RNA-Seq Analyses for Two Silkworm Strains Reveals Insight into Their Susceptibility and Resistance to Beauveria bassiana Infection
Abstract
:1. Introduction
2. Results
2.1. K8 and HY Survival Curve Analysis
2.2. Gene Expression in K8 and HY Strains
2.3. Analysis of DEGs in HY and K8 Strains
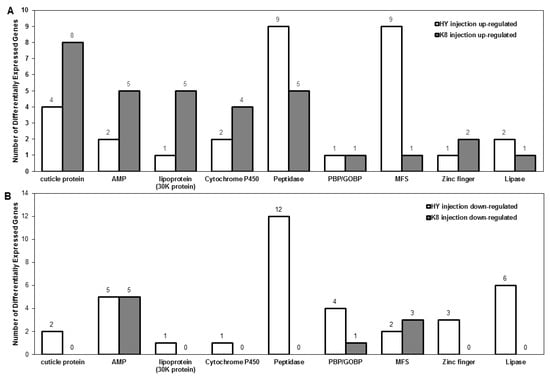
2.4. Functional Classifications and Comparison of DEGs in K8 and HY Strains
2.5. Comparison of DEGs between HY and K8 Strains
3. Discussion
4. Materials and Methods
4.1. Silkworm Strains and Fungal Strain
4.2. Survival Curves Assay of K8 and HY Strains
4.3. Preparation of Silkworm Samples for Sequencing
4.4. RNA Extraction, Illumina Sequencing, and Data Processing
4.5. Annotation and Analysis of Sequence Data
4.6. qPCR Analysis
5. Conclusions
Supplementary Materials
Acknowledgments
Author Contributions
Conflicts of Interest
References
- Jiang, L.; Xia, Q. The progress and future of enhancing antiviral capacity by transgenic technology in the silkworm Bombyx mori. Insect Biochem. Mol. Biol. 2014, 48, 1–7. [Google Scholar] [CrossRef] [PubMed]
- Li, M.; Shen, L.; Xu, A.; Miao, X.; Hou, C.; Sun, P.; Zhang, Y.; Huang, Y. Genetic diversity among silkworm (Bombyx mori L., Lep., Bombycidae) germplasms revealed by microsatellites. Genome 2005, 48, 802–810. [Google Scholar] [CrossRef] [PubMed]
- Goldsmith, M.R.; Shimada, T.; Abe, H. The genetics and genomics of the silkworm, Bombyx mori. Annu. Rev. Entomol. 2005, 50, 71–100. [Google Scholar] [CrossRef] [PubMed]
- Tanaka, H.; Sagisaka, A.; Fujita, K.; Kaneko, Y.; Imanishi, S.; Yamakawa, M. Lipopolysaccharide elicits expression of immune-related genes in the silkworm, Bombyx mori. Insect Mol. Biol. 2009, 18, 71–75. [Google Scholar] [CrossRef] [PubMed]
- Wan, Y.; Pan, M. Etiology and Pathology of the Silkworm. In Biology of Sericulture, 1st ed.; Xiang, Z., Ed.; China Forestry Publishing Press: Beijing, China, 2005; Volume 11, pp. 265–266. [Google Scholar]
- Kumer, V.; Singh, G.P.; Badu, A.; Datta, R.K. Germination, penetration, and invasion of Beauveria bassiana on silkworm, Bombyx mori, causing white muscardine. Ital. J. Zool. 1999, 66, 39–43. [Google Scholar] [CrossRef]
- Lavine, M.; Strand, M. Insect hemocytes and their role in immunity. Insect Biochem. Mol. Biol. 2002, 32, 1295–1309. [Google Scholar] [CrossRef]
- Farenhorst, M.; Mouatcho, J.C.; Kikankie, C.K.; Brooke, B.D.; Hunt, R.H.; Thomas, M.B.; Koekemoer, L.L.; Knols, G.J.; Coetzee, M. Fungal infection counters insecticide resistance in African malaria mosquitoes. Proc. Natl. Acad. Sci. USA 2009, 106, 17443–17447. [Google Scholar] [CrossRef] [PubMed]
- Hou, C.; Qin, G.; Liu, T.; Mei, X.; Li, B.; Shen, Z.; Guo, X. Differential gene expression in silkworm in response to Beauveria bassiana infection. J. Insect Sci. 2013, 484, 35–41. [Google Scholar]
- Hou, C.; Qin, G.; Liu, T.; Geng, T.; Gao, K.; Pan, Z.; Qian, H.; Guo, X. Transcriptome analysis of silkworm, Bombyx mori, during early response to Beauveria bassiana challenges. PLoS ONE 2014, 9, e91189. [Google Scholar] [CrossRef] [PubMed]
