Maternal Responses and Adaptive Changes to Environmental Stress via Chronic Nanomaterial Exposure: Differences in Inter and Transgenerational Interclonal Broods of Daphnia magna
Abstract
1. Introduction
2. Results and Discussion
2.1. Nanomaterial Characterization
2.2. Longevity and Growth Effects
2.3. Reproduction
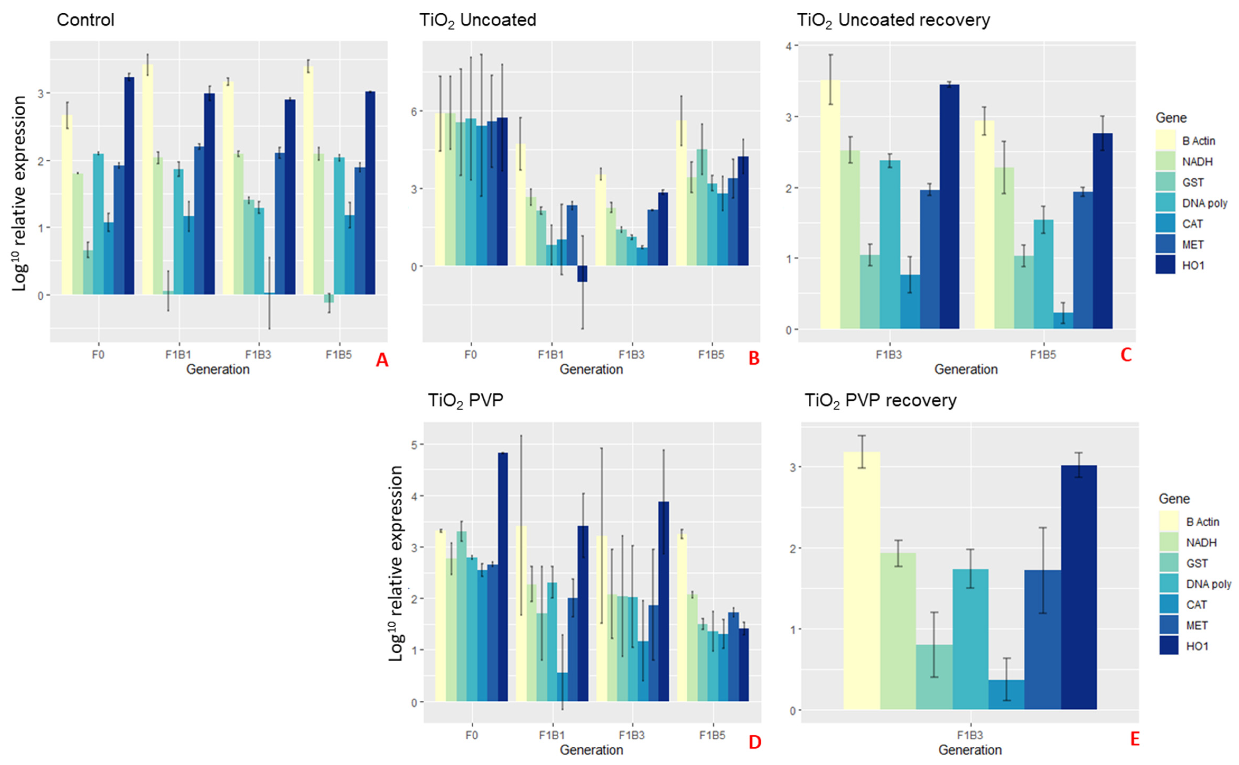
2.4. Gene Expression
3. Materials and Methods
3.1. Nanomaterials and Characterization
3.2. Maintenance and Culturing of Daphnia Magna
3.3. Immobilization Tests
3.4. Technical Design
3.5. Survival, Growth and Reproduction
3.6. Gene Expression
3.7. Statistical Analysis
4. Conclusions
Supplementary Materials
Author Contributions
Funding
Acknowledgments
Conflicts of Interest
Abbreviations
| Ag | Silver |
| Ag2S | Silver Sulphide |
| B-Actin | β-Actin |
| CAT | catalase |
| DLS | dynamic light scattering |
| DNA-poly | DNA Polymerase |
| F1B1 | Germline born of the F1 generation first brood |
| F1B3 | Germline born of the F1 generation third brood |
| F1B5 | Germline born of the F1 generation fifth brood |
| GEO | Gene Expression Omnibus |
| GST | Glutathione S-transferase |
| HO1 | heme-oxygenase-1 |
| MET | metallothionein |
| NADH | Dehydrogenase |
| NMs | Nanomaterials |
| NOM | Natural organic matter |
| OECD | Organisation for Economic Co-operation and Development |
| PCA | Principal Component Analysis |
| qPCR | quantitative Polymerase Chain Reaction |
| RNA | Ribonucleic acid |
| SPFs | Sun protection factor |
| TEM | Transmission electron microscopy |
| TiO2 | Titanium dioxide |
| 18S | 18S ribosomal RNA |
References
- Abedini, F.; Ebrahimi, M.; Roozbehani, A.H.; Domb, A.J.; Hosseinkhani, H. Overview on natural hydrophilic polysaccharide polymers in drug delivery. Polym. Adv. Technol. 2018, 29, 2564–2573. [Google Scholar] [CrossRef]
- Al-Jamal, W.T.; Kostarelos, K. Liposomes: From a clinically established drug delivery system to a nanoparticle platform for theranostic nanomedicine. Acc. Chem. Res. 2011, 44, 1094–1104. [Google Scholar] [CrossRef] [PubMed]
- Mottaghitalab, F.; Farokhi, M.; Shokrgozar, M.A.; Atyabi, F.; Hosseinkhani, H. Silk fibroin nanoparticle as a novel drug delivery system. J. Control. Release 2015, 206, 161–176. [Google Scholar] [CrossRef] [PubMed]
- Pillay, K.; Cukrowska, E.; Coville, N. Multi-walled carbon nanotubes as adsorbents for the removal of parts per billion levels of hexavalent chromium from aqueous solution. J. Hazard. Mater. 2009, 166, 1067–1075. [Google Scholar] [CrossRef] [PubMed]
