Next Article in Journal
Stereotactic Ablative Radiotherapy Combined with Immune Checkpoint Inhibitors Reboots the Immune Response Assisted by Immunotherapy in Metastatic Lung Cancer: A Systematic Review
Next Article in Special Issue
Stereoselective Synthesis and Investigation of Isopulegol-Based Chiral Ligands
Previous Article in Journal
Synthesis and Anticancer Activity of Novel 9-O-Substituted Berberine Derivatives
 
 
Font Type:
Arial Georgia Verdana
Font Size:
Aa Aa Aa
Line Spacing:
Column Width:
Background:
Article

Anti-Cancer Activity of Novel Dihydrotestosterone-Derived Ring A-Condensed Pyrazoles on Androgen Non-Responsive Prostate Cancer Cell Lines

by
Gergő Mótyán
1,†,
Mohana Krishna Gopisetty
2,†,
Réka Eleonóra Kiss-Faludy
1,3,
Ágnes Kulmány
3,
István Zupkó
3,
Éva Frank
1,* and
Mónika Kiricsi
2,*
1
Department of Organic Chemistry, University of Szeged, Dóm tér 8, H-6720 Szeged, Hungary
2
Department of Biochemistry and Molecular Biology, University of Szeged, Közép fasor 52., H-6726 Szeged, Hungary
3
Department of Pharmacodynamics and Biopharmacy, University of Szeged, Eötvös u. 6, H-6720 Szeged, Hungary
*
Authors to whom correspondence should be addressed.
These authors contributed equally to this work.
Int. J. Mol. Sci. 2019, 20(9), 2170; https://doi.org/10.3390/ijms20092170
Submission received: 3 April 2019 / Revised: 24 April 2019 / Accepted: 30 April 2019 / Published: 2 May 2019

Abstract

Regioselective synthesis of novel ring A-fused arylpyrazoles of dihydrotestosterone (DHT) was carried out in two steps under facile reaction conditions. Aldol condensation of DHT with acetaldehyde afforded a 2-ethylidene derivative regio- and stereo-selectively, which was reacted with different arylhydrazines in the presence of iodine via microwave-assisted oxidative cyclization reactions. The 17-keto analogs of steroidal pyrazoles were also synthesized by simple oxidation in order to enlarge the compound library available for pharmacological studies and to obtain structure–activity relationship. The antiproliferative activities of the structurally related heteroaromatic compounds were tested in vitro on human cervical and breast adenocarcinoma cell lines (HeLa, MCF-7 and MDA-MB-231) and on two androgen-independent malignant prostate carcinoma cell lines (PC-3 and DU 145). Based on primary cytotoxicity screens and IC50 assessment, a structure-function relationship was identified, as derivatives carrying a hydroxyl group on C-17 exhibit stronger activity compared to the 17-one counterparts. Cancer cell selectivity of the derivatives was also determined using non-cancerous MRC-5 cells. Furthermore, the proapoptotic effects of some selected derivatives were verified on androgen therapy refractive p53-deficient PC-3 cells. The present study concludes that novel DHT-derived arylpyrazoles exert cancer cell specific antiproliferative activity and activate apoptosis in PC-3 cells.

Graphical Abstract

1. Introduction

Endogenous androgenic-anabolic steroids (AAS), such as testosterone (T) and its more active derivative, dihydrotestosterone (DHT) play a key role in the development and progression of hormone-dependent prostate cancer in men [1] and may also exert a direct activating or inhibitory effect on the growth of certain female breast cancers primarily by influencing the androgen receptor (AR) signaling pathway [2,3].
Since AR signaling is a substantial factor in malignant cell proliferation within the prostate tissue [4,5], the first-line therapy often involves hormone deprivation either via surgical manipulation of the endocrine system or by the exogenous administration of drugs. These procedures will ultimately reduce the levels of sex hormones by inhibiting their production, or block the action of the endogenous ligand by binding to the hormone receptor, thereby preventing its activation [6]. Unfortunately, prostate cancer cells are able to develop different resistance mechanisms over time to maintain AR signaling and to circumvent the reduced synthesis and the blocked action of androgens [7]. As a consequence, a castration resistant stage of the disease evolves, for which there is no life-prolonging therapy to date. AR-signaling plays a crucial role in AR+ breast cancers as well, however, in such cases coordination of the cellular features and actions is quite complex and depends on the presence or absence of other signaling mechanisms [8]. For instance, early studies have demonstrated proliferation promoting as well as antiproliferative effects of androgens on cell activity, depending largely on the specific breast cancer subtype [9].
All of the therapies employ drugs—alone or in combination—mostly for aiming at the hormone-signaling pathway. However occasionally, hormone receptor-independent mechanisms are targeted as well, those in particular, which were compromised during cancer development and progression to modulate cell cycle regulation and support cellular proliferative properties. For example, experimental results revealed that some heterocyclic steroidal derivatives can influence microtubule dynamics [10] and apoptosis [11] in a hormone receptor-independent manner by inhibiting tubulin polymerization and upregulating key factors involved in triggering the intrinsic apoptotic pathway [12,13,14]. The main advantage of aiming these cellular features is to offer a solution for the therapy of hormone-resistant cancers. Yet when steroidal compounds of such mode of action are applied, the primary hormonal effect is undesirable, therefore, structural modifications are needed in order to reduce or eliminate the ability of the molecule to interact with the androgen and estrogen receptors. Based on extensive structure–activity relationship studies and our knowledge about the exact structure and ligand binding site of hormone receptor proteins [15,16], new derivatives lacking the structural features necessary for receptor binding can be properly designed.
Amongst semi-synthetic androgens, relatively few DHT derivatives with a ring A-fused heterocycle have been synthesized so far (Figure 1). The presence of the 17β-OH group of DHT is essential, while the 3-keto group is favorable for binding to the AR [17]. Thus, the hormonal effect can be reduced or eliminated by a significant structural change at these or nearby positions. Moreover, according to structure–activity relationship studies, steric rather than electronic factors are decisive for the structural requirements at C-2 and/or C-3 in androgens [18]. It is also important to emphasize that DHT and its derivatives are not aromatizable androgens [19], hence, they are not able to exert estrogen-like effects in the body by binding to estrogen receptors. Earlier, structural modifications of DHT were directed to achieve a separation of androgenic and anabolic effects, and therefore some derivatives, such as prostanozol, stanozolol, androisoxazole, furazabol and danazol bearing a 2,3-fused heteroring have been synthesized (Figure 1). These compounds exhibit a better anabolic-to-androgenic ratio than the natural compound, i.e., the androgenic activity is reduced, while the anabolic action is retained or enhanced by the incorporation of the heterocyclic moiety. Nevertheless, it has to be noted that several of these derivatives possess unpredictable endocrinological activities [15]. Interestingly, antiandrogenic effect without any other hormonal activities prevails for zanoterone, a compound with a substitution at the pyrazole-N [20]. In spite of the obvious fact that the incorporation of different heterorings to 2,3 position of DHT and to its analogs may significantly alter the bioactivity of the parent molecule, very few examples are to be found in the literature for such kind of transformations. In this respect, we previously demonstrated that different heteroaryl-fused derivatives of DHT exert significant antiproliferative effect in vitro on human cancer cell lines of diverse origins [21,22,23].
In view of the potential biological significance of heterocyclic DHT analogs, and the well-known antiproliferative potential of numerous steroids containing pyrazoline or pyrazole scaffolds [24,25,26,27], we now describe a facile, one-pot heterocyclization/oxidation sequence of a DHT-derived steroidal enone with different arylhydrazines in the presence of iodine under microwave (MW) conditions. The stepwise sequence, i.e., the cyclocondensation of the unsaturated ketone to pyrazolines, and the subsequent oxidation to pyrazoles was also investigated. Finally, the 17-keto derivatives were synthesized as well in order to enlarge the compound library available for pharmacological studies. All of the synthesized compounds were primarily screened in vitro for their antiproliferative activity on five different cancer cell lines, namely DU 145, PC-3, HeLa, MCF-7 and MDA-MB-231 and on non-cancerous MRC-5 fibroblasts. Our results indicate that several compounds exhibit cancer cell specific and dose dependent inhibition of cell growth. Based on these data, five compounds featuring outstanding cancer cell specificity were selected for further experiments i.e., to determine IC50 values. Annexin V–propidium iodide staining and quantitative-real time PCR were performed to examine in details the proapoptotic activity of selected ring A-fused arylpyrazole derivatives of DHT on androgen therapy refractive p53 deficient PC-3 cells.

2. Results and Discussion

2.1. Synthetic Studies

For the synthesis of steroidal ring A-fused pyrazole derivatives, DHT was first subjected to aldol condensation with an excess of acetaldehyde in alkaline ethanol at low temperature in order to obtain the starting α,β-enone suitable for heterocyclization. Although the similar aldol-type Claisen–Schmidt reaction of cyclic ketones with different arylaldehydes is frequently applied for the efficient synthesis of arylidene ketones [28,29], the use of acetaldehyde is fairly unusual due to its greater reactivity and ability to undergo undesirable self-condensation [30]. Nevertheless, the transformation led to the regioselective formation of 2-ethylidene-DHT (1) in good yield (70%) after purification by column chromatography (Table 1). The expected (E)-configuration along the double bond was evidenced by NOESY correlations between the 1β-H and 21-CH3 protons (Supplementary Material).
Preliminary ring-closure experiments on 1 with phenylhydrazine hydrochloride 2a in the presence of p-toluenesulfonic acid (PTSA) were first carried out both under conventional heating (Method A) and MW conditions (Method B), and a mixture of pyrazoline diastereomers of 3a was obtained owing to the formation of two new chiral centers on C-2 and C-5′ (Scheme 1). The MW-assisted method greatly shortened the reaction time, but the yields of the desired products were only slightly better than in the thermally-induced version. The stereoisomers of 3a could not be separated by column chromatography and spontaneous oxidation of the pyrazoline moiety to the corresponding pyrazole during purification was also observed. In view of the tendency of pyrazolines to undergo autoxidation, further experiments toward their stereoselective synthesis were not performed. Mild oxidation of the diastereomeric mixture of 3a to a single heteroaromatic pyrazole (4a) was successfully achieved with diacetoxyiodobenzene (DIB) in dichloromethane (DCM) at room temperature, but the product was obtained only with a moderate yield (64%) after purification (Scheme 1). At the same time, complete oxidation of 3a with the Jones reagent in acetone affected both the pyrazoline ring and the 17-OH group, which resulted in the corresponding heteroaromatic 17-keto derivative 5a with a yield of 41%.
In order to avoid the multistep synthesis and to improve the yield of the desired pyrazole 4a, a one-pot procedure, involving the I2-mediated oxidative cyclization [31] of 1 with different arylhydrazines (2aj) has been developed under MW condition (Scheme 1, Method C). The improved practical protocol led to ring A-fused arylpyrazoles (4aj) in excellent yields (81–89%) without the necessity of isolating the less stable pyrazoline intermediates (Table 1, entries 1–10). Subsequent oxidation of the 17β-hydroxy derivatives (4aj) with the Jones reagent also made the 17-keto analogs (5aj) readily available for pharmacological comparison.
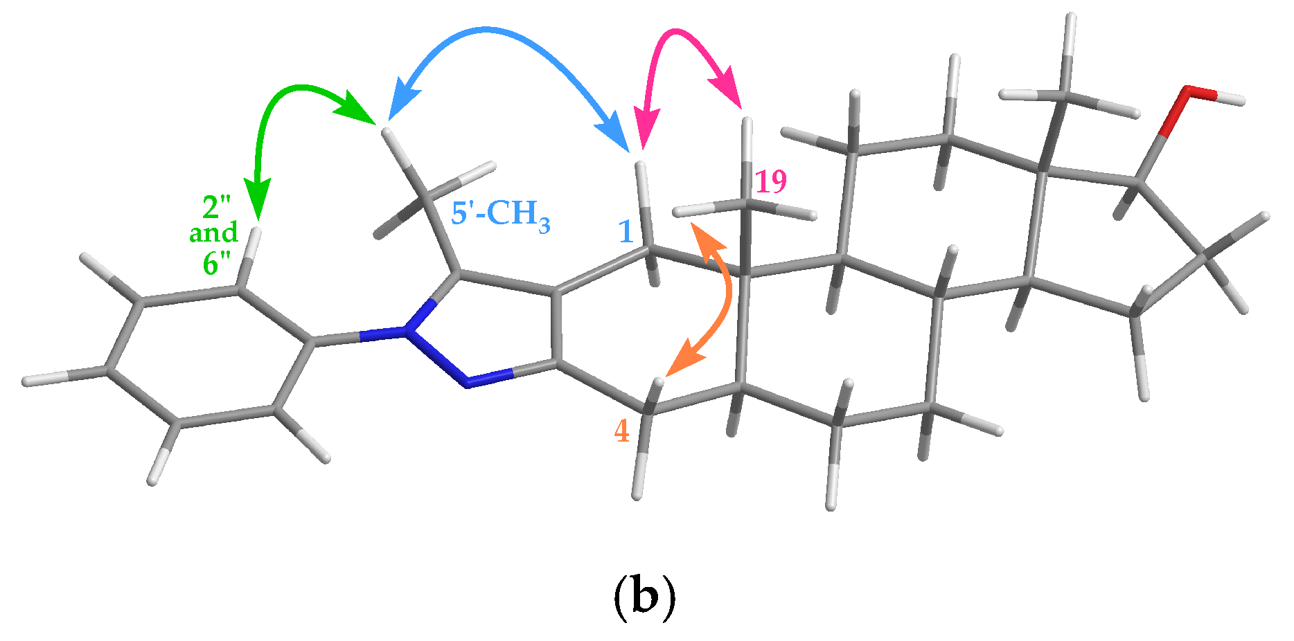
The structure of the synthesized compounds was confirmed by 1H and 13C NMR measurements, which indicated the presence of the characteristic signals of the aromatic ring from the arylhydrazine reagent and the tri-substituted pyrazole moiety formed by the ring-closure reaction (Supplementary Material). The acid-catalyzed heterocyclization of arylhydrazines with α,β-enones can occur either by 1,2- [32] or 1,4-addition [33] leading to two different regio-isomeric pyrazoles. Therefore, 2D NMR spectra were recorded for a representative compound (4a) in order to determine the exact structure. After identification of the related 1H and 13C signals with the help of HSQC (Heteronuclear Single Quantum Correlation) and HMBC (Heteronuclear Multiple Bond Correlation) spectra, the orientation of the pyrazole ring was determined on the basis of through-space (NOESY) correlations. Thus, spatial proximity was evidenced by cross-peaks between 2”-H–5′-CH3, 5′-CH3–1β-H, 1β-H–19-CH3 and 4β-H–19-CH3 supporting the exclusive formation of regio-isomer 4a (Figure 2). Taking into account that the terminal nitrogen in arylhydrazines is more nucleophilic than the internal one [23], the reaction of 1 with 2aj is considered to proceed via hydrazone intermediates followed by intramolecular ring-closure. The NMR spectra recorded for the oxidized products (5a–j) also confirmed the expected structures (Supplementary Material). The only difference compared to the 1H spectra of compounds 4a–j is the disappearance of the triplet signal of 17α-H at 3.65 ppm. At the same time, the signal of carbonyl-C could be observed at around 221 ppm in the 13C NMR spectra instead of the C-17 signal at 81.9 ppm characteristic for 4a–j.

