Updated Information on Antimicrobial Activity of Hydrazide–Hydrazones
Abstract
:1. Introduction
2. Antimicrobial Activity
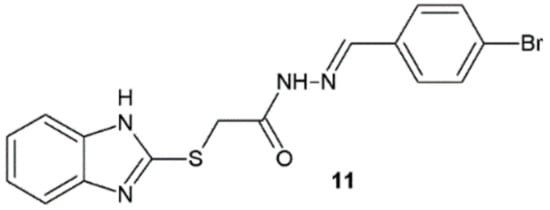
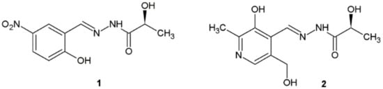
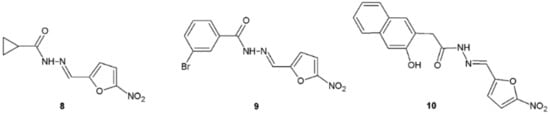
2.1. Antibacterial Activity
2.2. Antimycobacterial Activity
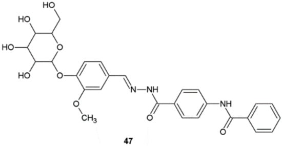
2.3. Antifungal Activity
3. Conclusions
Funding
Conflicts of Interest
References
- Rollas, S.; Küçükgüzel, Ş.G. Biological Activities of Hydrazone Derivatives. Molecules 2007, 12, 1910–1939. [Google Scholar] [CrossRef] [Green Version]
- Angelova, V.; Karabeliov, V.; Andreeva-Gateva, P.A.; Tchekalarova, J. Recent Developments of Hydrazide/Hydrazone Derivatives and Their Analogs as Anticonvulsant Agents in Animal Models. Drug Dev. Res. 2016, 77, 379–392. [Google Scholar] [CrossRef]
- Popiołek, Ł. Hydrazide–hydrazones as potential antimicrobial agents: Overview of the literature since 2010. Med. Chem. Res. 2017, 26, 287–301. [Google Scholar] [CrossRef] [Green Version]
- Sharma, P.C.; Sharma, D.; Sharma, A.; Saini, N.; Goyal, R.; Ola, M.; Chawla, R.; Thakur, V.K. Hydrazone comprising compounds as promising anti-infective agents: Chemistry and structure-property relationship. Mater. Today Chem. 2020, 18, 100349. [Google Scholar] [CrossRef]
- Popiołek, Ł.; Biernasiuk, A.; Malm, A. Design, Synthesis, and in vitro Antimicrobial Activity of New Furan/Thiophene-1,3-Benzothiazin-4-one Hybrids. J. Heterocycl. Chem. 2016, 53, 479–486. [Google Scholar] [CrossRef]
- Popiołek, Ł.; Piątkowska-Chmiel, I.; Gawrońska-Grzywacz, M.; Biernasiuk, A.; Izdebska, M.; Herbet, M.; Sysa, M.; Malm, A.; Dudka, J.; Wujec, M. New hydrazide-hydrazones and 1,3-thiazolidin-4-ones with 3-hydroxy-2-naphthoic moiety: Synthesis, in vitro and in vivo studies. Biomed. Pharmacother. 2018, 103, 1337–1347. [Google Scholar] [CrossRef]
- He, L.-Y.; Qiu, X.-Y.; Cheng, J.-Y.; Liu, S.-J.; Wu, S.-M. Synthesis, characterization and crystal structures of vanadium(V) complexes derived from halido-substituted tridentate hydrazone compounds with antimicrobial activity. Polyhedron 2018, 156, 105–110. [Google Scholar] [CrossRef]
- Rocha, C.S.; Bomfim Filho, L.F.O.; de Souza, A.E.; Diniz, R.; Denadai, Â.M.L.; Beraldo, H.; Teixeira, L.R. Structural studies and investigation on the antifungal activity of silver(I) complexes with 5-nitrofuran-derived hydrazones. Polyhedron 2019, 170, 723–730. [Google Scholar] [CrossRef]
- Kendel, A.; Miljanic, S.; Kontrec, D.; Soldin, Z.; Galic, N. Copper(II) complexes of aroylhydrazones: Preparation and structural characterization. J. Mol. Struct. 2020, 1207, 127783. [Google Scholar] [CrossRef]