- Zhao, X.; Liu, W.; Cai, Z.; Han, B.; Qian, T.; Zhao, D. An overview of preparation and applications of stabilized zero-valent iron nanoparticles for soil and groundwater remediation. Water Res. 2016, 100, 245–266. [Google Scholar] [CrossRef]
- Peters, R.J.; Bouwmeester, H.; Gottardo, S.; Amenta, V.; Arena, M.; Brandhoff, P.; Marvin, H.J.; Mech, A.; Moniz, F.B.; Pesudo, L.Q. Nanomaterials for products and application in agriculture, feed and food. Trends Food Sci. Technol. 2016, 54, 155–164. [Google Scholar] [CrossRef]
- Drisya, K.; Solís-López, M.; Ríos-Ramírez, J.; Durán-Álvarez, J.; Rousseau, A.; Velumani, S.; Asomoza, R.; Kassiba, A.; Jantrania, A.; Castaneda, H. Electronic and optical competence of TiO2/BiVO4 nanocomposites in the photocatalytic processes. Sci. Rep. 2020, 10, 1–16. [Google Scholar] [CrossRef] [PubMed]
- Ganguly, P.; Harb, M.; Cao, Z.; Cavallo, L.; Breen, A.; Dervin, S.; Dionysiou, D.D.; Pillai, S.C. 2D nanomaterials for photocatalytic hydrogen production. ACS Energy Lett. 2019, 4, 1687–1709. [Google Scholar] [CrossRef]
- Mackevica, A.; Skjolding, L.M.; Gergs, A.; Palmqvist, A.; Baun, A. Chronic toxicity of silver nanoparticles to Daphnia magna under different feeding conditions. Aquat. Toxicol. 2015, 161, 10–16. [Google Scholar] [CrossRef]
- Virkutyte, J.; Al-Abed, S.R.; Dionysiou, D.D. Depletion of the protective aluminum hydroxide coating in TiO2-based sunscreens by swimming pool water ingredients. Chem. Eng. J. 2012, 191, 95–103. [Google Scholar] [CrossRef]
- De Leersnyder, I.; De Gelder, L.; Van Driessche, I.; Vermeir, P. Influence of growth media components on the antibacterial effect of silver ions on Bacillus subtilis in a liquid growth medium. Sci. Rep. 2018, 8, 9325. [Google Scholar] [CrossRef] [PubMed]
- Samontha, A.; Shiowatana, J.; Siripinyanond, A. Particle size characterization of titanium dioxide in sunscreen products using sedimentation field-flow fractionation–inductively coupled plasma-mass spectrometry. Anal. Bioanal. Chem. 2011, 399, 973–978. [Google Scholar] [CrossRef] [PubMed]
- Bocca, B.; Caimi, S.; Senofonte, O.; Alimonti, A.; Petrucci, F. ICP-MS based methods to characterize nanoparticles of TiO2 and ZnO in sunscreens with focus on regulatory and safety issues. Sci. Total Environ. 2018, 630, 922–930. [Google Scholar] [CrossRef] [PubMed]
- Garbutt, J.S.; Little, T.J. Maternal food quantity affects offspring feeding rate in Daphnia magna. Biol. Lett. 2014, 10, 20140356. [Google Scholar] [CrossRef] [PubMed]
