In Vitro Evaluation of the Antioxidant, Cytoprotective, and Antimicrobial Properties of Essential Oil from Pistacia vera L. Variety Bronte Hull
Abstract
:1. Introduction
2. Results and Discussion
2.1. Essential Oil Composition
2.2. Antioxidant Activities
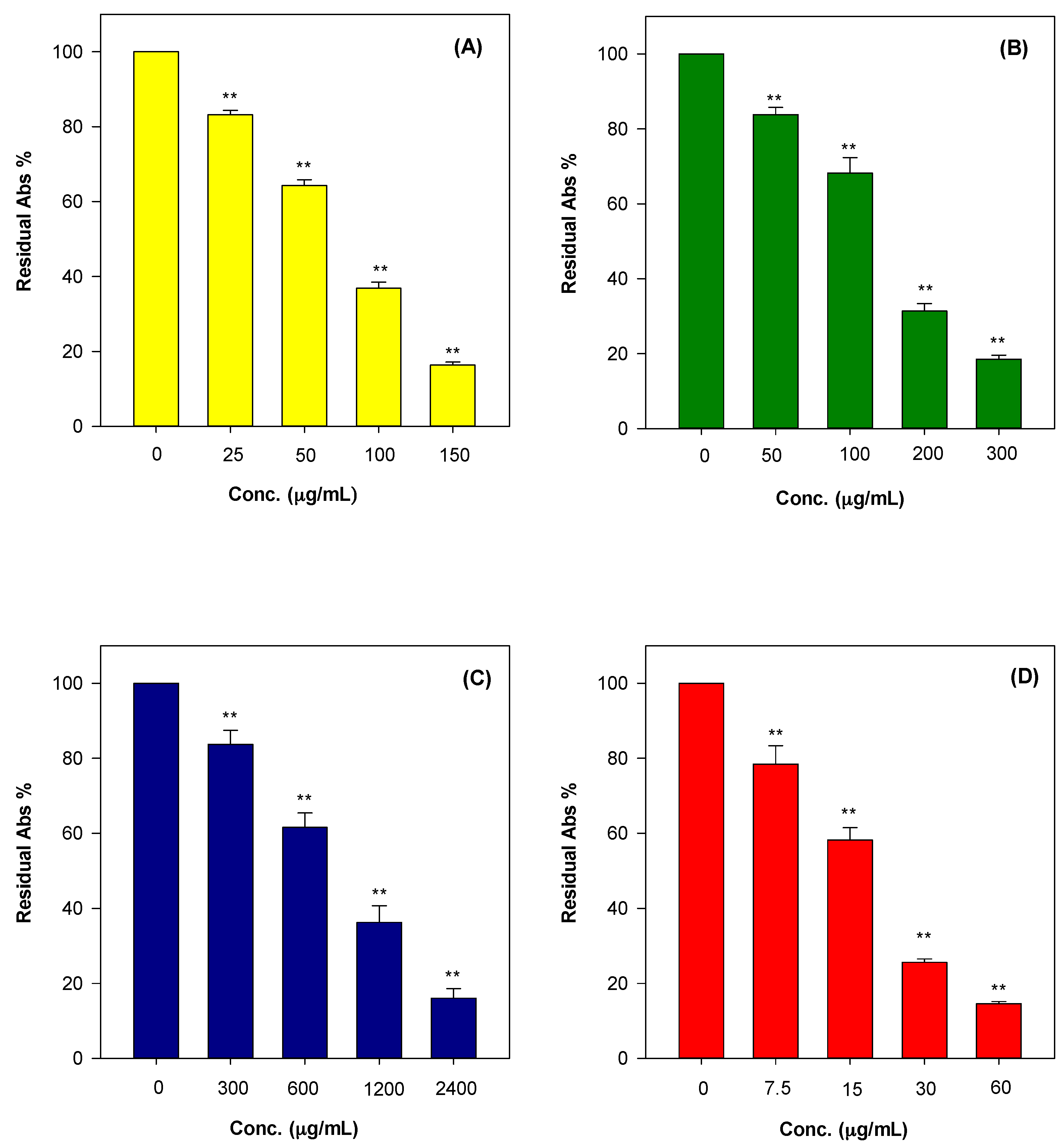
2.3. Cytoprotective Activity
2.4. Antimicrobial Activities
3. Materials and Methods
3.1. Chemicals
3.2. Plant Material and Isolation of Essential Oil
3.3. GC/MS Analysis
3.4. Screening of Antioxidant and Free-Radical Scavenging Properties
3.4.1. Determination of Total Phenolic Compounds
3.4.2. DPPH Assay
3.4.3. Trolox Equivalent Antioxidant Capacity (TEAC) Assay
3.4.4. Ferric Reducing Antioxidant Power (FRAP)
3.4.5. Chelating Capacity on Fe2+
3.4.6. β-Carotene Bleaching
3.4.7. Superoxide Anion (O2•−) Scavenging Assay
3.4.8. Hydroxyl Radical (•OH) Scavenging Assay
3.5. Evaluation of Cytoprotective Properties
3.5.1. Lymphocyte Isolation
3.5.2. Cytotoxicity Assays
3.6. Antimicrobial Activity
3.7. Statistical Analysis
4. Conclusions
Acknowledgments
Author Contributions
Conflicts of Interest
References
- Swamy, M.K.; Akhtar, M.S.; Sinniah, U.R. Antimicrobial Properties of Plant Essential Oils against Human Pathogens and Their Mode of Action: An Updated Review. Evid. Based Complement. Altern. Med. 2016, 2016, 3012462. [Google Scholar] [CrossRef] [PubMed]
- Sharifi-Rad, J.; Sureda, A.; Tenore, G.C.; Daglia, M.; Sharifi-Rad, M.; Valussi, M.; Tundis, R.; Sharifi-Rad, M.; Loizzo, M.R.; Ademiluyi, A.O.; et al. Biological Activities of Essential Oils: From Plant Chemoecology to Traditional Healing Systems. Molecules 2017, 22, 70. [Google Scholar] [CrossRef] [PubMed]
- García, C.C.; Acosta, E.G.; Carro, A.C.; Fernández Belmonte, M.C.; Bomben, R.; Duschatzky, C.B.; Perotti, M.; Schuff, C.; Damonte, E.B. Virucidal activity and chemical composition of essential oils from aromatic plants of central west Argentina. Nat. Prod. Commun. 2010, 5, 1307–1310. [Google Scholar] [PubMed]
- Al-Mariri, A.; Safi, M. In Vitro Antibacterial Activity of Several Plant Extracts and Oils against Some Gram-Negative Bacteria. Iran J. Med. Sci. 2014, 39, 36–43. [Google Scholar] [PubMed]
- Silva, F.; Domingues, F.C. Antimicrobial activity of coriander oil and its effectiveness as food preservative. Crit. Rev. Food Sci. Nutr. 2017, 57, 35–47. [Google Scholar] [CrossRef] [PubMed]