2.2. Pharmacological Studies

2.2.1. Cell Type Specific Antiproliferative Action of DHT-Derived Arylpyrazoles

To perform pharmacological studies, the synthesized DHT derivatives were dissolved in DMSO (dimethyl sulfoxide) in a final concentration of 5 mM. One compound (5h) was non-soluble in the applied solvent, thus was excluded from the pharmacological evaluations. Cancer cell specific growth inhibition exhibited by the ring-condensed pyrazole derivatives applied in 10 μM and in 30 μM concentrations was screened and the effect of each compound on cell viability was assessed. For this, PC-3 and DU 145 prostate cancer cells, MCF-7 and MDA-MB-231 breast cancer cells, HeLa cervical cancer cells and non-cancerous MRC-5 fibroblasts were used. Based on viability data a heat map (Figure 3) was constructed showing differential activities exhibited by the analogs depending on the tested cell type (represented as viability in %). All compounds showed concentration-dependent antiproliferative action as 30 µM concentrations were generally more effective than 10 µM. On the heat map representing viability results following treatments with DHT derivatives at 30 µM concentration a remarkable structure–function relationship can be recognized (Figure 3). Most of the derivatives of the series 4, which carry a hydroxyl group on C-17 (4aj) exhibited more potent cancer cell growth inhibition compared to the 17-one counterparts (5aj), thus, the presence of the OH-group at C-17 seems to have a determining role in the biological activity of these pharmacological candidates. Among all examined compounds, 4e showed the utmost specificity in cancer cell toxicity, which manifested already at 10 µM concentration. In addition to 4e, the primary screen also resulted in several positive hits regarding prostate cancer or in most cases rather PC-3 cell specificity. Among them especially 4a, 4b, 4c, 4g, 4i, 4j, 5f, 5g and 5j featured significantly higher antiproliferative potency against PC-3 prostate cancer cells compared to MRC-5 non-cancerous fibroblasts at 10 µM and 4i, 4j, 5b, 5e, 5f and 5j at 30 µM concentration.
Therefore, as a hit validation, the IC50 values of five selected compounds (4a, 4e, 4g, 4j and 5j) were determined on all the applied cancer cell lines and on non-cancerous fibroblasts (Figure S1a and S1b). The IC50 values of the five compounds were generally markedly lower on cancer cell lines than on non-cancerous MRC-5 cells (Table 2). The selective toxic effects of these compounds were especially prominent on PC-3 cells, marked by the lowest IC50 values.
Comparing the performance of these compounds with clinically applied chemotherapeutic drugs like cisplatin—based on the IC50 values of cisplatin (230.9 ± 1.37 µM on PC-3, 126.8 ± 1.18 µM on DU 145 and 237.3 ± 1.16 µM on MRC-5 cells) assessed previously [21]—we observe that the tested DHT derivatives all performed better than cisplatin on the examined prostate cancer cell lines (Table 2). These findings are highly relevant, especially related to PC-3 cells, since these cells are considered to have a high metastatic potential, lack functional p53 and are relatively unresponsive to androgens. Therefore, our further experiments were conducted only on PC-3 prostate cancer cells with two selected compounds 4e and 4j.

2.2.2. Apoptosis-Inducing Properties of Selected DHT Derivatives on PC-3 Prostate Cancer Cells

The counter-balance of cell proliferation and death is necessary to maintain normal cell turnover, hence they are programmed and regulated precisely. Upregulation of proliferation and/or downregulation of cell death mechanisms are generally associated with cancer development [34]. Among various programmed cell death mechanisms, deregulation of apoptosis drives the growth of a large number of cancers including prostate cancer. It has already been shown that PC-3 cells have unique cellular features to cope with various stress situations partly due to the inability to express the tumor suppressor p53. This protein normally serves as a multifunctional platform to overcome cellular impairments such as DNA damage, oxidative stress, activation of oncogenes, hypoxia and heat shock [35]. Activation of p53 leads to enhanced transcription of p53 responsive genes, which mediate cell cycle arrest and initiate apoptosis [36].
A structurally related and similarly effective cell growth inhibiting androstane derivative elicited apoptosis as evidenced by increased hypodiploid (subG1) cell population on MDA-MB-231 breast cancer cells [23]. Therefore, we aimed to find out whether DHT-derived pyrazoles are capable of inducing apoptosis and/or necrosis in p53 deficient PC-3 cells and whether these mechanisms lay behind the observed anti-cancer effects of the selected derivatives. Along this line, PC-3 prostate cancer cells were treated with either 4e, 4j or for comparison, with cisplatin. We performed annexin V/PI apoptosis detection assay and the results (Figure 4a) indicate that 4e and 4j treatments induced significant apoptosis marked by the high percentage of annexin V-positive cells (Q2 + Q3) 33.96% and 37.89%, respectively, whereas less than 1% annexin V-positive cells were detected in the untreated control (Figure 4b). Cisplatin treatment also led to a prominent apoptosis in our experimental set-up. The percentage of only PI-positive cells (Q1) was not changed following treatments, therefore DHT derivatives do not seem to induce necrosis directly. To further verify apoptosis activation in PC-3 cells, we performed quantitative real-time PCR and examined the transcriptional activation of apoptotic markers caspase 3 and Bax. Our results (Figure 4c) show significantly increased caspase 3 and Bax mRNA expression levels, supporting the activation of apoptotic cell death pathway in 4e and 4j as well as in cisplatin treated PC-3 cells compared to untreated control. These results suggest that both derivatives (4e and 4j) induce apoptosis in PC-3 prostate cancer cells.
Many cancer cells are capable of removing the tumor suppressing effect of p53, in some cases by point mutations in the DNA binding domain or via deletion of p53 chromosomal locus from the genome. In PC-3 cells the single copy of the p53 gene has a deletion which causes a frame-shift and a new in-frame stop codon leading to the lack of functional p53 expression [37]. This p53 inactivation renders the drug-induced apoptosis-based elimination of cancer cells rather difficult, manifesting significant chemoresistance towards anticancer drugs, and establishing a strong correlation between p53 status and therapeutic outcome [38,39]. However, it has been shown that other mechanisms such as disruption of mitochondrial function, endoplasmic reticulum stress or autophagy can also induce apoptosis in cancer cells by stimulating p53-independent events [40,41,42,43]. Given that nearly 50% of all human cancers have been characterized by impaired p53 function, p53-independent pathways could be exploited in chemotherapy drug design and development. Since we observed prominent antiproliferative actions and massive induction of apoptotic cell death following 4e and 4j treatments, we believe that PC-3 cells can be effectively eliminated by selected DHT derivatives. The fact that p53-independent apoptosis can be triggered by these compounds, enhances their potential as cancer therapy candidates.

3. Materials and Methods

3.1. Chemistry

3.1.1. General Information

Reagents and materials were purchased from commercial suppliers (TCI, Tokyo, Japan; Alfa Aesar, Haverhill, MA, USA and Sigma-Aldrich Corporation, St. Louis, MO, USA). All solvents were dried and purified according to standard procedures. MW-assisted reactions were carried out with a CEM Discover SP instrument (CEM Corporation, Matthews, NC, USA) using a maximum power of 200 W with dynamic control program. Thin layer chromatography (TLC) was carried out on Kieselgel-G (Si 254 F, Merck KGaA, Darmstadt, Germany) plates (0.25 mm thick). The spots were detected by spraying with phosphomolybdic acid (5%) in aqueous phosphoric acid (50%) or visualized with UV light 254 nm. The products were purified with preparative column chromatography on Merck silica gel 60, 40–63 μm (Merck KGaA). Melting points (Mps) were measured on an SRS Optimelt digital device (Stanford Research Systems Inc, Sunnyvale, CA, USA). Elementary analysis data were obtained with a PerkinElmer CHN analyzer model 2400 (PerkinElmer Inc, Waltham, MA, USA). NMR spectra were recorded at 298 K with a Bruker DRX 500 instrument (Bruker, Billerica, MA, USA). Chemical shifts are reported in ppm (δ scale) and coupling constants (J) in Hz. The 1H resonance signals are indicated as a singlet (s), a doublet (d), a double doublet (dd), a triplet (t), a triplet of doublets (td) or a multiplet (m). 13C NMR spectra are 1H-decoupled. The J-MOD pulse sequence was applied to determine multiplicities. An HPLC/MSD system was used for automated flow injection analyses. Components of the system: An Agilent 1100 micro vacuum degasser (Agilent Technologies, Santa Clara, CA, USA) a quaternary pump, a micro-well plate autoinjector and a 1946A MSD equipped with an electrospray ion source (ESI) operated in positive ion mode. ESI parameters: Nebulizing gas N2, at 35 psi; drying gas N2, at 350 °C and 12 L/min; capillary voltage 3000 V; fragmentor voltage 70 V. The MSD was operated in scan mode with a mass range of m/z 60−620. Samples (0.2 μL) were injected directly into the solvent flow (0.3 mL/min) of CH3CN/H2O 70:30 (v/v) supplemented with 0.1% formic acid with automated needle wash. Agilent LC/MSD Chemstation software (C.01.08, Agilent Technologies Inc) was used to control the system.

3.1.2. Synthesis of 2-Ethylidene-DHT (1)

DHT (2.9 g, 10 mmol) and KOH (561 mg, 10 mmol) were dissolved in absolute EtOH (40 mL), and the homogenous solution was cooled to approximately −10 °C in an ice bath containing sodium chloride. (Cooling was applied during the whole procedure.) Afterward, acetaldehyde (1.01 mL, 18 mmol) was added to the mixture and it was stirred at the given temperature. After 1.5 h, a further amount of acetaldehyde (0.25 mL, 4.5 mmol) was added to the reaction mixture and it was stirred for 2 h. After completion of the reaction, the pH was adjusted to around 7 with 1 M H2SO4 solution in EtOH, and the mixture was evaporated in vacuo. The residual oil was dissolved in EtOAc and washed with water (2 x 10 mL), then the combined organic layers were dried over anhydrous Na2SO4 and evaporated in vacuo. The crude product was purified by column chromatography with EtOAc/CH2Cl2 = 2:98. Yield: 2.2 g (white solid); Mp 137–141 °C; Anal. Calcd. for C21H32O2 (316.49): C, 79.70; H, 10.19. Found: C, 79.84; H, 10.25. 1H NMR (CDCl3, 500 MHz): δ 0.76 (s, 3H, 18-H3), 0.81 (s, 3H, 19-H3), 0.83–1.01 (overlapping m, 3H), 1.11 (m, 1H), 1.18–1.31 (overlapping m, 2H), 1.35–1.47 (overlapping m, 4H), 1.58–1.70 (overlapping m, 5H), 1.72 (dd, 3H, J = 7.2 Hz, J = 2.2 Hz, 21-H3), 1.84 (d, 1H, J = 15.2 Hz, 1α-H), 1.87 (m, 1H), 2.06 (m, 1H, 16α-H), 2.14 (dd, 1H, J = 18.5 Hz, J = 13.2 Hz, 4β-H), 2.33 (dd, 1H, J = 18.5 Hz, J = 5.2 Hz, 4α-H), 2.76 (d, 1H, J = 15.2 Hz, 1β-H), 3.65 (t, 1H, J = 8.6 Hz, 17α-H), 6.74 (m, 1H, 20-H); 13C NMR (CDCl3, 125 MHz): δ 11.0 (C-18), 11.8 (C-19), 13.6 (C-21), 20.9 (C-11), 23.4 (C-15), 28.4 (C-6), 30.5 (C-16), 31.0 (C-7), 35.4 (C-8), 35.6 (C-10), 36.6 (C-12), 39.7 (C-1), 42.5 (C-5), 42.7 (C-4), 42.8 (C-13), 50.9 (C-14), 53.7 (C-9), 81.8 (C-17), 135.7 (C-20), 136.1 (C-2), 200.8 (C-3); ESI-MS 317 [M+H]+.