- LaMontagne, J.; McCauley, E. Maternal effects in Daphnia: What mothers are telling their offspring and do they listen? Ecol. Lett. 2001, 4, 64–71. [Google Scholar] [CrossRef]
- Messiaen, M.; Janssen, C.; Thas, O.; De Schamphelaere, K. The potential for adaptation in a natural Daphnia magna population: Broad and narrow-sense heritability of net reproductive rate under Cd stress at two temperatures. Ecotoxicology 2012, 21, 1899–1910. [Google Scholar] [CrossRef] [PubMed]
- Robichaud, N.F.; Sassine, J.; Beaton, M.J.; Lloyd, V.K. The epigenetic repertoire of Daphnia magna includes modified histones. Genet. Res. Int. 2012, 2012, 174680. [Google Scholar] [CrossRef][Green Version]
- Harris, K.D.; Bartlett, N.J.; Lloyd, V.K. Daphnia as an emerging epigenetic model organism. Genet. Res. Int. 2012, 2012. Article ID 147892. [Google Scholar] [CrossRef]
- Feil, R.; Fraga, M.F. Epigenetics and the environment: Emerging patterns and implications. Nat. Rev. Genet. 2012, 13, 97–109. [Google Scholar] [CrossRef]
- Vandegehuchte, M.; Lemière, F.; Janssen, C. Quantitative DNA-methylation in Daphnia magna and effects of multigeneration Zn exposure. Comp. Biochem. Physiol. Part C Toxicol. Pharmacol. 2009, 150, 343–348. [Google Scholar] [CrossRef]
- Reamon-Buettner, S.M.; Mutschler, V.; Borlak, J. The next innovation cycle in toxicogenomics: Environmental epigenetics. Mutat. Res./Rev. Mutat. Res. 2008, 659, 158–165. [Google Scholar] [CrossRef] [PubMed]
- Skinner, M.K. Environmental stress and epigenetic transgenerational inheritance. BMC Med. 2014, 12, 153. [Google Scholar] [CrossRef] [PubMed]
- Guerrero-Bosagna, C.; Skinner, M.K. Environmentally induced epigenetic transgenerational inheritance of phenotype and disease. Mol. Cell. Endocrinol. 2012, 354, 3–8. [Google Scholar] [CrossRef] [PubMed]
- Ellis, L.J.A.; Kissane, S.; Hoffman, E.; Brown, J.B.; Valsami-Jones, E.; Colbourne, J.; Lynch, I. Multigenerational Exposures of Daphnia Magna to Pristine and Aged Silver Nanoparticles: Epigenetic Changes and Phenotypical Ageing Related Effects. Small 2020, 16, 2000301. [Google Scholar] [CrossRef] [PubMed]
- Saaristo, M.; Brodin, T.; Balshine, S.; Bertram, M.G.; Brooks, B.W.; Ehlman, S.M.; McCallum, E.S.; Sih, A.; Sundin, J.; Wong, B.B. Direct and indirect effects of chemical contaminants on the behaviour, ecology and evolution of wildlife. Proc. R. Soc. B Biol. Sci. 2018, 285, 20181297. [Google Scholar] [CrossRef]
