Structure, Dynamics, and Ligand Recognition of Human-Specific CHRFAM7A (Dupα7) Nicotinic Receptor Linked to Neuropsychiatric Disorders
Abstract
1. Introduction
2. Results
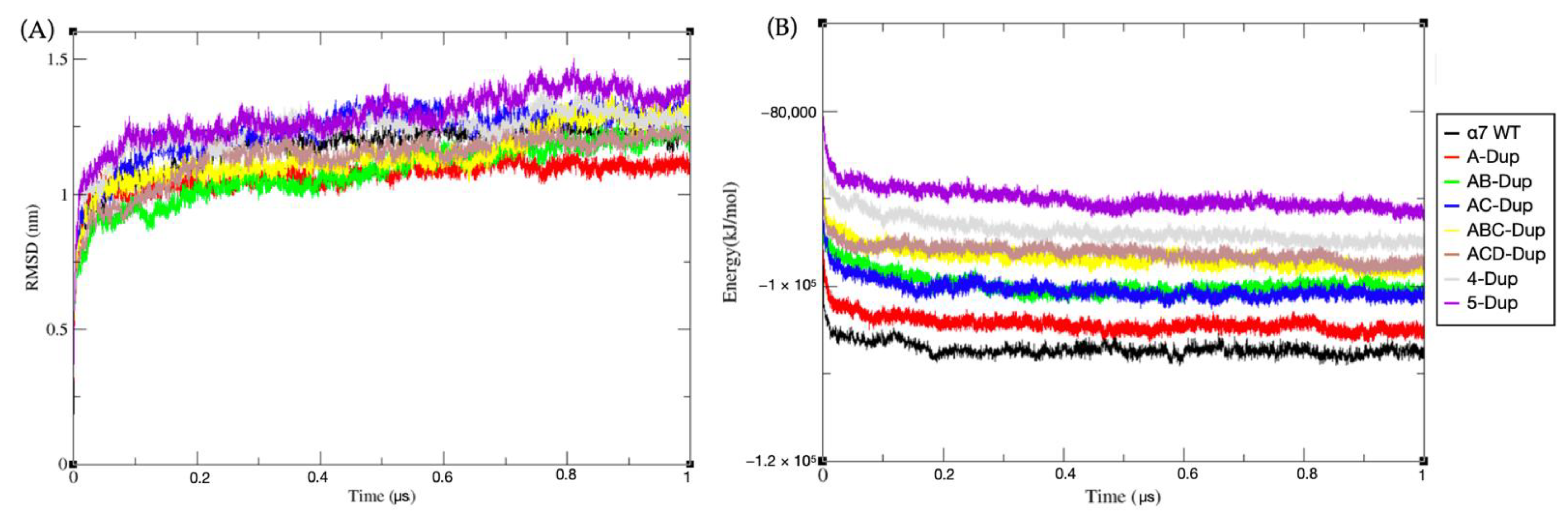
2.1. Stoichiometry Studies for Different Combinations of Dupα7/α7
2.2. The Effect of Dupα7 Subunits on Ca2+ Conductance
2.3. The Effect of Dupα7 Subunits on Macromolecular Ligand Binding
3. Discussion
3.1. Dupα7/A7 Ratio Directly Affects the Structural Cohesion of the Receptor Pentamer
3.2. Dupα7/A7 Ratio Affects the Ligand Binding and May Be Linked to the Nicotinic Translational Gap
4. Materials and Methods
4.1. Molecular Modelling of α7 and Dupα7 Receptors
4.2. Coarse-Grain Molecular Dynamics Simulations
4.3. Atomistic Molecular Dynamics (MD) Simulations
4.4. Umbrella Sampling (US) Simulations
4.5. Aβ42 and α-Bungarotoxin (α-BTX) Binding to α7 Pentamers
5. Conclusions
Supplementary Materials
Author Contributions
Funding
Institutional Review Board Statement
Informed Consent Statement
Data Availability Statement
Acknowledgments
Conflicts of Interest
References
- Lew, A.R.; Kellermayer, T.R.; Sule, B.P.; Szigeti, K. Copy Number Variations in Adult-onset Neuropsychiatric Diseases. Curr. Genom. 2018, 19, 420–430. [Google Scholar] [CrossRef] [PubMed]
- Liu, D.; Richardson, G.; Benli, F.M.; Park, C.; de Souza, J.V.; Bronowska, A.K.; Spyridopoulos, I. Inflammageing in the cardiovascular system: Mechanisms, emerging targets, and novel therapeutic strategies. Clin. Sci. 2020, 134, 2243–2262. [Google Scholar] [CrossRef]
- Hendrickson, L.M.; Guildford, M.J.; Tapper, A.R. Neuronal nicotinic acetylcholine receptors: Common molecular substrates of nicotine and alcohol dependence. Front. Psychiatry 2013, 4, 29. [Google Scholar] [CrossRef] [PubMed]
- Maroli, A.; Di Lascio, S.; Drufuca, L.; Cardani, S.; Setten, E.; Locati, M.; Fornasari, D.; Benfante, R. Effect of donepezil on the expression and responsiveness to LPS of CHRNA7 and CHRFAM7A in macrophages: A possible link to the cholinergic anti-inflammatory pathway. J. Neuroimmunol. 2019, 332, 155–166. [Google Scholar] [CrossRef]
- Andersen, N.; Corradi, J.; Sine, S.M.; Bouzat, C. Stoichiometry for activation of neuronal alpha7 nicotinic receptors. Proc. Natl. Acad. Sci. USA 2013, 110, 20819–20824. [Google Scholar] [CrossRef]
- Cecchini, M.; Changeux, J.P. The nicotinic acetylcholine receptor and its prokaryotic homologues: Structure, conformational transitions & allosteric modulation. Neuropharmacology 2015, 96, 137–149. [Google Scholar]
- Dani, J.A. Neuronal Nicotinic Acetylcholine Receptor Structure and Function and Response to Nicotine. Int. Rev. Neurobiol. 2015, 124, 3–19. [Google Scholar]
- Albuquerque, E.X.; Pereira, E.F.; Alkondon, M.; Rogers, S.W. Mammalian nicotinic acetylcholine receptors: From structure to function. Physiol. Rev. 2009, 89, 73–120. [Google Scholar] [CrossRef]