- Neethu, K.S.; Sivaselvam, S.; Theetharappan, M.; Ranjitha, J.; Bhuvanesh, N.S.P.; Ponpandian, N.; Neelakantan, M.A.; Kaveri, M.V. In vitro evaluations of biomolecular interactions, antioxidant and anticancer activities of Nickel(II) and Copper(II) complexes with 1:2 coordination of anthracenyl hydrazone ligands. Inorg. Chim. Acta 2021, 524, 120419. [Google Scholar] [CrossRef]
- Noshiranzadeh, N.; Heidari, A.; Haghi, F.; Bikas, R.; Lis, T. Chiral lactic hydrazone derivatives as potential bioactive antibacterial agents: Synthesis, spectroscopic, structural and molecular docking studies. J. Mol. Struct. 2017, 1128, 391–399. [Google Scholar] [CrossRef]
- Heidari, A.; Haghi, F.; Noshiranzadeh, N.; Bikas, R. (S,E)-2-hydroxy-N-(2-hydroxy-5-nitrobenzylidene)propane hydrazide as a quorum sensing inhibitor of Pseudomonas aeruginosa. Med. Chem. Res. 2017, 26, 947–1955. [Google Scholar] [CrossRef]
- Ajani, O.O.; Iyaye, K.T.; Aderohunmu, D.V.; Olanrewaju, I.O.; Germann, M.W.; Olorunshola, S.J.; Bello, B.L. Microwave-assisted synthesis and antibacterial propensity of N′-s-benzylidene-2-propylquinoline-4-carbohydrazide and N′-((s-1H-pyrrol-2-yl)methylene)-2-propylquinoline-4-carbohydrazide motifs. Arab. J. Chem. 2020, 13, 1809–1820. [Google Scholar] [CrossRef]
- Krátký, M.; Bősze, S.; Baranyai, Z.; Stolaříková, J.; Vinšová, J. Synthesis and biological evolution of hydrazones derived from 4-(trifluoromethyl)benzohydrazide. Bioorg. Med. Chem. Lett. 2017, 27, 5185–5189. [Google Scholar] [CrossRef]
- Abdelrahman, M.A.; Salama, I.; Gomaa, M.S.; Elaasser, M.M.; Abdel-Aziz, M.M.; Soliman, D.H. Design, synthesis and 2D QSAR study of novel pyridine and quinolone hydrazone derivatives as potential antimicrobial and antitubercular agents. Eur. J. Med. Chem. 2017, 138, 698–714. [Google Scholar] [CrossRef]
- Manikandan, V.; Balaji, S.; Senbagam, R.; Vijayakumar, R.; Rajarajan, M.; Vanangamudi, G.; Arulkumaran, R.; Sundararajan, R.; Thirunarayanan, G. Synthesis and antimicrobial activities of some (E)-N′-1-(substituted benzylidene)benzohydrazides. Inter. J. Adv. Chem. 2017, 5, 17–24. [Google Scholar] [CrossRef] [Green Version]
- Popiołek, Ł.; Biernasiuk, A. Synthesis and investigation of antimicrobial activities of nitrofurazone analogues containing hydrazide-hydrazone moiety. Saudi Pharm. J. 2017, 25, 1097–1102. [Google Scholar] [CrossRef] [PubMed]
- Yadav, S.; Narasimhan, B.; Lim, S.M.; Ramasamy, K.; Vasudevan, M.; Shah, S.A.A.; Mathur, A. Synthesis and evaluation of antimicrobial, antitubercular and anticancer activities of benzimidazole derivatives. Egypt. J. Basic Appl. Sci. 2018, 5, 100–109. [Google Scholar] [CrossRef]