- Guo, T.; Wang, S.; Guo, X.; Lu, C. Productive infection of Autographa californica nucleopolyhedrovirus in silkworm Bombyx mori strain Haoyue due to the absence of a host antiviral factor. Virology 2005, 341, 231–237. [Google Scholar] [CrossRef] [PubMed]
- Marioni, J.C.; Mason, C.E.; Mane, S.M.; Stephens, M.; Gilad, Y. RNA-seq: An assessment of technical reproducibility and comparison with gene expression arrays. Genome Res. 2008, 18, 1509–1517. [Google Scholar] [CrossRef] [PubMed]
- Wang, Z.; Gerstein, M.; Snyder, M. RNA-Seq: A revolutionary tool for transcriptomics. Nat. Rev. Genet. 2009, 10, 57–63. [Google Scholar] [CrossRef] [PubMed]
- Chen, J.; Xie, C.; Tian, L.; Hong, L.; Wu, X.; Han, J. Participation of the p38 pathway in Drosophila host defense against pathogenic bacteria and fungi. Proc. Natl. Acad. Sci. USA 2010, 107, 20774–20779. [Google Scholar] [CrossRef] [PubMed]
- Irving, P.; Troxler, L.; Heuer, T.S.; Belvin, M.; Kopczynski, C.; Reichhart, J.M.; Hoffmann, J.A.; Hetru, C. A genomewide analysis of immune responses in Drosophila. Proc. Natl. Acad. Sci. USA 2001, 98, 15119–15124. [Google Scholar] [CrossRef] [PubMed]
- Xia, Q.; Zhou, Z.; Lu, C.; Cheng, D.; Dai, F.; Li, B.; Zhao, P.; Zha, X.; Cheng, T.; Pan, G.; et al. A draft sequence for the genome of the domesticated silkworm (Bombyx mori). Science 2004, 306, 137–1940. [Google Scholar]
- Reid, W.R.; Zhang, L.; Liu, F.; Liu, N. The transcriptome profile of the mosquito Culex quinquefasciatus following permethrin selection. PLoS ONE 2012, 7, e47163. [Google Scholar] [CrossRef] [PubMed]
- Awolola, T.S.; Oduola, O.A.; Strode, C.; Ranson, H. Evidence of multiple pyrethroid resistance mechanisms in the malaria vector Anopheles gambiae sensu stricto from Nigeria. Trans. R. Trop. Med. Hyg. 2008, 103, 1139–1145. [Google Scholar] [CrossRef] [PubMed]
- Wood, O.R.; Hanrahan, S.; Coetzee, M.; Koekemoer, L.L.; Brooke, B.D. Cuticle thickening associated with pyrethroid resistance in the major malaria vector Anopheles funestus. Parasit Vectors 2010, 3, 67. [Google Scholar] [CrossRef] [PubMed]
- He, N.; Botelho, J.M.; McNall, R.J.; Belozerov, V.; Dunn, W.A.; Mize, T.; Orlando, R.; Willis, J.H. Proteomic analysis of cast cuticles from Anopheles gambiae by tandem mass spectrometry. Insect Biochem. Mol. Biol. 2007, 37, 135–146. [Google Scholar] [CrossRef] [PubMed]
- Kanost, M.R. Serine proteinase inhibitors in arthropod immunity. Dev. Comp. Immunol. 1999, 23, 291–301. [Google Scholar] [CrossRef]
- Cerenius, L.; Kawabata, S.; Lee, B.L.; Nonaka, M.; Soderhall, K. Proteolytic cascades and their involvement in invertebrate immunity. Trends Biochem. Sci. 2010, 35, 575–583. [Google Scholar] [CrossRef] [PubMed]
- Fullaondo, A.; Garcia-Sanchez, S.; Sanz-Parra, A.; Recio, E.; Lee, S.Y.; Gubb, D. Spn1 regulates the GNBP3-dependent Toll signaling pathway in Drosophila melanogaster. Mol. Cell Biol. 2011, 31, 2960–2972. [Google Scholar] [CrossRef] [PubMed]