3.1.3. General Procedure for the One-Pot Synthesis of Ring A-Condensed Pyrazoles 4a–j under MW Irradiation (Method C)

To a solution of 1 (187 mg, 0.60 mmol) in absolute EtOH (5 mL), I2 (152 mg, 0.6 mmol) and (substituted) phenylhydrazine hydrochloride (2a–j, 1.20 mmol) were added and the mixture was irradiated in a closed vessel at 100 °C for 2 min. After completion of the reaction, the mixture was poured into saturated aqueous solution of Na2S2O3 (10 mL) and extracted with CH2Cl2 (3× 10 mL). The combined organic layers were dried over anhydrous Na2SO4 and concentrated in vacuo. The crude product was purified by column chromatography with EtOAc/CH2Cl2 = 5:95.
17β-Hydroxy-1′-phenyl-5′-methylpyrazolo[3′,4′:3,2]-5α-androstane (4a)
According to the general procedure, phenylhydrazine hydrochloride (2a, 174 mg) was used. Yield: 206 mg (85%, white solid); Mp 241–245 °C; Anal. Calcd. for C27H36N2O (404.60): C, 80.15; H, 8.97. Found: C, 80.02; H, 8.90. 1H NMR (CDCl3, 500 MHz): δ 0.77 (s, 3H, 18-H3), 0.81 (s, 3H, 19-H3), 0.84–1.02 (overlapping m, 3H, 9α-H, 7α-H and 14α-H), 1.11 (td, 1H, J = 12.7, J = 3.7 Hz, 12α-H), 1.27 (m, 1H, 15β-H), 1.33–1.51 (overlapping m, 4H, 6β-H, 8β-H, 16β-H and 11β-H), 1.53–1.66 (overlapping m, 3H, 5α-H, 15α-H and 6α-H), 1.67–1.75 (overlapping m, 2H, 11α-H and 7β-H), 1.86 (m, 1H, 12β-H), 2.05 (d + m, 2H, J = 15.0 Hz, 1α-H and 16α-H), 2.21 (s, 3H, 5′-CH3), 2.34 (dd, 1H, J = 16.8 Hz, J = 11.9 Hz, 4β-H), 2.52 (d, 1H, J = 15.0 Hz, 1β-H), 2.67 (dd, 1H, J = 16.8 Hz, J = 5.1 Hz, 4α-H), 3.65 (t, 1H, J = 8.6 Hz, 17α-H), 7.32 (m, 1H, 4″-H), 7.43 (d, 4H, J = 4.4 Hz, 2″-H, 3″-H, 5″-H and 6″-H); 13C NMR (CDCl3, 125 MHz): δ 10.9 (5′-CH3), 11.0 (C-18), 11.8 (C-19), 20.8 (C-11), 23.4 (C-15), 27.4 (C-4), 29.2 (C-6), 30.5 (C-16), 31.3 (C-7), 34.8 (C-1), 35.8 (C-8), 36.2 (C-10), 36.7 (C-12), 42.4 (C-5), 42.8 (C-13), 50.9 (C-14), 54.0 (C-9), 81.9 (C-17), 115.1 (C-2), 124.5 (2C, C-2″ and C-6″), 127.1 (C-4″), 129.0 (2C, C-3″ and C-5″), 135.4 (C-5′), 139.6 (C-1″), 148.4 (C-3); ESI-MS 405 [M+H]+.
17β-Hydroxy-1′-(2″-tolyl)-5′-methylpyrazolo[3′,4′:3,2]-5α-androstane (4b)
According to the general procedure, 2-tolylhydrazine hydrochloride (2b, 190 mg) was used. Yield: 221 mg (88%, white solid); Mp 225–227 °C; Anal. Calcd. for C28H38N2O (418.63): C, 80.34; H, 9.15. Found: C, 80.27; H, 9.22. 1H NMR (CDCl3, 500 MHz): δ 0.77 (s, 3H, 18-H3), 0.81 (s, 3H, 19-H3), 0.85–1.01 (overlapping m, 3H, 9α-H, 7α-H and 14α-H), 1.11 (td, 1H, J = 13.0, J = 3.7 Hz, 12α-H), 1.27 (m, 1H, 15β-H), 1.35–1.51 (overlapping m, 4H, 6β-H, 8β-H, 16β-H and 11β-H), 1.56–1.65 (overlapping m, 3H, 5α-H, 15α-H and 6α-H), 1.67–1.76 (overlapping m, 2H, 11α-H and 7β-H), 1.86 (m, 1H, 12β-H), 1.95 (s, 3H), 2.04 (s, 3H), 2.08 (d + m, 2H, J = 15.2 Hz, 1α-H and 16α-H), 2.21 (s, 3H, 5′-CH3), 2.34 (dd, 1H, J = 16.2 Hz, J = 12.4 Hz, 4β-H), 2.52 (d, 1H, J = 15.2 Hz, 1β-H), 2.67 (dd, 1H, J = 16.2 Hz, J = 4.5 Hz, 4α-H), 3.65 (t, 1H, J = 7.8 Hz, 17α-H), 7.19–7.33 (overlapping m, 4H, 3″-H, 4″-H, 5″-H and 6″-H); 13C NMR (CDCl3, 125 MHz): δ 9.7 (5′-CH3), 11.1 (C-18), 11.8 (C-19), 17.3 (2″-CH3), 20.8 (C-11), 23.4 (C-15), 27.5 (C-4), 29.3 (C-6), 30.6 (C-16), 31.4 (C-7), 34.8 (C-1), 35.8 (C-8), 36.3 (C-10), 36.7 (C-12), 42.5 (C-5), 42.8 (C-13), 51.0 (C-14), 54.2 (C-9), 81.9 (C-17), 113.1 (C-2), 126.3 (CH), 128.0 (CH), 128.8 (CH), 130.8 (CH), 136.1, 136.2 and 138.6 (C-5′, C-1″ and C-2″), 147.8 (C-3); ESI-MS 419 [M+H]+.
17β-Hydroxy-1′-(4″-tolyl)-5′-methylpyrazolo[3′,4′:3,2]-5α-androstane (4c)
According to the general procedure, 4-tolylhydrazine hydrochloride (2c, 190 mg) was used. Yield: 206 mg (82%, white solid); Mp 247–248 °C; Anal. Calcd. for C28H38N2O (418.63): C, 80.34; H, 9.15. Found: C, 80.45; H, 9.24. 1H NMR (CDCl3, 500 MHz): δ 0.77 (s, 3H, 18-H3), 0.81 (s, 3H, 19-H3), 0.83–1.01 (overlapping m, 3H, 9α-H, 7α-H and 14α-H), 1.11 (td, 1H, J = 12.7, J = 3.5 Hz, 12α-H), 1.28 (m, 1H, 15β-H), 1.34–1.50 (overlapping m, 4H, 6β-H, 8β-H, 16β-H and 11β-H), 1.54–1.66 (overlapping m, 3H, 5α-H, 15α-H and 6α-H), 1.67–1.76 (overlapping m, 2H, 11α-H and 7β-H), 1.86 (m, 1H, 12β-H), 2.06 (d + m, 2H, J = 15.0 Hz, 1α-H and 16α-H), 2.18 (s, 3H, 5′-CH3), 2.34 (dd, 1H, J = 16.8 Hz, J = 12.3 Hz, 4β-H), 2.38 (4″-CH3), 2.51 (d, 1H, J = 15.0 Hz, 1β-H), 2.67 (dd, 1H, J = 16.8 Hz, J = 4.8 Hz, 4α-H), 3.65 (t, 1H, J = 8.4 Hz, 17α-H), 7.22 (d, 2H, J = 8.1 Hz, 3″-H and 5″-H), 7.30 (d, 2H, J = 8.1 Hz, 2″-H and 6″-H); 13C NMR (CDCl3, 125 MHz): δ 10.8 (5′-CH3), 11.0 (C-18), 11.8 (C-19), 20.8 (C-11), 21.0 (4″-CH3), 23.4 (C-15), 27.5 (C-4), 29.2 (C-6), 30.6 (C-16), 31.4 (C-7), 34.9 (C-1), 35.8 (C-8), 36.3 (C-10), 36.8 (C-12), 42.5 (C-5), 42.8 (C-13), 51.0 (C-14), 54.1 (C-9), 81.9 (C-17), 114.7 (C-2), 124.5 (2C, C-2″ and C-6″), 129.5 (2C, C-3″ and C-5″), 136.9, 137.2 and 137.4 (C-5′, C-1″ and C-4″), 148.2 (C-3); ESI-MS 419 [M+H]+.
17β-Hydroxy-1′-(2″,4″-dimethylphenyl)-5′-methylpyrazolo[3′,4′:3,2]-5α-androstane (4d)
According to the general procedure, 2,4-dimethylphenylhydrazine hydrochloride (2d, 207 mg) was used. Yield: 208 mg (80%, white solid); Mp 209–211 °C; Anal. Calcd. for C29H40N2O (432.65): C, 80.51; H, 9.32. Found: C, 80.40; H, 9.21. 1H NMR (CDCl3, 500 MHz): δ 0.77 (s, 3H, 18-H3), 0.81 (s, 3H, 19-H3), 0.84–1.02 (overlapping m, 3H, 9α-H, 7α-H and 14α-H), 1.11 (td, 1H, J = 12.7, J = 3.5 Hz, 12α-H), 1.28 (m, 1H, 15β-H), 1.34–1.51 (overlapping m, 4H, 6β-H, 8β-H, 16β-H and 11β-H), 1.55–1.65 (overlapping m, 3H, 5α-H, 15α-H and 6α-H), 1.66–1.75 (overlapping m, 2H, 11α-H and 7β-H), 1.85 (m, 1H, 12β-H), 1.93 (s, 3H), 1.98 (s, 3H), 2.07 (d + m, 2H, J = 15.0 Hz, 1α-H and 16α-H), 2.32 (m, 1H, 4β-H), 2.35 (s, 3H, 4″-CH3), 2.50 (d, 1H, J = 15.0 Hz, 1β-H), 2.65 (dd, 1H, J = 16.6 Hz, J = 4.4 Hz, 4α-H), 3.64 (t, 1H, J = 8.4 Hz, 17α-H), 7.01–7.10 (overlapping m, 3H, 3″-H, 5″-H and 6″-H); 13C NMR (CDCl3, 125 MHz): δ 9.7 (5′-CH3), 11.1 (C-18), 11.7 (C-19), 17.2 (2″-CH3), 20.8 (C-11), 21.1 (4″-CH3), 23.4 (C-15), 27.5 (C-4), 29.3 (C-6), 30.6 (C-16), 31.4 (C-7), 34.8 (C-1), 35.8 (C-8), 36.3 (C-10), 36.8 (C-12), 42.5 (C-5), 42.8 (C-13), 51.0 (C-14), 54.2 (C-9), 81.9 (C-17), 113.0 (C-2), 126.9, 127.7 and 131.4 (C-3″, C-5″ and C-6″), 135.8, 135.9, 136.2 and 138.6 (C-5′, C-1″, C-2″ and C-4″), 147.7 (C-3); ESI-MS 433 [M+H]+.
17β-Hydroxy-1′-(4″-methoxyphenyl)-5′-methylpyrazolo[3′,4′:3,2]-5α-androstane (4e)
According to the general procedure, 4-methoxyphenylhydrazine hydrochloride (2e, 210 mg) was used. Yield: 232 mg (89%, white solid); Mp 257–259 °C; Anal. Calcd. for C28H38N2O2 (434.62): C, 77.38; H, 8.81. Found: C, 77.49; H, 8.89. 1H NMR (CDCl3, 500 MHz): δ 0.77 (s, 3H, 18-H3), 0.80 (s, 3H, 19-H3), 0.84–1.02 (overlapping m, 3H, 9α-H, 7α-H and 14α-H), 1.11 (td, 1H, J = 12.7, J = 3.2 Hz, 12α-H), 1.28 (m, 1H, 15β-H), 1.33–1.50 (overlapping m, 4H, 6β-H, 8β-H, 16β-H and 11β-H), 1.52–1.65 (overlapping m, 3H, 5α-H, 15α-H and 6α-H), 1.67–1.75 (overlapping m, 2H, 11α-H and 7β-H), 1.86 (m, 1H, 12β-H), 2.06 (d + m, 2H, J = 15.0 Hz, 1α-H and 16α-H), 2.15 (s, 3H, 5′-CH3), 2.34 (dd, 1H, J = 16.5 Hz, J = 12.2 Hz, 4β-H), 2.50 (d, 1H, J = 15.0 Hz, 1β-H), 2.66 (dd, 1H, J = 16.5 Hz, J = 4.7 Hz, 4α-H), 3.65 (t, 1H, J = 8.4 Hz, 17α-H), 3.83 (4″-OMe), 6.94 (d, 2H, J = 8.4 Hz, 3″-H and 5″-H), 7.32 (d, 2H, J = 8.4 Hz, 2″-H and 6″-H); 13C NMR (CDCl3, 125 MHz): δ 10.7 (5′-CH3), 11.0 (C-18), 11.8 (C-19), 20.8 (C-11), 23.4 (C-15), 27.5 (C-4), 29.2 (C-6), 30.6 (C-16), 31.4 (C-7), 34.9 (C-1), 35.8 (C-8), 36.3 (C-10), 36.8 (C-12), 42.5 (C-5), 42.8 (C-13), 51.0 (C-14), 54.1 (C-9), 55.5 (4″-OMe), 81.9 (C-17), 114.1 (2C, C-2″ and C-6″), 114.4 (C-2), 126.1 (2C, C-3″ and C-5″), 133.1 (C-1″), 135.3 (C-5′), 148.0 (C-3), 158.6 (C-4″); ESI-MS 435 [M+H]+.