- El-Sayed, H.A.; Moustafa, A.H.; El-Moneim, M.A.; Awad, H.M.; Esmat, A. Design and Synthesis of Hydrazide-Hydrazones Based 2-Oxonicotinonitrile Derivatives as Potential Antimicrobial Agents. J. Pharm. Appl. Chem. 2018, 4, 125–131. [Google Scholar] [CrossRef]
- Chennapragada, K.P.; Palagummi, V.S.M. Synthesis and Characterization of 2-phenyl-5-(1-phenyl-3-(3,4,5-trimethoxyphenyl)-1H-pyrazol-4-yl)-1,3,4-oxadiazole Scaffolds for Assessing Their Medicinal Potentials. Indian J. Pharm. Educ. Res. 2018, 52, 135–145. [Google Scholar] [CrossRef] [Green Version]
- Popiołek, Ł.; Biernasiuk, A.; Berecka, A.; Gumieniczek, A.; Malm, A.; Wujec, M. New hydrazide–hydrazones of isonicotinic acid: Synthesis, lipophilicity and in vitro antimicrobial screening. Chem. Biol. Drug. Des. 2018, 91, 915–923. [Google Scholar] [CrossRef] [PubMed]
- Polović, S.; Bilić, V.L.; Budimir, A.; Kontrec, D.; Galić, N.; Kosalec, I. Antimicrobial assessment of aroylhydrazone derivatives in vitro. Acta Pharm. 2019, 69, 277–285. [Google Scholar] [CrossRef] [PubMed] [Green Version]
- Shaaban, O.G.; Issa, D.A.E.; El-Tombary, A.A.; El Wahab, S.M.A.; Wahab, A.E.A.; Abdelwahab, I.A. Synthesis and molecular docking study of some 3,4-dihydrothieno[2,3-d]pyrimidine derivatives as potential antimicrobial agents. Bioorg. Chem. 2019, 88, 102934. [Google Scholar] [CrossRef]
- Haiba, N.S.; Khalil, H.H.; Moniem, M.A.; El-Wakil, M.H.; Bekhit, A.A.; Khattab, S.N. Design, synthesis and molecular modeling studies of new series of s-triazine derivatives as antimicrobial agents against multi-drug resistant clinical isolates. Bioorg. Chem. 2019, 89, 103013. [Google Scholar] [CrossRef]
- Pham, V.H.; Phan, T.P.D.; Phan, D.C.; Vu, B.D. Synthesis and Bioactivity of Hydrazide-Hydrazones with the 1-Adamantyl-Carbonyl Moiety. Molecules 2019, 24, 4000. [Google Scholar] [CrossRef] [Green Version]
- Salem, M.A.; Ragab, A.; El-Khalafawy, A.; Makhlouf, A.H.; Askar, A.A.; Ammar, Y.A. Design, synthesis, in vitro antimicrobial evaluation and molecular docking studies of indol-2-one tagged with morpholinosulfonyl moiety as DNA gyrase inhibitors. Bioorg. Chem. 2020, 96, 103619. [Google Scholar] [CrossRef]
- Tiwari, S.; Kirar, S.; Banerjee, U.C.; Neerupudi, K.B.; Singh, S.; Wani, A.A.; Bharatam, P.V.; Singh, I.P. Synthesis of N-substituted indole derivatives as potential antimicrobial and antileishmanial agents. Bioorg. Chem. 2020, 99, 103787. [Google Scholar] [CrossRef]
- Ewies, E.F.; El-Hag, F.A.A. Synthesis, reactions, and antimicrobial evaluations of new benzo[e][1,3]thiazine derivatives. J. Het. Chem. 2020, 57, 163. [Google Scholar] [CrossRef]
- Popiołek, Ł.; Rysz, B.; Biernasiuk, A.; Wujec, M. Synthesis of promising antimicrobial agents: Hydrazide-hydrazones of 5-nitrofuran-2-carboxylic acid. Chem. Biol. Drug. Des. 2020, 95, 260–269. [Google Scholar] [CrossRef]
