Genome-Wide Analysis and Identification of the Aux/IAA Gene Family in Peach
Abstract
1. Introduction
2. Results
2.1. PpIAAs Identified in Peach Genome
2.2. Proteins Are Separated into Four Phylogenetic Clades
2.3. Representative PpIAAs are Localized to the Nucleus
2.4. Significantly Higher IAA Concentration and Ethylene Production in Melting Cultivar Compared to Stony Hard Cultivar Inversely Related to Flesh Firmness During Peach Fruit Development and Ripening
2.5. PpIAAs are Differentially Expressed within Specific Tissues
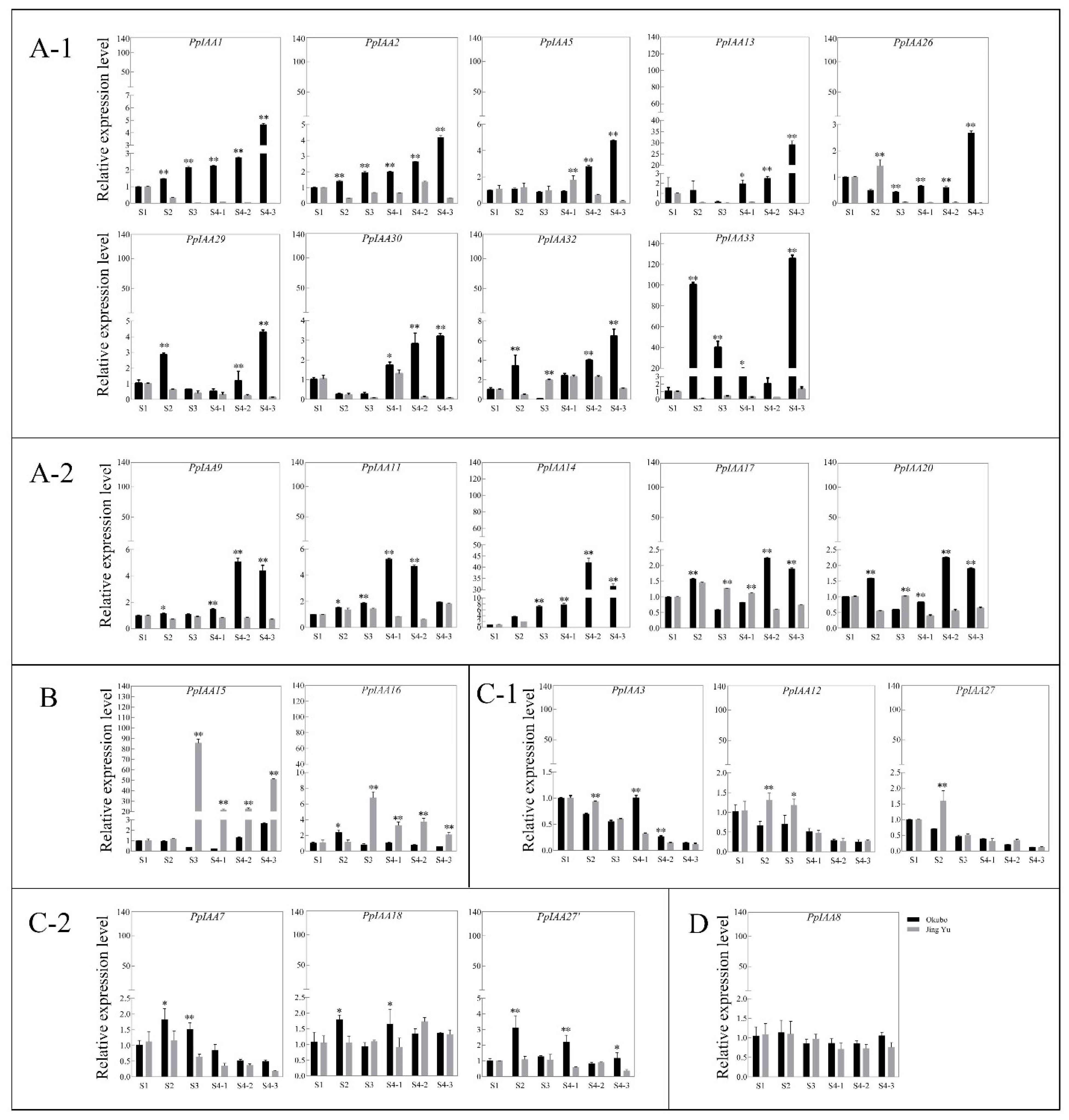
2.6. Expression of PpIAA Genes in Fruits of Two Cultivars at Different Stages
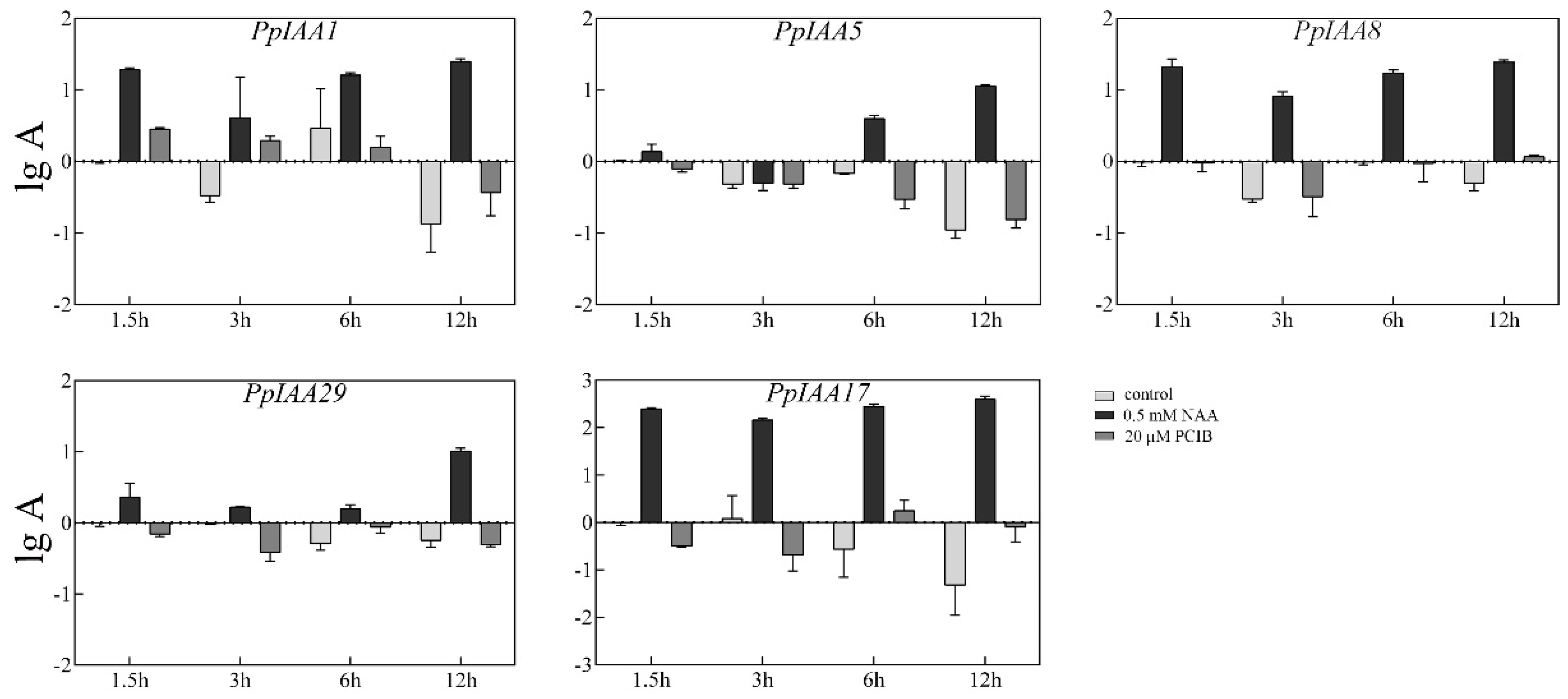
2.7. Expression Analysis of PpIAA Genes under 1-Naphthylacetic Acid (NAA) and P-Chlorophenoxyisobutyric Acid (PCIB) Treatments
3. Discussion
4. Materials and Methods
4.1. Identification of Aux/IAA Gene Family Members in Peach
4.2. Bioinformatic Analyses of PpIAA Genes
4.3. Plant Materials and Treatment
4.4. IAA Concentration, Ethylene Production and Flesh Firmness
4.5. Subcellular Localizations of PpIAA-GFP Fusion Proteins
4.6. Quantitative Real-Time PCR (qRT-PCR) Assays
4.7. Statistical Analyses
Supplementary Materials
Author Contributions
Funding
Acknowledgments
Conflicts of Interest
References
- Callahan, A.M.; Scorza, R.; Bassett, C.; Nickerson, M.; Abeles, F.B. Deletions in an endopolygalacturonase gene cluster correlate with non-melting flesh texture in peach. Funct. Plant Biol. 2004, 31, 159–168. [Google Scholar] [CrossRef]
- Lei, P.; Zeng, W.; Liang, N.; Lu, Z.; Wang, X.; Hui, L.; Cui, G.; Zhu, Y.; Chu, J.; Li, W. PpYUC11, a strong candidate gene for the stony hard phenotype in peach (Prunuspersica L. Batsch), participates in IAA biosynthesis during fruit ripening. J. Exp. Bot. 2015, 66, 7031–7044. [Google Scholar]
- Tatsuki, M.; Nakajima, N.; Fujii, H.; Shimada, T.; Nakano, M.; Hayashi, K.; Hayama, H.; Yoshioka, H.; Nakamura, Y. Increased levels of IAA are required for system 2 ethylene synthesis causing fruit softening in peach (Prunuspersica L. Batsch). J. Exp. Bot. 2013, 64, 1049–1059. [Google Scholar] [CrossRef] [PubMed]