- Jiang, Y.; Yuan, H.; Huang, L.; Hou, X.; Zhou, R.; Dang, X. Global proteomic profiling of the uniquely human CHRFAM7A gene in transgenic mouse brain. Gene 2019, 714, 143996. [Google Scholar] [CrossRef] [PubMed]
- Sinkus, M.L.; Graw, S.; Freedman, R.; Ross, R.G.; Lester, H.A.; Leonard, S. The human CHRNA7 and CHRFAM7A genes: A review of the genetics, regulation, and function. Neuropharmacology 2015, 96, 274–288. [Google Scholar] [CrossRef] [PubMed]
- Sinkus, M.L.; Lee, M.J.; Gault, J.; Logel, J.; Short, M.; Freedman, R.; Christian, S.L.; Lyon, J.; Leonard, S. A 2-base pair deletion polymorphism in the partial duplication of the alpha7 nicotinic acetylcholine gene (CHRFAM7A) on chromosome 15q14 is associated with schizophrenia. Brain Res. 2009, 1291, 1–11. [Google Scholar] [CrossRef]
- Costantini, T.W.; Dang, X.; Yurchyshyna, M.V.; Coimbra, R.; Eliceiri, B.P.; Baird, A. A Human-Specific alpha7-Nicotinic Acetylcholine Receptor Gene in Human Leukocytes: Identification, Regulation and the Consequences of CHRFAM7A Expression. Mol. Med. 2015, 21, 323–336. [Google Scholar] [CrossRef] [PubMed]
- Lasala, M.; Corradi, J.; Bruzzone, A.; Esandi, M.D.C.; Bouzat, C. A human-specific, truncated alpha7 nicotinic receptor subunit assembles with full-length alpha7 and forms functional receptors with different stoichiometries. J. Biol. Chem. 2018, 293, 10707–10717. [Google Scholar] [CrossRef]
- Szigeti, K.; Ihnatovych, I.; Birkaya, B.; Chen, Z.; Ouf, A.; Indurthi, D.C.; Bard, J.E.; Kann, J.; Adams, A.; Chaves, L.; et al. CHRFAM7A: A human specific fusion gene, accounts for the translational gap for cholinergic strategies in Alzheimer’s disease. EBioMedicine 2020, 59, 102892. [Google Scholar] [CrossRef] [PubMed]
- Kalmady, S.V.; Agrawal, R.; Venugopal, D.; Shivakumar, V.; Amaresha, A.C.; Agarwal, S.M.; Subbanna, M.; Rajasekaran, A.; Narayanaswamy, J.C.; Debnath, M.; et al. CHRFAM7A gene expression in schizophrenia: Clinical correlates and the effect of antipsychotic treatment. J. Neural. Transm. 2018, 125, 741–748. [Google Scholar] [CrossRef]
- Chan, T.W.; Langness, S.; Cohen, O.; Eliceiri, B.P.; Baird, A.; Costantini, T.W. CHRFAM7A reduces monocyte/macrophage migration and colony formation in vitro. Inflamm. Res. 2020, 69, 631–633. [Google Scholar] [CrossRef] [PubMed]
- Kunii, Y.; Zhang, W.; Xu, Q.; Hyde, T.M.; McFadden, W.; Shin, J.H.; Deep-Soboslay, A.; Ye, T.; Li, C.; Kleinman, J.E.; et al. CHRNA7 and CHRFAM7A mRNAs: Co-localized and their expression levels altered in the postmortem dorsolateral prefrontal cortex in major psychiatric disorders. Am. J. Psychiatry 2015, 172, 1122–1130. [Google Scholar] [CrossRef]
- Costantini, T.W.; Chan, T.W.; Cohen, O.; Langness, S.; Treadwell, S.; Williams, E.; Eliceiri, B.P.; Baird, A. Uniquely human CHRFAM7A gene increases the hematopoietic stem cell reservoir in mice and amplifies their inflammatory response. Proc. Natl. Acad. Sci. USA 2019, 116, 7932–7940. [Google Scholar] [CrossRef]