- Travis, J.; Potempa, J.; Maeda, H. Are bacterial proteinases pathogenic factors? Trends Microbiol. 1995, 3, 405–407. [Google Scholar] [CrossRef]
- Augustin, R.; Siebert, S.; Bosch, T.C. Identification of a kazal-type serine protease inhibitor with potent anti-staphylococcal activity as part of Hydra’s innate immune system. Dev. Comp. Immunol. 2009, 33, 830–837. [Google Scholar] [CrossRef] [PubMed]
- Dong, Z.M.; Zhao, P.; Wang, C.; Zhang, Y.; Chen, J.P.; Wang, X.; Lin, Y.; Xia, Q.Y. Comparative proteomics reveal diverse functions and dynamic changes of Bombyx mori silk proteins spun from different development stages. J. Proteome Res. 2013, 12, 5213–5222. [Google Scholar] [CrossRef] [PubMed]
- Zhao, P.; Dong, Z.; Duan, J.; Wang, G.; Wang, L.; Li, Y.; Xiang, Z.; Xia, Q. Genome-wide identification and immune response analysis of serine protease inhibitor genes in the silkworm, Bombyx mori. PLoS ONE 2012, 7, e31168. [Google Scholar] [CrossRef] [PubMed]
- Li, Y.S.; Zhao, P.; Liu, S.P.; Dong, Z.M.; Chen, J.P.; Xiang, Z.H.; Xia, Q.Y. A novel protease inhibitor in Bombyx mori is involved in defense against Beauveria bassiana. Insect Biochem. Mol. Biol. 2012, 42, 766–775. [Google Scholar] [CrossRef] [PubMed]
- Li, Y.S.; Zhao, P.; Liu, H.W.; Guo, X.M.; He, H.W.; Zhu, R.; Xiang, Z.H.; Xia, Q.Y. TIL-type protease inhibitors may be used as targeted resistance factors to enhance silkworm defenses against invasive fungi. Insect Biochem. Mol. Biol. 2015, 57, 11–19. [Google Scholar] [CrossRef] [PubMed]
- Miyoshi, N.; Saito, T.; Ohmura, T.; Isogai, E. Functional structure and antimicrobial activity of persulcatusin, an antimicrobial peptide from the hard tick Ixodes persulcatus. Parasit. Vector 2016, 9, 85. [Google Scholar] [CrossRef] [PubMed]
- Lu, D.; Geng, T.; Hou, C.; Huang, Y.; Qin, G.; Guo, X. Bombyx mori cecropin A has a high antifungal activity to entomopathogenic fungus Beauveria bassiana. Gene 2016, 583, 29–35. [Google Scholar] [CrossRef] [PubMed]
- Xia, L.; Liu, Z.; Ma, J.; Sun, S.; Yang, J.; Zhang, F. Expression, purification and characterization of cecropin antibacterial peptide from Bombyx mori in Saccharomyces cerevisiae. Protein Expr. Purif. 2013, 90, 47–54. [Google Scholar] [CrossRef] [PubMed]
- Huang, Y.; Geng, T.; Hou, C.; Lv, D.; Qin, G.; Gao, K.; Guo, X. Expression patterns of antimicrobial peptide gene enbocin1 in Bombyx mori induced by Beauveria bassiana and its antifungal activity. J. Sci. Seric. 2016, 42, 619–626. [Google Scholar]
- Ujita, M.; Kimura, A.; Nishino, D.; Hara, A. Specific binding of silkworm Bombyx mori 30-kDa lipoproteins to carbohydrates containing glucose. Biosci. Biotechnol. Biochem. 2002, 66, 2264–2266. [Google Scholar] [CrossRef] [PubMed]
- Ujita, M.; Katsuno, Y.; Kawachi, I.; Ueno, Y.; Banno, Y. Glucan-binding activity of silkworm 30-kDa apolipoprotein and its involvement in defense against fungal infection. Biosci. Biotechnol. Biochem. 2002, 69, 1178–1185. [Google Scholar] [CrossRef] [PubMed]
