Adult Renal Stem/Progenitor Cells Can Modulate T Regulatory Cells and Double Negative T Cells
Abstract
1. Introduction
2. Results
2.1. ARPCs Decrease PBMC Proliferation through TLR2 Triggering
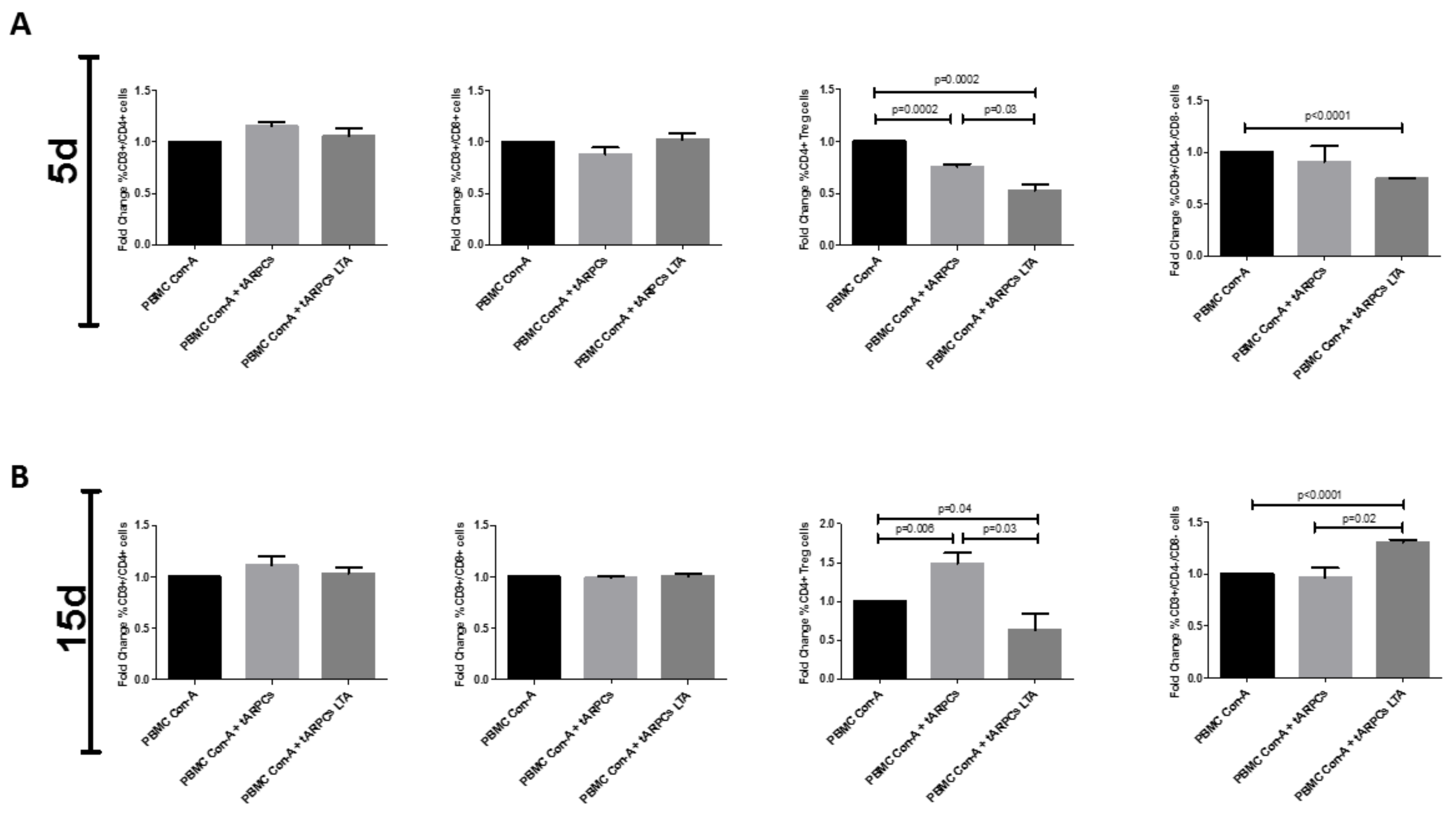
2.2. ARPCs Have Immunomodulatory Effects on Treg and Double Negative T Cells
2.3. ARPC Communicate with T Cell by Means of Specific Chemokines
2.4. Chemokines Validation
3. Discussion
4. Materials and Methods
4.1. Co-Culture Experiments
4.2. Proliferation Assay
4.3. Flow Cytometry Analysis
4.4. Proteome Array
4.5. Statistical Analysis
5. Conclusions
Supplementary Materials
Author Contributions
Funding
Institutional Review Board Statement
Informed Consent Statement
Data Availability Statement
Conflicts of Interest
References
- Sallustio, F.; De Benedictis, L.; Castellano, G.; Zaza, G.; Loverre, A.; Costantino, V.; Grandaliano, G.; Schena, F.P. TLR2 plays a role in the activation of human resident renal stem/progenitor cells. FASEB J. 2010, 24, 514–525. [Google Scholar] [CrossRef] [PubMed]
- Sallustio, F.; Serino, G.; Costantino, V.; Curci, C.; Cox, S.N.; De Palma, G.; Schena, F.P. miR-1915 and miR-1225-5p Regulate the Expression of CD133, PAX2 and TLR2 in Adult Renal Progenitor Cells. PLoS ONE 2013, 8, e68296. [Google Scholar] [CrossRef] [PubMed]
- Sallustio, F.; Gesualdo, L.; Pisignano, D. The Heterogeneity of Renal Stem Cells and Their Interaction with Bio- and Nano-materials. Adv. Exp. Med. Biol. 2019, 1123, 195–216. [Google Scholar] [PubMed]
- Romoli, S.; Angelotti, M.L.; Antonelli, G.; Kumar VR, S.; Mulay, S.R.; Desai, J.; Anguiano Gomez, L.; Thomasova, D.; Eulberg, D.; Klussmann, S.; et al. CXCL12 blockade preferentially regenerates lost podocytes in cortical nephrons by targeting an intrinsic podocyte-progenitor feedback mechanism. Kidney Int. 2018, 94, 1111–1126. [Google Scholar] [CrossRef] [PubMed]
- Sallustio, F.; Curci, C.; Aloisi, A.; Toma, C.C.; Marulli, E.; Serino, G.; Cox, S.N.; De Palma, G.; Stasi, A.; Divella, C.; et al. Inhibin-A and Decorin Secreted by Human Adult Renal Stem/Progenitor Cells Through the TLR2 Engagement Induce Renal Tubular Cell Regeneration. Sci. Rep. 2017, 7, 8225. [Google Scholar] [CrossRef]
- Gramignoli, R.; Sallustio, F.; Widera, D.; Raschzok, N. Editorial: Tissue Repair and Regenerative Mechanisms by Stem/Progenitor Cells and Their Secretome. Front. Med. 2019, 6, 11. [Google Scholar] [CrossRef]
- Sallustio, F.; Curci, C.; Stasi, A.; De Palma, G.; Divella, C.; Gramignoli, R.; Castellano, G.; Gallone, A.; Gesualdo, L. Role of Toll-Like Receptors in Actuating Stem/Progenitor Cell Repair Mechanisms: Different Functions in Different Cells. Stem Cells Int. 2019, 2019, 1–12. [Google Scholar] [CrossRef]
