[68Ga]Ga-DFO-c(RGDyK): Synthesis and Evaluation of Its Potential for Tumor Imaging in Mice
Abstract
1. Introduction
2. Results and Discussion
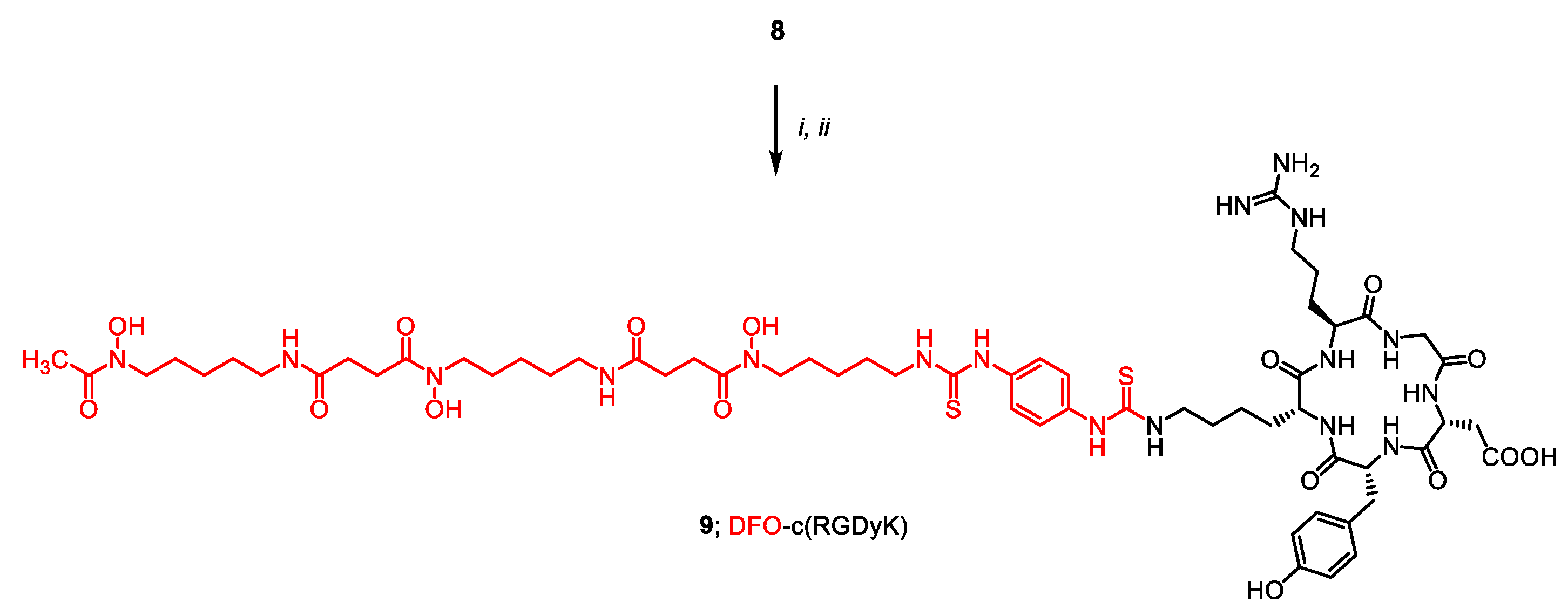
2.1. Conjugate Synthesis
2.2. Radiolabeling and In Vitro Characterization
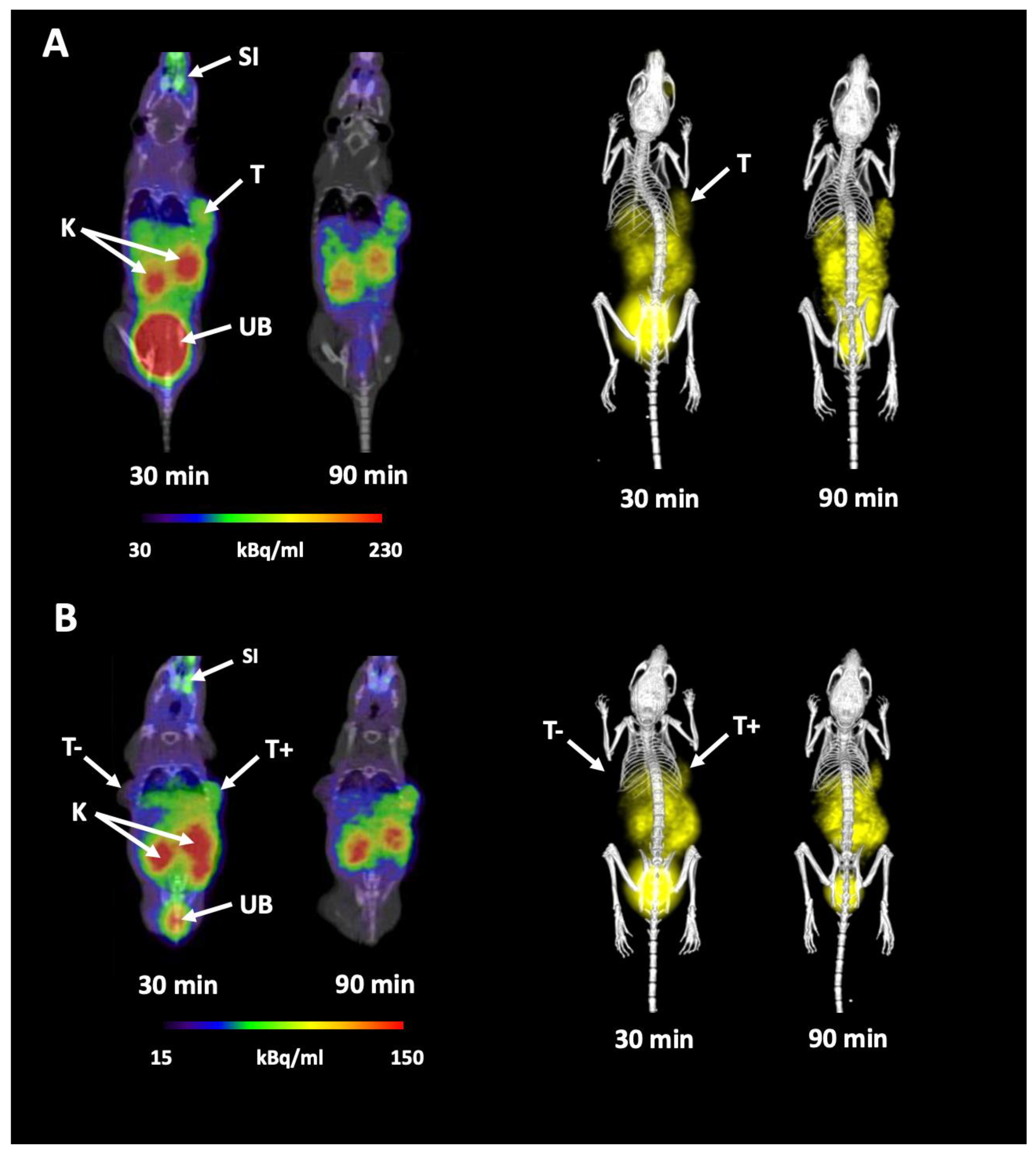
2.3. In Vivo Characterization
3. Materials and Methods
3.1. Chemicals
3.2. Conjugate Preparation
3.2.1. Procedure for Acylation with Fmoc-Gly-OH
3.2.2. General Procedure A for Deprotection of Fmoc
3.2.3. General Procedure B for Preparation of Pentapeptide
3.2.4. Procedure for HFiP Mediated Cleavage from the Resin (with Maintaining Protecting Groups)
3.2.5. Procedure for Peptide Cyclization
3.2.6. Procedure for Deprotection of Dde
3.2.7. Procedure for Acylation with p-SCN-Bn-Deferoxamine and Final Deprotection of Pbf and Tert-Butyl Protecting Groups
3.2.8. Instrumentation and Analytics
3.3. Radiolabeling and Quality Control
3.4. Partition Coefficient, In Vitro Stability, and Protein Binding
3.5. Cell Culture and In Vitro Cell Assays
3.6. Animal Experiments
4. Conclusions
Supplementary Materials
Author Contributions
Funding
Institutional Review Board Statement
Informed Consent Statement
Data Availability Statement
Acknowledgments
Conflicts of Interest
References
- Fani, M.; Maecke, H.R.; Okarvi, S.M. Radiolabeled peptides: Valuable tools for the detection and treatment of cancer. Theranostics 2012, 2, 481–501. [Google Scholar] [CrossRef]
- Rangger, C.; Haubner, R. Radiolabelled peptides for positron emission tomography and endoradiotherapy in oncology. Pharmaceuticals 2020, 13, 22. [Google Scholar] [CrossRef]
- Fani, M.; Maecke, H.R. Radiopharmaceutical development of radiolabelled peptides. Eur. J. Nucl. Med. Mol. Imaging 2012, 39, S11–S30. [Google Scholar] [CrossRef]
- Laverman, P.; Sosabowski, J.K.; Boerman, O.C.; Oyen, W.J.G. Radiolabelled peptides for oncological diagnosis. Eur. J. Nucl. Med. Mol. Imaging 2012, 39, S78–S92. [Google Scholar] [CrossRef]
- Leitha, D.; Izard, T. Roles of membrane domains in integrin-mediated cell adhesion. Int. J. Mol. Sci. 2020, 21, 5531. [Google Scholar] [CrossRef] [PubMed]