- Jarić, S.; Mitrović, M.; Pavlović, P. Review of Ethnobotanical, Phytochemical, and Pharmacological Study of Thymus serpyllum L. Evid. Based Complement. Altern. Med. 2015, 2015, 101978. [Google Scholar] [CrossRef] [PubMed]
- Shokri, H. A review on the inhibitory potential of Nigella sativa against pathogenic and toxigenic fungi. Avicenna J. Phytomed. 2016, 6, 21–33. [Google Scholar] [PubMed]
- Arumugam, G.; Swamy, M.K.; Sinniah, U.R. Plectranthus amboinicus (Lour.) Spreng: Botanical, Phytochemical, Pharmacological and Nutritional Significance. Molecules 2016, 21, 369. [Google Scholar] [CrossRef] [PubMed]
- Mahboubi, M. Rosa damascena as holy ancient herb with novel applications. J. Tradit. Complement. Med. 2015, 6, 10–16. [Google Scholar] [CrossRef] [PubMed]
- Lillehei, A.S.; Halcon, L.L. A systematic review of the effect of inhaled essential oils on sleep. J. Altern. Complement. Med. 2014, 20, 441–451. [Google Scholar] [CrossRef] [PubMed]
- Rehman, J.U.; Ali, A.; Khan, I.A. Plant based products: Use and development as repellents against mosquitoes: A review. Fitoterapia 2014, 95, 65–74. [Google Scholar] [CrossRef] [PubMed]
- Sugawara, Y.; Shigetho, A.; Yoneda, M.; Tuchiya, T.; Matumura, T.; Hirano, M. Relationship between mood change, odour and its physiological effects in humans while inhaling the fragrances of essential oils as well as linalool and its enantiomers. Molecules 2013, 18, 3312–3338. [Google Scholar] [CrossRef] [PubMed]
- Langeveld, W.T.; Veldhuizen, E.J.; Burt, S.A. Synergy between essential oil components and antibiotics: A review. Crit. Rev. Microbiol. 2014, 40, 76–94. [Google Scholar] [CrossRef] [PubMed]
- Taga, I.; Lan, C.Q.; Altosaar, I. Plant essential oils and mastitis disease: Their potential inhibitory effects on pro-inflammatory cytokine production in response to bacteria related inflammation. Nat. Prod. Commun. 2012, 7, 675–682. [Google Scholar] [PubMed]
- Solórzano-Santos, F.; Miranda-Novales, M.G. Essential oils from aromatic herbs as antimicrobial agents. Curr. Opin. Biotechnol. 2012, 23, 136–141. [Google Scholar] [CrossRef] [PubMed]
- Božović, M.; Ragno, R. Calamintha nepeta (L.) Savi and its Main Essential Oil Constituent Pulegone: Biological Activities and Chemistry. Molecules 2017, 22, 290. [Google Scholar] [CrossRef] [PubMed]