17β-Hydroxy-1′-(4″-fluorophenyl)-5′-methylpyrazolo[3′,4′:3,2]-5α-androstane (4f)
According to the general procedure, 4-fluorophenylhydrazine hydrochloride (2f, 195 mg) was used. Yield: 208 mg 82%, (white solid); Mp 244–246 °C; Anal. Calcd. for C27H35FN2O (422.59): C, 76.74; H, 8.35. Found: C, 76.85; H, 8.22. 1H NMR (CDCl3, 500 MHz): δ 0.77 (s, 3H, 18-H3), 0.80 (s, 3H, 19-H3), 0.84–1.01 (overlapping m, 3H, 9α-H, 7α-H and 14α-H), 1.11 (td, 1H, J = 12.8, J = 4.2 Hz, 12α-H), 1.28 (m, 1H, 15β-H), 1.34–1.50 (overlapping m, 4H, 6β-H, 8β-H, 16β-H and 11β-H), 1.53–1.65 (overlapping m, 3H, 5α-H, 15α-H and 6α-H), 1.66–1.75 (overlapping m, 2H, 11α-H and 7β-H), 1.86 (m, 1H, 12β-H), 2.06 (d + m, 2H, J = 15.1 Hz, 1α-H and 16α-H), 2.17 (s, 3H, 5′-CH3), 2.33 (dd, 1H, J = 16.8 Hz, J = 12.1 Hz, 4β-H), 2.51 (d, 1H, J = 15.1 Hz, 1β-H), 2.66 (dd, 1H, J = 16.5 Hz, J = 5.2 Hz, 4α-H), 3.64 (t, 1H, J = 8.5 Hz, 17α-H), 7.12 (t, 2H, J = 8.5 Hz, 3″-H and 5″-H), 7.39 (m, 2H, 2″-H and 6″-H); 13C NMR (CDCl3, 125 MHz): δ 10.7 (5′-CH3), 11.0 (C-18), 11.8 (C-19), 20.8 (C-11), 23.4 (C-15), 27.4 (C-4), 29.2 (C-6), 30.5 (C-16), 31.3 (C-7), 34.8 (C-1), 35.8 (C-8), 36.3 (C-10), 36.8 (C-12), 42.5 (C-5), 42.8 (C-13), 51.0 (C-14), 54.1 (C-9), 81.9 (C-17), 115.0 (C-2), 115.8 (2C, J = 23.0 Hz, C-3″ and C-5″), 126.4 (2C, J = 8.5 Hz, C-2″ and C-6″), 135.3 (C-5′), 136.1 (C-1″), 148.6 (C-3), 161.4 (J = 246.6 Hz, C-4″); ESI-MS 423 [M+H]+.
17β-Hydroxy-1′-(4″-chlorophenyl)-5′-methylpyrazolo[3′,4′:3,2]-5α-androstane (4g)
According to the general procedure, 4-chlorophenylhydrazine hydrochloride (2g, 215 mg) was used. Yield: 219 mg (83%, white solid); Mp 260–262 °C; Anal. Calcd. for C27H35ClN2O (439.04): C, 73.87; H, 8.04. Found: C, 73.73; H, 8.09. 1H NMR (CDCl3, 500 MHz): δ 0.77 (s, 3H, 18-H3), 0.79 (s, 3H, 19-H3), 0.83–1.01 (overlapping m, 3H, 9α-H, 7α-H and 14α-H), 1.11 (td, 1H, J = 12.8, J = 4.1 Hz, 12α-H), 1.27 (m, 1H, 15β-H), 1.33–1.50 (overlapping m, 4H, 6β-H, 8β-H, 16β-H and 11β-H), 1.53–1.65 (overlapping m, 3H, 5α-H, 15α-H and 6α-H), 1.66–1.75 (overlapping m, 2H, 11α-H and 7β-H), 1.86 (m, 1H, 12β-H), 2.05 (d + m, 2H, J = 15.0 Hz, 1α-H and 16α-H), 2.20 (s, 3H, 5′-CH3), 2.33 (dd, 1H, J = 16.8 Hz, J = 12.1 Hz, 4β-H), 2.51 (d, 1H, J = 15.0 Hz, 1β-H), 2.65 (dd, 1H, J = 16.5 Hz, J = 5.2 Hz, 4α-H), 3.64 (t, 1H, J = 8.6 Hz, 17α-H), 7.35–7.41 (overlapping m, 4H, 2″-H, 3″-H, 5″-H and 6″-H); 13C NMR (CDCl3, 125 MHz): δ 10.9 (5′-CH3), 11.0 (C-18), 11.8 (C-19), 20.8 (C-11), 23.4 (C-15), 27.4 (C-4), 29.2 (C-6), 30.5 (C-16), 31.3 (C-7), 34.8 (C-1), 35.8 (C-8), 36.2 (C-10), 36.7 (C-12), 42.5 (C-5), 42.8 (C-13), 50.9 (C-14), 54.1 (C-9), 81.9 (C-17), 115.4 (C-2), 125.5 (2C, C-2″ and C-6″), 129.1 (2C, C-3″ and C-5″), 132.5 (C-4″), 135.2 (C-5′), 138.5 (C-1″), 149.0 (C-3); ESI-MS 440 [M+H]+.
17β-Hydroxy-1′-(4″-bromophenyl)-5′-methylpyrazolo[3′,4′:3,2]-5α-androstane (4h)
According to the general procedure, 4-bromophenylhydrazine hydrochloride (2h, 268 mg) was used. Yield: 232 mg (80%, white solid); Mp 256–259 °C; Anal. Calcd. for C27H35BrN2O (483.49): C, 67.07; H, 7.30. Found: C, 67.16; H, 7.38. 1H NMR (CDCl3, 500 MHz): δ 0.77 (s, 3H, 18-H3), 0.79 (s, 3H, 19-H3), 0.83–1.01 (overlapping m, 3H, 9α-H, 7α-H and 14α-H), 1.11 (td, 1H, J = 12.7, J = 3.5 Hz, 12α-H), 1.27 (m, 1H, 15β-H), 1.33–1.50 (overlapping m, 4H, 6β-H, 8β-H, 16β-H and 11β-H), 1.52–1.64 (overlapping m, 3H, 5α-H, 15α-H and 6α-H), 1.66–1.75 (overlapping m, 2H, 11α-H and 7β-H), 1.86 (m, 1H, 12β-H), 2.05 (d + m, 2H, J = 15.0 Hz, 1α-H and 16α-H), 2.20 (s, 3H, 5′-CH3), 2.32 (dd, 1H, J = 16.6 Hz, J = 12.4 Hz, 4β-H), 2.51 (d, 1H, J = 15.0 Hz, 1β-H), 2.66 (dd, 1H, J = 16.6 Hz, J = 4.9 Hz, 4α-H), 3.64 (t, 1H, J = 8.6 Hz, 17α-H), 7.32 (d, 2H, J = 8.5 Hz, 3″-H and 5″-H), 7.55 (d, 2H, J = 8.5 Hz, 2″-H and 6″-H); 13C NMR (CDCl3, 125 MHz): δ 11.0 (5′-CH3), 11.0 (C-18), 11.8 (C-19), 20.8 (C-11), 23.4 (C-15), 27.4 (C-4), 29.2 (C-6), 30.6 (C-16), 31.3 (C-7), 34.8 (C-1), 35.8 (C-8), 36.2 (C-10), 36.8 (C-12), 42.4 (C-5), 42.8 (C-13), 50.9 (C-14), 54.1 (C-9), 81.9 (C-17), 115.5 (C-2), 120.4 (C-4″), 125.8 (2C, C-2″ and C-6″), 132.0 (2C, C-3″ and C-5″), 135.2 (C-5′), 138.9 (C-1″), 149.0 (C-3); ESI-MS 484 [M+H]+.
17β-Hydroxy-1′-(4″-cyanophenyl)-5′-methylpyrazolo[3′,4′:3,2]-5α-androstane (4i)
According to the general procedure, 4-cianophenylhydrazine hydrochloride (2i, 204 mg) was used. Yield: 209 mg (81%, white solid); Mp 247–250 °C; Anal. Calcd. for C28H35N3O (429.61): C, 78.28; H, 8.21. Found: C, 78.12; H, 8.15. 1H NMR (CDCl3, 500 MHz): δ 0.77 (s, 3H, 18-H3), 0.79 (s, 3H, 19-H3), 0.84–1.02 (overlapping m, 3H, 9α-H, 7α-H and 14α-H), 1.11 (td, 1H, J = 12.7, J = 3.6 Hz, 12α-H), 1.28 (m, 1H, 15β-H), 1.33–1.51 (overlapping m, 4H, 6β-H, 8β-H, 16β-H and 11β-H), 1.52–1.65 (overlapping m, 3H, 5α-H, 15α-H and 6α-H), 1.67–1.76 (overlapping m, 2H, 11α-H and 7β-H), 1.86 (m, 1H, 12β-H), 2.06 (d + m, 2H, J = 15.3 Hz, 1α-H and 16α-H), 2.29 (s, 3H, 5′-CH3), 2.34 (dd, 1H, J = 16.9 Hz, J = 12.4 Hz, 4β-H), 2.53 (d, 1H, J = 15.3 Hz, 1β-H), 2.67 (dd, 1H, J = 16.9 Hz, J = 5.0 Hz, 4α-H), 3.64 (t, 1H, J = 8.5 Hz, 17α-H), 7.61 (d, 2H, J = 8.9 Hz, 2″-H and 6″-H), 7.72 (d, 2H, J = 8.9 Hz, 3″-H and 5″-H); 13C NMR (CDCl3, 125 MHz): δ 11.0 (C-18), 11.5 (5′-CH3), 11.8 (C-19), 20.8 (C-11), 23.4 (C-15), 27.4 (C-4), 29.2 (C-6), 30.6 (C-16), 31.3 (C-7), 34.7 (C-1), 35.8 (C-8), 36.2 (C-10), 36.7 (C-12), 42.3 (C-5), 42.8 (C-13), 50.9 (C-14), 54.0 (C-9), 81.9 (C-17), 109.8 (C-4″), 117.0 (C-2), 118.4 (CN), 123.7 (2C, C-2″ and C-6″), 133.1 (2C, C-3″ and C-5″), 135.5 (C-5′), 143.4 (C-1″), 150.3 (C-3); ESI-MS 430 [M+H]+.
17β-Hydroxy-1′-(4″-nitrophenyl)-5′-methylpyrazolo[3′,4′:3,2]-5α-androstane (4j)
According to the general procedure, 4-nitrophenylhydrazine hydrochloride (2j, 228 mg) was used. Yield: 229 mg (85%, yellow solid); Mp 238–240 °C; Anal. Calcd. for C27H35N3O3 (449.60): C, 72.13; H, 7.85. Found: C, 72.04; H, 7.76. 1H NMR (CDCl3, 500 MHz): δ 0.77 (s, 3H, 18-H3), 0.80 (s, 3H, 19-H3), 0.84–1.02 (overlapping m, 3H, 9α-H, 7α-H and 14α-H), 1.12 (td, 1H, J = 12.7, J = 3.6 Hz, 12α-H), 1.28 (m, 1H, 15β-H), 1.33–1.51 (overlapping m, 4H, 6β-H, 8β-H, 16β-H and 11β-H), 1.53–1.66 (overlapping m, 3H, 5α-H, 15α-H and 6α-H), 1.67–1.76 (overlapping m, 2H, 11α-H and 7β-H), 1.87 (m, 1H, 12β-H), 2.06 (d + m, 2H, J = 15.0 Hz, 1α-H and 16α-H), 2.32 (s, 3H, 5′-CH3), 2.34 (m, 1H, 4β-H), 2.54 (d, 1H, J = 15.0 Hz, 1β-H), 2.67 (dd, 1H, J = 17.0 Hz, J = 5.1 Hz, 4α-H), 3.64 (t, 1H, J = 8.5 Hz, 17α-H), 7.67 (d, 2H, J = 9.0 Hz, 2″-H and 6″-H), 8.30 (d, 2H, J = 9.0 Hz, 3″-H and 5″-H); 13C NMR (CDCl3, 125 MHz): δ 11.0 (C-18), 11.6 (5′-CH3), 11.8 (C-19), 20.8 (C-11), 23.4 (C-15), 27.4 (C-4), 29.2 (C-6), 30.5 (C-16), 31.3 (C-7), 34.7 (C-1), 35.8 (C-8), 36.2 (C-10), 36.7 (C-12), 42.3 (C-5), 42.8 (C-13), 50.9 (C-14), 54.0 (C-9), 81.9 (C-17), 117.0 (C-2), 123.2 (2C, C-2″ and C-6″), 124.7 (2C, C-3″ and C-5″), 135.7 (C-5′), 145.0 and 145.4 (C-1″ and C-4″), 150.7 (C-3); ESI-MS 450 [M+H]+.