- Sallustio, F.; Serino, G.; Schena, F.P. Potential Reparative Role of Resident Adult Renal Stem/Progenitor Cells in Acute Kidney Injury. Biores. Open Access 2015, 4, 326–333. [Google Scholar] [CrossRef]
- Sallustio, F.; Stasi, A.; Curci, C.; Divella, C.; Picerno, A.; Franzin, R.; De Palma, G.; Rutigliano, M.; Lucarelli, G.; Battaglia, M.; et al. Renal progenitor cells revert LPS-induced endothelial-to-mesenchymal transition by secreting CXCL6, SAA4, and BPIFA2 antiseptic peptides. FASEB J. 2019, 33, 10753–10766. [Google Scholar] [CrossRef]
- Caprnda, M.; Kubatka, P.; Gazdikova, K.; Gasparova, I.; Valentova, V.; Stollarova, N.; La Rocca, G.; Kobyliak, N.; Dragasek, J.; Mozos, I.; et al. Immunomodulatory effects of stem cells: Therapeutic option for neurodegenerative disorders. Biomed. Pharmacother. 2017, 91, 60–69. [Google Scholar] [CrossRef]
- Kode, J.A.; Mukherjee, S.; Joglekar, M.V.; Hardikar, A.A. Mesenchymal stem cells: Immunobiology and role in immunomodulation and tissue regeneration. Cytotherapy 2009, 11, 377–391. [Google Scholar] [CrossRef] [PubMed]
- Prockop, D.J.; Oh, J.Y. Mesenchymal stem/stromal cells (MSCs): Role as guardians of inflammation. Mol. Ther. 2012, 20, 14–20. [Google Scholar] [CrossRef] [PubMed]
- Uccelli, A.; Moretta, L.; Pistoia, V. Mesenchymal stem cells in health and disease. Nat. Rev. Immunol. 2008, 8, 726–736. [Google Scholar] [CrossRef] [PubMed]
- Ren, G.; Zhang, L.; Zhao, X.; Xu, G.; Zhang, Y.; Roberts, A.I.; Zhao, R.C.; Shi, Y. Mesenchymal Stem Cell-Mediated Immunosuppression Occurs via Concerted Action of Chemokines and Nitric Oxide. Cell Stem Cell 2008, 2, 141–150. [Google Scholar] [CrossRef] [PubMed]
- Wang, Y.; Chen, X.; Cao, W.; Shi, Y. Plasticity of mesenchymal stem cells in immunomodulation: Pathological and therapeutic implications. Nat. Immunol. 2014, 15, 1009–1016. [Google Scholar] [CrossRef]
- Ranganath, S.H.; Levy, O.; Inamdar, M.S.; Karp, J.M. Harnessing the mesenchymal stem cell secretome for the treatment of cardiovascular disease. Cell Stem Cell 2012, 10, 244–258. [Google Scholar] [CrossRef]
- Ma, S.; Xie, N.; Li, W.; Yuan, B.; Shi, Y.; Wang, Y. Immunobiology of mesenchymal stem cells. Cell Death Differ. 2014, 21, 216–225. [Google Scholar] [CrossRef]
- Sato, K.; Ozaki, K.; Oh, I.; Meguro, A.; Hatanaka, K.; Nagai, T.; Muroi, K.; Ozawa, K. Nitric oxide plays a critical role in suppression of T-cell proliferation by mesenchymal stem cells. Blood 2007, 109, 228–234. [Google Scholar] [CrossRef]
- Bonafè, F.; Guarnieri, C.; Muscari, C. Nitric oxide regulates multiple functions and fate of adult progenitor and stem cells. J. Physiol. Biochem. 2015, 71, 141–153. [Google Scholar] [CrossRef]