- Luo, J.; Zhou, J.J.; Zhang, J.Z. Aux/IAA gene family in plants: Molecular structure, regulation, and function. Int. J. Mol. Sci. 2018, 19, 259. [Google Scholar] [CrossRef] [PubMed]
- Yamamoto, M.; Yamamoto, K.T. Differential effects of 1-naphthaleneacetic acid, indole-3-acetic acid and 2,4-dichlorophenoxyacetic acid on the gravitropic response of roots in an auxin-resistant mutant of arabidopsis, aux1. Plant Cell Physiol. 1998, 39, 660–664. [Google Scholar] [CrossRef] [PubMed]
- Heidi, S.; Mike, H.; Long, J.A. TOPLESS mediates auxin-dependent transcriptional repression during Arabidopsis embryogenesis. Science 2008, 319, 1384–1386. [Google Scholar]
- Tiwari, S.B.; Gretchen, H.; Guilfoyle, T.J. Aux/IAA proteins contain a potent transcriptional repression domain. Plant Cell 2004, 16, 533–543. [Google Scholar] [CrossRef] [PubMed]
- Dharmasiri, N.; Dharmasiri, S.; Estelle, M. The F-box protein TIR1 is an auxin receptor. Nature 2005, 435, 441–445. [Google Scholar] [CrossRef]
- Hagen, G.; Guilfoyle, T. Auxin-responsive gene expression: Genes, promoters and regulatory factors. Plant Mol. Biol. 2002, 49, 373–385. [Google Scholar] [CrossRef]
- Overvoorde, P.J.; Yoko, O.; Alonso, J.M.; April, C.; Charlie, C.; Ecker, J.R.; Beth, H.; Amy, L.; Courtney, O.; Hong, Q. Functional genomic analysis of the AUXIN/INDOLE-3-ACETIC ACID gene family members in Arabidopsis thaliana. Plant Cell 2005, 17, 3282–3300. [Google Scholar] [CrossRef] [PubMed]
- Abel, S.; Oeller, P.W.; Theologis, A. Early auxin-induced genes encode short-lived nuclear proteins. Proc. Natl. Acad. Sci. USA 1994, 91, 326–330. [Google Scholar] [CrossRef] [PubMed]
- Jian, W.; Zhen, P.; Liu, S.; He, Y.; Lin, C.; Kong, F.; Jie, W.; Gang, L. Genome-wide analysis of Aux/IAA gene family in Solanaceae species using tomato as a model. Mol. Genet. Genom. 2012, 287, 295–311. [Google Scholar]
- Karin, L. Auxin metabolism and homeostasis during plant development. Development 2013, 140, 943–950. [Google Scholar]
- Smet, I.D.; Jürgens, G. Patterning the axis in plants—auxin in control. Curr. Opin. Genet. Dev. 2007, 17, 337–343. [Google Scholar] [CrossRef] [PubMed]
- Woodward, A.W.; Bartel, B. Auxin: Regulation, action, and interaction. Ann. Bot. 2005, 95, 707–735. [Google Scholar] [CrossRef] [PubMed]