- Fluman, N.; Bibi, E. Bacterial multidrug transport through the lens of the major facilitator superfamily. Biochim. Biophys. Acta 2009, 1794, 738–747. [Google Scholar] [CrossRef] [PubMed]
- Heng, J.; Zhao, Y.; Liu, M.; Liu, Y.; Fan, J.; Wang, X.; Zhao, Y.; Zhang, X. Substrate-bound structure of the E. coli multidrug resistance transporter MdfA. Cell Res. 2015, 25, 1060–1073. [Google Scholar] [CrossRef] [PubMed]
- Calabrese, D.; Bille, J.; Sanglard, D. A novel multidrug efflux transporter gene of the major facilitator superfamily from Candida albicans (FLU1) conferring resistance to fluconazole. Microbiology 2000, 146, 2743–2754. [Google Scholar] [CrossRef] [PubMed]
- Noland, J.; Breitenbach, J.E.; Popham, H.J.; Hum-Musser, S.M.; Vogel, H.; Musser, R.O. Gut transcription in Helicoverpa zea is dynamically altered in response to Baculovirus infection. Insects 2013, 4, 506–520. [Google Scholar] [CrossRef] [PubMed]
- Scharf, M.E.; Parimi, S.; Meinke, L.J.; Siegfried, B.D. Expression and induction of three family 4 cytochrome P450 (CYP4) genes identified from insecticide-resistant and susceptible western corn rootworms, Diabrotica virgifera virgifera. Insect Mol. Biol. 2001, 10, 139–146. [Google Scholar] [CrossRef] [PubMed]
- Yang, Y.; Yue, L.; Chen, S.; Wu, Y. Functional expression of Helicoverpa armigera CYP9A12 and CYP9A14 in Saccharomyces cerevisiae. Pestic. Biochem. Physiol. 2008, 92, 101–105. [Google Scholar] [CrossRef]
- Yang, X.; Xie, W.; Wang, S.; Wu, Q.; Pan, H.; Li, R.; Yang, N.; Liu, B.; Xu, B.; Zhou, X.; Zhang, Y. Two cytochrome P450 genes are involved in imidacloprid resistance in field populations of the whitefly, Bemisia tabaci, in China. Pestic. Biochem. Physiol. 2013, 107, 343–350. [Google Scholar] [CrossRef] [PubMed]
- Serebrov, V.; Gerber, O.; Malyarchuk, A.; Martemyanov, V.; Alekseev, A.; Glupov, V.V. Effect of entomopathogenic fungi on detoxification enzyme activity in greater wax moth Galleria mellonella L. (Lepidoptera, Pyralidae) and role of detoxification enzymes in development of insect resistance to entomopathogenic fungi. Biol. Bull. 2006, 33, 581–586. [Google Scholar] [CrossRef]
- Loo, Y.M.; Gale, M., Jr. Immune signaling by RIG-I-like receptors. Immunity 2011, 34, 680–692. [Google Scholar] [CrossRef] [PubMed]
- Sugiura, N.; Ikeda, M.; Shioiri, T.; Yoshimura, M.; Kobayashi, M.; Watanabe, H. Chondroitinase from baculovirus Bombyx mori nucleopolyhedrovirus and chondroitin sulfate from silkworm Bombyx mori. Glycobiology 2013, 23, 1520–1530. [Google Scholar] [CrossRef] [PubMed]
- Nakhaei, P.; Genin, P.; Civas, A.; Hiscott, J. RIG-I-like receptors: Sensing and responding to RNA virus infection. Semin. Immunol. 2009, 21, 215–222. [Google Scholar] [CrossRef] [PubMed]