- Ihnatovych, I.; Nayak, T.K.; Ouf, A.; Sule, N.; Birkaya, B.; Chaves, L.; Auerbach, A.; Szigeti, K. iPSC model of CHRFAM7A effect on alpha7 nicotinic acetylcholine receptor function in the human context. Transl. Psychiatry 2019, 9, 59. [Google Scholar] [CrossRef]
- Roberts, J.P.; Stokoe, S.A.; Sathler, M.F.; Nichols, R.A.; Kim, S. Selective co-activation of alpha7- and alpha4beta2-nicotinic acetylcholine receptors reverses beta-amyloid-induced synaptic dysfunction. J. Biol. Chem. 2021, 296, 100402. [Google Scholar] [CrossRef]
- Chan, T.; Williams, E.; Cohen, O.; Eliceiri, B.P.; Baird, A.; Costantini, T.W. CHRFAM7A alters binding to the neuronal alpha-7 nicotinic acetylcholine receptor. Neurosci. Lett. 2019, 690, 126–131. [Google Scholar] [CrossRef]
- Andersen, N.; Corradi, J.; Bartos, M.; Sine, S.M.; Bouzat, C. Functional relationships between agonist binding sites and coupling regions of homomeric Cys-loop receptors. J. Neurosci. 2011, 31, 3662–3669. [Google Scholar] [CrossRef] [PubMed]
- Sun, J.L.; Stokoe, S.A.; Roberts, J.P.; Sathler, M.F.; Nip, K.A.; Shou, J.; Ko, K.; Tsunoda, S.; Kim, S. Co-activation of selective nicotinic acetylcholine receptors is required to reverse beta amyloid-induced Ca(2+) hyperexcitation. Neurobiol. Aging 2019, 84, 166–177. [Google Scholar] [CrossRef] [PubMed]
- Hassan, M.; Shahzadi, S.; Raza, H.; Abbasi, M.A.; Alashwal, H.; Zaki, N.; Moustafa, A.A.; Seo, S.Y. Computational investigation of mechanistic insights of Abeta42 interactions against extracellular domain of nAChRalpha7 in Alzheimer’s disease. Int. J. Neurosci. 2019, 129, 666–680. [Google Scholar] [CrossRef] [PubMed]
- Goldwaser, E.L.; Acharya, N.K.; Wu, H.; Godsey, G.A.; Sarkar, A.; DeMarshall, C.A.; Kosciuk, M.C.; Nagele, R.G. Evidence that Brain-Reactive Autoantibodies Contribute to Chronic Neuronal Internalization of Exogenous Amyloid-beta1-42 and Key Cell Surface Proteins During Alzheimer’s Disease Pathogenesis. J. Alzheimers Dis. 2020, 74, 345–361. [Google Scholar] [CrossRef] [PubMed]
- Waterhouse, A.; Bertoni, M.; Bienert, S.; Studer, G.; Tauriello, G.; Gumienny, R.; Heer, F.T.; de Beer, T.A.P.; Rempfer, C.; Bordoli, L.; et al. SWISS-MODEL: Homology modelling of protein structures and complexes. Nucleic Acids Res. 2018, 46, W296–W303. [Google Scholar] [CrossRef] [PubMed]
- Bertoni, M.; Kiefer, F.; Biasini, M.; Bordoli, L.; Schwede, T. Modeling protein quaternary structure of homo- and hetero-oligomers beyond binary interactions by homology. Sci. Rep. 2017, 7, 10480. [Google Scholar] [CrossRef]
- Pettersen, E.F.; Goddard, T.D.; Huang, C.C.; Couch, G.S.; Greenblatt, D.M.; Meng, E.C.; Ferrin, T.E. UCSF Chimera--a visualization system for exploratory research and analysis. J. Comput. Chem. 2004, 25, 1605–1612. [Google Scholar] [CrossRef]
