Characterization of Chickpea (Cicer arietinum L.) Flour Films: Effects of pH and Plasticizer Concentration
Abstract
1. Introduction
2. Results and Discussion
2.1. Water Vapor Permeability, Thickness, Dry Matter Content, Solubility and Swelling
2.2. DPPH Radical Scavenging Capacity
2.3. Color
2.4. Mechanical Properties
2.5. Fourier Transform Infrared Spectroscopy
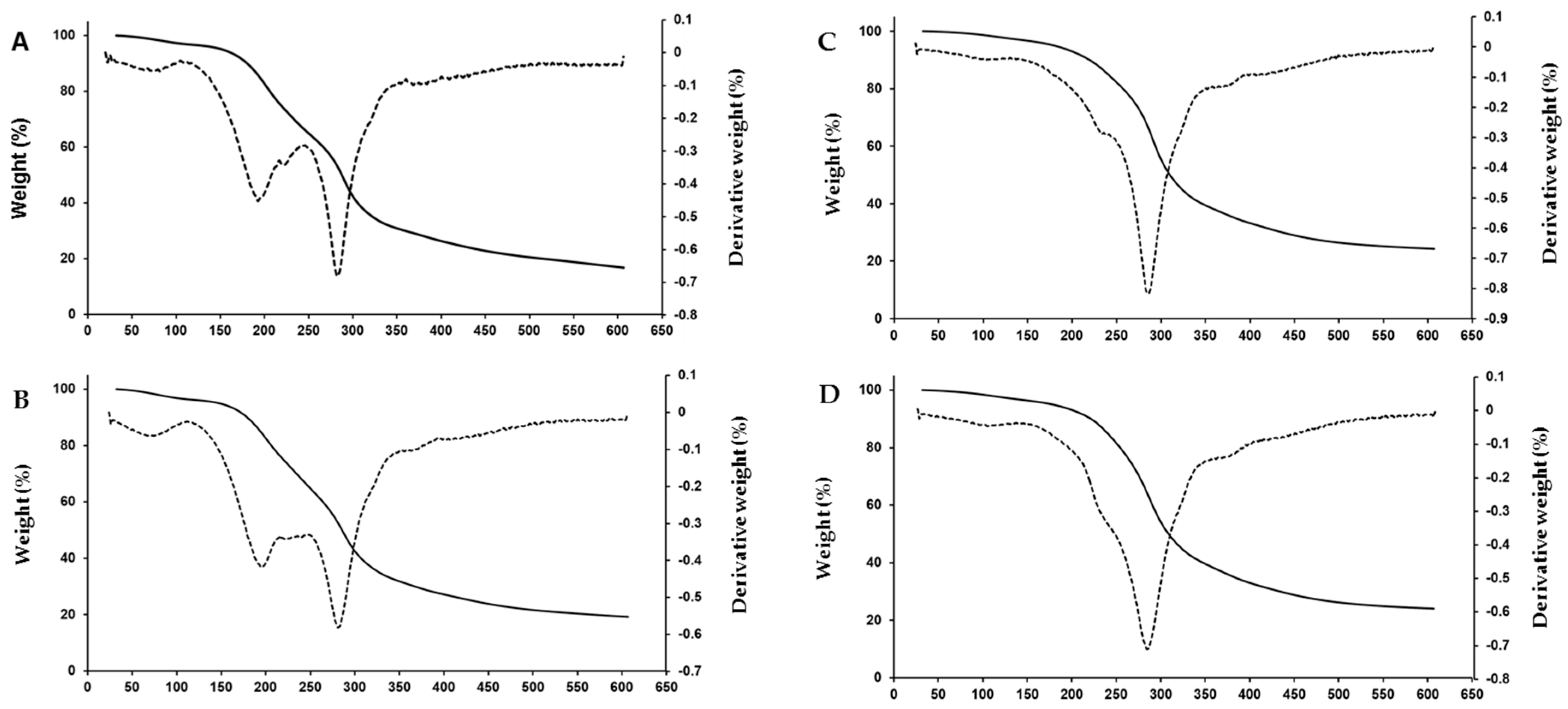
2.6. Thermal Stability
2.7. Film Microstructure
3. Materials and Methods
3.1. Film Preparation
3.2. Film Thickness
3.3. Water Vapor Permeability
3.4. Dry Matter Content and Solubility
3.5. Color and Opacity
3.6. Swelling Property
3.7. DPPH Radical Scavenging Capacity
3.8. Mechanical Properties
3.9. Fourier Transform Infrared Spectroscopy (FTIR)
3.10. Thermogravimetric Analysis (TGA)
3.11. Scanning Electron Microscopy
3.12. Statistical Analysis
4. Conclusions
Author Contributions
Funding
Conflicts of Interest
Abbreviations
| DPPH | 2,2-Diphenyl-1-picrylhydrazyl |
| DTG | First derivative of the thermogravimetric analysis results |
| FTIR | Fourier-transform infrared spectroscopy |
| SEM | Scanning electron microscopy |
| TGA | Thermogravimetric analysis |
| WVP | Water vapor permeability |
References
- Castro-Rosas, J.; Cruz-Galvez, A.M.; Gomez-Aldapa, C.A.; Falfan-Cortes, R.N.; Guzman-Ortiz, F.A.; Rodríguez-Marín, M.L. Biopolymer films and the effects of added lipids, nanoparticles and antimicrobials on their mechanical and barrier properties: A review. Int. J. Food Sci. Technol. 2016, 51, 1967–1978. [Google Scholar] [CrossRef]
- Andrade-Mahecha, M.M.; Tapia-Blácido, D.R.; Menegalli, F.C. Development and optimization of biodegradable films based on achira flour. Carbohydr. Polym. 2012, 88, 449–458. [Google Scholar] [CrossRef]
- Daudt, R.M.; Avena-Bustillos, R.J.; Williams, T.; Wood, D.F.; Külkamp-Guerreiro, I.C.; Marczak, L.D.F.; McHugh, T.H. Comparative study on properties of edible films base don pinhao (Araucaria angustifolia) starch and flour. Food Hydrocoll. 2016, 60, 279–287. [Google Scholar] [CrossRef]
- Dick, M.; Pagno, C.H.; Costa, T.M.H.; Gomaa, A.; Subirade, M.; Rios, A.O.; Flôres, S.H. Edible films based on chia flour: Development and characterization. J. Appl. Polym. Sci. 2016, 133, 42455. [Google Scholar] [CrossRef]
- Pagno, C.H.; Klug, T.V.; Costa, T.M.H.; Rios, A.O.; Flôres, S.H. Physical and antimicrobial properties of quinoa flour-based films incorporated with essential oil. J. Appl. Polym. Sci. 2016, 133, 43311. [Google Scholar] [CrossRef]
- Pelissari, F.M.; Andrade-Mahecha, M.M.; Sobral, P.J.A.; Menegalli, F.C. Comparative study on the properties of flour and starch films of plantain bananas (Musa paradisiaca). Food Hydrocoll. 2013, 30, 681–690. [Google Scholar] [CrossRef]
- Tapia-Blácido, D.; Sobral, P.J.A.; Menegalli, F.C. Development and characterization of biofilms based on Amaranth flour (Amaranthus caudatus). J. Food Eng. 2005, 67, 215–223. [Google Scholar] [CrossRef]