- Simone, S.; Cosola, C.; Loverre, A.; Cariello, M.; Sallustio, F.; Rascio, F.; Gesualdo, L.; Schena, F.P.; Grandaliano, G.; Pertosa, G. BMP-2 induces a profibrotic phenotype in adult renal progenitor cells through Nox4 activation. Am. J. Physiol. Ren. Physiol. 2012, 303. [Google Scholar] [CrossRef]
- Schröder, K.; Zhang, M.; Benkhoff, S.; Mieth, A.; Pliquett, R.; Kosowski, J.; Kruse, C.; Luedike, P.; Michaelis, U.R.; Weissmann, N.; et al. Nox4 Is a protective reactive oxygen species generating vascular NADPH oxidase. Circ. Res. 2012, 110, 1217–1225. [Google Scholar] [CrossRef] [PubMed]
- Tena, A.; Sachs, D.H. Stem cells: Immunology and immunomodulation. Cell-Based Ther. Retin. Degener. Dis. 2014, 53, 122–132. [Google Scholar] [CrossRef]
- Seo, H.S.; Michalek, S.M.; Nahm, M.H. Lipoteichoic acid is important in innate immune responses to gram-positive bacteria. Infect. Immun. 2008, 76, 206–213. [Google Scholar] [CrossRef] [PubMed]
- Haug, T.; Aigner, M.; Peuser, M.M.; Strobl, C.D.; Hildner, K.; Mougiakakos, D.; Bruns, H.; Mackensen, A.; Völkl, S. Human double-negative regulatory T-cells induce a metabolic and functional switch in effector T-cells by suppressing mTOR activity. Front. Immunol. 2019. [Google Scholar] [CrossRef]
- Apoil, P.A.; Puissant-Lubrano, B.; Congy-Jolivet, N.; Peres, M.; Tkaczuk, J.; Roubinet, F.; Blancher, A. Reference values for T, B and NK human lymphocyte subpopulations in adults. Data Br. 2017. [Google Scholar] [CrossRef]
- Deng, Y.; Zhang, Y.; Ye, L.; Zhang, T.; Cheng, J.; Chen, G.; Zhang, Q.; Yang, Y. Umbilical Cord-derived Mesenchymal Stem Cells Instruct Monocytes Towards an IL10-producing Phenotype by Secreting IL6 and HGF. Sci. Rep. 2016, 6. [Google Scholar] [CrossRef]
- Luz-Crawford, P.; Kurte, M.; Bravo-Alegría, J.; Contreras, R.; Nova-Lamperti, E.; Tejedor, G.; Noël, D.; Jorgensen, C.; Figueroa, F.; Djouad, F.; et al. Mesenchymal stem cells generate a CD4+CD25+Foxp3+ regulatory T cell population during the differentiation process of Th1 and Th17 cells. Stem Cell Res. Ther. 2013, 4, 65. [Google Scholar] [CrossRef]
- Juvet, S.C.; Zhang, L. Double negative regulatory T cells in transplantation and autoimmunity: Recent progress and future directions. J. Mol. Cell Biol. 2012, 4, 48–58. [Google Scholar] [CrossRef]
- D’Acquisto, F.; Crompton, T. CD3+CD4−CD8− (double negative) T cells: Saviours or villains of the immune response? Biochem. Pharmacol. 2011, 82, 333–340. [Google Scholar] [CrossRef]
- Chen, W.; Ford, M.S.; Young, K.J.; Zhang, L. The role and mechanisms of double negative regulatory T cells in the suppression of immune responses. Cell. Mol. Immunol. 2004, 1, 328–335. [Google Scholar]