- Huang, C.C.; Meng, E.C.; Morris, J.H.; Pettersen, E.F.; Ferrin, T.E. Enhancing UCSF Chimera through web services. Nucleic Acids Res. 2014, 42, W478–W484. [Google Scholar] [CrossRef]
- Yang, Z.; Lasker, K.; Schneidman-Duhovny, D.; Webb, B.; Huang, C.C.; Pettersen, E.F.; Goddard, T.D.; Meng, E.C.; Sali, A.; Ferrin, T.E. UCSF Chimera, MODELLER, and IMP: An integrated modeling system. J. Struct. Biol. 2012, 179, 269–278. [Google Scholar] [CrossRef]
- Kmiecik, S.; Gront, D.; Kolinski, M.; Wieteska, L.; Dawid, A.E.; Kolinski, A. Coarse-Grained Protein Models and Their Applications. Chem. Rev. 2016, 116, 7898–7936. [Google Scholar] [CrossRef] [PubMed]
- Marrink, S.J.; Risselada, H.J.; Yefimov, S.; Tieleman, D.P.; de Vries, A.H. The MARTINI force field: Coarse grained model for biomolecular simulations. J. Phys. Chem. B 2007, 111, 7812–7824. [Google Scholar] [CrossRef]
- Van Der Spoel, D.; Lindahl, E.; Hess, B.; Groenhof, G.; Mark, A.E.; Berendsen, H.J. GROMACS: Fast, flexible, and free. J. Comput. Chem. 2005, 26, 1701–1718. [Google Scholar] [CrossRef] [PubMed]
- Lindorff-Larsen, K.; Piana, S.; Palmo, K.; Maragakis, P.; Klepeis, J.L.; Dror, R.O.; Shaw, D.E. Improved side-chain torsion potentials for the Amber ff99SB protein force field. Proteins 2010, 78, 1950–1958. [Google Scholar] [CrossRef] [PubMed]
- Jo, S.; Kim, T.; Iyer, V.G.; Im, W. CHARMM-GUI: A web-based graphical user interface for CHARMM. J. Comput. Chem. 2008, 29, 1859–1865. [Google Scholar] [CrossRef] [PubMed]
- Wu, E.L.; Cheng, X.; Jo, S.; Rui, H.; Song, K.C.; Davila-Contreras, E.M.; Qi, Y.; Lee, J.; Monje-Galvan, V.; Venable, R.M.; et al. CHARMM-GUI Membrane Builder toward realistic biological membrane simulations. J. Comput. Chem. 2014, 35, 1997–2004. [Google Scholar] [CrossRef]
- Jo, S.; Kim, T.; Im, W. Automated builder and database of protein/membrane complexes for molecular dynamics simulations. PLoS ONE 2007, 2, e880. [Google Scholar] [CrossRef]
- Darden, T.; York, D.; Pedersen, L. Particle mesh Ewald: An N⋅ log (N) method for Ewald sums in large systems. J. Chem. Phys. 1993, 98, 10089–10092. [Google Scholar] [CrossRef]
- Hess, B.; Bekker, H.; Berendsen, H.J.; Fraaije, J.G. LINCS: A linear constraint solver for molecular simulations. J. Comput. Chem. 1997, 18, 1463–1472. [Google Scholar] [CrossRef]
- Parrinello, M.; Rahman, A. Polymorphic transitions in single crystals: A new molecular dynamics method. J. Appl. Phys. 1981, 52, 7182–7190. [Google Scholar] [CrossRef]
- Kästner, J. Umbrella sampling. Wiley Interdiscip. Rev. Comput. Mol. Sci. 2011, 1, 932–942. [Google Scholar] [CrossRef]
- Ferrenberg, A.M.; Swendsen, R.H. Optimized monte carlo data analysis. Comput. Phys. 1989, 3, 101–104. [Google Scholar] [CrossRef]
- Kozakov, D.; Hall, D.R.; Xia, B.; Porter, K.A.; Padhorny, D.; Yueh, C.; Beglov, D.; Vajda, S. The ClusPro web server for protein-protein docking. Nat. Protoc. 2017, 12, 255–278. [Google Scholar] [CrossRef] [PubMed]