- Vargas, C.G.; Costa, T.M.H.; Rios, A.O.; Flores, S.H. Comparative study on the properties of films based on red rice (Oryza flaberrima) flour and starch. Food Hydrocoll. 2017, 65, 96–106. [Google Scholar] [CrossRef]
- Aydogdu, A.; Kirtil, E.; Sumnu, G.; Oztop, M.H.; Aydogdu, Y. Utilization of lentil flour as a biopolymer source for the development of edible films. J. Appl. Polym. Sci. 2018, 135, 46356. [Google Scholar] [CrossRef]
- Mariniello, L.; Di Pierro, P.; Esposito, C.; Sorrentino, A.; Masi, P.; Porta, R. Preparation and mechanical properties of edible pectin-soy flour films obtained in the absence or presence of transglutaminase. J. Biotechnol. 2003, 102, 191–198. [Google Scholar] [CrossRef]
- Giosafatto, C.V.L.; Al-Asmar, A.; D’Angelo, A.; Roviello, V.; Esposito, M.; Mariniello, L. Preparation and characterization of bioplastics from grass pea flour cast in the presence of microbial transglutaminase. Coatings 2018, 8, 435. [Google Scholar] [CrossRef]
- Jukanti, A.K.; Gaur, P.M.; Gowda, C.L.L.; Chibbar, R.N. Nutritional quality and health benefits of chickpea (Cicer arietinum L.): A review. Br. J. Nutr. 2012, 108 (Suppl. S1), S11–S26. [Google Scholar] [CrossRef] [PubMed]
- Boye, J.; Zare, F.; Pletch, A. Pulse proteins: Processing, characterization, functional properties and applications in food and feed. Food Res. Int. 2010, 43, 414–431. [Google Scholar] [CrossRef]
- Withana-Gamage, T.S.; Wanasundara, J.P.D.; Pietrasik, Z.; Shand, P.J. Physicochemical, thermal and functional characterization of protein isolates from Kabuli and Desi chickpea (Cicer arietinum L.): A comparative study with soy (Glycine max) and pea (Pisum sativum L.). J. Sci. Food Agric. 2011, 91, 1022–1031. [Google Scholar] [CrossRef] [PubMed]
- Hoover, R.; Hughes, T.; Chung, H.J.; Liu, Q. Composition, molecular structure, properties, and modification of pulse starches: A review. Food Res. Int. 2010, 43, 399–413. [Google Scholar] [CrossRef]
- Meares, C.A.; Bogracheva, T.Y.; Hill, S.E.; Hedley, C.L. Development and testing of methods to screen chickpea flour for starch characteristics. Starch/Stärke 2004, 56, 215–224. [Google Scholar] [CrossRef]
- Asif, M.; Rooney, L.W.; Ali, R.; Riaz, M.N. Application and opportunities of pulses in food system: A review. Crit. Rev. Food Sci. Nutr. 2013, 53, 1168–1179. [Google Scholar] [CrossRef]
- Gupta, R.K.; Gupta, K.; Sharma, A.; Das, M.; Ansari, I.A.; Dwivedi, P.D. Health risks and benefits of chickpea (Cicer arietinum) consumption. J. Agric. Food Chem. 2017, 65, 6–22. [Google Scholar] [CrossRef]
- Sanyang, M.L.; Sapuan, S.M.; Jawaid, M.; Ishak, M.R.; Sahari, J. Effect of plasticizer type and concentration on tensile, thermal and barrier properties of biodegradable films based on sugar palm (Arenga pinnata) starch. Polymers 2015, 7, 1106–1124. [Google Scholar] [CrossRef]