- Du-Juan, L.; Jian-Ye, C.; Wang-Jin, L. Expression and regulation of the early auxin-responsive Aux/IAA genes during strawberry fruit development. Mol. Biol. Rep. 2011, 38, 1187–1193. [Google Scholar]
- Chaabouni, S.; Jones, B.; Delalande, C.; Wang, H.; Li, Z.; Mila, I.; Frasse, P.; Latché, A.; Pech, J.C.; Bouzayen, M. Sl-IAA3, a tomato Aux/IAA at the crossroads of auxin and ethylene signalling involved in differential growth. J. Exp. Bot. 2009, 60, 1349–1362. [Google Scholar] [CrossRef] [PubMed]
- Parry, G.; Calderon-Villalobos, L.I.; Prigge, M.; Peret, B.; Dharmasiri, S.; Itoh, H.; Lechner, E.; Gray, W.M.; Bennett, M.; Estelle, M. Complex regulation of the TIR1/AFB family of auxin receptors. Proc. Natl. Acad. Sci. USA 2009, 106, 22540–22545. [Google Scholar] [CrossRef]
- Mazzucato, A.; Cellini, F.; Bouzayen, M.; Zouine, M.; Mila, I.; Minoia, S.; Petrozza, A.; Picarella, M.E.; Ruiu, F.; Carriero, F. A TILLING allele of the tomato Aux / IAA9 gene offers new insights into fruit set mechanisms and perspectives for breeding seedless tomatoes. Mol. Breed. 2015, 35, 1–15. [Google Scholar] [CrossRef]
- Liyan, S.; Carole, B.; Corinne, A.; Isabelle, M.; Catherine, C.; Christian, C.; Mondher, B.; Jean-Paul, R.; Christian, C. The auxin Sl-IAA17 transcriptional repressor controls fruit size via the regulation of endoreduplication-related cell expansion. Plant Cell Physiol. 2014, 55, 1969–1976. [Google Scholar]
- Ding, Y.; Zeng, W.; Wang, X.; Yan, W.; Liang, N.; Lei, P.; Lu, Z.; Cui, G.; Li, G.; Wang, Z. Over-expression of Peach PpIAA19 in Tomato Alters Plant Growth, Parthenocarpy, and Fruit Shape. J. Plant Growth Regul. 2019, 1–10. [Google Scholar] [CrossRef]
- Deng, W.; Yang, Y.; Ren, Z.; Audran-Delalande, C.; Mila, I.; Wang, X.; Song, H.; Hu, Y.; Bouzayen, M.; Li, Z. The tomato SlIAA15 is involved in trichome formation and axillary shoot development. New Phytol. 2012, 194, 379–390. [Google Scholar] [CrossRef] [PubMed]
- Hua, W.; Brian, J.; Zhengguo, L.; Pierre, F.; Corinne, D.; Farid, R.; Salma, C.; Alain, L.; Jean-Claude, P.; Mondher, B. The tomato Aux/IAA transcription factor IAA9 is involved in fruit development and leaf morphogenesis. Plant Cell 2005, 17, 2676–2692. [Google Scholar]