3.1.4. General Procedure for the Synthesis of Compounds 5a–j by Jones Oxidation

Compound 4a–j (0.25 mmol) was dissolved in acetone (10 mL) and Jones reagent (0.2 mL) was added dropwise into the solution, which was then stirred at room temperature for 20 min, and after the given reaction time diluted with water (15 mL). The precipitate that formed was extracted with CH2Cl2 (3× 10 mL), and the combined organic phases were washed with water (10 mL), then dried over anhydrous Na2SO4 and concentrated in vacuo. The crude product was purified by column chromatography with EtOAc/CH2Cl2 = 2:98.
1′-Phenyl-5′-methylpyrazolo[3′,4′:3,2]-5α-androst-17-one (5a)
According to the general procedure, 4a (101 mg) was used. Yield: 96 mg (96%, white solid); Mp 247–250 °C; Anal. Calcd. for C27H34N2O (402.58): C, 80.55; H, 8.51. Found: C, 80.60; H, 8.59. 1H NMR (CDCl3, 500 MHz): δ 0.83 (s, 3H, 19-H3), 0.90 (s, 3H, 18-H3), 0.94 (m, 1H), 1.04 (m, 1H), 1.27–1.35 (overlapping m, 2H), 1.37–1.63 (overlapping m, 5H), 1.69 (m, 1H), 1.79 (m, 1H), 1.83–1.89 (overlapping m, 2H), 1.98 (m, 1H), 2.08 (d + m, 2H, J = 15.2 Hz, 1α-H and 16α-H), 2.21 (s, 3H, 5′-CH3), 2.36 (dd, 1H, J = 16.7 Hz, J = 12.1 Hz, 4β-H), 2.46 (dd, 1H, J = 19.2 Hz, J = 8.8 Hz, 16β-H), 2.52 (d, 1H, J = 15.2 Hz, 1β-H2), 2.69 (dd, 1H, J = 16.7 Hz, J = 5.1 Hz, 4α-H), 7.31 (m, 1H, 4″-H), 7.43 (d, 4H, J = 4.4 Hz, 2″-H, 3″-H, 5″-H and 6″-H); 13C NMR (CDCl3, 125 MHz): δ 10.9 (5′-CH3), 11.7 (C-19), 13.7 (C-18), 20.5 (C-11), 21.8 (C-15), 27.5 (C-4), 29.1 (C-6), 30.6 (C-12), 31.6 (C-7), 34.8 (C-1), 35.3 (C-8), 35.8 (C-16), 36.4 (C-10), 42.5 (C-5), 47.6 (C-13), 51.4 (C-14), 54.1 (C-9), 114.8 (C-2), 124.5 (2C, C-2″ and C-6″), 127.0 (C-4″), 128.9 (2C, C-3″ and C-5″), 135.2 (C-5′), 139.9 (C-1″), 148.4 (C-3), 221.2 (C-17); ESI-MS 403 [M+H]+.
1′-(2″-Tolyl)-5′-methylpyrazolo[3′,4′:3,2]-5α-androst-17-one (5b)
According to the general procedure, 4b (105 mg) was used. Yield: 97 mg (93%, white solid); Mp 245–250 °C; Anal. Calcd. for C28H36N2O (416.61): C, 80.73; H, 8.71. Found: C, 80.61; H, 8.77. 1H NMR (CDCl3, 500 MHz): δ 0.83 (s, 3H, 19-H3), 0.90 (s, 3H, 18-H3), 0.94 (m, 1H), 1.04 (m, 1H), 1.27–1.35 (overlapping m, 2H), 1.37–1.64 (overlapping m, 5H), 1.68 (m, 1H), 1.79 (m, 1H), 1.83–1.89 (overlapping m, 2H), 1.95 (s, 3H), 1.98 (m, 1H), 2.03 (s, 3H), 2.09 (d + m, 2H, J = 15.1 Hz, 1α-H and 16α-H), 2.36 (dd, 1H, J = 16.5 Hz, J = 12.2 Hz, 4β-H), 2.46 (dd, 1H, J = 19.2 Hz, J = 8.8 Hz, 16β-H), 2.52 (d, 1H, J = 15.1 Hz, 1β-H2), 2.68 (dd, 1H, J = 16.5 Hz, J = 4.9 Hz, 4α-H), 7.19–7.32 (overlapping m, 4H, 3″-H, 4″-H, 5″-H and 6″-H); 13C NMR (CDCl3, 125 MHz): δ 9.7 (5′-CH3), 11.7 (C-19), 13.7 (C-18), 17.3 (2″-CH3), 20.5 (C-11), 21.8 (C-15), 27.5 (C-4), 29.1 (C-6), 30.7 (C-12), 31.6 (C-7), 34.8 (C-1), 35.3 (C-8), 35.8 (C-16), 36.4 (C-10), 42.5 (C-5), 47.6 (C-13), 51.4 (C-14), 54.1 (C-9), 112.9 (C-2), 126.3 (CH), 127.9 (CH), 128.7 (CH), 130.7 (CH), 136.1, 136.2 and 138.8 (C-5′, C-1″ and C-2″), 147.7 (C-3), 221.2 (C-17); ESI-MS 417 [M+H]+.
1′-(4″-Tolyl)-5′-methylpyrazolo[3′,4′:3,2]-5α-androst-17-one (5c)
According to the general procedure, 4c (105 mg) was used. Yield: 96 mg (92%, white solid); Mp 241–243 °C; Anal. Calcd. for C28H36N2O (416.61): C, 80.73; H, 8.71. Found: C, 80.79; H, 8.78. 1H NMR (CDCl3, 500 MHz): δ 0.83 (s, 3H, 19-H3), 0.90 (s, 3H, 18-H3), 0.93 (m, 1H), 1.04 (m, 1H), 1.28–1.35 (overlapping m, 2H), 1.38–1.63 (overlapping m, 5H), 1.69 (m, 1H), 1.79 (m, 1H), 1.84–1.90 (overlapping m, 2H), 1.98 (m, 1H), 2.09 (d + m, 2H, J = 15.0 Hz, 1α-H and 16α-H), 2.18 (s, 3H, 5′-CH3), 2.36 (m, 1H, 4β-H), 2.38 (4″-CH3), 2.46 (dd, 1H, J = 19.3 Hz, J = 9.0 Hz, 16β-H), 2.52 (d, 1H, J = 15.0 Hz, 1β-H2), 2.70 (dd, 1H, J = 16.7 Hz, J = 4.6 Hz, 4α-H), 7.23 (d, 2H, J = 8.0 Hz, 3″-H and 5″-H), 7.30 (d, 2H, J = 8.0 Hz, 2″-H and 6″-H); 13C NMR (CDCl3, 125 MHz): δ 10.8 (5′-CH3), 11.8 (C-19), 13.7 (C-18), 20.5 (C-11), 21.0 (4″-CH3), 21.8 (C-15), 27.4 (C-4), 29.0 (C-6), 30.6 (C-12), 31.6 (C-7), 34.8 (C-1), 35.3 (C-8), 35.8 (C-16), 36.4 (C-10), 42.5 (C-5), 47.6 (C-13), 51.4 (C-14), 54.1 (C-9), 114.5 (C-2), 124.5 (2C, C-2″ and C-6″), 129.5 (2C, C-3″ and C-5″), 136.9, 137.0 and 137.3 (C-5′, C-1″ and C-4″), 148.0 (C-3), 221.2 (C-17); ESI-MS 417 [M+H]+.
1′-(2″,4″-Dimethylphenyl)-5′-methylpyrazolo[3′,4′:3,2]-5α-androst-17-one (5d)
According to the general procedure, 4d (108 mg) was used. Yield: 101 mg (94%, white solid); Mp 173–176 °C; Anal. Calcd. for C29H38N2O (430.64): C, 80.88; H, 8.89. Found: C, 80.98; H, 8.93. 1H NMR (CDCl3, 500 MHz): δ 0.82 (s, 3H, 19-H3), 0.90 (s, 3H, 18-H3), 0.94 (m, 1H), 1.04 (m, 1H), 1.28–1.35 (overlapping m, 2H), 1.37–1.63 (overlapping m, 5H), 1.68 (m, 1H), 1.79 (m, 1H), 1.84–1.90 (overlapping m, 2H), 1.94 (s, 3H), 1.99 (s + m, 4H), 2.09 (d + m, 2H, J = 15.0 Hz, 1α-H and 16α-H), 2.35 (s + m, 4H, 4″-CH3 and 4β-H), 2.46 (dd, 1H, J = 19.5 Hz, J = 9.0 Hz, 16β-H), 2.51 (d, 1H, J = 15.0 Hz, 1β-H2), 2.68 (dd, 1H, J = 16.7 Hz, J = 4.5 Hz, 4α-H), 7.01–7.10 (overlapping m, 3H, 3″-H, 5″-H and 6″-H); 13C NMR (CDCl3, 125 MHz): δ 9.7 (5′-CH3), 11.7 (C-19), 13.7 (C-18), 17.2 (2″-CH3), 20.5 (C-11), 21.1 (4″-CH3), 21.8 (C-15), 27.5 (C-4), 29.1 (C-6), 30.7 (C-12), 31.6 (C-7), 34.8 (C-1), 35.3 (C-8), 35.8 (C-16), 36.4 (C-10), 42.4 (C-5), 47.6 (C-13), 51.4 (C-14), 54.1 (C-9), 112.8 (C-2), 127.0, 127.6 and 131.4 (C-3″, C-5″ and C-6″), 135.8, 135.9, 136.3 and 138.7 (C-5′, C-1″, C-2″ and C-4″), 147.4 (C-3), 221.2 (C-17); ESI-MS 431 [M+H]+.
1′-(4″-Methoxyphenyl)-5′-methylpyrazolo[3′,4′:3,2]-5α-androst-17-one (5e)
According to the general procedure, 4e (109 mg) was used. Yield: 99 mg (92%, white solid); Mp 225–226 °C; Anal. Calcd. for C28H36N2O2 (432.61): C, 77.74; H, 8.39. Found: C, 77.68; H, 8.48. 1H NMR (CDCl3, 500 MHz): δ 0.82 (s, 3H, 19-H3), 0.90 (s, 3H, 18-H3), 0.93 (m, 1H), 1.04 (m, 1H), 1.27–1.34 (overlapping m, 2H), 1.37–1.63 (overlapping m, 5H), 1.68 (m, 1H), 1.78 (m, 1H), 1.83–1.89 (overlapping m, 2H), 1.98 (m, 1H), 2.08 (d + m, 2H, J = 15.0 Hz, 1α-H and 16α-H), 2.15 (s, 3H, 5′-CH3), 2.36 (dd, 1H, J = 16.6 Hz, J = 12.3 Hz, 4β-H), 2.46 (dd, 1H, J = 19.4 Hz, J = 9.0 Hz, 16β-H), 2.51 (d, 1H, J = 15.2 Hz, 1β-H2), 2.70 (dd, 1H, J = 16.6 Hz, J = 4.8 Hz, 4α-H), 3.83 (4″-OMe), 6.94 (d, 2H, J = 8.8 Hz, 3″-H and 5″-H), 7.32 (d, 2H, J = 8.8 Hz, 2″-H and 6″-H); 13C NMR (CDCl3, 125 MHz): δ 10.6 (5′-CH3), 11.8 (C-19), 13.7 (C-18), 20.5 (C-11), 21.8 (C-15), 27.4 (C-4), 29.0 (C-6), 30.6 (C-12), 31.6 (C-7), 34.8 (C-1), 35.3 (C-8), 35.8 (C-16), 36.4 (C-10), 42.4 (C-5), 47.6 (C-13), 51.4 (C-14), 54.1 (C-9), 55.5 (4″-OMe), 114.1 (2C, C-2″ and C-6″), 114.2 (C-2), 126.2 (2C, C-3″ and C-5″), 132.3 (C-1″), 135.5 (C-5′), 147.7 (C-3), 158.7 (C-4″), 221.2 (C-17); ESI-MS 433 [M+H]+.
1′-(4″-Fluorophenyl)-5′-methylpyrazolo[3′,4′:3,2]-5α-androst-17-one (5f)
According to the general procedure, 4f (106 mg) was used. Yield: 100 mg (95%, white solid); Mp 208–210 °C; Anal. Calcd. for C27H33FN2O (420.57): C, 77.11; H, 7.91. Found: C, 77.23; H, 7.99. 1H NMR (CDCl3, 500 MHz): δ 0.81 (s, 3H, 19-H3), 0.90 (s, 3H, 18-H3), 0.93 (m, 1H), 1.03 (m, 1H), 1.27–1.34 (overlapping m, 2H), 1.37–1.61 (overlapping m, 5H), 1.68 (m, 1H), 1.78 (m, 1H), 1.83–1.89 (overlapping m, 2H), 1.97 (m, 1H), 2.08 (d + m, 2H, J = 15.0 Hz, 1α-H and 16α-H), 2.17 (s, 3H, 5′-CH3), 2.36 (dd, 1H, J = 16.6 Hz, J = 12.3 Hz, 4β-H), 2.45 (dd, 1H, J = 19.2 Hz, J = 8.9 Hz, 16β-H), 2.51 (d, 1H, J = 15.2 Hz, 1β-H2), 2.67 (dd, 1H, J = 16.6 Hz, J = 4.9 Hz, 4α-H), 7.11 (t, 2H, J = 8.4 Hz, 3″-H and 5″-H), 7.38 (m, 2H, 2″-H and 6″-H); 13C NMR (CDCl3, 125 MHz): δ 10.6 (5′-CH3), 11.7 (C-19), 13.7 (C-18), 20.5 (C-11), 21.8 (C-15), 27.4 (C-4), 29.0 (C-6), 30.6 (C-12), 31.6 (C-7), 34.8 (C-1), 35.3 (C-8), 35.8 (C-16), 36.3 (C-10), 42.4 (C-5), 47.6 (C-13), 51.4 (C-14), 54.0 (C-9), 114.8 (C-2), 115.5 (2C, J = 22.8 Hz, C-3″ and C-5″), 126.3 (2C, J = 8.5 Hz, C-2″ and C-6″), 135.4 (C-5′), 136.1 (C-1″), 148.4 (C-3), 161.5 (J = 247.1 Hz, C-4″), 221.2 (C-17); ESI-MS 421 [M+H]+.
1′-(4″-Chlorophenyl)-5′-methylpyrazolo[3′,4′:3,2]-5α-androst-17-one (5g)
According to the general procedure, 4g (110 mg) was used. Yield: 102 mg (93%, white solid); Mp 200–203 °C; Anal. Calcd. for C27H33ClN2O (437.02): C, 74.21; H, 7.61. Found: C, 74.09; H, 7.67. 1H NMR (CDCl3, 500 MHz): δ 0.81 (s, 3H, 19-H3), 0.90 (s, 3H, 18-H3), 0.93 (m, 1H), 1.04 (m, 1H), 1.27–1.35 (overlapping m, 2H), 1.37–1.62 (overlapping m, 5H), 1.69 (m, 1H), 1.78 (m, 1H), 1.83–1.89 (overlapping m, 2H), 1.98 (m, 1H), 2.08 (d + m, 2H, J = 15.0 Hz, 1α-H and 16α-H), 2.20 (s, 3H, 5′-CH3), 2.35 (dd, 1H, J = 16.8 Hz, J = 12.1 Hz, 4β-H), 2.46 (dd, 1H, J = 19.2 Hz, J = 8.9 Hz, 16β-H), 2.52 (d, 1H, J = 15.0 Hz, 1β-H2), 2.69 (dd, 1H, J = 16.8 Hz, J = 5.1 Hz, 4α-H), 7.35–7.42 (overlapping m, 4H, 2″-H, 3″-H, 5″-H and 6″-H); 13C NMR (CDCl3, 125 MHz): δ 10.9 (5′-CH3), 11.7 (C-19), 13.7 (C-18), 20.5 (C-11), 21.8 (C-15), 27.4 (C-4), 29.0 (C-6), 30.6 (C-12), 31.6 (C-7), 34.7 (C-1), 35.3 (C-8), 35.8 (C-16), 36.3 (C-10), 42.4 (C-5), 47.6 (C-13), 51.4 (C-14), 54.0 (C-9), 115.2 (C-2), 125.5 (2C, C-2″ and C-6″), 129.1 (2C, C-3″ and C-5″), 132.7 (C-4″), 135.4 (C-5′), 138.4 (C-1″), 148.7 (C-3), 221.2 (C-17); ESI-MS 438 [M+H]+.
1′-(4″-Bromophenyl)-5′-methylpyrazolo[3′,4′:3,2]-5α-androst-17-one (5h)
According to the general procedure, 4h (121 mg) was used. Yield: 110 mg (92%, white solid); Mp 239–242 °C; Anal. Calcd. for C27H33BrN2O (481.48): C, 67.35; H, 6.91. Found: C, 67.50; H, 6.99. 1H NMR (CDCl3, 500 MHz): δ 0.81 (s, 3H, 19-H3), 0.90 (s, 3H, 18-H3), 0.93 (m, 1H), 1.04 (m, 1H), 1.27–1.34 (overlapping m, 2H), 1.37–1.62 (overlapping m, 5H), 1.69 (m, 1H), 1.78 (m, 1H), 1.84–1.89 (overlapping m, 2H), 1.98 (m, 1H), 2.07 (d + m, 2H, J = 15.0 Hz, 1α-H and 16α-H), 2.20 (s, 3H, 5′-CH3), 2.34 (dd, 1H, J = 16.7 Hz, J = 12.4 Hz, 4β-H), 2.46 (dd, 1H, J = 19.3 Hz, J = 8.9 Hz, 16β-H), 2.52 (d, 1H, J = 15.0 Hz, 1β-H2), 2.68 (dd, 1H, J = 16.7 Hz, J = 5.1 Hz, 4α-H), 7.32 (d, 2H, J = 8.6 Hz, 3″-H and 5″-H), 7.55 (d, 2H, J = 8.6 Hz, 2″-H and 6″-H); 13C NMR (CDCl3, 125 MHz): δ 11.0 (5′-CH3), 11.7 (C-19), 13.7 (C-18), 20.5 (C-11), 21.8 (C-15), 27.4 (C-4), 29.0 (C-6), 30.6 (C-12), 31.6 (C-7), 34.8 (C-1), 35.3 (C-8), 35.8 (C-16), 36.3 (C-10), 42.4 (C-5), 47.6 (C-13), 51.4 (C-14), 54.0 (C-9), 115.3 (C-2), 120.4 (C-4″), 125.8 (2C, C-2″ and C-6″), 132.0 (2C, C-3″ and C-5″), 135.2 (C-5′), 139.0 (C-1″), 148.9 (C-3), 221.2 (C-17); ESI-MS 482 [M+H]+.
1′-(4″-Cyanophenyl)-5′-methylpyrazolo[3′,4′:3,2]-5α-androst-17-one (5i)
According to the general procedure, 4i (107 mg) was used. Yield: 98 mg (92%, white solid); Mp 234–237 °C; Anal. Calcd. for C28H33N3O (427.59): C, 78.65; H, 7.78. Found: C, 78.76; H, 7.87. 1H NMR (CDCl3, 500 MHz): δ 0.81 (s, 3H, 19-H3), 0.90 (s, 3H, 18-H3), 0.94 (m, 1H), 1.05 (m, 1H), 1.27–1.35 (overlapping m, 2H), 1.37–1.62 (overlapping m, 5H), 1.70 (m, 1H), 1.79 (m, 1H), 1.84–1.90 (overlapping m, 2H), 1.98 (m, 1H), 2.08 (d + m, 2H, J = 15.1 Hz, 1α-H and 16α-H), 2.29 (s, 3H, 5′-CH3), 2.35 (dd, 1H, J = 16.8 Hz, J = 12.4 Hz, 4β-H), 2.47 (dd, 1H, J = 19.2 Hz, J = 8.7 Hz, 16β-H), 2.54 (d, 1H, J = 15.1 Hz, 1β-H2), 2.69 (dd, 1H, J = 16.8 Hz, J = 5.1 Hz, 4α-H), 7.61 (d, 2H, J = 8.6 Hz, 3″-H and 5″-H), 7.72 (d, 2H, J = 8.6 Hz, 2″-H and 6″-H); 13C NMR (CDCl3, 125 MHz): δ 11.5 (5′-CH3), 11.8 (C-19), 13.7 (C-18), 20.5 (C-11), 21.8 (C-15), 27.4 (C-4), 29.0 (C-6), 30.6 (C-12), 31.6 (C-7), 34.7 (C-1), 35.3 (C-8), 35.8 (C-16), 36.3 (C-10), 42.3 (C-5), 47.6 (C-13), 51.4 (C-14), 54.0 (C-9), 109.8 (C-4″), 116.7 (C-2), 118.4 (CN), 123.7 (2C, C-2″ and C-6″), 133.1 (2C, C-3″ and C-5″), 135.4 (C-5′), 143.5 (C-1″), 150.3 (C-3); 221.1 (C-17); ESI-MS 428 [M+H]+.
1′-(4″-Nitrophenyl)-5′-methylpyrazolo[3′,4′:3,2]-5α-androst-17-one (5j)
According to the general procedure, 4j (112 mg) was used. Yield: 107 mg (96%, yellow solid); Mp 140–143 °C; Anal. Calcd. for C27H33N3O3 (447.58): C, 72.46; H, 7.43. Found: C, 72.55; H, 7.34. 1H NMR (CDCl3, 500 MHz): δ 0.81 (s, 3H, 19-H3), 0.90 (s, 3H, 18-H3), 0.94 (m, 1H), 1.05 (m, 1H), 1.27–1.35 (overlapping m, 2H), 1.37–1.62 (overlapping m, 5H), 1.70 (m, 1H), 1.79 (m, 1H), 1.84–1.90 (overlapping m, 2H), 1.98 (m, 1H), 2.08 (d + m, 2H, J = 15.1 Hz, 1α-H and 16α-H), 2.33 (s, 3H, 5′-CH3), 2.35 (m, 1H, 4β-H), 2.46 (dd, 1H, J = 19.1 Hz, J = 8.7 Hz, 16β-H), 2.54 (d, 1H, J = 15.1 Hz, 1β-H2), 2.69 (dd, 1H, J = 16.8 Hz, J = 4.7 Hz, 4α-H), 7.66 (d, 2H, J = 8.9 Hz, 2″-H and 6″-H), 8.30 (d, 2H, J = 8.9 Hz, 3″-H and 5″-H); 13C NMR (CDCl3, 125 MHz): δ 11.7 (5′-CH3), 11.8 (C-19), 13.7 (C-18), 20.5 (C-11), 21.8 (C-15), 27.4 (C-4), 29.0 (C-6), 30.5 (C-12), 31.6 (C-7), 34.7 (C-1), 35.3 (C-8), 35.8 (C-16), 36.3 (C-10), 42.3 (C-5), 47.6 (C-13), 51.3 (C-14), 54.0 (C-9), 117.1 (C-2), 123.1 (2C, C-2″ and C-6″), 124.7 (2C, C-3″ and C-5″), 135.5 (C-5′), 145.2 and 145.3 (C-1″ and C-4″), 150.6 (C-3); 221.1 (C-17); ESI-MS 448 [M+H]+.