- Sothornvit, R.; Krochta, J.M. Plasticizers in edible films and coatings. In Innovations in Food Packaging; Han, J.H., Ed.; Elsevier-Academic Press: London, UK, 2005; pp. 403–433. [Google Scholar]
- Muscat, D.; Adhikari, B.; Adhikari, R.; Chaudhary, D.S. Comparative study of film forming behavior of low and high amylose starches using glycerol and xylitol as plasticizers. J. Food Eng. 2012, 109, 189–201. [Google Scholar] [CrossRef]
- Adhikari, B.; Chaudhary, D.S.; Clerfeuille, E. Effect of plasticizers on the moisture migration behavior of low-amylose starch films during drying. Dry. Technol. 2010, 28, 468–480. [Google Scholar] [CrossRef]
- Tapia-Blácido, D.; Mauri, A.N.; Menegalli, F.C.; Sobral, P.J.A.; Añón, M.C. Contribution of the starch, protein, and lipid fractions to the physical, thermal, and structural properties of amaranth (Amaranthys caudatus) flour films. J. Food Sci. 2007, 72, E293–E300. [Google Scholar] [CrossRef] [PubMed]
- Tapia-Blácido, D.; Sobral, P.J.A.; Menegalli, F.C. Effect of drying conditions and plasticizer type on some physical and mechanical properties of amaranth flour films. LWT Food Sci. Technol. 2013, 50, 392–400. [Google Scholar] [CrossRef]
- Singh, P.K.; Shrivastava, N.; Chaturvedi, K.; Sharma, B.; Bhagyawant, S.S. Characterization of seed storage proteins from chickpea using 2D electrophoresis coupled with mass spectrometry. Biochem. Res. Int. 2016, 2016, 1049462. [Google Scholar] [CrossRef]
- Bourtoom, T. Factors affecting the properties of edible film prepared from mung bean proteins. Int. Food Res. J. 2008, 15, 167–180. [Google Scholar]
- Mauri, A.N.; Salgado, P.R.; Condés, M.C.; Añón, M.C. Films and coatings from vegetable protein. In Edible Films and Coatings. Fundamentals and Applications; Montero García, M.P., Gómez-Guillén, M.C., López-Caballero, M.E., Barbosa-Cánovas, G.V., Eds.; CRC Press: Boca Raton, FL, USA, 2017; pp. 67–87. [Google Scholar]
- Menegalli, F.C. Films and coatings from starch and gums. In Edible Films and Coatings. Fundamentals and Applications; Montero García, M.P., Gómez-Guillén, M.C., López-Caballero, M.E., Barbosa-Cánovas, G.V., Eds.; CRC Press: Boca Raton, FL, USA, 2017; pp. 125–142. [Google Scholar]
- Fernández-Quintela, A.; Macarulla, M.T.; del Barrio, A.S.; Martínez, J.A. Composition and functional properties of protein isolates obtained from commercial legumes grown in northern Spain. Plant Food Hum. Nutr. 1997, 51, 331–342. [Google Scholar] [CrossRef]
- Olayinka, O.O.; Adebowale, K.O.; Olu-Owolabi, B.I. Effect of heat-moisture treatment on physicochemical properties of white sorghum starch. Food Hydrocoll. 2008, 22, 225–230. [Google Scholar] [CrossRef]
- Wang, S.; Luo, H.; Zhang, J.; Zhang, Y.; He, Z.; Wang, S. Alkali-induced changes in functional properties and in vitro digestibility of wheat starch: The role of surface proteins and lipids. J. Agric. Food Chem. 2014, 62, 3636–3643. [Google Scholar] [CrossRef] [PubMed]
