Glutathione Transferases Superfamily: Cold-Inducible Expression of Distinct GST Genes in Brassica oleracea
Abstract
:1. Introduction
2. Results and Discussion
2.1. Identification of GST Genes in B. oleracea
2.2. Classification and Sequence Characterization of BoGST Genes
2.3. Chromosomal Distribution, Gene Duplication and Syntenic Regions
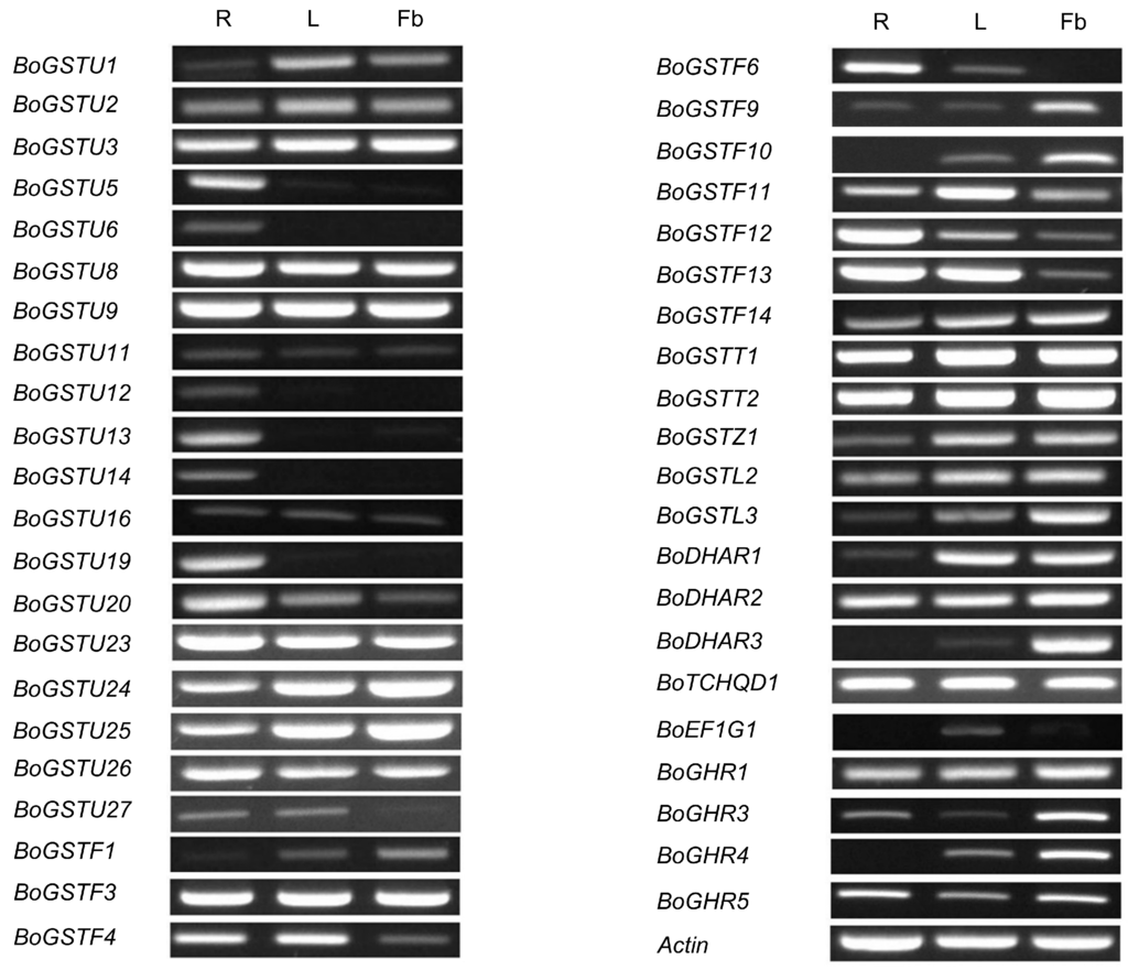
2.4. Gene-Specific and Organ-Specific Expression Analysis in Non-Treated Samples
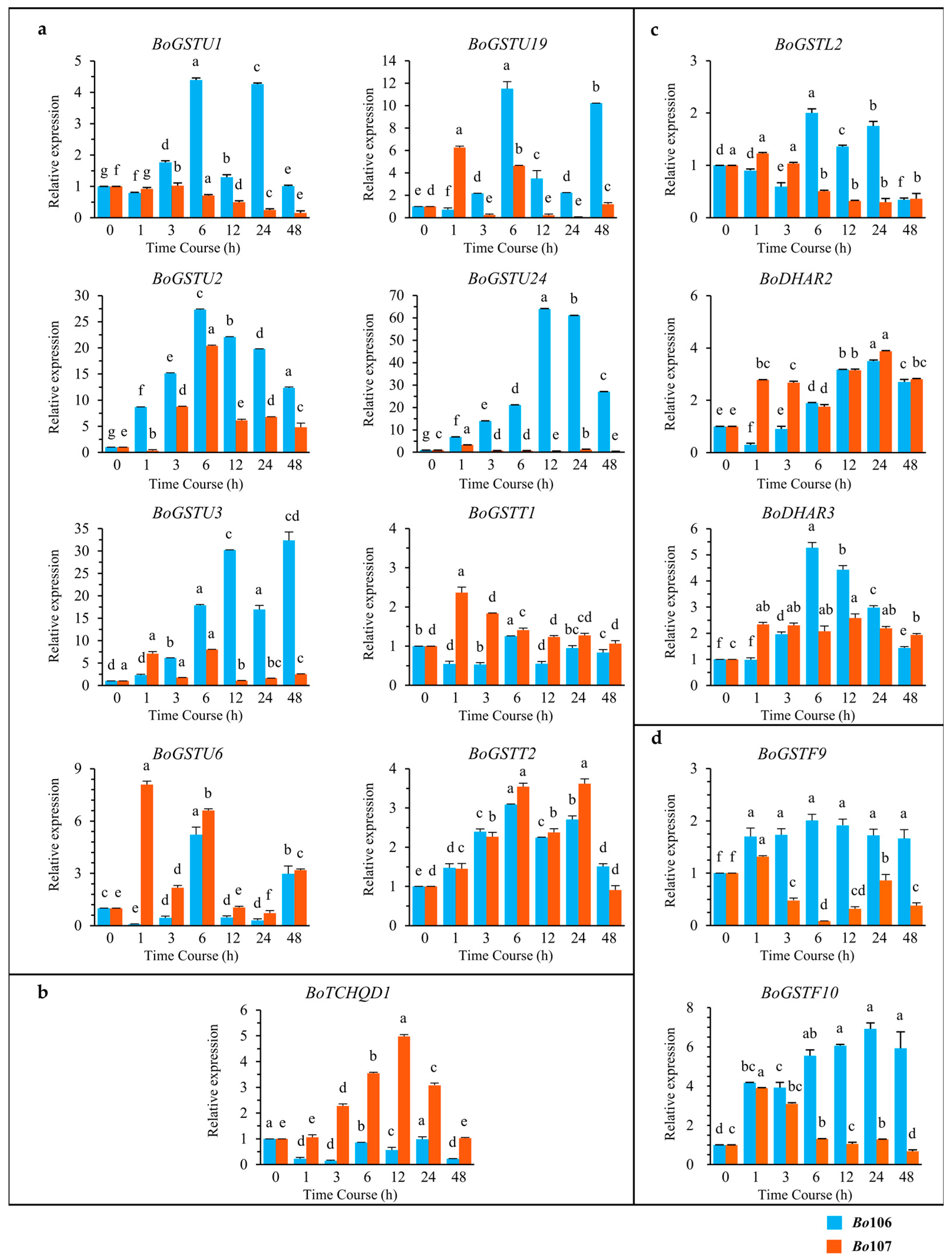
2.5. Differential Expression Pattern under Cold Stress
3. Materials and Methods
3.1. GST Sequence Retrieval
3.2. In Silico Approach for Identification and Characterization of GST Genes
3.3. Chromosomal Location and Syntenic Regions of BoGSTs
3.4. Sampling and Preparation of Plant Material
3.5. Qualitative and Quantitative PCR Expression Analysis
3.6. Data Statistics
4. Conclusions
Supplementary Materials
Acknowledgments
Author Contributions
Conflicts of Interest
Abbreviations
| ABA | Abscisic acid |
| BoGST | Brassica oleracea Glutathione transferases |
| CS | Cold susceptible |
| CT | Cold tolerant |
| DHAR | Dehydro ascorbate reductase |
| GHR | Glutathionyl Hydroquinone reductase |
| GPX | Glutathione peroxidases |
| GR | Glutathione reductase |
| GSH | Glutathione |
| GST | Glutathione transferases |