- El-Etrawy, A.-A.; Sherbiny, F.F. Design, synthesis, biological evaluation and molecular modeling investigation of new N′-(2-Thiouracil-5-oyl) hydrazone derivatives as potential anti-breast cancer and anti-bacterial agents. J. Mol. Struct. 2021, 1232, 129993. [Google Scholar] [CrossRef]
- Paruch, K.; Popiołek, Ł.; Biernasiuk, A.; Berecka-Rycerz, A.; Malm, A.; Gumieniczek, A.; Wujec, M. Novel Derivatives of 4-Methyl-1,2,3-Thiadiazole-5-Carboxylic Acid Hydrazide: Synthesis, Lipophilicity, and In Vitro Antimicrobial Activity Screening. Appl. Sci. 2021, 11, 1180. [Google Scholar] [CrossRef]
- WHO. Global Tuberculosis Report 2020; World Health Organization: Geneva, Switzerland, 2020. [Google Scholar]
- Angelova, V.T.; Valcheva, V.; Vassilev, N.G.; Buyukliev, R.; Momekov, G.; Dimitrov, I.; Saso, L.; Djukic, M.; Shivachev, B. Antimycobacterial activity of novel hydrazide-hydrazone derivatives with 2H-chromene and coumarin scaffold. Bioorg. Med. Chem. Lett. 2017, 27, 223–227. [Google Scholar] [CrossRef]
- Angelova, V.T.; Valcheva, V.; Pencheva, T.; Voynikov, Y.; Vassilev, N.; Mihaylova, R.; Momekov, G.; Shivachev, B. Synthesis, antimycobacterial activity and docking study of 2-aroyl-[1]benzopyrano[4,3-c]pyrazol-4(1H)-one derivatives and related hydrazide-hydrazones. Bioorg. Med. Chem. Lett. 2017, 27, 2996–3002. [Google Scholar] [CrossRef]
- Atta, A.; Fahmy, S.; Rizk, O.; Sriram, D.; Mahran, M.A.; Labouta, I.M. Structure-based design of some isonicotinic acid hydrazide analogues as potential antitubercular agents. Bioorg. Chem. 2018, 80, 721–732. [Google Scholar] [CrossRef]
- Mandewale, M.C.; Thorat, B.; Nivid, Y.; Jadhav, R.; Nagarsekar, A.; Yamgar, R. Synthesis, structural studies and antituberculosis evaluation of new hydrazone derivatives of quinoline and their Zn(II) complexes. J. Saudi Chem. Soc. 2018, 22, 218–228. [Google Scholar] [CrossRef] [Green Version]
- Angelova, V.T.; Pencheva, T.; Vassilev, N.; Simeonova, R.; Momekov, G.; Valcheva, V. New indole and indazole derivatives as potential antimycobacterial agents. Med. Chem. Res. 2019, 28, 485–497. [Google Scholar] [CrossRef]
- Beteck, R.M.; Seldon, R.; Jordaan, A.; Warner, D.F.; Hoppe, H.C.; Laming, D.; Legoabe, L.J.; Khanye, S.D. Quinolone-isoniazid hybrids: Synthesis and preliminary in vitro cytotoxicity and anti-tuberculosis evaluation. Med. Chem. Commun. 2019, 10, 326. [Google Scholar] [CrossRef]
- Hassan, N.W.; Saudi, M.N.; Abdel-Ghany, Y.S.; Ismail, A.; Elzahhar, P.A.; Sriram, D.; Nassra, R.; Abdel-Aziz, M.M.; El-Hawash, S.A. Novel pyrazine based anti-tubercular agents: Design, synthesis, biological evaluation and in silico studies. Bioorg. Chem. 2020, 96, 103610. [Google Scholar] [CrossRef]