- Mezu-Ndubuisi, O.J.; Maheshwari, A. The role of integrins in inflammation and angiogenesis. Pediatr. Res. 2020, 89, 1619–1626. [Google Scholar] [CrossRef] [PubMed]
- Nieberler, M.; Reuning, U.; Reichart, F.; Notni, J.; Wester, H.J.; Schwaiger, M.; Weinmüller, M.; Räder, A.; Steiger, K.; Kessler, H. Exploring the role of RGD-recognizing integrins in cancer. Cancers 2017, 9, 116. [Google Scholar] [CrossRef] [PubMed]
- Gaertner, F.C.; Kessler, H.; Wester, H.J.; Schwaiger, M.; Beer, A.J. Radiolabelled RGD peptides for imaging and therapy. Eur. J. Nucl. Med. Mol. Imaging 2012, 39, S126–S138. [Google Scholar] [CrossRef] [PubMed]
- Jamous, M.; Haberkorn, U.; Mier, W. Synthesis of peptide radiopharmaceuticals for the therapy and diagnosis of tumor diseases. Molecules 2013, 18, 3379–3409. [Google Scholar] [CrossRef]
- Liu, S. Bifunctional coupling agents for radiolabeling of biomolecules and target-specific delivery of metallic radionuclides. Adv. Drug Deliv. Rev. 2008, 60, 1347–1370. [Google Scholar] [CrossRef]
- Shi, J.; Wang, F.; Liu, S. Radiolabeled cyclic RGD peptides as radiotracers for tumor imaging. Biophys. Rep. 2016, 2, 1–20. [Google Scholar] [CrossRef]
- Ioppolo, J.A.; Caldwell, D.; Beiraghi, O.; Llano, L.; Blacker, M.; Valliant, J.F.; Berti, P.J. 67Ga-labeled deferoxamine derivatives for imaging bacterial infection: Preparation and screening of functionalized siderophore complexes. Nucl. Med. Biol. 2017, 52, 32–41. [Google Scholar] [CrossRef]
- Oroujeni, M.; Garousi, J.; Andersson, K.G.; Löfblom, J.; Mitran, B.; Orlova, A.; Tolmachev, V. Preclinical evaluation of [68Ga]Ga-DFO-ZEGFR:2377: A promising affibody-based probe for noninvasive PET imaging of EGFR expression in tumors. Cells 2018, 7, 141. [Google Scholar] [CrossRef] [PubMed]
- Kaeppeli, S.A.M.; Schibli, R.; Mindt, T.L.; Behe, M. Comparison of desferrioxamine and NODAGA for the gallium-68 labeling of exendin-4. EJNMMI Radiopharm. Chem. 2019, 4, 9. [Google Scholar] [CrossRef] [PubMed]
