Studies on the Dual Activity of EGFR and HER-2 Inhibitors Using Structure-Based Drug Design Techniques
Abstract
1. Introduction
2. Results
2.1. Redocking and Docking Analyses
2.2. Construction and Validation of the CoMFA and CoMSIA Models
2.2.1. CoMFA
2.2.2. CoMSIA
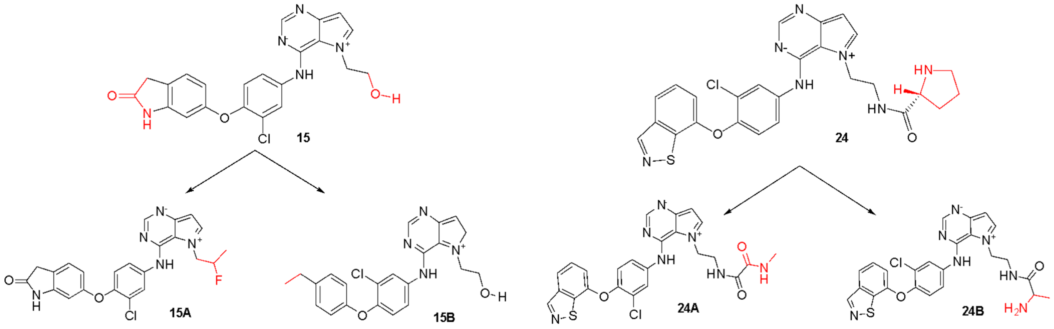
2.2.3. New Compounds Proposed from CoMSIA Models
3. Discussion
4. Materials and Methods
4.1. Dataset
4.2. 3D Structure of EGFR and HER-2
4.3. Redocking
4.4. Conformational Sampling and Alignment
4.5. CoMFA and CoMSIA Analyzes
5. Conclusions
Supplementary Materials
Author Contributions
Funding
Conflicts of Interest
Abbreviations
| CoMFA | Comparative molecular field analysis |
| CoMSIA | Comparative molecular similarity index analysis |
| EGFR | Epidermal growth factor receptor |
| HER-2 | Human Epidermal growth factor Receptor 2 |
| PLS | Partial least squares regression |
| q2 | Cross-validated correlation coefficient |
| q2LOO | Coefficient of validation using leave-one-out method |
| r2 | Non-cross-validated correlation coefficient |
| RMSD | Root mean square deviation |
| SEE | standard error of estimation |
| SEP | Standard error of prediction |
References
- Kawakita, Y.; Miwa, K.; Seto, M.; Banno, H.; Ohta, Y.; Tamura, T.; Yusa, T.; Miki, H.; Kamiguchi, H.; Ikeda, Y.; et al. Design and synthesis of pyrrolo[3,2-d]pyrimidine HER2/EGFR dual inhibitors: Improvement of the physicochemical and pharmacokinetic profiles for potent in vivo anti-tumor efficacy. Bioorg. Med. Chem. 2012, 20, 6171–6180. [Google Scholar] [CrossRef] [PubMed]
- Aertgeerts, K.; Skene, R.; Yano, J.; Sang, B.C.; Zou, H.; Snell, G.; Jennings, A.; Iwamoto, K.; Habuka, N.; Hirokawa, A.; et al. Structural analysis of the mechanism of inhibition and allosteric activation of the kinase domain of HER2 protein. J. Biol. Chem. 2011, 286, 18756–18765. [Google Scholar] [CrossRef] [PubMed]
- Freitas, C.S. Estendendo o Conhecimento sobre a Família Her-Receptores para o Fator de Crescimento Epidérmico e seus ligantes às Malignidades Hematológicas. Revista Brasileira de Cancerologia 2008, 54, 79–86. [Google Scholar]
- Gutierrez, C.; Schiff, R. HER2: Biology, detection, and clinical implications. Arch. Pathol. Lab. Med. 2011, 135, 55–62. [Google Scholar] [CrossRef] [PubMed]
- Doherty, J.K.; Bond, C.; Jardim, A.; Adelman, J.P.; Clinton, G.M. The HER-2/neu receptor tyrosine kinase gene encodes a secreted autoinhibitor. Proc. Natl. Acad. Sci. USA 1999, 96, 10869–10874. [Google Scholar] [CrossRef] [PubMed]
- Guido, R.V.C.; Andricopulo, A.D.; Oliva, G. Planejamento de fármacos, biotecnologia e química medicinal: Aplicações em doenças infecciosas. Estudos Avançados 2010, 24, 81–98. [Google Scholar] [CrossRef]
- Kokai, Y.; Myers, J.N.; Wada, T.; Brown, V.I.; LeVea, C.M.; Davis, J.G.; Dobashi, K.; Greene, M.I. Synergistic interaction of p185c-neu and the EGF receptor leads to transformation of rodent fibroblasts. Cell 1989, 58, 287–292. [Google Scholar] [CrossRef]