- Mueller, C.; Eme, J.; Burggren, W.; Roghair, R.; Rundle, S. Challenges and opportunities in developmental integrative physiology. Comp. Biochem. Physiol. Part A Mol. Integr. Physiol. 2015, 184, 113–124. [Google Scholar] [CrossRef][Green Version]
- Skinner, M.K.; Manikkam, M.; Guerrero-Bosagna, C. Epigenetic transgenerational actions of environmental factors in disease etiology. Trends Endocrinol. Metab. 2010, 21, 214–222. [Google Scholar] [CrossRef] [PubMed]
- Barata, C.; Markich, S.J.; Baird, D.J.; Taylor, G.; Soares, A.M. Genetic variability in sublethal tolerance to mixtures of cadmium and zinc in clones of Daphnia magna Straus. Aquat. Toxicol. 2002, 60, 85–99. [Google Scholar] [CrossRef]
- Agatz, A.; Cole, T.A.; Preuss, T.G.; Zimmer, E.; Brown, C.D. Feeding inhibition explains effects of imidacloprid on the growth, maturation, reproduction, and survival of Daphnia magna. Environ. Sci. Technol. 2013, 47, 2909–2917. [Google Scholar] [CrossRef]
- Arzate-Cárdenas, M.A.; Martínez-Jerónimo, F. Energy resource reallocation in Daphnia schodleri (Anomopoda: Daphniidae) reproduction induced by exposure to hexavalent chromium. Chemosphere 2012, 87, 326–332. [Google Scholar] [CrossRef]
- Bacchetta, R.; Santo, N.; Marelli, M.; Nosengo, G.; Tremolada, P. Chronic toxicity effects of ZnSO4 and ZnO nanoparticles in Daphnia magna. Environ. Res. 2017, 152, 128–140. [Google Scholar] [CrossRef] [PubMed]
- Jansen, M.; Vergauwen, L.; Vandenbrouck, T.; Knapen, D.; Dom, N.; Spanier, K.I.; Cielen, A.; De Meester, L. Gene expression profiling of three different stressors in the water flea Daphnia magna. Ecotoxicology 2013, 22, 900–914. [Google Scholar] [CrossRef] [PubMed]
- Tejamaya, M.; Römer, I.; Merrifield, R.C.; Lead, J.R. Stability of citrate, PVP, and PEG coated silver nanoparticles in ecotoxicology media. Environ. Sci. Technol. 2012, 46, 7011–7017. [Google Scholar] [CrossRef] [PubMed]
- Fletcher, N.D.; Lieb, H.C.; Mullaugh, K.M. Stability of silver nanoparticle sulfidation products. Sci. Total Environ. 2019, 648, 854–860. [Google Scholar] [CrossRef] [PubMed]
- Bozich, J.; Hang, M.; Hamers, R.; Klaper, R. Core chemistry influences the toxicity of multicomponent metal oxide nanomaterials, lithium nickel manganese cobalt oxide, and lithium cobalt oxide to Daphnia magna. Environ. Toxicol. Chem. 2017, 36, 2493–2502. [Google Scholar] [CrossRef] [PubMed]
- Ebert, D. Ecology, Epidemiology, and Evolution of Parasitism in Daphnia; National Library of Medicine: Bethesda, MD, USA, 2005.