- Raavé, R.; Sandker, R.; Adumeau, P.; Jacobsen, C.B.; Mangin, F.; Meyer, M.; Moreau, M.; Bernhard, C.; Da Costa, L.; Dubois, A.; et al. Direct comparison of the in vitro and in vivo stability of DFO, DFO* and DFOcyclo* for 89 Zr-immunoPET. Eur. J. Nucl. Med. Mol. Imaging 2019, 46, 1966–1977. [Google Scholar] [CrossRef]
- Petrik, M.; Umlaufova, E.; Raclavsky, V.; Palyzova, A.; Havlicek, V.; Pfister, J.; Mair, C.; Novy, Z.; Popper, M.; Hajduch, M.; et al. 68Ga-labelled desferrioxamine-B for bacterial infection imaging. Eur. J. Nucl. Med. Mol. Imaging 2021, 48, 372–382. [Google Scholar] [CrossRef] [PubMed]
- Ye, Y.; Bloch, S.; Xu, B.; Achilefu, S. A novel near-infrared fluorescent integrin targeted DFO analog. Bioconjug. Chem. 2008, 19, 225–234. [Google Scholar] [CrossRef] [PubMed]
- Haubner, R.; Decristoforo, C. Radiolabelled RGD peptides and peptidomimetics for tumour targeting. Front. Biosci. 2009, 14, 872–886. [Google Scholar] [CrossRef]
- Kapp, T.G.; Rechenmacher, F.; Neubauer, S.; Maltsev, O.V.; Cavalcanti-Adam, E.A.; Zarka, R.; Reuning, U.; Notni, J.; Wester, H.J.; Mas-Moruno, C.; et al. A comprehensive evaluation of the activity and selectivity profile of ligands for RGD-binding integrins. Sci. Rep. 2017, 7, 39805. [Google Scholar] [CrossRef]
- Li, Z.B.; Chen, K.; Chen, X. (68)Ga-labeled multimeric RGD peptides for microPET imaging of integrin alpha(v)beta (3) expression. Eur. J. Nucl. Med. Mol. Imaging 2008, 35, 1100–1108. [Google Scholar] [CrossRef]
- Jeong, J.M.; Hong, M.K.; Chang, Y.S.; Lee, Y.S.; Kim, Y.J.; Cheon, G.J.; Lee, D.S.; Chung, J.K.; Lee, M.C. Preparation of a promising angiogenesis PET imaging agent: 68Ga-labeled c(RGDyK)-isothiocyanatobenzyl-1,4,7-triazacyclononane-1,4,7-triacetic acid and feasibility studies in mice. J. Nucl. Med. 2008, 49, 830–836. [Google Scholar] [CrossRef]
- Oxboel, J.; Schjoeth-Eskesen, C.; El-Ali, H.H.; Madsen, J.; Kjaer, A. 64Cu-NODAGA-c(RGDyK) is a promising new angiogenesis PET tracer: Correlation between tumor uptake and integrin αVβ3 expression in human neuroendocrine tumor xenografts. Int. J. Mol. Imaging 2012, 2012, 379807. [Google Scholar] [CrossRef]