- Zhang, Z.-X.; Yang, L.; Young, K.J.; DuTemple, B.; Zhang, L. Identification of a previously unknown antigen-specific regulatory T cell and its mechanism of suppression. Nat. Med. 2000, 6, 782–789. [Google Scholar] [CrossRef] [PubMed]
- Ascon, D.B.; Ascon, M.; Satpute, S.; Lopez-Briones, S.; Racusen, L.; Colvin, R.B.; Soloski, M.J.; Rabb, H. Normal mouse kidneys contain activated and CD3 + CD4 − CD8 − double-negative T lymphocytes with a distinct TCR repertoire. J. Leukoc. Biol. 2008, 84, 1400–1409. [Google Scholar] [CrossRef] [PubMed]
- Martina, M.N.; Noel, S.; Saxena, A.; Bandapalle, S.; Majithia, R.; Jie, C.; Arend, L.J.; Allaf, M.E.; Rabb, H.; Hamad, A.R.A. Double-negative αβ T cells are early responders to AKI and are found in human kidney. J. Am. Soc. Nephrol. 2016, 27, 1113–1123. [Google Scholar] [CrossRef] [PubMed]
- Taub, D.D.; Anver, M.; Oppenheim, J.J.; Longo, D.L.; Murphy, W.J. T lymphocyte recruitment by interleukin-8 (IL-8). IL-8-induced degranulation of neutrophils releases potent chemoattractants for human T lymphocytes both in vitro and in vivo. J. Clin. Investig. 1996, 97, 1931–1941. [Google Scholar] [CrossRef] [PubMed]
- Gesser, B.; Lund, M.; Lohse, N.; Vestergaard, C.; Matsushima, K.; Sindet-Pedersen, S.; Jensen, S.L.; Thestrup-Pedersen, K.; Larsen, C.G. IL-8 induces T cell Chemotaxis, suppresses IL-4, and up-regulates IL-8 production by CD4 + T cells. J. Leukoc. Biol. 1996, 59, 407–411. [Google Scholar] [CrossRef]
- Kunstfeld, R.; Lechleitner, S.; Wolff, K.; Petzelbauer, P. MCP-1 and MIP-1α are Most Efficient in Recruiting T Cells into the SkinIn Vivo. J. Investig. Dermatol. 1998, 111, 1040–1044. [Google Scholar] [CrossRef]
- Taub, D.D.; Van Damme, J.; Oppenheim, J.J.; Taub, D.D.; Proost, P.; Murphy, W.J.; Anver, M.; Longo, D.L.; Van Damme, J.; Oppenheimil, J.J. Monocyte chemotactic protein-1 (MCP-1),-2, and-3 are chemotactic for human T lymphocytes. Rapid Publication Monocyte Chemotactic Protein-1 (MCP-1),-2, and-3 Are Chemotactic for Human T Lymphocytes. J. Clin. Investig. 1995, 95, 1370. [Google Scholar] [CrossRef]
- Nish, S.A.; Schenten, D.; Wunderlich, F.T.; Pope, S.D.; Gao, Y.; Hoshi, N.; Yu, S.; Yan, X.; Lee, H.K.; Pasman, L.; et al. T cell-intrinsic role of IL-6 signaling in primary and memory responses. eLife 2014, 3. [Google Scholar] [CrossRef]
- Li, B.; Jones, L.L.; Geiger, T.L. IL-6 Promotes T Cell Proliferation and Expansion under Inflammatory Conditions in Association with Low-Level RORγt Expression. J. Immunol. 2018, 201, 2934–2946. [Google Scholar] [CrossRef]