- Kusari, F.; O’Doherty, A.M.; Hodges, N.J.; Wojewodzic, M.W. Bi-directional effects of vitamin B 12 and methotrexate on Daphnia magna fitness and genomic methylation. Sci. Rep. 2017, 7, 1–9. [Google Scholar] [CrossRef] [PubMed]
- Abrusán, G.; Fink, P.; Lampert, W. Biochemical limitation of resting egg production in Daphnia. Limnol. Oceanogr. 2007, 52, 1724–1728. [Google Scholar] [CrossRef]
- Flaherty, C.M.; Dodson, S.I. Effects of pharmaceuticals on Daphnia survival, growth, and reproduction. Chemosphere 2005, 61, 200–207. [Google Scholar] [CrossRef]
- Ginjupalli, G.K.; Baldwin, W.S. The time-and age-dependent effects of the juvenile hormone analog pesticide, pyriproxyfen on Daphnia magna reproduction. Chemosphere 2013, 92, 1260–1266. [Google Scholar] [CrossRef]
- Adegboyega, N.F.; Sharma, V.K.; Siskova, K.; Zbořil, R.; Sohn, M.; Schultz, B.J.; Banerjee, S. Interactions of aqueous Ag+ with fulvic acids: Mechanisms of silver nanoparticle formation and investigation of stability. Environ. Sci. Technol. 2012, 47, 757–764. [Google Scholar] [CrossRef]
- Cupi, D.; Hartmann, N.B.; Baun, A. The influence of natural organic matter and aging on suspension stability in guideline toxicity testing of silver, zinc oxide, and titanium dioxide nanoparticles with Daphnia magna. Environ. Toxicol. Chem. 2015, 34, 497–506. [Google Scholar] [CrossRef] [PubMed]
- Li, Y.; Zhang, W.; Niu, J.; Chen, Y. Surface-coating-dependent dissolution, aggregation, and reactive oxygen species (ROS) generation of silver nanoparticles under different irradiation conditions. Environ. Sci. Technol. 2013, 47, 10293–10301. [Google Scholar] [CrossRef] [PubMed]
- Zhao, C.-M.; Wang, W.-X. Importance of surface coatings and soluble silver in silver nanoparticles toxicity to Daphnia magna. Nanotoxicology 2012, 6, 361–370. [Google Scholar] [CrossRef] [PubMed]
- Dudycha, J.L.; Hassel, C. Aging in sexual and obligately asexual clones of Daphnia from temporary ponds. J. Plankton Res. 2013, 35, 253–259. [Google Scholar] [CrossRef] [PubMed]
- Coakley, C.; Nestoros, E.; Little, T. Testing hypotheses for maternal effects in Daphnia magna. J. Evol. Biol. 2018, 31, 211–216. [Google Scholar] [CrossRef] [PubMed]
- Poynton, H.C.; Varshavsky, J.R.; Chang, B.; Cavigiolio, G.; Chan, S.; Holman, P.S.; Loguinov, A.V.; Bauer, D.J.; Komachi, K.; Theil, E.C. Daphnia magna ecotoxicogenomics provides mechanistic insights into metal toxicity. Environ. Sci. Technol. 2007, 41, 1044–1050. [Google Scholar] [CrossRef]
- Qiu, T.; Bozich, J.; Lohse, S.; Vartanian, A.; Jacob, L.; Meyer, B.; Gunsolus, I.; Niemuth, N.; Murphy, C.; Haynes, C. Gene expression as an indicator of the molecular response and toxicity in the bacterium Shewanella oneidensis and the water flea Daphnia magna exposed to functionalized gold nanoparticles. Environ. Sci. Nano 2015, 2, 615–629. [Google Scholar] [CrossRef]
- Asselman, J.; Shaw, J.R.; Glaholt, S.P.; Colbourne, J.K.; De Schamphelaere, K.A. Transcription patterns of genes encoding four metallothionein homologs in Daphnia pulex exposed to copper and cadmium are time-and homolog-dependent. Aquat. Toxicol. 2013, 142, 422–430. [Google Scholar] [CrossRef]
- Kriventseva, E.V.; Kuznetsov, D.; Tegenfeldt, F.; Manni, M.; Dias, R.; Simão, F.A.; Zdobnov, E.M. OrthoDB v10: Sampling the diversity of animal, plant, fungal, protist, bacterial and viral genomes for evolutionary and functional annotations of orthologs. Nucleic Acids Res. 2019, 47, D807–D811. [Google Scholar] [CrossRef]