- Rohane, S.H.; Chauhan, A.J.; Fuloria, N.K.; Fuloria, S. Synthesis and in vitro antimycobacterial potential of novel hydrazones of eugenol. Arab. J. Chem. 2020, 13, 4495–4504. [Google Scholar] [CrossRef]
- Gürsoy, E.; Dincel, E.D.; Naesens, L.; Güzeldemirci, N.U. Design and synthesis of novel imidazo[2,1-b]thiazole derivatives as potent antiviral and antimycobacterial agents. Bioorg. Chem. 2020, 95, 103496. [Google Scholar] [CrossRef]
- Shah, S.R.; Katariya, K.D. 1,3-Oxazole-isoniazid hybrids: Synthesis, antitubercular activity, and their docking studies. J. Heterocycl. Chem. 2020, 57, 1682–1691. [Google Scholar] [CrossRef]
- Liu, N.; Tu, J.; Dong, G.; Wang, Y.; Sheng, C. Emerging New Targets for the Treatment of Resistant Fungal Infections. J. Med. Chem. 2018, 61, 5484–5511. [Google Scholar] [CrossRef]
- Geddes-McAlister, J.; Shapiro, R.S. New pathogens, new tricks: Emerging, drug-resistant fungal pathogens and future prospects for antifungal therapeutics. Ann. N. Y. Acad. Sci. 2019, 1435, 57–78. [Google Scholar] [CrossRef]
- Guilherme, F.D.; Simonetti, J.É.; Folquitto, L.R.S.; Reis, A.C.C.; Oliver, J.C.; Dias, A.L.T.; Dias, D.F.; Carvalho, D.T.; Brandão, G.C.; de Souza, T.B. Synthesis, chemical characterization and antimicrobial activity of new acylhydrazones derived from carbohydrates. J. Mol. Struct. 2019, 1184, 349–356. [Google Scholar] [CrossRef]
- Dascalu, A.-E.; Ghinet, A.; Lipka, E.; Furman, C.; Rigo, B.; Fayeulle, A.; Billamboz, M. Design, synthesis and evaluation of hydrazine and acyl hydrazone derivatives of 5-pyrrolidin-2-one as antifungal agents. Bioorg. Med. Chem. Lett. 2020, 30, 127220. [Google Scholar] [CrossRef]
- Morehead, M.S.; Scarbrough, C. Emergence of Global Antibiotic Resistance. Prim. Care Clin. Off. Pract. 2018, 45, 467–484. [Google Scholar] [CrossRef] [PubMed]





































| Compound | Minimal Inhibitory Concentration (MIC) (µg/mL) | |||||
|---|---|---|---|---|---|---|
| P. aeruginosa | S. aureus | E. coli | B. licheniformis | P. vulgaris | M. varians | |
| 3 | 1.56 ± 0.02 | 0.39 ± 0.02 | 0.78 ± 0.02 | 1.56 ± 0.02 | 0.39 ± 0.02 | 0.78 ± 0.02 |
| Compound | Minimal Inhibitory Concentration (MIC) [µM] | |||||||||
|---|---|---|---|---|---|---|---|---|---|---|
| SA | MRSA | SE | EF | EC | ||||||
| 24 h | 48 h | 24 h | 48 h | 24 h | 48 h | 24 h | 48 h | 24 h | 48 h | |
| 4 | 1.98 | 1.98 | 1.98 | 1.98 | 3.9 | 3.9 | 1.98 | 3.9 | 250 | 250 |
| BAC | 7.81 | 15.62 | 15.62 | 15.62 | 15.62 | 31.25 | 15.62 | 62.5 | >500 | >500 |
| Compound | Diameter (mm) of Zone of Inhibition Growth | |||||||
|---|---|---|---|---|---|---|---|---|
| SA | ML | BS | KP | VP | PM | EC | PA | |
| 7 | 6 | 8 | 6 | 6 | 8 | 6 | 7 | 6 |