- Cheng, T.; Fu, B.; Wu, Y.; Long, R.; Liu, C.; Xia, Q. Transcriptome sequencing and positive selected genes analysis of Bombyx mandarina. PLoS ONE 2015, 10, e0122837. [Google Scholar] [CrossRef] [PubMed]
- Liu, Y.; Shen, D.; Zhou, F.; Wang, G.; An, C. Identification of immunity-related genes in Ostrinia furnacalis against entomopathogenic fungi by RNA-Seq. PLoS ONE 2014, 9, e86436. [Google Scholar]
- Li, R.; Yu, C.; Li, Y.; Lam, T.W.; Yiu, S.M.; Kristiansen, K.; Wang, J. SOAP2: An improved ultrafast tool for short read alignment. Bioinformatics 2009, 25, 1966–1967. [Google Scholar] [CrossRef] [PubMed]
- Mortazavi, A.; Williams, B.A.; McCue, K.; Schaeffer, L.; Wold, B. Mapping and quantifying mammalian transcriptomes by RNA-Seq. Nat. Methods 2008, 5, 621–628. [Google Scholar] [CrossRef] [PubMed]
- Wang, L.; Feng, Z.; Wang, X.; Wang, X.; Zhang, X.; Wang, X. DEGseq: An R package for identifying differentially expressed genes from RNA-seq data. Bioinformatics 2010, 26, 136–138. [Google Scholar] [CrossRef] [PubMed]
- Li, Q.; Xiao, Y.; Wu, F.; Ye, M.; Luo, G.; Xing, D.; Li, L.; Yang, Q. Analysis of midgut gene expression profiles from different silkworm varieties after exposure to high temperature. Gene 2014, 549, 85–96. [Google Scholar] [CrossRef] [PubMed]
- Franzetti, E.; Huang, Z.; Shi, Y.; Xie, K.; Deng, X.; Li, J.; Li, Q.; Yang, W.; Zeng, W.; Casartelli, M.; et al. Autophagy precedes apoptosis during the remodeling of silkworm larval midgut. Apoptosis 2012, 17, 305–324. [Google Scholar] [CrossRef] [PubMed]






| Sample | Raw Reads | Clean Reads | Clean Base | Total Mapped | Total Mapped Ratio | Unique Match |
|---|---|---|---|---|---|---|
| HY-control-1 | 14,538,847 | 14,283,926 | 714,196,300 | 12,821,136 | 89.76% | 48.20% |
| HY-control-2 | 13,093,162 | 12,957,649 | 647,882,450 | 11,439,009 | 88.28% | 53.63% |
| HY-control-3 | 14,750,894 | 14,604,137 | 730,206,850 | 12,986,072 | 88.92% | 62.05% |
| HY-immersion-1 | 18,735,786 | 18,318,940 | 915,947,000 | 16,445,941 | 89.78% | 52.31% |
| HY-immersion-2 | 14,899,363 | 14,591,964 | 729,598,200 | 13,070,880 | 89.58% | 51.16% |
| HY-immersion-3 | 12,500,104 | 12,366,585 | 618,329,250 | 11,040,402 | 89.28% | 54.10% |
| HY-injection-1 | 15,171,911 | 14,914,968 | 745,748,400 | 13,195,864 | 88.47% | 74.54% |
| HY-injection-2 | 15,078,479 | 14,804,938 | 740,246,900 | 12,837,562 | 86.71% | 72.23% |
| K8-control-1 | 17,655,181 | 17,298,316 | 864,915,800 | 15,429,685 | 89.20% | 45.02% |
| K8-control-2 | 12,458,912 | 12,334,197 | 616,709,850 | 10,425,374 | 84.52% | 57.16% |
| K8-control-3 | 13,424,038 | 13,277,104 | 663,855,200 | 11,612,998 | 87.47% | 53.37% |
| K8-immersion-1 | 15,981,466 | 15,699,938 | 784,996,900 | 14,060,649 | 89.56% | 40.49% |
| K8-immersion-2 | 17,412,127 | 17,068,312 | 853,415,600 | 15,368,966 | 90.04% | 50.74% |
| K8-immersion-3 | 12,750,866 | 12,610,756 | 630,537,800 | 11,102,951 | 88.04% | 47.15% |
| K8-injection-1 | 14,183,649 | 13,929,356 | 696,467,800 | 12,446,506 | 89.35% | 74.64% |