- Karunagaran, D.; Tzahar, E.; Beerli, R.R.; Chen, X.; Graus-Porta, D.; Ratzkin, B.J.; Seger, R.; Hynes, N.E.; Yarden, Y. ErbB-2 is a common auxiliary subunit of NDF and EGF receptors: Implications for breast cancer. EMBO J. 1996, 15, 254–264. [Google Scholar] [CrossRef] [PubMed]
- Worthylake, R.; Opresko, L.K.; Wiley, H.S. ErbB-2 Amplification Inhibits Down-regulation and Induces Constitutive Activation of Both ErbB-2 and Epidermal Growth Factor Receptors. J. Biol. Chem. 1999, 274, 8865–8874. [Google Scholar] [CrossRef] [PubMed]
- Lenferink, A.E.; Pinkas-Kramarski, R.; van de Poll, M.L.; van Vugt, M.J.; Klapper, L.N.; Tzahar, E.; Waterman, H.; Sela, M.; van Zoelen, E.J.; Yarden, Y. Differential endocytic routing of homo- and hetero-dimeric ErbB tyrosine kinases confers signaling superiority to receptor heterodimers. EMBO J. 1998, 17, 3385–3397. [Google Scholar] [CrossRef] [PubMed]
- Moulder, S.L.; Yakes, F.M.; Muthuswamy, S.K.; Bianco, R.; Simpson, J.F.; Arteaga, C.L. Epidermal growth factor receptor (HER1) tyrosine kinase inhibitor ZD1839 (Iressa) inhibits HER2/neu (erbB2)-overexpressing breast cancer cells in vitro and in vivo. Cancer Res. 2001, 61, 8887–8895. [Google Scholar] [PubMed]
- Rusnak, D.W.; Alligood, K.J.; Mullin, R.J.; Spehar, G.M.; Arenas-Elliott, C.; Martin, A.M.; Degenhardt, Y.; Rudolph, S.K.; Haws, T.F., Jr.; Hudson-Curtis, B.L.; et al. Assessment of epidermal growth factor receptor (EGFR, ErbB1) and HER2 (ErbB2) protein expression levels and response to lapatinib (Tykerb, GW572016) in an expanded panel of human normal and tumour cell lines. Cell Prolif. 2007, 40, 580–594. [Google Scholar] [CrossRef] [PubMed]
- Araujo, S.C.; Maltarollo, V.G.; Honorio, K.M. Computational studies of TGF-betaRI (ALK-5) inhibitors: Analysis of the binding interactions between ligand-receptor using 2D and 3D techniques. Eur. J. Pharm. Sci. 2013, 49, 542–549. [Google Scholar] [CrossRef] [PubMed]
- Almeida, M.O.; Trossini, G.H.; Maltarollo, V.G.; Silva, D.C.; Honorio, K.M. In silico studies on the interaction between bioactive ligands and ALK5, a biological target related to the cancer treatment. J. Biomol. Struct. Dyn. 2016, 34, 2045–2053. [Google Scholar] [CrossRef] [PubMed]
- Araujo, S.C.; Maltarollo, V.G.; Silva, D.C.; Gertrudes, J.C.; Honorio, K.M. ALK-5 Inhibition: A Molecular Interpretation of the Main Physicochemical Properties Related to Bioactive Ligands. J. Braz. Chem. Soc. 2015, 26, 1936–1946. [Google Scholar] [CrossRef]
- Almeida, M.O.; Costa, C.H.S.; Gomes, G.C.; Lameira, J.; Alves, C.N.; Honorio, K.M. Computational analyses of interactions between ALK-5 and bioactive ligands: Insights for the design of potential anticancer agents. J. Biomol. Struct. Dyn. 2017, 1–13. [Google Scholar] [CrossRef] [PubMed]