- Iahnke, A.O.S.; Costa, T.M.H.; Rios, A.O.; Flores, S.H. Antioxidant films based on gelatin capsules and minimally processed beet root (Beta vulgaris L. var. Conditiva) residues. J. Appl. Polym. Sci. 2016, 133, 43094. [Google Scholar] [CrossRef]
- Segev, A.; Badani, H.; Kapulnik, Y.; Shomer, I.; Oren-Shamir, M.; Galili, S. Determination of polyphenols, flavonoids, and antioxidant capacity in colored chickpea (Cicer arietinum L.). J. Food Sci. 2010, 75, S115–S119. [Google Scholar] [CrossRef]
- Ozdal, T.; Capanoglu, E.; Altay, F. A review on protein-phenolic interactions and associated changes. Food Res. Int. 2013, 51, 954–970. [Google Scholar] [CrossRef]
- Tsai, P.-J.; She, C.-H. Significance of phenol-protein interactions in modifying the antioxidant capacity of peas. J. Agric. Food Chem. 2006, 54, 8491–8494. [Google Scholar] [CrossRef] [PubMed]
- Díaz, O.; Candia, D.; Cobos, A. Whey protein film properties as affected by ultraviolet treatment under alkaline conditions. Int. Dairy J. 2017, 73, 84–91. [Google Scholar] [CrossRef]
- Flores-Morales, A.; Jiménez-Estrada, M.; Mora-Escobedo, R. Determination of the structural changes by FT-IR, Raman, and CP/MAS 13C NMR spectroscopy on retrograded starch of maize tortillas. Carbohydr. Polym. 2012, 87, 61–68. [Google Scholar] [CrossRef]
- Ahmad, M.; Hani, N.M.; Nirmal, N.P.; Fazial, F.F.; Mohtar, N.F.; Romli, S.R. Optical and thermo-mechanical properties of composite films based on fish gelatin/rice flour fabricated by casting technique. Prog. Org. Coat. 2015, 84, 115–127. [Google Scholar] [CrossRef]
- Orsuwan, A.; Sotornvit, R. Effect of banana and plasticizer types on mechanical, water barrier, and heat sealability of plasticizer banana-based films. J. Food Process. Preserv. 2018, 42, e13380. [Google Scholar] [CrossRef]
- Warren, F.J.; Gidley, M.J.; Flanagan, B.M. Infrared spectroscopy as a tool to characterise starch ordered structure—A joint FTIR–ATR, NMR, XRD and DSC study. Carbohydr. Polym. 2016, 139, 35–42. [Google Scholar] [CrossRef] [PubMed]
- Wang, S.; Li, C.; Copeland, L.; Niu, Q.; Wang, S. Starch retrogradation: A comprehensive review. Compr. Rev. Food Sci. Food Saf. 2015, 14, 568–585. [Google Scholar] [CrossRef]
- Wiercigroch, E.; Szafraniec, E.; Czamara, K.; Pacia, M.Z.; Majzner, K.; Kochan, K.; Kaczor, A.; Baranska, M.; Malek, K. Raman and infrared spectroscopy of carbohydrates: A review. Spectrochim. Acta A Mol. Biomol. Spectrosc. 2017, 185, 317–335. [Google Scholar] [CrossRef]
- Kizil, R.; Irudayaraj, J.; Seetharaman, K. Characterization of irradiated starches by using FT-Raman and FTIR spectroscopy. J. Agric. Food Chem. 2002, 50, 3912–3918. [Google Scholar] [CrossRef]
- Xiao, Q.; Gu, X.; Tan, S. Drying process of sodium alginate films studied by two-dimensional correlation ATR-FTIR spectroscopy. Food Chem. 2014, 164, 179–184. [Google Scholar] [CrossRef]
- Barth, A. Infrared spectroscopy of proteins. Biochim. Biophys. Acta 2007, 1767, 1073–1101. [Google Scholar] [CrossRef]