| K8-injection-2 | 14,573,110 | 14,328,895 | 716,444,750 | 12,705,750 | 88.67% | 74.15% |
| Average | 14,825,493 | 14,586,874 | 729,343,691 | 12,936,859 | 88.60% | 56.93% |
| Pathway ID | Description | p Value | |||
|---|---|---|---|---|---|
| Immersion | Injection | ||||
| K8 | HY | K8 | HY | ||
| ko00232 | Caffeine metabolism | 0.0045 | |||
| ko04974 | Protein digestion and absorption | 0.0266 | |||
| ko00020 | Tricarboxylic acid (TCA) cycle | 0.0304 | 0.0340 | ||
| ko04972 | Pancreatic secretion | 0.0353 | 0.0410 | ||
| ko00720 | Carbon fixation pathways in prokaryotes | 0.0494 | |||
| ko00052 | Galactose metabolism | 0.0011 | |||
| ko04512 | ECM-receptor interaction | 0.0158 | 0.0214 | ||
| ko00561 | Glycerolipid metabolism | 0.0221 | 0.0087 | ||
| ko04145 | Phagosome | 0.0404 | 0.0006 | 3.9 × 10−5 | |
| ko04142 | Lysosome | 0.0452 | 0.0001 | ||
| ko00603 | Glycosphingolipid biosynthesis—globo series | 0.0469 | |||
| ko00531 | Glycosaminoglycan degradation | 0.0469 | |||
| ko00604 | Glycosphingolipid biosynthesis—ganglio series | 0.0469 | |||
| ko04711 | Circadian rhythm—fly | 0.0004 | 0.0294 | ||
| ko05130 | Pathogenic Escherichia coli infection | 0.0007 | 0.0119 | ||
| ko00511 | Other glycan degradation | 0.0024 | 0.0023 | ||
| ko05215 | Prostate cancer | 0.0041 | 0.0381 | ||
| ko04919 | Thyroid hormone signaling pathway | 0.0062 | 0.0496 | ||
| ko04390 | Hippo signaling pathway | 0.0088 | |||
| ko04975 | Fat digestion and absorption | 0.0105 | |||
| ko05166 | Human T-cell lymphotropic virus I (HTLV-I) infection | 0.0105 | 0.0486 | ||
| ko04612 | Antigen processing and presentation | 0.0115 | 0.0109 | ||
| ko05200 | Pathways in cancer | 0.0118 | |||
| ko05217 | Basal cell carcinoma | 0.0126 | |||
| ko00010 | Glycolysis/Gluconeogenesis | 0.0130 | |||
| ko05164 | Influenza A | 0.0138 | 0.0128 | ||
| ko04151 | PI3K-Akt signaling pathway | 0.0155 | 0.0141 | ||
| ko04391 | Hippo signaling pathway—fly | 0.0179 | |||
| ko04621 | Nucleotide-binding oligomerization domain (NOD)-like receptor signaling pathway | 0.0179 | |||
| ko00591 | Linoleic acid metabolism | 0.0186 | |||
| ko00565 | Ether lipid metabolism | 0.0192 | |||
| ko04141 | Protein processing in endoplasmic reticulum | 0.0199 | 0.0025 | ||
| ko04510 | Focal adhesion | 0.0206 | |||
| ko04662 | B cell receptor signaling pathway | 0.0226 | 0.0214 | ||
| ko03320 | Peroxisome proliferator-activated receptor (PPAR) signaling pathway | 0.0255 | 0.0242 | ||
| ko05131 | Shigellosis | 0.0270 | |||
| ko00592 | α-Linolenic acid metabolism | 0.0270 | |||
| ko00600 | Sphingolipid metabolism | 0.0278 | |||
| ko05169 | Epstein-Barr virus infection | 0.0280 | 0.0260 | ||
| ko05205 | Proteoglycans in cancer | 0.0284 | |||
| ko05222 | Small cell lung cancer | 0.0301 | 0.0285 | ||
| ko04014 | Ras signaling pathway | 0.0306 | |||
| ko04540 | Gap junction | 0.0309 | 0.0293 | ||
| ko05134 | Legionellosis | 0.0309 | |||
| ko04146 | Peroxisome | 0.0325 | |||
| ko04916 | Melanogenesis | 0.0333 | |||