- Lee, S.J.; Song, L.; Yang, M.C.; Mao, C.P.; Yang, B.; Yang, A.; Jeang, J.; Peng, S.; Wu, T.C.; Hung, C.F. Local administration of granulocyte macrophage colony-stimulating factor induces local accumulation of dendritic cells and antigen-specific CD8+ T cells and enhances dendritic cell cross-presentation. Vaccine 2015. [Google Scholar] [CrossRef]
- Zou, T.; Satake, A.; Ojha, P.; Kambayashi, T. Cellular therapies supplement: The role of granulocyte macrophage colony-stimulating factor and dendritic cells in regulatory T-cell homeostasis and expansion. Transfusion 2011. [Google Scholar] [CrossRef] [PubMed]
- Bernhagen, J.; Krohn, R.; Lue, H.; Gregory, J.L.; Zernecke, A.; Koenen, R.R.; Dewor, M.; Georgiev, I.; Schober, A.; Leng, L.; et al. MIF is a noncognate ligand of CXC chemokine receptors in inflammatory and atherogenic cell recruitment. Nat. Med. 2007. [Google Scholar] [CrossRef] [PubMed]
- Kudrin, A.; Scott, M.; Martin, S.; Chung, C.W.; Donn, R.; McMaster, A.; Ellison, S.; Ray, D.; Ray, K.; Binks, M. Human macrophage migration inhibitory factor: A proven immunomodulatory cytokine? J. Biol. Chem. 2006. [Google Scholar] [CrossRef] [PubMed]
- Liliang, J.; Batra, S.; Nobuhiro Douda, D.; Palaniyar, N.; Jeyaseelan, S. CXCL1 Contributes to Host Defense in Polymicrobial Sepsis via Modulating T cell and Neutrophil Functions NIH Public Access. J. Immunol. 2014, 193, 3549–3558. [Google Scholar] [CrossRef]
- Liu, P.; Li, X.; Lv, W.; Xu, Z. Inhibition of CXCL1-CXCR2 axis ameliorates cisplatin-induced acute kidney injury by mediating inflammatory response. Biomed. Pharmacother. 2020, 122, 109693. [Google Scholar] [CrossRef]
- Lv, M.; Xu, Y.; Tang, R.; Ren, J.; Shen, S.; Chen, Y.; Liu, B.; Hou, Y.; Wang, T. MiR141-CXCL1-CXCR2 signaling-induced treg recruitment regulates metastases and survival of non-small cell lung cancer. Mol. Cancer Ther. 2014, 13, 3152–3162. [Google Scholar] [CrossRef]
- Cervilha, D.A.B.; Ito, J.T.; Lourenço, J.D.; Olivo, C.R.; Saraiva-Romanholo, B.M.; Volpini, R.A.; Oliveira-Junior, M.C.; Mauad, T.; Martins, M.A.; Tibério, I.F.L.C.; et al. The Th17/Treg Cytokine Imbalance in Chronic Obstructive Pulmonary Disease Exacerbation in an Animal Model of Cigarette Smoke Exposure and Lipopolysaccharide Challenge Association. Sci. Rep. 2019, 9. [Google Scholar] [CrossRef]
- Pincha, N.; Hajam, E.Y.; Badarinath, K.; Batta, S.P.R.; Masudi, T.; Dey, R.; Andreasen, P.; Kawakami, T.; Samuel, R.; George, R.; et al. PAI1 mediates fibroblast-mast cell interactions in skin fibrosis. J. Clin. Investig. 2018, 128, 1807–1819. [Google Scholar] [CrossRef]
- Poggi, M.; Paulmyer-Lacroix, O.; Verdier, M.; Peiretti, F.; Bastelica, D.; Boucraut, J.; Lijnen, H.R.; Juhan-Vague, I.; Alessi, M.C. Chronic plasminogen activator inhibitor-1 (PAI-1) overexpression dampens CD25+ lymphocyte recruitment after lipopolysaccharide endotoxemia in mouse lung. J. Thromb. Haemost. 2007, 5, 2467–2475. [Google Scholar] [CrossRef]