- Liang, T.; Wang, L. Preparation and characterization of a novel edible film based on Artemisia sphaerocephala Krasch. gum: Effects of type and concentration of plasticizers. Food Hydrocoll. 2018, 77, 502–508. [Google Scholar] [CrossRef]
- Haq, M.A.; Hasnain, A.; Azam, M. Characterization of edible gum cordia film: Effects of plasticizers. LWT Food Sci. Technol. 2014, 55, 163–169. [Google Scholar] [CrossRef]
- Maeda, Y. IR spectroscopy study on the hydration and the phase transition of poly(vinyl methyl ether) in water. Langmuir 2001, 17, 1737–1742. [Google Scholar] [CrossRef]
- Ma, X.; Yu, J. The effects of plasticizers containing amide groups on the properties of thermoplastic starch. Starch/Stärke 2004, 56, 545–551. [Google Scholar] [CrossRef]
- Dick, M.; Costa, T.M.H.; Gomaa, A.; Subirade, M.; Rios, A.O.; Flores, S.H. Edible film production from chia seed mucilage: Effect of glycerol concentration on its physicochemical and mechanical properties. Carbohydr. Polym. 2015, 130, 198–205. [Google Scholar] [CrossRef]
- Gutiérrez, T.J.; Suniaga, J.; Monsalve, A.; García, N.L. Influence of beet flour on the relationship surface-properties of edible and intelligent films made from native and modified plantain flour. Food Hydrocoll. 2016, 54, 234–244. [Google Scholar] [CrossRef]
- Sahari, J.; Sapuan, S.M.; Zainudin, E.S.; Maleque, M.A. Thermo-mechanical behabiors of thermoplastic starch derived from sugar palm tree (Arenga pinnata). Carbohydr. Polym. 2013, 92, 1711–1716. [Google Scholar] [CrossRef]
- Ayala, G.; Agudelo, A.; Vargas, R. Effect of glycerol on the electrical properties and phase behavior of cassava starch biopolymers. Dyna 2012, 79, 138–147. [Google Scholar]
- Leblanc, N.; Saiah, R.; Beucher, E.; Gattin, R.; Castandet, M.; Saiter, J.-M. Structural investigation and thermal stability of new extruded wheat flour based polymeric materials. Carbohydr. Polym. 2008, 73, 548–557. [Google Scholar] [CrossRef]
- Zhong, Y.; Li, Y. Effects of glycerol and storage relative humidity on the properties of kudzu starch-based edible films. Starch/Stärke 2014, 66, 524–532. [Google Scholar] [CrossRef]
- Denavi, G.; Tapia-Blácido, D.R.; Añón, M.C.; Sobral, P.J.A.; Mauri, A.N.; Menegalli, F.C. Effects of drying conditions on some physical properties of soy protein films. J. Food Eng. 2009, 90, 341–349. [Google Scholar] [CrossRef]
- AACC International. Method 08-16.01. Ash in soy flour. In Approved Methods of Analysis, 11th ed.; Approved 5 May 1960; Reapproval 3 November 1999; AACC International: St Paul, MN, USA. [CrossRef]
- AACC International. Method 44-31.01. Moisture and volatile matter in soy flours. In Approved Methods of Analysis, 11th ed.; Approved 5 May 1960; Reapproval 3 November 1999; AACC International: St. Paul, MN, USA. [CrossRef]
- AACC International. Method 30-25.01. Crude fat in wheat, corn, and soy flour, feeds and mixed feeds. In Approved Methods of Analysis, 11th ed.; Approved 13 April 1961; Reapproval 3 November 1999; AACC International: St. Paul, MN, USA. [CrossRef]