- Rodrigues Simões, R.; Dos Santos Coelho, I.; Célio Junqueira, S.; Regina Pigatto, G.; José Salvador, M.; Santos, A.R.; de Faria, F.M. Oral treatment with essential oil of Hyptis spicigera Lam. (Lamiaceae) reduces acute pain and inflammation in mice: Potential interactions with transient receptor potential (TRP) ion channels. J. Ethnopharmacol. 2017, 200, 8–15. [Google Scholar] [CrossRef] [PubMed]
- Kumar, A.S.; Jeyaprakash, K.; Chellappan, D.R.; Murugan, R. Vasorelaxant and cardiovascular properties of the essential oil of Pogostemon elsholtzioides. J. Ethnopharmacol. 2017, 199, 86–90. [Google Scholar] [CrossRef] [PubMed]
- Branquinho, L.S.; Santos, J.A.; Cardoso, C.A.; Mota, J.D.; Junior, U.L.; Kassuya, C.A.; Arena, A.C. Anti-inflammatory and toxicological evaluation of essential oil from Piper glabratum leaves. J. Ethnopharmacol. 2017, 198, 372–378. [Google Scholar] [CrossRef] [PubMed]
- Rezaie, M.; Farhoosh, R.; Sharif, A.; Asili, J.; Iranshahi, M. Chemical composition, antioxidant and antibacterial properties of Bene (Pistacia atlantica subsp. mutica) hull essential oil. J. Food Sci. Technol. 2015, 52, 6784–6790. [Google Scholar] [CrossRef] [PubMed]
- Martorana, M.; Arcoraci, T.; Rizza, L.; Cristani, M.; Bonina, F.P.; Saija, A.; Trombetta, D.; Tomaino, A. In vitro antioxidant and in vivo photoprotective effect of pistachio (Pistacia vera L., variety Bronte) seed and skin extracts. Fitoterapia 2013, 85, 41–48. [Google Scholar] [CrossRef] [PubMed]
- Tomaino, A.; Martorana, M.; Arcoraci, T.; Monteleone, D.; Giovinazzo, C.; Saija, A. Antioxidant activity and phenolic profile of pistachio (Pistacia vera L., variety Bronte) seeds and skins. Biochimie 2010, 92, 1115–1122. [Google Scholar] [CrossRef] [PubMed]
- Barreca, D.; Laganà, G.; Leuzzi, U.; Smeriglio, A.; Trombetta, D.; Bellocco, E. Evaluation of the nutraceutical, antioxidant and cytoprotective properties of ripe pistachio (Pistachia vera L. variety Bronte) hulls. Food Chem. 2016, 196, 493–502. [Google Scholar] [CrossRef] [PubMed]
- Bellocco, E.; Barreca, D.; Laganà, G.; Calderaro, A.; El Lekhlifi, Z.; Chebaibi, S.; Smeriglio, A.; Trombetta, D. Cyanidin-3-O-galactoside in ripe pistachio (Pistachia vera L. variety Bronte) hulls: Identification and evaluation of its antioxidant and cytoprotective activities. J. Funct. Foods 2016, 27, 376–385. [Google Scholar] [CrossRef]
- Kasabri, V.; Afifi, F.U.; Hamdan, I. In vitro and in vivo acute antihyperglycemic effects of five selected indigenous plants from Jordan used in traditional medicine. J. Ethnopharmacol. 2011, 133, 888–896. [Google Scholar] [CrossRef] [PubMed]