- Desta, I.T.; Porter, K.A.; Xia, B.; Kozakov, D.; Vajda, S. Performance and Its Limits in Rigid Body Protein-Protein Docking. Structure 2020, 28, 1071–1081.e3. [Google Scholar] [CrossRef] [PubMed]
- Lee, A.; Lee, K.; Kim, D. Using reverse docking for target identification and its applications for drug discovery. Expert Opin. Drug Discov. 2016, 11, 707–715. [Google Scholar] [CrossRef]
- Reulecke, I.; Lange, G.; Albrecht, J.; Klein, R.; Rarey, M. Towards an integrated description of hydrogen bonding and dehydration: Decreasing false positives in virtual screening with the HYDE scoring function. ChemMedChem 2008, 3, 885–897. [Google Scholar] [CrossRef] [PubMed]








| Energy/Model (kcal. Mol−1) | α7 | A-Dup | AB-Dup | AC-Dup | ABC-Dup | ACD-Dup | 4-Dup | 5-Dup |
|---|---|---|---|---|---|---|---|---|
| EC -> TM (around-1.5 nm) | −37.5 | −37.5 | −15.7 | −23.6 | −16.4 | −21.6 | −15.9 | −13.9 |
| Transmembrane domain (around 0 nm) | 0.2 | 1.8 | 14.6 | 7.7 | 4.1 | 2.3 | 4.8 | 9.84 |
| TM –> IC (around 2 nm) | −0.1 | −12.5 | −0.1 | −10.4 | 1.1 | −7.6 | −6.6 | −12.6 |
| Exiting IC (around 6 nm) | 51.1 | 37.6 | 81.2 | 52.3 | 63.1 | 43.7 | 52.8 | 37.3 |
| Binding Site Interface | Aβ42 Affinity (Ki calc) | a-BTX Affinity (Ki calc) |
|---|---|---|
| α7-α7 | Low nM | High pM |
| α7-Dupα7 | mM | >mM |
| Dupα7-α7 | High nM to Low μM | >mM |
| Dupα7-Dupα7 | mM | >mM |
Publisher’s Note: MDPI stays neutral with regard to jurisdictional claims in published maps and institutional affiliations. |
© 2021 by the authors. Licensee MDPI, Basel, Switzerland. This article is an open access article distributed under the terms and conditions of the Creative Commons Attribution (CC BY) license (https://creativecommons.org/licenses/by/4.0/).
Share and Cite
Liu, D.; de Souza, J.V.; Ahmad, A.; Bronowska, A.K. Structure, Dynamics, and Ligand Recognition of Human-Specific CHRFAM7A (Dupα7) Nicotinic Receptor Linked to Neuropsychiatric Disorders. Int. J. Mol. Sci. 2021, 22, 5466. https://doi.org/10.3390/ijms22115466
Liu D, de Souza JV, Ahmad A, Bronowska AK. Structure, Dynamics, and Ligand Recognition of Human-Specific CHRFAM7A (Dupα7) Nicotinic Receptor Linked to Neuropsychiatric Disorders. International Journal of Molecular Sciences. 2021; 22(11):5466. https://doi.org/10.3390/ijms22115466
Chicago/Turabian StyleLiu, Danlin, João V. de Souza, Ayaz Ahmad, and Agnieszka K. Bronowska. 2021. "Structure, Dynamics, and Ligand Recognition of Human-Specific CHRFAM7A (Dupα7) Nicotinic Receptor Linked to Neuropsychiatric Disorders" International Journal of Molecular Sciences 22, no. 11: 5466. https://doi.org/10.3390/ijms22115466
APA StyleLiu, D., de Souza, J. V., Ahmad, A., & Bronowska, A. K. (2021). Structure, Dynamics, and Ligand Recognition of Human-Specific CHRFAM7A (Dupα7) Nicotinic Receptor Linked to Neuropsychiatric Disorders. International Journal of Molecular Sciences, 22(11), 5466. https://doi.org/10.3390/ijms22115466