- Li, H.; Wang, B.; Zhang, Q.; Wang, J.; King, G.J.; Liu, K. Genome-wide analysis of the auxin / indoleacetic acid (Aux/IAA) gene family in allotetraploid rapeseed (Brassica napus L.). BMC Plant Biol. 2017, 17, 204. [Google Scholar] [CrossRef] [PubMed]
- Rost, B.; Yachdav, G.; Liu, J. The PredictProtein server. Nucleic Acids Res. 2003, 31, 3300–3304. [Google Scholar] [CrossRef] [PubMed]
- Kim, J.; Harter, K.; Theologis, A. Protein-protein interactions among the Aux/IAA proteins. Proc. Natl. Acad. Sci. USA 1997, 94, 11786–11791. [Google Scholar] [CrossRef] [PubMed]
- Ulmasov, T.; Hagen, G.; Guilfoyle, T.J. ARF1, a transcription factor that binds to auxin response elements. Science 1997, 276, 1865–1868. [Google Scholar] [CrossRef]
- Weijers, D.; Benkova, E.; Jäger, K.E.; Schlereth, A.; Hamann, T.; Kientz, M.; Wilmoth, J.C.; Reed, J.W.; Jürgens, G. Developmental specificity of auxin response by pairs of ARF and Aux/IAA transcriptional regulators. EMBO J. 2014, 24, 1874–1885. [Google Scholar] [CrossRef]
- Xu, T.; Calderon-Villalobos, L.I.A.; Michal, S.; Changxue, Z.; Robinson, C.V.; Mark, E.; Ning, Z. Mechanism of auxin perception by the TIR1 ubiquitin ligase. Nature 2007, 446, 640–645. [Google Scholar]
- Jain, M.; Kaur, N.; Garg, R.; Thakur, J.K.; Tyagi, A.K.; Khurana, J.P. Structure and expression analysis of early auxin-responsive Aux/IAA gene family in rice (Oryza sativa). Funct. Integr. Genom. 2006, 6, 47–59. [Google Scholar] [CrossRef]
- Liu, K.; Yuan, C.; Feng, S.; Zhong, S.; Li, H.; Zhong, J.; Shen, C.; Liu, J. Genome-wide analysis and characterization of Aux/IAA family genes related to fruit ripening in papaya (Carica papaya L.). BMC Genom. 2017, 18, 351. [Google Scholar] [CrossRef] [PubMed]
- Audran-Delalande, C.; Bassa, C.; Mila, I.; Regad, F.; Zouine, M.; Bouzayen, M. Genome-wide identification, functional analysis and expression profiling of the Aux/IAA gene family in tomato. Plant Cell Physiol. 2012, 53, 659–672. [Google Scholar] [CrossRef] [PubMed]
- Agusti, M.; Almela, V.; Andreu, I.; Juan, M.; Zacarias, L. Synthetic auxin 3,5,6-TPA promotes fruit development and climacteric in Prunuspersica L. Batsch. J. Pomol. Hortic. Sci. 1999, 74, 556–560. [Google Scholar]