- Mehla, K.; Balwani, S.; Kulshreshtha, A.; Nandi, D.; Jaisankar, P.; Ghosh, B. Ethyl gallate isolated from Pistacia integerrima Linn. inhibits cell adhesion molecules by blocking AP-1 transcription factor. J. Ethnopharmacol. 2011, 137, 1345–1352. [Google Scholar] [CrossRef] [PubMed]
- Shirole, R.L.; Shirole, N.L.; Kshatriya, A.A.; Kulkarni, R.; Saraf, M.N. Investigation into the mechanism of action of essential oil of Pistacia integerrima for its antiasthmatic activity. J. Ethnopharmacol. 2014, 153, 541–551. [Google Scholar] [CrossRef] [PubMed]
- Shirole, R.L.; Shirole, N.L.; Saraf, M.N. In vitro relaxant and spasmolytic effects of essential oil of Pistacia integerrima Stewart ex Brandis Galls. J. Ethnopharmacol. 2015, 168, 61–65. [Google Scholar] [CrossRef] [PubMed]
- Ebadi, M.T.; Sefidkon, F.; Azizi, M.; Ahmadi, N. Packaging methods and storage duration affect essential oil content and composition of lemon verbena (Lippia citriodora Kunth.). Food Sci. Nutr. 2017, 5, 588–595. [Google Scholar] [CrossRef] [PubMed]
- Dawidowicz, A.L.; Olszowy, M. Does antioxidant properties of the main component of essential oil reflect its antioxidant properties? The comparison of antioxidant properties of essential oils and their main components. Nat. Prod. Res. 2014, 28, 1952–1963. [Google Scholar] [CrossRef] [PubMed]
- González-Burgos, E.; Gómez-Serranillos, M.P. Terpene compounds in nature: A review of their potential antioxidant activity. Curr. Med. Chem. 2012, 19, 5319–5341. [Google Scholar] [CrossRef] [PubMed]
- Bisignano, C.; Filocamo, A.; Faulks, R.M.; Mandalari, G. In vitro antimicrobial activity of pistachio (Pistacia vera L.) polyphenols. FEMS Microbiol. Lett. 2013, 341, 62–67. [Google Scholar] [CrossRef] [PubMed]
- Mandalari, G.; Bennett, R.N.; Bisignano, G.; Trombetta, D.; Saija, A.; Faulds, C.B.; Gasson, M.J.; Narbad, A. Antimicrobial activity of flavonoids extracted from bergamot (Citrus bergamia Risso) peel, a byproduct of the essential oil industry. J. Appl. Microbiol. 2007, 103, 2056–2064. [Google Scholar] [CrossRef] [PubMed]
- Mandalari, G.; Bisignano, C.; D’Arrigo, M.; Ginestra, G.; Arena, A.; Tomaino, A.; Wickham, M.S. Antimicrobial potential of polyphenols extracted from almond skins. Lett. Appl. Microbiol. 2010, 51, 83–90. [Google Scholar] [CrossRef] [PubMed]
- Mahboubi, M.; Kazempour, N. Biochemical Activities of Iranian Cymbopogon olivieri (Boiss) Bor. Essential Oil. Indian J. Pharm. Sci. 2012, 74, 356–360. [Google Scholar] [CrossRef] [PubMed]