| Ciprofloxacin | 10 | 9 | 12 | 9 | 8 | 10 | 9 | 8 |
| Compound | Diameter (mm) of Zone of Inhibition Growth | |||
|---|---|---|---|---|
| Gram-Positive Bacteria | Gram-Negative Bacteria | |||
| B. subtilis | B. cereus | P. aeruginosa | E. coli | |
| 12 | 33 | 15 | 16 | 21 |
| 13 | 46 | 18 | 22 | 19 |
| Cefotaxime | 32 | 28 | 32 | 34 |
| Compound | MIC (µmol/mL) | Microorganism | |||
|---|---|---|---|---|---|
| S. aureus ATCC 6538 | E. coli ATCC 10536 | MRSA MFBF 10679 | ESBL+ E. coli MFBF 12794 | ||
| 17 | IC90 IC50 | 0.12 4.7 × 10−2 | 0.37 0.35 | 2.30 × 10−2 2.10 × 10−2 | 0.36 0.16 |
| Gentamicin Sulphate | IC90 IC50 | 1.35 × 10−4 5.03 × 10−5 | >3.35 × 10−2 >3.35 × 10−2 | 6.97 × 10−4 2.97 × 10−4 | >3.35 × 10−2 >3.35 × 10−2 |
| Norfloxacin | IC90 IC50 | >6.26 × 10−3 >6.26 × 10−3 | 4.95 × 10−5 4.68 × 10−5 | >6.26 × 10−3 >6.26 × 10−3 | >6.26 × 10−3 >6.26 × 10−3 |
| Colistin | IC90 IC50 | >2.16 × 10−2 >2.16 × 10−2 | >2.16 × 10−2 >2.16 × 10−2 | >2.16 × 10−2 >2.16 × 10−2 | 5.07 × 10−5 4.63 × 10−5 |
| Compound | Minimal Inhibitory Concentration (MIC) and Minimal Bactericidal Concentration (MBC) in µg/mL | |||||
|---|---|---|---|---|---|---|
| Gram-Positive Bacteria | Gram-Negative Bacteria | |||||
| S. aureus | S. epidermidis | B. subtilis | P. aeruginosa | E. coli | P. vulgaris | |
| MIC MBC | MIC MBC | MIC MBC | MIC MBC | MIC MBC | MIC MBC | |
| 18 | 50 50 | 50 100 | 25 50 | 25 50 | 50 50 | 100 100 |
| Ampicillin | 6.25 | 12.5 | 12.5 | - | - | - |
| Levofloxacin | - | - | - | 12.5 | 6.25 | 12.5 |
| Compound | MIC (µM) | ||
|---|---|---|---|
| Gram-Positive Bacteria | |||
| E. faecalis ATCC 13124 | S. aureus ATCC 25923 | B. cereus ATCC 13245 | |
| 20 | 12.5 | 12.5 | 12.5 |
| Streptomycin | 350 | 350 | 175 |
| Compound | Minimal Inhibitory Concentration (MIC) (µg/mL) | |||
|---|---|---|---|---|
| Gram-Positive Bacteria | Gram-Negative Bacteria | |||
| B. subtilis | S. aureus | E. coli | P. aeruginosa | |
| 21 | 15.62 | 55.5 | 7.81 | 83.33 |
| Tetracycline | 31.25 | 62.5 | 15.62 | 62.5 |
| Compound | IC50 (μM) | ||
|---|---|---|---|
| E. coli MTCC 433 | P. putida MTCC 1237 | B. subtilis MTCC 1427 | |
| 22 | 0.19 ± 0.06 | 0.45 ± 0.18 | 0.14 ± 0.02 |
| Chloramphenicol | 0.23 ± 0.05 | 0.25 ± 0.02 | 0.21 ± 0.06 |
| Compound | Diameter of Zone of Inhibition Growth (mm/mg Sample) | ||||
|---|---|---|---|---|---|
| Gram-Positive Bacteria | Gram-Negative Bacteria | ||||
| B. cereus ATCC 11778 | S. aureus ATCC 29213 | S. typhimurium ATCC 14028 | E. coli ATCC 25922 | P. aeruginosa ATCC 27953 | |
| 23 | 10 | 30 | 30 | 10 | 30 |
| Penicillin | 25 | 32 | 40 | 15 | - |
| Nizo-arm | - | - | - | - | 45 |
| Compound | Diameter (mm) of Zone of Inhibition Growth at 50 µg/mL | ||
|---|---|---|---|