- Miller, A.N.; Walsh, C.S.; Cohen, J.D. Measurement of indole-3-acetic acid in peach fruits (Prunuspersica L. BatschcvRedhaven) during development. Plant Physiol. 1987, 84, 491–494. [Google Scholar] [CrossRef] [PubMed]
- Ohmiya, A.; Haji, T. Promotion of ethylene biosynthesis in peach mesocarp discs by auxin. Plant Growth Regul. 2002, 36, 209–214. [Google Scholar] [CrossRef]
- Tonutti, P.; Casson, P.; Ramina, A. Ethylene biosynthesis during peach fruit development. J. Am. Soc. Hortic. Sci. 1991, 116, 274–279. [Google Scholar] [CrossRef]
- Rogg, L.E.; Lasswell, J.; Bartel, B. A gain-of-function mutation in IAA28 suppresses lateral root development. Plant Cell 2001, 13, 465–480. [Google Scholar] [CrossRef] [PubMed]
- Zhang, J.; Chen, R.; Xiao, J.; Zou, L.; Li, H.; Ouyang, B.; Ye, Z. Isolation and characterization of SlIAA3, an Aux/IAA gene from tomato. DNA Seq. 2007, 18, 407–414. [Google Scholar] [CrossRef]
- Xie, R.; Pang, S.; Ma, Y.; Deng, L.; He, S.; Yi, S.; Lv, Q.; Zheng, Y. The ARF, AUX/IAA and GH3 gene families in citrus: Genome-wide identification and expression analysis during fruitlet drop from abscission zone A. Mol. Genet. Genom. Mgg. 2015, 290, 2089. [Google Scholar] [CrossRef]
- Gao, J.; Cao, X.; Shi, S.; Ma, Y.; Kai, W.; Liu, S.; Dan, C.; Qin, C.; Ma, H. Genome-wide survey of Aux/IAA gene family members in potato (Solanumtuberosum): Identification, expression analysis, and evaluation of their roles in tuber development. Biochem. Biophys. Res. Commun. 2016, 471, 320–327. [Google Scholar] [CrossRef]
- Paul, P.; Dhandapani, V.; Rameneni, J.J.; Li, X.; Sivanandhan, G.; Choi, S.R.; Pang, W.; Im, S.; Lim, Y.P. Genome-wide analysis and characterization of Aux/IAA family genes in Brassica rapa. PLoS ONE 2016, 11, e0151522. [Google Scholar] [CrossRef] [PubMed]
- Thakur, J.K.; Tyagi, A.K.; Khurana, J.P. OsIAA1, an Aux/IAA cDNA from rice, and changes in its expression as influenced by auxin and light. Dna Res. Int. J. Rapid Publ. Rep. Genes Genomes 2001, 8, 193. [Google Scholar] [CrossRef] [PubMed]
- Abel, S.; Nguyen, M.D.; Theologis, A. The PS-IAA4/5-like family of early auxin-inducible mRNAs in Arabidopsis thaliana. J. Mol. Biol. 1995, 251, 533–549. [Google Scholar] [CrossRef] [PubMed]