3.2. Pharmacology

3.2.1. Cell Culture

HeLa, MCF-7 and MDA-MB-231 cells were obtained from Sigma-Aldrich and maintained as reported previously [22]. MRC-5, PC-3, DU 145 cells were purchased from American Type Culture Collection (ATCC, Manassas, VA, USA). PC-3 and DU 145 were maintained in RPMI medium (Sigma-Aldrich) whereas MRC-5 cells were maintained in DMEM medium (Sigma-Aldrich). All media were complemented with 10% Fetal bovine serum (FBS, Sigma-Aldrich) 2 mM L-glutamine, 0.01% streptomycin and 0.005% ampicillin (Sigma-Aldrich). Cells were cultured under standard conditions in a 37 °C incubator containing 5% CO2 in 95% humidity.

3.2.2. Cell Viability Assay

Each test compound was dissolved in cell culture grade DMSO (Molar Chemicals, Halásztelek, Hungary) in a final concentration of 10 mM. Antiproliferative action of the synthesized steroids was investigated by MTT assay. An amount of 5000 cells/well were seeded into 96 well plates. Twenty-four hours post seeding, all cell lines were treated with each compound in 10 and 30 μM concentrations for 72 hours. To identify the IC50 values, seeded cells were exposed to selected compounds in 0, 0.5, 1, 2, 3, 5, 10 and 15 μM concentrations. After 72 hours, cells were washed with PBS and incubated with culture medium containing 0.5 mg/mL MTT (3-(4, 5-dimethylthiazolyl-2)-2,5-diphenyltetrazolium bromide) reagent (SERVA, GmbH, Heidelberg, Germany) for an hour at 37 °C. Formazan crystals were solubilized in DMSO and extinction was measured at 570 nm using a Synergy HTX plate reader (BioTech-Hungary, Budapest, Hungary). MTT assays were performed at least three times using four independent biological replicates. Data were normalized to solvent controls and the graphical representation of the obtained data as well as the calculation of IC50 values were carried out by GraphPad Prism 7 software (GraphPad Software; San Diego, CA, USA).