| Gram-Negative Bacteria | Gram-Positive Bacteria | ||
| E. coli | P. aeruginosa | S. aureus | |
| 27 | 40 | 28 | 25 |
| Ciprofloxacin | 40 | 50 | 35 |
| Compound | MIC [µM] | |||||||||
|---|---|---|---|---|---|---|---|---|---|---|
| M. tuberculosis 331/88 | M. avium 330/88 | M. kansasii 235/80 | M. kansasii 6509/96 | |||||||
| 14 day | 21 day | 14 day | 21 day | 7 day | 14 day | 21 day | 7 day | 14 day | 21 day | |
| 29 | 16 | 16 | >125 | >125 | 16 | 16 | 16 | 16 | 16 | 16 |
| Isoniazid | 0.5 | 1 | >250 | >250 | >250 | >250 | >250 | 8 | 8 | 8 |
| Compound | MIC [µM] | |||||||
|---|---|---|---|---|---|---|---|---|
| CT | CK | CG | TM | |||||
| 24 h | 48 h | 24 h | 48 h | 24 h | 48 h | 24 h | 48 h | |
| 4 | >125 | >125 | >125 | >125 | ≤0.49 | 0.98 | 1.98 | 3.9 |
| Fluconazole | >500 | >500 | 125 | 250 | 31.25 | 500 | 7.81 | 125 |
| Compound | MIC (µg/mL) | |
|---|---|---|
| A. fumigatus RCMB 02568 | C. albicans RCMB 05036 | |
| 5 | 0.98 | 0.49 |
| 6 | 0.98 | 0.98 |
| Amphotericin B | 1.95 | 0.98 |
| Compound | Diameter of Zone of Inhibition Growth (mm) | ||
|---|---|---|---|
| A. niger | Mucor spp. | Trichoderma viride | |
| 42 | 6 | 6 | 7 |
| Miconazole | 7 | 8 | 10 |
| Compound | MIC50 (µg/mL) | ||||
|---|---|---|---|---|---|
| Fusarium solani | Penicillium ochrochloron | Cladosporium cladosporioides | Geotrichum candidum | Candida tropicalis | |
| 48 | - | 15.4 | 23.9 | 1.8 | - |
| 49 | 6.5 | 5.3 | 53.0 | 5.9 | >75 |
| Ketoconazole | - | - | - | 1.5 | 15.9 |
| Hymexazol | 15.6 | 62.2 | 28.9 | >50 | - |
| Fluconazole | - | - | - | 1.6 | - |
Publisher’s Note: MDPI stays neutral with regard to jurisdictional claims in published maps and institutional affiliations. |
© 2021 by the author. Licensee MDPI, Basel, Switzerland. This article is an open access article distributed under the terms and conditions of the Creative Commons Attribution (CC BY) license (https://creativecommons.org/licenses/by/4.0/).
Share and Cite
Popiołek, Ł. Updated Information on Antimicrobial Activity of Hydrazide–Hydrazones. Int. J. Mol. Sci. 2021, 22, 9389. https://doi.org/10.3390/ijms22179389
Popiołek Ł. Updated Information on Antimicrobial Activity of Hydrazide–Hydrazones. International Journal of Molecular Sciences. 2021; 22(17):9389. https://doi.org/10.3390/ijms22179389
Chicago/Turabian StylePopiołek, Łukasz. 2021. "Updated Information on Antimicrobial Activity of Hydrazide–Hydrazones" International Journal of Molecular Sciences 22, no. 17: 9389. https://doi.org/10.3390/ijms22179389
APA StylePopiołek, Ł. (2021). Updated Information on Antimicrobial Activity of Hydrazide–Hydrazones. International Journal of Molecular Sciences, 22(17), 9389. https://doi.org/10.3390/ijms22179389