- Shin, U.C.; Jung, K.H.; Lee, J.W.; Lee, K.C.; Lee, Y.J.; Park, J.A.; Kim, J.Y.; Kang, J.H.; An, G.I.; Ryu, Y.H.; et al. Preliminary evaluation of new 68Ga-labeled cyclic RGD peptides by PET imaging. J. Radiopharm. Mol. Probes. 2016, 2, 118–122. [Google Scholar]
- Novy, Z.; Stepankova, J.; Hola, M.; Flasarova, D.; Popper, M.; Petrik, M. Preclinical evaluation of radiolabeled peptides for PET imaging of glioblastoma multiforme. Molecules 2019, 24, 2496. [Google Scholar] [CrossRef] [PubMed]
- Van Der Gucht, A.; Pomoni, A.; Jreige, M.; Allemann, P.; Prior, J.O. 68Ga-NODAGA-RGDyK PET/CT imaging in esophageal cancer: First-in-human imaging. Clin. Nucl. Med. 2016, 41, 491–492. [Google Scholar] [CrossRef] [PubMed][Green Version]
- Durante, S.; Dunet, V.; Gorostidi, F.; Mitsakis, P.; Schaefer, N.; Delage, J.; Prior, J.O. Head and neck tumors angiogenesis imaging with 68Ga-NODAGA-RGD in comparison to 18F-FDG PET/CT: A pilot study. EJNMMI Res. 2020, 10, 47. [Google Scholar] [CrossRef]
- Belotti, D.; Remelli, M. Deferoxamine B: A natural, excellent and versatile metal chelator. Molecules 2021, 26, 3255. [Google Scholar] [CrossRef]
- Díaz-Mochón, J.J.; Bialy, L.; Bradley, M. Full Orthogonality between Dde and Fmoc: The direct yynthesis of PNA-peptide conjugates. Org. Lett. 2004, 6, 1127–1129. [Google Scholar] [CrossRef]
- Fani, M.; Andre, J.P.; Maecke, H.R. 68Ga-PET: A powerful generator-based alternative to cyclotron-based PET radiopharmaceuticals. Contrast Media Mol. Imaging 2008, 3, 67–77. [Google Scholar] [CrossRef]
- Decristoforo, C. Gallium-68—A new opportunity for PET available from a long shelf-life generator—Automation and applications. Curr. Radiopharm. 2012, 5, 212–220. [Google Scholar] [CrossRef]
- Velikyan, I. 68Ga-Based radiopharmaceuticals: Production and application relationship. Molecules 2015, 20, 12913–12943. [Google Scholar] [CrossRef] [PubMed]
- Knetsch, P.; Petrik, M.; Griessinger, C.M.; Rangger, C.; Fani, M.; Kesenheimer, C.; von Guggenberg, E.; Pichler, B.J.; Virgolini, I.; Decristoforo, C.; et al. [68Ga]NODAGA-RGD for imaging αvβ3 integrin expression. Eur. J. Nucl. Med. Mol. Imaging 2011, 38, 1303–1312. [Google Scholar] [CrossRef] [PubMed]