- Maxwell, E.K.; Schnitzler, C.E.; Havlak, P.; Putnam, N.H.; Nguyen, A.-D.; Moreland, R.T.; Baxevanis, A.D. Evolutionary profiling reveals the heterogeneous origins of classes of human disease genes: Implications for modeling disease genetics in animals. BMC Evol. Biol. 2014, 14, 212. [Google Scholar] [CrossRef]
- Asharani, P.; Wu, Y.L.; Gong, Z.; Valiyaveettil, S. Toxicity of silver nanoparticles in zebrafish models. Nanotechnology 2008, 19, 255102. [Google Scholar] [CrossRef] [PubMed]
- Choi, J.E.; Kim, S.; Ahn, J.H.; Youn, P.; Kang, J.S.; Park, K.; Yi, J.; Ryu, D.-Y. Induction of oxidative stress and apoptosis by silver nanoparticles in the liver of adult zebrafish. Aquat. Toxicol. 2010, 100, 151–159. [Google Scholar] [CrossRef] [PubMed]
- Dominguez, G.A.; Lohse, S.E.; Torelli, M.D.; Murphy, C.J.; Hamers, R.J.; Orr, G.; Klaper, R.D. Effects of charge and surface ligand properties of nanoparticles on oxidative stress and gene expression within the gut of Daphnia magna. Aquat. Toxicol. 2015, 162, 1–9. [Google Scholar] [CrossRef] [PubMed]
- Azimzada, A.; Tufenkji, N.; Wilkinson, K.J. Transformations of silver nanoparticles in wastewater effluents: Links to Ag bioavailability. Environ. Sci. Nano 2017, 4, 1339–1349. [Google Scholar] [CrossRef]
- Levard, C.; Hotze, E.M.; Lowry, G.V.; Brown, G.E., Jr. Environmental transformations of silver nanoparticles: Impact on stability and toxicity. Environ. Sci. Technol. 2012, 46, 6900–6914. [Google Scholar] [CrossRef] [PubMed]
- Lowry, G.V.; Gregory, K.B.; Apte, S.C.; Lead, J.R. Transformations of nanomaterials in the environment. Environ. Sci. Technol. 2012, 46, 6893–6899. [Google Scholar] [CrossRef]
- Kim, K.-T.; Klaine, S.J.; Kim, S.D. Acute and chronic response of daphnia magna exposed to TiO2 nanoparticles in agitation system. Bull. Environ. Contam. Toxicol. 2014, 93, 456–460. [Google Scholar] [CrossRef]
- De Voogt, P. Reviews of Environmental Contamination and Toxicology; Springer: New York, NY, USA, 2015; Volume 236. [Google Scholar]
- Asselman, J.; De Coninck, D.I.; Beert, E.; Janssen, C.R.; Orsini, L.; Pfrender, M.E.; Decaestecker, E.; De Schamphelaere, K.A. Bisulfite sequencing with Daphnia highlights a role for epigenetics in regulating stress response to Microcystis through preferential differential methylation of serine and threonine amino acids. Environ. Sci. Technol. 2016, 51, 924–931. [Google Scholar] [CrossRef]
- Gottschalk, F.; Sun, T.; Nowack, B. Environmental concentrations of engineered nanomaterials: Review of modeling and analytical studies. Environ. Pollut. 2013, 181, 287–300. [Google Scholar] [CrossRef]
- Nowack, B.; Baalousha, M.; Bornhöft, N.; Chaudhry, Q.; Cornelis, G.; Cotterill, J.; Gondikas, A.; Hassellöv, M.; Lead, J.; Mitrano, D.M. Progress towards the validation of modeled environmental concentrations of engineered nanomaterials by analytical measurements. Environ. Sci. Nano 2015, 2, 421–428. [Google Scholar] [CrossRef]
- Heckmann, L.-H.; Connon, R.; Hutchinson, T.H.; Maund, S.J.; Sibly, R.M.; Callaghan, A. Expression of target and reference genes in Daphnia magna exposed to ibuprofen. BMC Genom. 2006, 7, 175. [Google Scholar] [CrossRef] [PubMed]