- AACC International. Method 46-12.01. Crude protein—Kjeldahl method, boric acid modification. In Approved Methods of Analysis, 11th ed.; Approved 8 October 1976; Reapproval 3 November 1999; AACC International: St. Paul, MN, USA. [CrossRef]
- Xu, Y.; Obielodan, M.; Sismour, E.; Arnett, A.; Alzahrani, S.; Zhang, B. Physicochemical, functional, thermal and structural properties of isolated Kabuli chickpea proteins as affected by processing approaches. Int. J. Food Sci. Technol. 2017, 52, 1147–1154. [Google Scholar] [CrossRef]
- Díaz, O.; Candia, D.; Cobos, A. Effects of ultraviolet radiation on properties of films from whey protein concentrate treated before or after film formation. Food Hydrocoll. 2016, 55, 189–199. [Google Scholar] [CrossRef]
- ASTM. E 96-93—Standard test method for water vapor transmission of materials. In Annual Book of ASTM Standard; American Society for Testing and Materials: Philadelphia, PA, USA, 1993; pp. 701–708. [Google Scholar]
- Cao, N.; Fu, Y.; He, J. Preparation and physical properties of soy protein isolate and gelatin composite films. Food Hydrocoll. 2007, 21, 1153–1162. [Google Scholar] [CrossRef]
- ASTM. D882—Standard test method for tensile properties of thin plastic sheeting. In Annual Book of ASTM Standard; American Society for Testing and Materials: Philadelphia, PA, USA, 2000; pp. 160–168. [Google Scholar]

TGA;
DTG.
TGA;
DTG.

| Film | WVP 1 | Thickness | Dry matter | Solubility | Swelling | DPPH 3 |
|---|---|---|---|---|---|---|
| (µm) | (g/100 g) | (% D.M. 2) | (%) | (%) | ||
| 3% glycerol | ||||||
| pH 7 | 1.63 ± 0.11 b | 177.99 ± 4.70 c | 68.78 ± 0.73 a | 41.89 ± 1.35 ab | 82.77 ± 0.93 a | 14.27 ± 0.70 d |
| pH 10 | 1.70 ± 0.11 b | 187.87 ± 3.34 d | 70.12 ± 0.88 b | 40.04 ± 0.83 a | 112.89 ± 2.74 c | 13.18 ± 0.70 c |
| 1% glycerol | ||||||
| pH 7 | 0.83 ± 0.05 a | 141.30 ± 6.30 a | 88.73 ± 0.83 c | 41.40 ± 1.97 a | 99.49 ± 2.14 b | 3.80 ± 0.22 a |
| pH 10 | 0.81 ± 0.03 a | 154.79 ± 3.30 b | 88.48 ± 0.57 c | 43.65 ± 0.99 b | 127.45 ± 3.30 d | 6.66 ± 0.34 b |
| Analysis of variance | ||||||
| Glycerol | *** | *** | *** | * | *** | *** |
| pH | NS | *** | NS | NS | *** | ** |
| Interaction | NS | NS | NS | * | NS | *** |
| Films | L* | a* | b* | ΔE | Opacity |
|---|---|---|---|---|---|
| 3% glycerol | |||||
| pH 7 | 88.16 ± 0.32 a | 0.51 ± 0.07 d | 21.46 ± 0.65 a | 21.51 ± 0.71 a | 23.74 ± 0.49 a |
| pH 10 | 88.02 ± 0.56 a | −1.01 ± 0.08 a | 23.05 ± 0.79 ab | 23.04 ± 0.94 ab | 23.98 ± 0.44 a |
| 1% glycerol | |||||
| pH 7 | 89.27 ± 0.35 b | −0.14 ± 0.02 c | 22.49 ± 1.43 a | 22.09 ± 1.46 a | 26.84 ± 0.43 c |
| pH 10 | 88.15 ± 0.53 a | −0.40 ± 0.01 b | 25.08 ± 2.17 b | 24.88 ± 2.00 b | 25.89 ± 0.15 b |
| Analysis of variance | |||||
| Glycerol | * | NS | * | NS | *** |
| pH | * | *** | * | ** | NS |
| Interaction | NS | *** | NS | NS | * |
