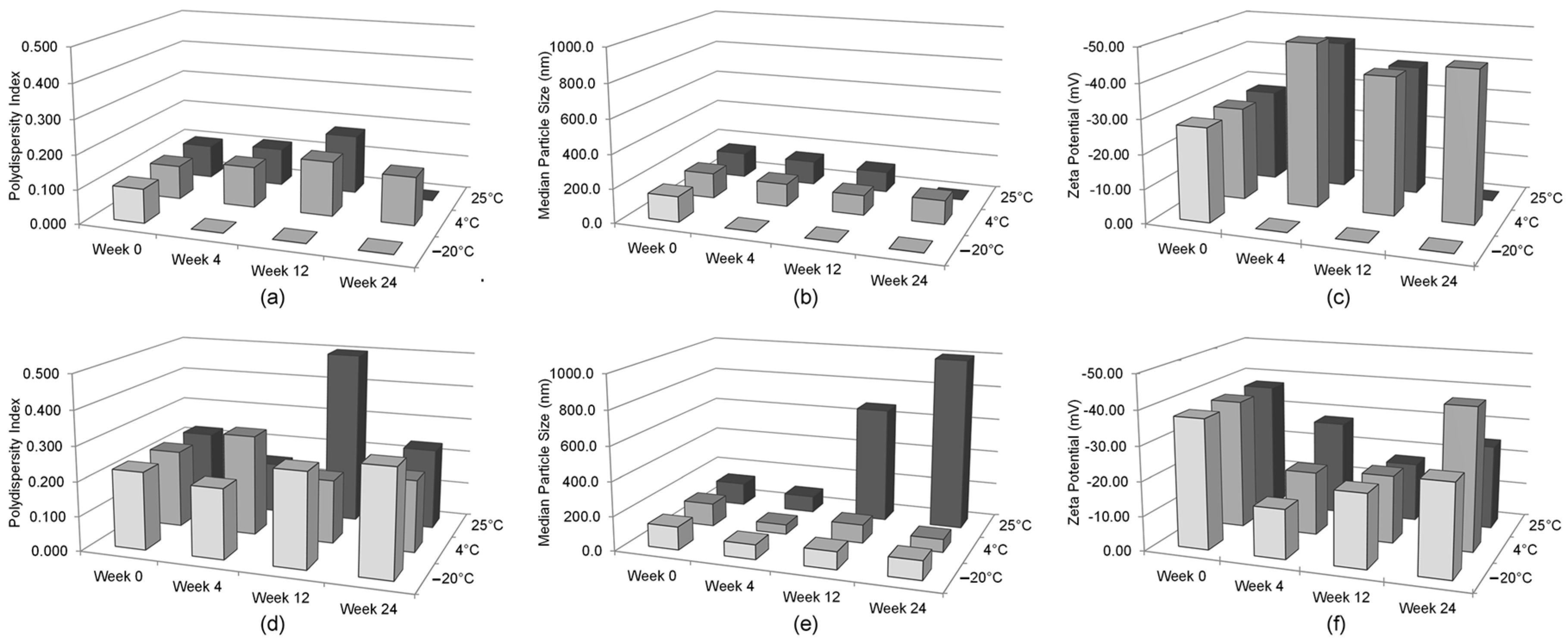
Development of Orally Administered γ-Tocotrienol (GT3) Nanoemulsion for Radioprotection
Ledet, G.A.; Biswas, S.; Kumar, V.P.; Graves, R.A.; Mitchner, D.M.; Parker, T.M.; Bostanian, L.A.; Ghosh, S.P.; Mandal, T.K. Development of Orally Administered γ-Tocotrienol (GT3) Nanoemulsion for Radioprotection. Int. J. Mol. Sci. 2017, 18, 28. https://doi.org/10.3390/ijms18010028
Ledet GA, Biswas S, Kumar VP, Graves RA, Mitchner DM, Parker TM, Bostanian LA, Ghosh SP, Mandal TK. Development of Orally Administered γ-Tocotrienol (GT3) Nanoemulsion for Radioprotection. International Journal of Molecular Sciences. 2017; 18(1):28. https://doi.org/10.3390/ijms18010028
Chicago/Turabian StyleLedet, Grace A., Shukla Biswas, Vidya P. Kumar, Richard A. Graves, Demaurian M. Mitchner, Taylor M. Parker, Levon A. Bostanian, Sanchita P. Ghosh, and Tarun K. Mandal. 2017. "Development of Orally Administered γ-Tocotrienol (GT3) Nanoemulsion for Radioprotection" International Journal of Molecular Sciences 18, no. 1: 28. https://doi.org/10.3390/ijms18010028