- Znati, M.; Filali, I.; Jabrane, A.; Casanova, J.; Bouajila, J.; Ben Jannet, H. Chemical Composition and In Vitro Evaluation of Antimicrobial, Antioxidant and Antigerminative Properties of the Seed Oil from the Tunisian Endemic Ferula tunetana Pomel ex Batt. Chem. Biodivers. 2017, 14. [Google Scholar] [CrossRef] [PubMed]
- Smeriglio, A.; Galati, E.M.; Monforte, M.T.; Lanuzza, F.; D’Angelo, V.; Circosta, C. Polyphenolic Compounds and Antioxidant Activity of Cold-Pressed Seed Oil from Finola Cultivar of Cannabis sativa L. Phytother. Res. 2016, 30, 1298–1307. [Google Scholar]
- Tellone, E.; Ficarra, S.; Russo, A.; Bellocco, E.; Barreca, D.; Laganà, G.; Leuzzi, U.; Pirolli, D.; De Rosa, M.C.; Giardina, B.; et al. Caffeine inhibits erythrocyte membrane derangement by antioxidant activity and by blocking caspase 3 activation. Biochimie 2012, 94, 393–402. [Google Scholar] [CrossRef] [PubMed]
- Repnik, U.; Knezevic, M.; Jeras, M. Simple and costeffective isolation of monocytes from buffy coats. J. Immunol. Methods 2003, 278, 283–292. [Google Scholar] [CrossRef]




| # | KI a | Compound | Area b (%) |
|---|---|---|---|
| 1 | 916 | Bornylene | 0.035 |
| 2 | 923 | Tricyclene | 0.709 |
| 3 | 935 | α-Pinene | 23.584 |
| 4 | 950 | Camphene | 4.133 |
| 5 | 978 | β-Pinene | 1.062 |
| 6 | 993 | β-Myrcene | 2.393 |
| 7 | 995 | 2-Carene | 1.152 |
| 8 | 1006 | α-Phellandrene | 0.456 |
| 9 | 1011 | δ-3-Carene | 7.731 |
| 10 | 1018 | α-Terpinene | 2.195 |
| 11 | 1027 | p-Cymene | 1.621 |
| 12 | 1031 | d-Limonene | 8.002 |
| 13 | 1050 | trans-β-Ocimene | 0.509 |
| 14 | 1056 | cis-β-Ocimene | 0.412 |
| 15 | 1061 | γ-Terpinene | 0.582 |
| 16 | 1082 | 4-Carene | 31.743 |
| 17 | 1096 | α-Pinene oxide | 0.787 |
| 18 | 1101 | Linalol | 0.278 |
| 19 | 1107 | 2-Fenchanol | 0.385 |
| 20 | 1130 | 1,3,8-p-Menthatriene | 0.225 |
| 21 | 1148 | Camphor | 0.236 |
| 22 | 1150 | Menthone | 0.031 |
| 23 | 1169 | Borneol | 0.831 |
| 24 | 1188 | p-Cymen-8-ol | 0.692 |
| 25 | 1194 | α-Terpineol | 4.036 |
| 26 | 1197 | Myrtenal | 0.011 |
| 27 | 1202 | Myrtenol | 0.082 |
| 28 | 1210 | α-Methylcynnamaldehyde | 0.016 |
| 29 | 1250 | Piperitone | 0.687 |
| 30 | 1232 | Nerol | 0.272 |
| 31 | 1285 | Bornyl acetate | 2.430 |
| 32 | 1365 | Nerol acetate | 0.136 |
| 33 | 1513 | β-Bisabolene | 0.010 |
| 34 | 1525 | γ-Selinene | 0.005 |
| 35 | 1530 | δ-Cadinene | 0.028 |