- Gabotti, D.; Negrini, N.; Morgutti, S.; Nocito, F.F.; Cocucci, M. Cinnamyl alcohol dehydrogenases in the mesocarp of ripening fruit of Prunuspersica genotypes with different flesh characteristics: Changes in activity and protein and transcript levels. Physiol Plant 2015, 154, 329–348. [Google Scholar] [CrossRef] [PubMed]
- Driver, J.A.; Kuniyuki, A.H. In vitro propagation of Paradox Walnut rootstock. Hortscience A Publ. Am. Soci. 1984, 18, 506–509. [Google Scholar]
- Liu, S.; Chen, W.; Qu, L.; Gai, Y.; Jiang, X. Simultaneous determination of 24 or more acidic and alkaline phytohormones in femtomole quantities of plant tissues by high-performance liquid chromatography-electrospray ionization-ion trap mass spectrometry. Anal. Bioanal. Chem. 2013, 405, 1257–1266. [Google Scholar] [CrossRef] [PubMed]








| Gene | Genbank ID | Peach Gene ID | Location | ORF Length (bp) | protein Length (Amino Acids) | MW (kDa) | pI |
|---|---|---|---|---|---|---|---|
| PpIAA1 | XM_007201785.2 | ppa011843m | NC_034016.1 (20653629..20654992) | 579 | 193 | 21.71 | 5.96 |
| PpIAA2 | XM_007226200.2 | ppa018535m | NC_034009.1 (1919205..1920826) | 588 | 196 | 22.03 | 6.22 |
| PpIAA3 | XM_007205878.2 | ppa011755m | NC_034014.1 (29575406..29576755) | 591 | 197 | 27.17 | 7.64 |
| PpIAA5 | XM_007215941.2 | ppa011935m | NC_034011.1 (5480855..5484225) | 573 | 191 | 26.08 | 7.74 |
| PpIAA7 | XM_007223748.2 | ppa010698m | NC_034009.1 (1933829..1936074) | 744 | 248 | 31.38 | 8.07 |
| PpIAA8 | XM_007205297.2 | ppa007194m | NC_034014.1 (21881754..21886932) | 1134 | 378 | 45.66 | 6.75 |
| PpIAA9 | XM_007225664.2 | ppa006744m | NC_034009.1 (44167484..44185483) | 1098 | 366 | 42.56 | 8.16 |
| PpIAA11 | XM_007200391.2 | ppa008953m | NC_034009.1 (44167484..44185483) | 939 | 313 | 35.43 | 8.57 |
| PpIAA12 | XM_007223283.2 | ppa009545m | NC_034009.1 (3457678..3460446) | 1239 | 413 | 35.39 | 8.57 |
| PpIAA13 | XM_007204663.2 | ppa010871m | NC_034015.1 (21023201..21025144) | 696 | 232 | 26.49 | 9.00 |
| PpIAA14 | XM_007201338.2 | ppa010342m | NC_034016.1 (20644191..20646722) | 741 | 247 | 27.34 | 6.77 |
| PpIAA15 | XM_007204658.2 | ppa010303m | NC_034015.1 (20438534..20440455) | 765 | 255 | 28.41 | 8.22 |
| PpIAA16 | XM_020566397.1 | ppa009254m | NC_034016.1 (20644191..20646722) | 765 | 255 | 38.01 | 5.27 |