| ko04144 | Endocytosis | 0.0352 | |||
| ko01040 | Biosynthesis of unsaturated fatty acids | 0.0419 | |||
| ko05160 | Hepatitis C | 0.0456 | 0.0433 | ||
| ko04660 | T cell receptor signaling pathway | 0.0465 | 0.0441 | ||
| ko04910 | Insulin signaling pathway | 0.0484 | 0.0459 | ||
| ko04931 | Insulin resistance | 0.0055 | |||
| ko05145 | Toxoplasmosis | 0.0062 | |||
| ko05162 | Measles | 0.0094 | |||
| ko00310 | Lysine degradation | 0.0118 | |||
| ko04623 | Cytosolic DNA-sensing pathway | 0.0170 | |||
| ko00380 | Tryptophan metabolism | 0.0181 | |||
| ko05110 | Vibrio cholerae infection | 0.0201 | |||
| ko04920 | Adipocytokine signaling pathway | 0.0221 | |||
| ko05323 | Rheumatoid arthritis | 0.0285 | |||
| KEGG Term | p-Value | Corrected p-Value |
|---|---|---|
| ko04622:RIG-I-like receptor signaling pathway | 0.0005 | 0.0459 |
| ko00983:Drug metabolism—other enzymes | 0.0012 | 0.0459 |
| ko00830:Retinol metabolism | 0.0012 | 0.0459 |
| Name | Length | KO Name | KO ID | Description |
|---|---|---|---|---|
| BGIBMGA004606 | 507 | - | - | Heat shock protein hsp20.4 [Bombyx mori] |
| BGIBMGA004882 | 759 | - | - | bmp-2 [Bombyx mori] |
| BGIBMGA013238 | 1347 | - | - | P450 6B5-like|cytochrome P450 CYP6AE7 [Bombyx mori] |
| BGIBMGA003907 | 402 | CYP3A | K07424 | Cytochrome P450 |
| BGIBMGA003908 | 1044 | CYP9 | K15003 | P450 9e2-like|E-class P450, group II; Cytochrome P450 |
| BGIBMGA010047 | 810 | - | - | Quinoprotein amine dehydrogenase, β chain-like |
© 2017 by the authors. Licensee MDPI, Basel, Switzerland. This article is an open access article distributed under the terms and conditions of the Creative Commons Attribution (CC BY) license ( http://creativecommons.org/licenses/by/4.0/).
Share and Cite
Xing, D.; Yang, Q.; Jiang, L.; Li, Q.; Xiao, Y.; Ye, M.; Xia, Q. RNA-Seq Analyses for Two Silkworm Strains Reveals Insight into Their Susceptibility and Resistance to Beauveria bassiana Infection. Int. J. Mol. Sci. 2017, 18, 234. https://doi.org/10.3390/ijms18020234
Xing D, Yang Q, Jiang L, Li Q, Xiao Y, Ye M, Xia Q. RNA-Seq Analyses for Two Silkworm Strains Reveals Insight into Their Susceptibility and Resistance to Beauveria bassiana Infection. International Journal of Molecular Sciences. 2017; 18(2):234. https://doi.org/10.3390/ijms18020234
Chicago/Turabian StyleXing, Dongxu, Qiong Yang, Liang Jiang, Qingrong Li, Yang Xiao, Mingqiang Ye, and Qingyou Xia. 2017. "RNA-Seq Analyses for Two Silkworm Strains Reveals Insight into Their Susceptibility and Resistance to Beauveria bassiana Infection" International Journal of Molecular Sciences 18, no. 2: 234. https://doi.org/10.3390/ijms18020234
APA StyleXing, D., Yang, Q., Jiang, L., Li, Q., Xiao, Y., Ye, M., & Xia, Q. (2017). RNA-Seq Analyses for Two Silkworm Strains Reveals Insight into Their Susceptibility and Resistance to Beauveria bassiana Infection. International Journal of Molecular Sciences, 18(2), 234. https://doi.org/10.3390/ijms18020234