- Kilham, S.S.; Kreeger, D.A.; Lynn, S.G.; Goulden, C.E.; Herrera, L. COMBO: A defined freshwater culture medium for algae and zooplankton. Hydrobiologia 1998, 377, 147–159. [Google Scholar] [CrossRef]
- OECD. OECD Guideline for Testing of Chemicals. Daphnia sp., Acute Immobilisation Test 202, Adpoted April 2004; OECD Publishing: Paris, France, 2004. [Google Scholar]
- Ellis, L.-J.A.; Valsami-Jones, E.; Lynch, I. Exposure medium and particle ageing moderate the toxicological effects of nanomaterials to Daphnia magna over multiple generations: A case for standard test review? Environ. Sci. Nano 2020, 7, 1136–1149. [Google Scholar] [CrossRef]
- Karatzas, P.; Melagraki, G.; Ellis, L.J.A.; Lynch, I.; Varsou, D.D.; Afantitis, A.; Tsoumanis, A.; Doganis, P.; Sarimveis, H. Development of deep learning models for predicting the effects of exposure to engineered nanomaterials on Daphnia Magna. Small 2020, 16, 2001080. [Google Scholar] [CrossRef]
- Andersen, C.L.; Jensen, J.L.; Ørntoft, T.F. Normalization of real-time quantitative reverse transcription-PCR data: A model-based variance estimation approach to identify genes suited for normalization, applied to bladder and colon cancer data sets. Cancer Res. 2004, 64, 5245–5250. [Google Scholar] [CrossRef]







| Identifier | Pristine TEM Individual Particle Size (nm) | Pristine DLS Particle Size (nm) | Polydispersity Index (PDI) | Surface Coating |
|---|---|---|---|---|
| TiO2 Uncoated | 9 ± 2 | 207 ± 11 | 0.5 | Bare |
| TiO2 PVP | 9 ± 2 | 311 ± 43 | 0.4 | PVP10 |
| Ag2S | 44 ± 14 | 299 ± 6 | 0.4 | PVP10 |
| Ag PVP | 18 ± 11 | 260 ± 180 | 0.3 | PVP10 |
| Ag uncoated | 61 ± 36 | 120 ± 30.5 | 0.5 | Bare |
Publisher’s Note: MDPI stays neutral with regard to jurisdictional claims in published maps and institutional affiliations. |
© 2020 by the authors. Licensee MDPI, Basel, Switzerland. This article is an open access article distributed under the terms and conditions of the Creative Commons Attribution (CC BY) license (http://creativecommons.org/licenses/by/4.0/).
Share and Cite
Ellis, L.-J.A.; Kissane, S.; Lynch, I. Maternal Responses and Adaptive Changes to Environmental Stress via Chronic Nanomaterial Exposure: Differences in Inter and Transgenerational Interclonal Broods of Daphnia magna. Int. J. Mol. Sci. 2021, 22, 15. https://doi.org/10.3390/ijms22010015
Ellis L-JA, Kissane S, Lynch I. Maternal Responses and Adaptive Changes to Environmental Stress via Chronic Nanomaterial Exposure: Differences in Inter and Transgenerational Interclonal Broods of Daphnia magna. International Journal of Molecular Sciences. 2021; 22(1):15. https://doi.org/10.3390/ijms22010015
Chicago/Turabian StyleEllis, Laura-Jayne. A., Stephen Kissane, and Iseult Lynch. 2021. "Maternal Responses and Adaptive Changes to Environmental Stress via Chronic Nanomaterial Exposure: Differences in Inter and Transgenerational Interclonal Broods of Daphnia magna" International Journal of Molecular Sciences 22, no. 1: 15. https://doi.org/10.3390/ijms22010015
APA StyleEllis, L.-J. A., Kissane, S., & Lynch, I. (2021). Maternal Responses and Adaptive Changes to Environmental Stress via Chronic Nanomaterial Exposure: Differences in Inter and Transgenerational Interclonal Broods of Daphnia magna. International Journal of Molecular Sciences, 22(1), 15. https://doi.org/10.3390/ijms22010015