| PpIAA17 | XM_007215909.2 | ppa011570m | NC_034011.1 (5491090..5492759) | 615 | 205 | 22.49 | 7.56 |
| PpIAA18 | XM_007215529.2 | ppa007663m | NC_034011.1 (4137359..4141271) | 1080 | 360 | 44.52 | 8.86 |
| PpIAA20 | XM_007225829.2 | ppa011821m | NC_034009.1 (22238109..22239397) | 582 | 194 | 21.40 | 5.48 |
| PpIAA26 | XM_020556087.1 | ppa013361m | NC_034009.1 (37689988..37692150) | 507 | 169 | 19.14 | 5.99 |
| PpIAA27 | XM_007215554.2 | ppa007893m | NC_034011.1 (4585170..4588218) | 1029 | 343 | 43.21 | 7.17 |
| PpIAA27′ | XM_020568496.1 | ppa009134m | NC_034015.1 (19999628..20002859) | 918 | 306 | 32.41 | 6.84 |
| PpIAA29 | XM_007223747.2 | ppa010683m | NC_034009.1 (40205332..40206887) | 720 | 240 | 27.03 | 9.30 |
| PpIAA30 | XM_020559789.1 | ppa020369m | NC_034011.1 (141125..143193) | 579 | 193 | 21.40 | 5.48 |
| PpIAA32 | XM_007224433.2 | ppa023002m | NC_034009.1 (30532207..30533285) | 582 | 194 | 22.35 | 4.89 |
| PpIAA33 | XM_007226683.2 | ppa018956m | NC_034009.1 (6379308..6380785) | 486 | 162 | 17.98 | 9.24 |
© 2019 by the authors. Licensee MDPI, Basel, Switzerland. This article is an open access article distributed under the terms and conditions of the Creative Commons Attribution (CC BY) license (http://creativecommons.org/licenses/by/4.0/).
Share and Cite
Guan, D.; Hu, X.; Diao, D.; Wang, F.; Liu, Y. Genome-Wide Analysis and Identification of the Aux/IAA Gene Family in Peach. Int. J. Mol. Sci. 2019, 20, 4703. https://doi.org/10.3390/ijms20194703
Guan D, Hu X, Diao D, Wang F, Liu Y. Genome-Wide Analysis and Identification of the Aux/IAA Gene Family in Peach. International Journal of Molecular Sciences. 2019; 20(19):4703. https://doi.org/10.3390/ijms20194703
Chicago/Turabian StyleGuan, Dan, Xiao Hu, Donghui Diao, Fang Wang, and Yueping Liu. 2019. "Genome-Wide Analysis and Identification of the Aux/IAA Gene Family in Peach" International Journal of Molecular Sciences 20, no. 19: 4703. https://doi.org/10.3390/ijms20194703
APA StyleGuan, D., Hu, X., Diao, D., Wang, F., & Liu, Y. (2019). Genome-Wide Analysis and Identification of the Aux/IAA Gene Family in Peach. International Journal of Molecular Sciences, 20(19), 4703. https://doi.org/10.3390/ijms20194703
