometry. Carbon 2016, 102, 319–329. [Google Scholar] [CrossRef]
- Lin, L.; Miao, N.; Wallace, G.G.; Chen, J.; Allwood, D.A. Engineering Carbon Materials for Electrochemical Oxygen Reduction Reactions. Adv. Energy Mater. 2021, 11, 2100695. [Google Scholar] [CrossRef]
- Liang, J.; Jiao, Y.; Jaroniec, M.; Qiao, S.Z. Sulfur and Nitrogen Dual-Doped Mesoporous Graphene Electrocatalyst for Oxygen Reduction with Synergistically Enhanced Performance. Angew. Chem. Int. Ed. 2012, 51, 11496–11500. [Google Scholar] [CrossRef] [PubMed]




| IL/Salt | Tg (°C ± 1 °C) | Tm (°C ± 1 °C) | Tonset (°C) | Notes |
|---|---|---|---|---|
| [Carb][SCN] | 23 | 173 | 229 | solid |
| [Carb][DCA] | 10 | 123 | 232 | solid |
| [Carb][TCB] | −5 | 76 | 308 | solid, hygroscopic |
| [Carb][TCM] | −10 | - | 255 | liquid, hygroscopic |
| Carbon Material | T (°C) | C Yield Exp. (wt.%) | C Yield Theor. (wt.%) a | C Yield Theor. (wt.%) b | N (%) | C (%) | H (%) | S (%) |
|---|---|---|---|---|---|---|---|---|
| [Carb][SCN] | 500 | 25.9 | 4.1 | 26 | 8.5 | 65.7 | 3.4 | 4.7 |
| [Carb][SCN] | 600 | 25.7 | 4.1 | 24 | 7.9 | 69.1 | 2.0 | 3.0 |
| [Carb][SCN] | 800 | 19.4 | 4.1 | 19 | 5.9 | 71.6 | 1.7 | 2.6 |
| [Carb][DCA] | 600 | 32.8 | 7.9 | 11 | 11.1 | 73.6 | 2.6 | - |
| [Carb][DCA] | 800 | 17.9 | 7.9 | 14 | 8.7 | 79.4 | 2.0 | - |
| [Carb][TCM] | 600 | 29.9 | 14.7 | 22 | 11.1 | 74.7 | 2.5 | - |
| [Carb][TCM] | 800 | 24.8 | 14.7 | 22 | 7.1 | 76.7 | 1.6 | - |
| [Carb][TCB] | 600 | 21.4 | 13.7 | 15 | 8.2 | 78.3 | 2.5 | - |
| [Carb][TCB] | 800 | 28.1 | 13.7 | 15 | 6.1 | 69.1 | 1.7 | - |
| Carbon Material | Eonset (V) * | No. of Electrons ** | % H2O2 ** |
|---|---|---|---|
| [Carb[SCN]_800 | −0.12 | 3.74 | 12.8 |
| [Carb[SCN]_600 | −0.20 | 3.62 | 18.9 |
| [Carb[SCN]_500 | −0.29 | 3.42 | 28.9 |
| [Carb][DCA]_800 | −0.14 | 3.56 | 21.7 |
| [Carb][DCA]_600 | −0.29 | 3.25 | 37.2 |
| [Carb][TCM]_800 | −0.13 | 3.56 | 21.7 |
| [Carb][TCM]_600 | −0.25 | 3.65 | 17.6 |
| [Carb][TCB]_800 | −0.14 | 3.60 | 19.5 |
| [Carb][TCB]_600 | −0.22 | 3.42 | 28.9 |
Publisher’s Note: MDPI stays neutral with regard to jurisdictional claims in published maps and institutional affiliations. |
© 2021 by the authors. Licensee MDPI, Basel, Switzerland. This article is an open access article distributed under the terms and conditions of the Creative Commons Attribution (CC BY) license (https://creativecommons.org/licenses/by/4.0/).
Share and Cite
Brzęczek-Szafran, A.; Gaida, B.; Blacha-Grzechnik, A.; Matuszek, K.; Chrobok, A. Bioderived Ionic Liquids and Salts with Various Cyano Anions as Precursors for Doped Carbon Materials. Int. J. Mol. Sci. 2021, 22, 10426. https://doi.org/10.3390/ijms221910426
Brzęczek-Szafran A, Gaida B, Blacha-Grzechnik A, Matuszek K, Chrobok A. Bioderived Ionic Liquids and Salts with Various Cyano Anions as Precursors for Doped Carbon Materials. International Journal of Molecular Sciences. 2021; 22(19):10426. https://doi.org/10.3390/ijms221910426
Chicago/Turabian StyleBrzęczek-Szafran, Alina, Bartłomiej Gaida, Agata Blacha-Grzechnik, Karolina Matuszek, and Anna Chrobok. 2021. "Bioderived Ionic Liquids and Salts with Various Cyano Anions as Precursors for Doped Carbon Materials" International Journal of Molecular Sciences 22, no. 19: 10426. https://doi.org/10.3390/ijms221910426
APA StyleBrzęczek-Szafran, A., Gaida, B., Blacha-Grzechnik, A., Matuszek, K., & Chrobok, A. (2021). Bioderived Ionic Liquids and Salts with Various Cyano Anions as Precursors for Doped Carbon Materials. International Journal of Molecular Sciences, 22(19), 10426. https://doi.org/10.3390/ijms221910426