| 36 | 1568 | cis-5-Dodecenoic acid | 0.225 |
| 37 | 1810 | 1,13-Tetradecadiene | 1.528 |
| 38 | 1880 | 1-Hexadecanol | 0.160 |
| 39 | 1957 | Palmitic acid | 0.015 |
| 40 | 2549 | 1,15-Hexadecadiene | 0.430 |
| 41 | 2106 | Unknown | 0.013 |
| 42 | 2111 | Unknown | 0.129 |
| Monoterpene Hydrocarbons | 86.591 | ||
| Oxygenated Monoterpenes | 8.235 | ||
| Sesquiterpenes | 0.056 | ||
| Others | 5.115 | ||
| Bacterial Strain | MIC | MBC |
|---|---|---|
| S. aureus ATCC 6538 | 7.11 | 7.11 |
| E. coli ATCC 10,536 | 7.11 | 7.11 |
| P. aeruginosa ATCC 9027 | na | na |
| S. aureus ATCC 43,300 (MRSA) | 7.11 | 7.11 |
| S. aureus 74CCH | 7.11 | 7.11 |
| S. aureus 7786 | 7.11 | 7.11 |
| S. aureus 815 | 7.11 | 7.11 |
© 2017 by the authors. Licensee MDPI, Basel, Switzerland. This article is an open access article distributed under the terms and conditions of the Creative Commons Attribution (CC BY) license (http://creativecommons.org/licenses/by/4.0/).
Share and Cite
Smeriglio, A.; Denaro, M.; Barreca, D.; Calderaro, A.; Bisignano, C.; Ginestra, G.; Bellocco, E.; Trombetta, D. In Vitro Evaluation of the Antioxidant, Cytoprotective, and Antimicrobial Properties of Essential Oil from Pistacia vera L. Variety Bronte Hull. Int. J. Mol. Sci. 2017, 18, 1212. https://doi.org/10.3390/ijms18061212
Smeriglio A, Denaro M, Barreca D, Calderaro A, Bisignano C, Ginestra G, Bellocco E, Trombetta D. In Vitro Evaluation of the Antioxidant, Cytoprotective, and Antimicrobial Properties of Essential Oil from Pistacia vera L. Variety Bronte Hull. International Journal of Molecular Sciences. 2017; 18(6):1212. https://doi.org/10.3390/ijms18061212
Chicago/Turabian StyleSmeriglio, Antonella, Marcella Denaro, Davide Barreca, Antonella Calderaro, Carlo Bisignano, Giovanna Ginestra, Ersilia Bellocco, and Domenico Trombetta. 2017. "In Vitro Evaluation of the Antioxidant, Cytoprotective, and Antimicrobial Properties of Essential Oil from Pistacia vera L. Variety Bronte Hull" International Journal of Molecular Sciences 18, no. 6: 1212. https://doi.org/10.3390/ijms18061212
APA StyleSmeriglio, A., Denaro, M., Barreca, D., Calderaro, A., Bisignano, C., Ginestra, G., Bellocco, E., & Trombetta, D. (2017). In Vitro Evaluation of the Antioxidant, Cytoprotective, and Antimicrobial Properties of Essential Oil from Pistacia vera L. Variety Bronte Hull. International Journal of Molecular Sciences, 18(6), 1212. https://doi.org/10.3390/ijms18061212