3.2.3. Apoptosis Detection

PC-3 cells were seeded at 2 × 106 cells/well density in 6-well plates. On the following day cells were treated with 5 µM of either compound 4e or 4j or with 200 µM of cisplatin (Accord Healthcare Ltd., Middlesex, UK). After 48-hour treatment, cells were collected and a Dead Cell Apoptosis Kit containing AnnexinV-FITC and propidium iodide (Life Technologies-Hungary, Budapest, Hungary) was used according to the manufacturer’s recommendation. Fluorescence intensities of at least 10,000 cells/sample were measured by FACSCalibur™ (BD Biosciences, Franklin Lakes, CA, USA) and data were analyzed by FlowJo V10 software (BD Biosciences, Franklin Lakes, NJ, USA). Experiments were repeated three times using triplicates.

3.2.4. Reverse Transcription and Real-Time qPCR

PC-3 cells were seeded at 2 × 106 cells/well density in 6 well plates. On the following day cells were treated with 5 µM of either compound 4e or 4j or with 200 µM of cisplatin. Cells were collected 48-hours post-treatment and total cellular RNA was isolated using RNeasy® Mini Kit (QIAGEN, Hilden, Germany) according to the manufacturer’s recommendation. RNA (2 µg) was reverse transcribed (TaqMan® Reverse Transcription kit, Applied Biosystems, Foster City, CA, USA) in 50 µL total volume. PCR reactions were performed on PicoReal™ Real-time PCR (Thermo Scientific, Walthan, MA, USA) using SYBRGreen qPCR Master Mix (Thermo Scientific) with an input of 1 µL cDNA. Each primer (Table 3) was used at 200 nM concentration. Relative transcript levels were determined by the ΔΔCt analysis using GAPDH as reference gene. Experiments were repeated three times with three biological replicates.

3.2.5. Statistical Analysis

Data are presented as the mean ± standard deviation (SD). GraphPad prism software was used to evaluate statistical differences by one-way analysis of variance (ANOVA) followed by Fisher’s LSD tests. Criterion for statistical significance was set at p < 0.05. The representative significance values as per Fisher’s LSD test are * p < 0.03, ** p < 0.002, *** p < 0.0002, **** p < 0.0001.

4. Conclusions

Despite numerous promising treatment modalities such as radiation therapy, surgical resection and hormone therapy, prostate cancer remains one of the top most common causes of cancer-related deaths among men worldwide. Prostate cancers that are insensitive to androgen blockade or those which are hormone-refractory after hormone and radiotherapy are the most challenging. In addition, the frequently observed loss of p53 function significantly affects the drug-induced apoptotic elimination of cancer cells. Current attempts focus on developing drugs capable of stimulating apoptosis in a p53-independent manner. For this purpose, a number of novel ring A-fused arylpyrazoles in the androstane series were synthesized and structurally characterized by 1D and 2D NMR methods. Heterocyclization reactions of a DHT-derived α,β-enone with arylhydrazines occurred regio-selectively both under conventional and MW heating conditions, but the resulting pyrazolines were obtained as mixtures of diastereomers due to the newly-formed chiral centers and were found to undergo at least partial autoxidation to pyrazoles. Therefore, the cyclizations were repeated under MW-assisted oxidative conditions in the presence of I2, which afforded the desired pyrazoles in good yields independently of the substituents of the reagents applied. The 17-oxo analogs of the heteroaromatic steroids were also prepared by Jones oxidation. According to the pharmacological studies, the novel ring A-fused arylpyrazole derivatives of DHT developed by our laboratory manifested a prominent structure-function relationship, where derivatives carrying a hydroxyl group on C-17 exhibited stronger anti-cancer activity compared to the 17-one counterparts. Moreover, some of the prepared analogs exhibited substantial cancer cell specific antiproliferative action and proapoptotic features on androgen therapy refractive p53-deficient PC-3 cells initiated by intrinsic pathways of apoptosis. Based on these conclusions further targeted design, synthesis and investigations of DHT analogs can be achieved.

Supplementary Materials

Supplementary materials can be found at https://www.mdpi.com/1422-0067/20/9/2170/s1.

Author Contributions

Conceptualization, É.F.; M.K. and I.Z.; chemical synthesis, G.M. and R.E.K.-F.; pharmacological studies, R.E.K.-F.; Á.K. and M.K.G.; formal analysis and interpretation of data, G.M.; M.K.G.; R.E.K.-F. and Á.K.; methodology, resources, É.F.; M.K. and I.Z.; supervision, É.F and M.K.; visualization, G.M.; M.K.G., R.E.K.-F. and Á.K.; writing—original draft preparation, G.M.; É.F, M.K.G. and M.K; writing—review and editing, É.F.; M.K. and I.Z.

Funding

This research received no external funding.

Acknowledgments

Financial support by the National Research, Development and Innovation Office—NKFIH through projects GINOP-2.3.2-15-2016-00038 and OTKA-109107 is gratefully acknowledged.

Conflicts of Interest

The authors declare no conflict of interest.