- Guariento, S.; Franchini, S.; Tonelli, M.; Fossa, P.; Sorbi, C.; Cichero, E.; Brasili, L. Exhaustive CoMFA and CoMSIA analyses around different chemical entities: A ligand-based study exploring the affinity and selectivity profiles of 5-HT(1A) ligands. J. Enzym. Inhib. Med. Chem. 2017, 32, 214–230. [Google Scholar] [CrossRef] [PubMed]
- Guariento, S.; Tonelli, M.; Espinoza, S.; Gerasimov, A.S.; Gainetdinov, R.R.; Cichero, E. Rational design, chemical synthesis and biological evaluation of novel biguanides exploring species-specificity responsiveness of TAAR1 agonists. Eur. J. Med. Chem. 2018, 146, 171–184. [Google Scholar] [CrossRef] [PubMed]
- Arroio, A.; Honorio, K.M.; da Silva, A.B.F. Propriedades químico-quânticas empregadas em estudos das relações estrutura-atividade Quantum chemical properties used in structure-activity relationship studies. Química Nova 2010, 33, 694–699. [Google Scholar] [CrossRef]
- Franchini, S.; Battisti, U.M.; Prandi, A.; Tait, A.; Borsari, C.; Cichero, E.; Fossa, P.; Cilia, A.; Prezzavento, O.; Ronsisvalle, S.; et al. Scouting new sigma receptor ligands: Synthesis, pharmacological evaluation and molecular modeling of 1,3-dioxolane-based structures and derivatives. Eur. J. Med. Chem. 2016, 112, 1–19. [Google Scholar] [CrossRef] [PubMed]
- Cichero, E.; Brullo, C.; Bruno, O.; Fossa, P. Exhaustive 3D-QSAR analyses as a computational tool to explore the potency and selectivity profiles of thieno [3, 2-d] pyrimidin-4 (3 H)-one derivatives as PDE7 inhibitors. RSC Adv. 2016, 6, 61088–61108. [Google Scholar] [CrossRef]
- Pires, D.E.V.; Blundell, T.L.; Ascher, D.B. pkCSM: Predicting Small-Molecule Pharmacokinetic and Toxicity Properties Using Graph-Based Signatures. J. Med. Chem. 2015, 58, 4066–4072. [Google Scholar] [CrossRef] [PubMed]
- Ishikawa, T.; Seto, M.; Banno, H.; Kawakita, Y.; Oorui, M.; Taniguchi, T.; Ohta, Y.; Tamura, T.; Nakayama, A.; Miki, H.; et al. Design and synthesis of novel human epidermal growth factor receptor 2 (HER2)/epidermal growth factor receptor (EGFR) dual inhibitors bearing a pyrrolo[3,2-d]pyrimidine scaffold. J. Med. Chem. 2011, 54, 8030–8050. [Google Scholar] [CrossRef] [PubMed]
- Kawakita, Y.; Banno, H.; Ohashi, T.; Tamura, T.; Yusa, T.; Nakayama, A.; Miki, H.; Iwata, H.; Kamiguchi, H.; Tanaka, T.; et al. Design and synthesis of pyrrolo[3,2-d]pyrimidine human epidermal growth factor receptor 2 (HER2)/epidermal growth factor receptor (EGFR) dual inhibitors: Exploration of novel back-pocket binders. J. Med. Chem. 2012, 55, 3975–3991. [Google Scholar] [CrossRef] [PubMed]
- Pettersen, E.F.; Goddard, T.D.; Huang, C.C.; Couch, G.S.; Greenblatt, D.M.; Meng, E.C.; Ferrin, T.E. UCSF Chimera—A visualization system for exploratory research and analysis. J. Comput. Chem. 2004, 25, 1605–1612. [Google Scholar] [CrossRef] [PubMed]
- De Azevedo, W.F., Jr. Editorial [Hot topic: Structure-Based Virtual Screening (Guest Editor: Walter Filgueira De Azevedo Jr.)]. Curr. Drug Targets 2010, 11, 261–262. [Google Scholar] [CrossRef] [PubMed]