- Kaeopookum, P.; Petrik, M.; Summer, D.; Klingler, M.; Zhai, C.; Rangger, C.; Haubner, R.; Haas, H.; Hajduch, M.; Decristoforo, C. Comparison of 68Ga-labeled RGD mono- and multimers based on a clickable siderophore-based scaffold. Nucl. Med. Biol. 2019, 78–79, 1–10. [Google Scholar] [CrossRef] [PubMed]
- Summer, D.; Grossrubatscher, L.; Petrik, M.; Michalcikova, T.; Novy, Z.; Rangger, C.; Klingler, M.; Haas, H.; Kaeopookum, P.; von Guggenberg, E.; et al. Developing targeted hybrid imaging probes by chelator scaffolding. Bioconjug. Chem. 2017, 28, 1722–1733. [Google Scholar] [CrossRef]
- Carlucci, G.; Ananias, H.J.K.; Yu, Z.; Van de Wiele, C.; Dierckx, R.A.; de Jong, I.J.; Elsinga, P.H. Multimerization improves targeting of peptide radio-pharmaceuticals. Curr. Pharm. Des. 2012, 18, 2501–2516. [Google Scholar] [CrossRef] [PubMed]
- Notni, J.; Pohle, C.; Wester, H.J. Be spoilt for choice with radiolabelled RGD peptides: Preclinical evaluation of 68Ga-TRAP(RGD)3. Nucl. Med. Biol. 2013, 40, 33–41. [Google Scholar] [CrossRef] [PubMed]
- Liu, S. Radiolabeled cyclic RGD peptide bioconjugates as radiotracers targeting multiple integrins. Bioconjug. Chem. 2015, 26, 1413–1438. [Google Scholar] [CrossRef]
- Chandra, R.; Pierno, C.; Braunstein, P. 111In Desferal: A new radiopharmaceutical for abscess detection. Radiology 1978, 128, 697–699. [Google Scholar] [CrossRef]
- Govindan, S.V.; Michel, R.B.; Griffiths, G.L.; Goldenberg, D.M.; Mattes, M.J. Deferoxamine as a chelator for 67Ga in the preparation of antibody conjugates. Nucl. Med. Biol. 2005, 32, 513–519. [Google Scholar] [CrossRef] [PubMed]
- Asati, S.; Pandey, V.; Soni, V. RGD peptide as a targeting moiety for theranostic purpose: An update study. Int. J. Pept. Res. Ther. 2019, 25, 49–65. [Google Scholar] [CrossRef]
- Müller, S.A.; Holzapfel, K.; Seidl, C.; Treiber, U.; Krause, B.J.; Senekowitsch-Schmidtke, R. Characterization of choline uptake in prostate cancer cells following bicalutamide and docetaxel treatment. Eur. J. Nucl. Med. Mol. Imaging 2009, 36, 1434–1442. [Google Scholar] [CrossRef] [PubMed]