References

  1. Green, S.M.; Mostaghel, E.A.; Nelson, P.S. Androgen action and metabolism in prostate cancer. Mol. Cell. Endocrinol. 2012, 360, 3–13. [Google Scholar] [CrossRef] [PubMed]
  2. Rahim, B.; O’Regan, R. AR signaling in breast cancer. Cancers 2017, 9, 21–46. [Google Scholar] [CrossRef]
  3. Proverbs-Singh, T.; Feldman, J.L.; Morris, M.J.; Autio, K.A.; Traina, T.A. Targeting the androgen receptor in prostate and breast cancer: Several new agents in development. Endocr.-Relat. Cancer 2015, 22, R87–R106. [Google Scholar] [CrossRef] [PubMed]
  4. Alimirah, F.; Chen, J.; Basrawala, Z.; Xin, H.; Choubey, D. DU-145 and PC-3 human prostate cancer cells express androgen receptor: Implications for the androgen receptor functions and regulation. FEBS Lett. 2006, 580, 2294–2300. [Google Scholar] [CrossRef] [PubMed]
  5. Dehm, S.M.; Tindall, D.J. Androgen receptor structural and functional elements: Role and regulation in prostate cancer. Mol. Endocrin. 2007, 21, 2855–2863. [Google Scholar] [CrossRef]
  6. Siddiqui, Z.A.; Krauss, D.J. Adjuvant androgen deprivation therapy for prostate cancer treated with radiation therapy. Transl. Androl. Urol. 2018, 7, 378–389. [Google Scholar] [CrossRef]
  7. Shafi, A.A.; Yen, A.E.; Weigel, N.L. Androgen receptors in hormone-dependent and castration-resistant prostate cancer. Pharmacol. Ther. 2013, 140, 223–238. [Google Scholar] [CrossRef]
  8. Christopoulos, P.F.; Vlachogiannis, N.I.; Vogkoum, C.T.; Koutsilieris, M. The role of the androgen receptor signaling in breast malignancies. Anticancer Res. 2017, 37, 6533–6540. [Google Scholar]
  9. Iacopetta, D.; Rechoum, Y.; Fuqua, S.A.W. The role of androgen receptor in breast cancer. Drug Discov. Today Dis. Mech. 2012, 9, e19–e27. [Google Scholar] [CrossRef]
  10. Risinger, A.L.; Giles, F.J.; Mooberry, S.L. Microtubule dynamics as a target in oncology. Cancer Treat. Rev. 2009, 35, 255–261. [Google Scholar] [CrossRef]
  11. Debatin, K.M. Apoptosis pathways in cancer and cancer therapy. Cancer Immunol. Immunother. 2004, 53, 153–159. [Google Scholar] [CrossRef] [PubMed]
  12. Solum, E.J.; Cheng, J.-J.; Sørvik, I.B.; Paulsen, R.E.; Vik, A.; Hansen, T.V. Synthesis and biological evaluations of new analogs of 2-methoxyestradiol: Inhibitors of tubulin and angiogenesis. Eur. J. Med. Chem. 2014, 85, 391–398. [Google Scholar] [CrossRef] [PubMed]
  13. Minorics, R.; Szekeres, T.; Krupitza, G.; Saiko, P.; Giessrigl, B.; Wölfling, J.; Frank, É.; Zupkó, I. Antiproliferative effects of some novel synthetic solanidine analogs on HL-60 human leukemia cells in vitro. Steroids 2011, 76, 156–162. [Google Scholar] [CrossRef] [PubMed]
  14. Molnár, J.; Frank, É.; Minorics, R.; Kádár, Z.; Ocsovszki, I.; Schönecker, B.; Wölfling, J.; Zupkó, I. A Click approach to novel D-ring-substituted 16α-triazolylestrone derivatives and characterization of their antiproliferative properties. PLoS ONE 2015, 10, e0118104. [Google Scholar] [CrossRef] [PubMed]
  15. Fragkaki, A.G.; Angelis, Y.S.; Koupparis, M.; Tsantili-Kakoulidou, A.; Kokotos, G.; Georgakopoulos, C. Structural characteristics of anabolic androgenic steroids contributing to binding to the androgen receptor and to their anabolic and androgenic activities. Steroids 2009, 74, 172–197. [Google Scholar] [CrossRef] [PubMed]
  16. Yaşar, P.; Ayaz, G.; User, S.D.; Güpür, G.; Muyan, M. Molecular mechanism of estrogen-estrogen receptor signaling. Reprod. Med. Biol. 2016, 16, 4–20. [Google Scholar] [CrossRef] [PubMed]
  17. Gao, W.; Bohl, C.E.; Dalton, J.T. Chemistry and structural biology of androgen receptors. Chem. Rev. 2005, 105, 3352–3370. [Google Scholar] [CrossRef] [PubMed]
  18. Brueggemeier, R.V. Analogs and antagonists of male sex hormones. Rev. Cell Biol. Mol. Med. 2015, 1, 308–380. [Google Scholar]
  19. Macedo, L.F.; Guo, Z.; Tilghman, S.L.; Sabnis, G.J.; Qiu, Y.; Brodie, A. Role of androgens on MCF-7 breast cancer cell growth and on the inhibitory effect of letrozole. Cancer Res. 2006, 66, 7775–7782. [Google Scholar] [CrossRef]
  20. Singh, S.M.; Gauthier, S.; Labrie, F. Androgen receptor antagonists (antiandrogens): Structure-activity relationships. Curr. Med. Chem. 2000, 7, 211–247. [Google Scholar] [CrossRef]
  21. Baji, Á.; Kiss, T.; Wölfling, J.; Kovács, D.; Igaz, N.; Gopisetty, M.K.; Kiricsi, M.; Frank, É. Multicomponent access to androstano-arylpyrimidines under microwave conditions and evaluation of their anti-cancer activity in vitro. J. Steroid Biochem. Mol. Biol. 2017, 172, 79–88. [Google Scholar] [CrossRef] [PubMed]
  22. Baji, Á.; Gyovai, A.; Wölfling, J.; Minorics, R.; Ocsovszki, I.; Zupkó, I.; Frank, É. Microwave-assisted one-pot synthesis of steroid–quinoline hybrids and an evaluation of their antiproliferative activities on gynecological cancer cell lines. RSC Adv. 2016, 6, 27501–27516. [Google Scholar] [CrossRef]
  23. Baji, Á.; Kovács, F.; Mótyán, G.; Schneider, G.; Wölfling, J.; Sinka, I.; Zupkó, I.; Ocsovszki, I.; Frank, É. Investigation of pH and substituent effects on the distribution ratio of novel steroidal ring D- and A-fused arylpyrazole regioisomers and evaluation of their cell-growth inhibitory effects in vitro. Steroids 2017, 126, 35–49. [Google Scholar] [PubMed]
  24. Iványi, Z.; Szabó, N.; Huber, J.; Wölfling, J.; Zupkó, I.; Szécsi, M.; Wittmann, T.; Schneider, G. Synthesis of D-ring-substituted (5′R)- and (5′S)-17β-pyrazolinylandrostene epimers and comparison of their potential anticancer activities. Steroids 2012, 77, 566–574. [Google Scholar] [CrossRef] [PubMed]
  25. Mótyán, G.; Zupkó, I.; Minorics, R.; Schneider, G.; Wölfling, J.; Frank, É. Lewis acid-induced intramolecular access to novel steroidal ring D-condensed arylpyrazolines exerting in vitro cell-growth-inhibitory effects. Mol. Divers. 2015, 19, 511–527. [Google Scholar] [CrossRef] [PubMed]
  26. Frank, É.; Mucsi, Z.; Zupkó, I.; Réthy, B.; Falkay, G.; Schneider, G.; Wölfling, J. Efficient approach to androstene-fused arylpyrazolines as potent antiproliferative agents. Experimental and theoretical studies of substituent effects on BF3-catalysed intramolecular [3+2] cycloadditions of olefinic phenylhydrazones. J. Am. Chem. Soc. 2009, 131, 3894–3904. [Google Scholar] [CrossRef] [PubMed]
  27. Kovács, D.; Wölfling, J.; Szabó, N.; Szécsi, M.; Schelz, Z.; Zupkó, I.; Frank, É. Synthesis of novel 17-(4′-formyl)pyrazolylandrosta-5,16-dienes and their derivatives as potent 17α-hydroxylase/C17,20-lyase inhibitors or antiproliferative agents depending on the substitution pattern of the heteroring. Eur. J. Med. Chem. 2016, 120, 284–295. [Google Scholar] [CrossRef]
  28. Mallavadhani, U.V.; Vanga, N.R.; Jeengar, M.K.; Naidu, V.G.M. Synthesis of novel ring-A fused hybrids of oleanolic acid with capabilities to arrest cell cycle and induce apoptosis in breast cancer cells. Eur. J. Med. Chem. 2014, 74, 398–404. [Google Scholar] [CrossRef]
  29. Arenas-González, A.; Mendez-Delgado, L.A.; Merino-Montiel, P.; Padrón, J.M.; Montiel-Smith, S.; Vega-Báez, J.L.; Meza-Reyes, S. Synthesis of monomeric and dimeric steroids containing [1,2,4]triazolo[1,5-a]pyrimidines. Steroids 2016, 116, 13–19. [Google Scholar] [CrossRef]
  30. Riahi, A.; Thorey, C.; Hénin, F.; Muzart, J. 2-Alkylidene-1-tetralones from aldol condensations. Synth. Commun. 1998, 28, 4339–4344. [Google Scholar] [CrossRef]
  31. Zhang, X.; Kang, J.; Niu, P.; Wu, J.; Yu, W.; Chang, J. I2-Mediated oxidative C–N bond formation for metal-free one-pot synthesis of di-, tri-, and tetrasubstituted pyrazoles from α,β-unsaturated aldehydes/ketones and hydrazines. J. Org. Chem. 2014, 79, 10170–10178. [Google Scholar] [CrossRef] [PubMed]
  32. Mótyán, G.; Kovács, F.; Wölfling, J.; Gyovai, A.; Zupkó, I.; Frank, É. Microwave-assisted stereoselective approach to novel steroidal ring D-fused 2-pyrazolines and an evaluation of their cell-growth inhibitory effects in vitro. Steroids 2016, 112, 36–46. [Google Scholar] [CrossRef] [PubMed]
  33. Fang, J.; Jin, Z.; Li, Z.; Liu, W. Synthesis, structure and antibacterial activities of novel ferrocenyl-containing 1-phenyl-3-ferrocenyl-4-triazolyl-5-aryl-dihydropyrazole derivatives. J. Organomet. Chem. 2003, 674, 1–9. [Google Scholar] [CrossRef]
  34. Hassanpour, S.H.; Dehghani, M. Review of cancer from perspective of molecular. J. Cancer Res. Practice 2017, 4, 127–129. [Google Scholar] [CrossRef]
  35. Malkin, D.; Li, F.P.; Strond, L.C.; Fraumeni, J.F.; Nelson, C.E.; Kim, D.H.; Kassel, J.; Gryka, M.A.; Bischoff, F.Z.; Tainsky, M.A.; Friend, S.H. Germ line p53 mutations in a familial syndrome of breast cancer, sarcomas, and other neoplasms. Science 1990, 250, 1233–1238. [Google Scholar] [CrossRef] [PubMed]
  36. Endo, A.; Moyori, A.; Kobayashi, A.; Wong, R.W. Nuclear mitotic apparatus protein, NuMA, modulates p53-mediated transcription in cancer cells. Cell. Death Dis. 2013, 4, e713. [Google Scholar] [CrossRef][Green Version]
  37. Gumulec, J.; Balvan, J.; Sztalmachova, M.; Raudenska, M.; Dvorakova, V.; Knopfova, L.; Polanska, H.; Hudcova, K.; Ruttkay-Nedecky, B.; Babula, P.; et al. Cisplatin-resistant prostate cancer model: Differences in antioxidant system, apoptosis and cell cycle. Int. J. Oncol. 2014, 44, 923–933. [Google Scholar] [CrossRef]
  38. Lowe, S.W.; Ruley, H.E.; Jacks, T.; Housman, D.E. p53-Dependent apoptosis modulates the cytotoxicity of anticancer agents. Cell 1993, 74, 957–967. [Google Scholar] [CrossRef]
  39. O’Connor, P.M.; Jackman, J.; Bae, I.; Myers, T.G.; Fan, S.; Mutoh, M.; Scudiero, D.A.; Monks, A.; Sausville, E.A.; Weinstein, J.N.; et al. Characterization of the p53 tumor suppressor pathway in cell lines of the National Cancer Institute anticancer drug screen and correlations with the growth-inhibitory potency of 123 anticancer agents. Cancer Res. 1997, 57, 4285–4300. [Google Scholar]
  40. Hu, T.; Wang, L.; Zhang, L.; Lu, L.; Shen, J.; Chan, R.L.; Li, M.; Wu, W.K.; To, K.K.; Cho, C.H. Sensitivity of apoptosis-resistant colon cancer cells to tanshinones is mediated by autophagic cell death and p53-independent cytotoxicity. Phytomedicine 2015, 22, 536–544. [Google Scholar] [CrossRef]
  41. Corazzari, M.; Lovat, P.E.; Oliverio, S.; Di Sano, F.; Donnorso, R.P.; Redfern, C.P.; Piacentini, M. Fenretinide: A p53-independent way to kill cancer cells. Biochem. Biophys. Res. Commun. 2005, 331, 810–815. [Google Scholar] [CrossRef] [PubMed]
  42. Lien, J.C.; Huang, C.C.; Lu, T.J.; Tseng, C.H.; Sung, P.J.; Lee, H.Z.; Bao, B.Y.; Kuo, Y.H.; Lu, T.L. Naphthoquinone derivative PPE8 induces endoplasmic reticulum stress in p53 null H1299 cells. Oxid. Med. Cell. Longev 2015, ID 453679. [Google Scholar] [CrossRef]
  43. Pishas, K.I.; Adwal, A.; Neuhaus, S.J.; Clayer, M.T.; Farshid, G.; Staudacher, A.H.; Callen, D.F. XI-006 induces potent p53-independent apoptosis in Ewing sarcoma. Sci. Rep. 2015, 5, ID 11465. [Google Scholar]
Sample Availability: Samples of the compounds are available from the authors.
Figure 1. Ring-A condensed heterocyclic derivatives of dihydrotestosterone (DHT) with marked biological activities.
Figure 1. Ring-A condensed heterocyclic derivatives of dihydrotestosterone (DHT) with marked biological activities.
Ijms 20 02170 g001
Scheme 1. Synthesis of ring A-fused arylpyrazole derivatives of DHT. Reagents and conditions: Method A: p-toluenesulfonic acid (PTSA) (0.5 equiv.), EtOH, reflux, 78 °C, 1 h; Method B: PTSA (0.5 equiv.), EtOH, MW, 100 °C, 2 min; Method C: I2 (0.5 equiv.), EtOH, MW, 100 °C, 2 min.
Scheme 1. Synthesis of ring A-fused arylpyrazole derivatives of DHT. Reagents and conditions: Method A: p-toluenesulfonic acid (PTSA) (0.5 equiv.), EtOH, reflux, 78 °C, 1 h; Method B: PTSA (0.5 equiv.), EtOH, MW, 100 °C, 2 min; Method C: I2 (0.5 equiv.), EtOH, MW, 100 °C, 2 min.
Ijms 20 02170 sch001
Figure 2. (a) Partial NOESY spectrum of compound 4a; (b) NOESY correlations between protons observed for 4a.
Figure 2. (a) Partial NOESY spectrum of compound 4a; (b) NOESY correlations between protons observed for 4a.
Ijms 20 02170 g002aIjms 20 02170 g002b
Figure 3. Primary antiproliferative action of the synthesized DHT derivatives on different cell lines.
Figure 3. Primary antiproliferative action of the synthesized DHT derivatives on different cell lines.
Ijms 20 02170 g003
Figure 4. Selected DHT derivatives induce apoptosis in PC-3 prostate cancer cells. (a) Dot plots of annexin V/PI-based apoptosis detection and (b) quantification of apoptotic cells. (c) Bar graph of relative mRNA levels of caspase 3 and Bax in PC-3 cells. Data are presented as the mean ± standard deviation (SD). **** p < 0.0001 (Fisher’s LSD test).
Figure 4. Selected DHT derivatives induce apoptosis in PC-3 prostate cancer cells. (a) Dot plots of annexin V/PI-based apoptosis detection and (b) quantification of apoptotic cells. (c) Bar graph of relative mRNA levels of caspase 3 and Bax in PC-3 cells. Data are presented as the mean ± standard deviation (SD). **** p < 0.0001 (Fisher’s LSD test).
Ijms 20 02170 g004
Table 1. Yields of ring A-fused arylpyrazole derivatives of DHT obtained by Method C (4a–j) and subsequent oxidation (5a–j).
Table 1. Yields of ring A-fused arylpyrazole derivatives of DHT obtained by Method C (4a–j) and subsequent oxidation (5a–j).
EntryR1R2ArylhydrazineCompoundYield (%) 1CompoundYield (%) 1
1HH2a4a855a96
2CH3H2b4b885b93
3HCH32c4c825c92
4CH3CH32d4d805d94
5HOMe2e4e895e92
6HF2f4f825f95
7HCl2g4g835g93
8HBr2h4h805h92
9HCN2i4i815i92
10HNO22j4j855j96
1 After purification by flash chromatography.
Table 2. IC50 values (µM ± SD) of the selected compounds determined on various cancer cell lines and on non-cancerous MRC-5 cells.
Table 2. IC50 values (µM ± SD) of the selected compounds determined on various cancer cell lines and on non-cancerous MRC-5 cells.
4a4e4g4j5j
MRC-523.7 ± 2.38.6 ± 1.315.6 ± 1.4>3025.5 ± 2.3
DU 1459.2 ± 1.23.6 ± 1.214.2 ± 1.319.7 ± 113.5 ± 1.1
PC-35.6 ±1.24.2 ± 1.17.7 ± 1.25.6 ± 1.16.7 ± 1.1
HeLa16.9 ± 3.78.5 ± 0.67.2 ± 0.4>3010.4 ± 0.1
MCF-712.9 ± 0.15.5 ± 0.64.4 ± 0.318.2 ± 3.911.3 ± 2.8
MDA-MB-23115.3 ± 3.46.6 ± 0.912.6 ± 1.5>30>30
Table 3. Primers and their sequences used for RT-qPCR analysis.
Table 3. Primers and their sequences used for RT-qPCR analysis.
TargetFWD primerREV primer
Caspase-35′-ACATGGCGTGTCATAAAATACC-3′5′-CACAAAGCGACTGGATGAAC-3′
Bax5′-TGCTTCAGGGTTTCATCCAG-3′5′-GGCGGCAATCATCCTCTG-3′
Gapdh5′-GCACCACCAACTGCTTAGC-3′5′-GGCATGGACTGTGGTCATGAG-3′

Share and Cite

MDPI and ACS Style

Mótyán, G.; Gopisetty, M.K.; Kiss-Faludy, R.E.; Kulmány, Á.; Zupkó, I.; Frank, É.; Kiricsi, M. Anti-Cancer Activity of Novel Dihydrotestosterone-Derived Ring A-Condensed Pyrazoles on Androgen Non-Responsive Prostate Cancer Cell Lines. Int. J. Mol. Sci. 2019, 20, 2170. https://doi.org/10.3390/ijms20092170

AMA Style

Mótyán G, Gopisetty MK, Kiss-Faludy RE, Kulmány Á, Zupkó I, Frank É, Kiricsi M. Anti-Cancer Activity of Novel Dihydrotestosterone-Derived Ring A-Condensed Pyrazoles on Androgen Non-Responsive Prostate Cancer Cell Lines. International Journal of Molecular Sciences. 2019; 20(9):2170. https://doi.org/10.3390/ijms20092170

Chicago/Turabian Style

Mótyán, Gergő, Mohana Krishna Gopisetty, Réka Eleonóra Kiss-Faludy, Ágnes Kulmány, István Zupkó, Éva Frank, and Mónika Kiricsi. 2019. "Anti-Cancer Activity of Novel Dihydrotestosterone-Derived Ring A-Condensed Pyrazoles on Androgen Non-Responsive Prostate Cancer Cell Lines" International Journal of Molecular Sciences 20, no. 9: 2170. https://doi.org/10.3390/ijms20092170

APA Style

Mótyán, G., Gopisetty, M. K., Kiss-Faludy, R. E., Kulmány, Á., Zupkó, I., Frank, É., & Kiricsi, M. (2019). Anti-Cancer Activity of Novel Dihydrotestosterone-Derived Ring A-Condensed Pyrazoles on Androgen Non-Responsive Prostate Cancer Cell Lines. International Journal of Molecular Sciences, 20(9), 2170. https://doi.org/10.3390/ijms20092170

Note that from the first issue of 2016, this journal uses article numbers instead of page numbers. See further details here.

Article Metrics

Back to TopTop