- Kubinyi, H. QSAR and 3D QSAR in drug design Part 1: Methodology. Drug Discov. Today 1997, 2, 457–467. [Google Scholar] [CrossRef]
- Garcia, T.S.; Honorio, K.M. Two-dimensional quantitative structure-activity relationship studies on bioactive ligands of peroxisome proliferator-activated receptor. J. Braz. Chem. Soc. 2011, 22, 65–72. [Google Scholar] [CrossRef]
- Bernard, P.; Kireev, D.B.; Chrétien, J.R.; Fortier, P.-L.; Coppet, L. Automated docking of 82 N-benzylpiperidine derivatives to mouse acetylcholinesterase and comparative molecular field analysis with ‘natural’ alignment. J. Comput. Aided Mol. Des. 1999, 13, 355–371. [Google Scholar] [CrossRef] [PubMed]
- Verdonk, M.L.; Cole, J.C.; Hartshorn, M.J.; Murray, C.W.; Taylor, R.D. Improved protein–ligand docking using GOLD. Proteins Struct. Funct. Bioinform. 2003, 52, 609–623. [Google Scholar] [CrossRef] [PubMed]
- Stewart, J.J.P. Optimization of parameters for semiempirical methods II. Applications. J. Comput. Chem. 1989, 10, 221–264. [Google Scholar] [CrossRef]
- Stewart, J.J.P. Optimization of parameters for semiempirical methods I. Method. J. Comput. Chem. 1989, 10, 209–220. [Google Scholar] [CrossRef]
- Damale, M.G.; Harke, S.N.; Kalam Khan, F.A.; Shinde, D.B.; Sangshetti, J.N. Recent advances in multidimensional QSAR (4D-6D): A critical review. Mini Rev. Med. Chem. 2014, 14, 35–55. [Google Scholar] [CrossRef] [PubMed]













| Statistical Parameter | HER-2 | EGFR | ||
|---|---|---|---|---|
| No Focus | w = 0.5/d = 1.0 | No Focus | w = 0.5/d = 1.0 | |
| q2LOO | 0.492 | 0.827 | 0.043 | 0.728 |
| r2 | 0.986 | 0.982 | 0.966 | 0.973 |
| SEE | 0.102 | 0.078 | 0.141 | 0.126 |
| SEP | 0.394 | 0.235 | 0.804 | 0.391 |
| E | 0.593 | 0.585 | 0.400 | 0.367 |
| S | 0.407 | 0.415 | 0.600 | 0.633 |
| N | 3 | 5 | 5 | 4 |
| Compound | HER-2 | EGFR | ||||
|---|---|---|---|---|---|---|
| Experimental pIC50 | Predicted pIC50 | Residual | Experimental pIC50 | Predicted pIC50 | Residual | |
| 51 | 7.824 | 7.827 | −0.003 | 7.481 | 7.456 | 0.024 |
| 52 | 7.921 | 7.904 | 0.016 | 7.420 | 7.437 | −0.017 |
| 53 | 7.959 | 7.967 | −0.008 | 7.959 | 7.946 | 0.012 |
| 54 | 6.921 | 6.927 | −0.006 | 6.823 | 6.813 | 0.010 |
| 55 | 7.585 | 7.579 | 0.005 | 6.537 | 6.547 | −0.009 |
| 56 | 8.678 | 8.676 | 0.001 | 8.244 | 8.244 | −0.007 |
| 57 | 8.292 | 8.281 | 0.011 | 7.823 | 7.830 | −0.006 |
| 58 | 8.553 | 8.567 | −0.014 | 8.142 | 8.148 | −0.006 |
| 59 | 7.770 | 7.771 | −0.001 | 7.301 | 7.295 | 0.005 |
| 60 | 7.854 | 7.854 | 0.000 | 7.301 | 7.256 | −0.004 |
| 61 | 7.021 | 7.017 | 0.003 | 7.508 | 7.505 | 0.003 |
| 62 | 6.824 | 6.826 | −0.002 | 6.050 | 6.053 | −0.002 |
| 63 | 8.602 | 8.602 | −0.000 | 7.677 | 7.679 | −0.001 |
| Statistical Parameter | HER-2 | Parameter Statistical | EGFR | ||
|---|---|---|---|---|---|
| No Focus | w = 0.5/d = 1.0 | No Focus | w = 0.3/d = 1.0 | ||