| Log P (n = 6) | Incubation Time (min) | Protein Binding (%) (n = 3) | Stability in Human Serum (%) (n = 3) | Stability in PBS (%) (n = 3) | Stability in Iron Solution (%) (n = 3) | Stability in DTPA Solution (%) (n = 3) |
|---|---|---|---|---|---|---|
| 30 | 30.7 ± 1.40 | 97.5 ± 0.46 | 97.6 ± 0.60 | 0.13 ± 0.12 | 75.4 ± 1.55 | |
| −2.01 ± 0.08 | 60 | 29.3 ± 1.78 | 98.1 ± 0.76 | 98.9 ± 0.27 | 0.47 ± 0.28 | 61.4 ± 5.53 |
| 120 | 30.1 ± 3.32 | 98.3 ± 1.44 | 97.5 ± 0.81 | 0.22 ± 0.14 | 40.4 ± 4.39 |
Publisher’s Note: MDPI stays neutral with regard to jurisdictional claims in published maps and institutional affiliations. |
© 2021 by the authors. Licensee MDPI, Basel, Switzerland. This article is an open access article distributed under the terms and conditions of the Creative Commons Attribution (CC BY) license (https://creativecommons.org/licenses/by/4.0/).
Share and Cite
Krajcovicova, S.; Daniskova, A.; Bendova, K.; Novy, Z.; Soural, M.; Petrik, M. [68Ga]Ga-DFO-c(RGDyK): Synthesis and Evaluation of Its Potential for Tumor Imaging in Mice. Int. J. Mol. Sci. 2021, 22, 7391. https://doi.org/10.3390/ijms22147391
Krajcovicova S, Daniskova A, Bendova K, Novy Z, Soural M, Petrik M. [68Ga]Ga-DFO-c(RGDyK): Synthesis and Evaluation of Its Potential for Tumor Imaging in Mice. International Journal of Molecular Sciences. 2021; 22(14):7391. https://doi.org/10.3390/ijms22147391
Chicago/Turabian StyleKrajcovicova, Sona, Andrea Daniskova, Katerina Bendova, Zbynek Novy, Miroslav Soural, and Milos Petrik. 2021. "[68Ga]Ga-DFO-c(RGDyK): Synthesis and Evaluation of Its Potential for Tumor Imaging in Mice" International Journal of Molecular Sciences 22, no. 14: 7391. https://doi.org/10.3390/ijms22147391
APA StyleKrajcovicova, S., Daniskova, A., Bendova, K., Novy, Z., Soural, M., & Petrik, M. (2021). [68Ga]Ga-DFO-c(RGDyK): Synthesis and Evaluation of Its Potential for Tumor Imaging in Mice. International Journal of Molecular Sciences, 22(14), 7391. https://doi.org/10.3390/ijms22147391