- Huang, M.-C.; Patel, K.; Taub, D.D.; Longo, D.L.; Goetzl, E.J. Human CD4−8−T cells are a distinctive immunoregulatory subset. FASEB J. 2010, 24, 2558–2566. [Google Scholar] [CrossRef]
- Angelotti, M.L.; Lazzeri, E.; Lasagni, L.; Romagnani, P. Only anti-CD133 antibodies recognizing the CD133/1 or the CD133/2 epitopes can identify human renal progenitors. Kidney Int. 2010, 78, 620–621. [Google Scholar] [CrossRef] [PubMed][Green Version]
- Yu, N.; Li, X.; Song, W.; Li, D.; Yu, D.; Zeng, X.; Li, M.; Leng, X.; Li, X. CD4+CD25+CD127low/- T cells: A more specific treg population in human peripheral blood. Inflammation 2012, 35, 1773–1780. [Google Scholar] [CrossRef] [PubMed]








Publisher’s Note: MDPI stays neutral with regard to jurisdictional claims in published maps and institutional affiliations. |
© 2020 by the authors. Licensee MDPI, Basel, Switzerland. This article is an open access article distributed under the terms and conditions of the Creative Commons Attribution (CC BY) license (http://creativecommons.org/licenses/by/4.0/).
Share and Cite
Curci, C.; Picerno, A.; Chaoul, N.; Stasi, A.; De Palma, G.; Franzin, R.; Pontrelli, P.; Castellano, G.; Pertosa, G.B.; Macchia, L.; et al. Adult Renal Stem/Progenitor Cells Can Modulate T Regulatory Cells and Double Negative T Cells. Int. J. Mol. Sci. 2021, 22, 274. https://doi.org/10.3390/ijms22010274
Curci C, Picerno A, Chaoul N, Stasi A, De Palma G, Franzin R, Pontrelli P, Castellano G, Pertosa GB, Macchia L, et al. Adult Renal Stem/Progenitor Cells Can Modulate T Regulatory Cells and Double Negative T Cells. International Journal of Molecular Sciences. 2021; 22(1):274. https://doi.org/10.3390/ijms22010274
Chicago/Turabian StyleCurci, Claudia, Angela Picerno, Nada Chaoul, Alessandra Stasi, Giuseppe De Palma, Rossana Franzin, Paola Pontrelli, Giuseppe Castellano, Giovanni B. Pertosa, Luigi Macchia, and et al. 2021. "Adult Renal Stem/Progenitor Cells Can Modulate T Regulatory Cells and Double Negative T Cells" International Journal of Molecular Sciences 22, no. 1: 274. https://doi.org/10.3390/ijms22010274
APA StyleCurci, C., Picerno, A., Chaoul, N., Stasi, A., De Palma, G., Franzin, R., Pontrelli, P., Castellano, G., Pertosa, G. B., Macchia, L., Di Lorenzo, V. F., Sabbà, C., Gallone, A., Gesualdo, L., & Sallustio, F. (2021). Adult Renal Stem/Progenitor Cells Can Modulate T Regulatory Cells and Double Negative T Cells. International Journal of Molecular Sciences, 22(1), 274. https://doi.org/10.3390/ijms22010274