| Films | Tensile Strength at Maximum (Mpa) | Elongation at Break (%) | Elastic Modulus (N/mm) | Puncture Strength (Mpa) | Puncture |
|---|---|---|---|---|---|
| Deformation (%) | |||||
| 3% glycerol | |||||
| pH 7 | 0.94 ± 0.07 a | 18.87 ± 2.05 b | 0.71 ± 0.08 a | 1.41 ± 0.05 a | 8.70 ± 0.33 b |
| pH 10 | 1.24 ± 0.04 a | 30.91 ± 3.83 c | 0.77 ± 0.07 a | 1.36 ± 0.07 a | 10.60 ± 0.46 c |
| 1% glycerol | |||||
| pH 7 | 7.21 ± 0.12 b | 6.01 ± 0.61 a | 10.17 ± 0.82 b | 3.70 ± 0.35 b | 3.04 ± 0.61 a |
| pH 10 | 9.15 ± 0.70 c | 4.87 ± 0.83 a | 15.69 ± 1.37 c | 3.84 ± 0.36 b | 2.62 ± 0.63 a |
| Analysis of variance | |||||
| Glycerol | *** | *** | *** | *** | *** |
| pH | *** | *** | *** | NS | * |
| Interaction | ** | *** | *** | NS | ** |
| Films | 1047/1020 cm−1 | 996/1020 cm−1 |
|---|---|---|
| ratio | ratio | |
| 3% glycerol | ||
| pH 7 | 0.64 ± 0.02 a | 0.85 ± 0.01 b |
| pH 10 | 0.63 ± 0.01 a | 0.87 ± 0.01 b |
| 1% glycerol | ||
| pH 7 | 0.91 ± 0.02 b | 0.69 ± 0.01 a |
| pH 10 | 1.03 ± 0.01 c | 0.92 ± 0.02 c |
| Analysis of variance | ||
| Glycerol | *** | *** |
| pH | *** | *** |
| Interaction | *** | *** |
| Film | Weight Loss | Temperature | Stage Total | Residual |
|---|---|---|---|---|
| Stage | Peak 1 | Weight Loss (%) | Weight (%) | |
| 3% glycerol | ||||
| pH 7 | 1 | 83.34 | 3.33 | 16.83 |
| 2 | 204.1 | 31.94 | ||
| 3 | 289.3 | 47.85 | ||
| pH 10 | 1 | 79.81 | 3.05 | 19.25 |
| 2 | 201.6 | 31.72 | ||
| 3 | 286.9 | 45.16 | ||
| 1% glycerol | ||||
| pH 7 | 1 | 111.1 | 2.24 | 24.33 |
| 2 | nd | 14.88 | ||
| 3 | 290.5 | 57.82 | ||
| pH 10 | 1 | 115.3 | 3.23 | 24.11 |
| 2 | nd | 15.15 | ||
| 3 | 287.3 | 57.44 |
© 2019 by the authors. Licensee MDPI, Basel, Switzerland. This article is an open access article distributed under the terms and conditions of the Creative Commons Attribution (CC BY) license (http://creativecommons.org/licenses/by/4.0/).
Share and Cite
Díaz, O.; Ferreiro, T.; Rodríguez-Otero, J.L.; Cobos, Á. Characterization of Chickpea (Cicer arietinum L.) Flour Films: Effects of pH and Plasticizer Concentration. Int. J. Mol. Sci. 2019, 20, 1246. https://doi.org/10.3390/ijms20051246
Díaz O, Ferreiro T, Rodríguez-Otero JL, Cobos Á. Characterization of Chickpea (Cicer arietinum L.) Flour Films: Effects of pH and Plasticizer Concentration. International Journal of Molecular Sciences. 2019; 20(5):1246. https://doi.org/10.3390/ijms20051246
Chicago/Turabian StyleDíaz, Olga, Tania Ferreiro, José Luis Rodríguez-Otero, and Ángel Cobos. 2019. "Characterization of Chickpea (Cicer arietinum L.) Flour Films: Effects of pH and Plasticizer Concentration" International Journal of Molecular Sciences 20, no. 5: 1246. https://doi.org/10.3390/ijms20051246
APA StyleDíaz, O., Ferreiro, T., Rodríguez-Otero, J. L., & Cobos, Á. (2019). Characterization of Chickpea (Cicer arietinum L.) Flour Films: Effects of pH and Plasticizer Concentration. International Journal of Molecular Sciences, 20(5), 1246. https://doi.org/10.3390/ijms20051246