| q2LOO | 0.502 | 0.744 | q2LOO | 0.457 | 0.718 |
| r2 | 0.942 | 0.917 | r2 | 0.975 | 0.968 |
| SEE | 0.144 | 0.173 | SEE | 0.125 | 0.144 |
| SEP | 0.410 | 0.304 | SEP | 0.589 | 0.433 |
| E | 0.716 | 0.651 | E | 0.415 | 0.459 |
| S | 0.284 | 0.349 | H | 0.187 | 0.245 |
| D | - | - | D | 0.398 | 0.296 |
| N | 3 | 6 | N | 6 | 6 |
| Compound | HER-2 | EGFR | ||||
|---|---|---|---|---|---|---|
| Experimental pIC50 | Predicted pIC50 | Residual | Experimental pIC50 | Predicted pIC50 | Residual | |
| 51 | 7.823 | 8.083 | −0.260 | 7.481 | 6.990 | 0.491 |
| 52 | 7.921 | 7.693 | 0.228 | 7.509 | 7.524 | −0.015 |
| 53 | 7.959 | 7.066 | 0.893 | 7.959 | 8.526 | −0.567 |
| 54 | 6.921 | 7.810 | −0.889 | 6.824 | 7.222 | −0.398 |
| 55 | 7.585 | 7.921 | −0.336 | 6.229 | 7.164 | −0.935 |
| 56 | 8.678 | 8.584 | 0.094 | 8.244 | 7.837 | 0.407 |
| 57 | 8.292 | 8.545 | −0.253 | 7.824 | 7.455 | 0.369 |
| 58 | 8.553 | 8.195 | 0.358 | 8.142 | 7.984 | 0.158 |
| 59 | 7.770 | 7.936 | −0.166 | 7.638 | 8.010 | −0.372 |
| 60 | 7.854 | 7.829 | 0.025 | 7.252 | 7.601 | −0.349 |
| 61 | 7.420 | 7.542 | −0.122 | 7.921 | 8.270 | −0.349 |
| 62 | 7.770 | 8.295 | −0.525 | 7.301 | 7.200 | 0.101 |
| 63 | 8.602 | 8.141 | 0.461 | 7.678 | 6.733 | 0.945 |
| Original Compound | Experimental pIC50 | Modified Compound | pIC50 Predicted | ||
|---|---|---|---|---|---|
| EGFR Activity | HER-2 Activity | EGFR Activity | HER-2 Activity | ||
| 15 | 5.638 | 6.886 | 15A | 7.518 | 6.356 |
| 15B | 7.340 | 8.467 | |||
| 24 | 8.523 | 9.036 | 24A | 7.744 | 8.126 |
| 24B | 7.658 | 8.027 | |||
© 2018 by the authors. Licensee MDPI, Basel, Switzerland. This article is an open access article distributed under the terms and conditions of the Creative Commons Attribution (CC BY) license (http://creativecommons.org/licenses/by/4.0/).
Share and Cite
De Angelo, R.M.; Almeida, M.d.O.; De Paula, H.; Honorio, K.M. Studies on the Dual Activity of EGFR and HER-2 Inhibitors Using Structure-Based Drug Design Techniques. Int. J. Mol. Sci. 2018, 19, 3728. https://doi.org/10.3390/ijms19123728
De Angelo RM, Almeida MdO, De Paula H, Honorio KM. Studies on the Dual Activity of EGFR and HER-2 Inhibitors Using Structure-Based Drug Design Techniques. International Journal of Molecular Sciences. 2018; 19(12):3728. https://doi.org/10.3390/ijms19123728
Chicago/Turabian StyleDe Angelo, Rafaela Molina, Michell de Oliveira Almeida, Heberth De Paula, and Kathia Maria Honorio. 2018. "Studies on the Dual Activity of EGFR and HER-2 Inhibitors Using Structure-Based Drug Design Techniques" International Journal of Molecular Sciences 19, no. 12: 3728. https://doi.org/10.3390/ijms19123728
APA StyleDe Angelo, R. M., Almeida, M. d. O., De Paula, H., & Honorio, K. M. (2018). Studies on the Dual Activity of EGFR and HER-2 Inhibitors Using Structure-Based Drug Design Techniques. International Journal of Molecular Sciences, 19(12), 3728. https://doi.org/10.3390/ijms19123728