| GST2N | GST protein with two repeats of thioredoxin domain |
| mPGES2 | Microsomal Prostaglandin E Synthase type 2 |
| ROS | Reactive oxygen species |
| SOD | Superoxide dismutase |
References
- Thomashow, M.F. Plant cold acclimation: Freezing tolerance genes and regulatory mechanisms. Annu. Rev. Plant Physiol. Plant Mol. Biol. 1999, 50, 571–599. [Google Scholar] [CrossRef] [PubMed]
- Yamaguchi-Shinozaki, K.; Shinozaki, K. Transcriptional regulatory networks in cellular responses and tolerance to dehydration and cold stresses. Annu. Rev. Plant Biol. 2006, 57, 781–803. [Google Scholar] [CrossRef] [PubMed]
- Yamaguchi-Shinozaki, K.; Shinozaki, K. Organization of cis-acting regulatory elements in osmotic- and cold-stress-responsive promoters. Trends Plant Sci. 2005, 10, 88–94. [Google Scholar] [CrossRef] [PubMed]
- Lee, B.; Lee, H.; Xiong, L.; Zhu, J.-K. A mitochondrial complex I defect impairs cold-regulated nuclear gene expression. Plant Cell 2002, 14, 1235–1251. [Google Scholar] [CrossRef] [PubMed]
- Ahmed, N.U.; Jung, H.-J.; Park, J.-I.; Cho, Y.-G.; Hur, Y.; Nou, I.-S. Identification and expression analysis of cold and freezing stress responsive genes of Brassica oleracea. Gene 2015, 554, 215–223. [Google Scholar] [CrossRef] [PubMed]
- Du, C.; Hu, K.; Xian, S.; Liu, C.; Fan, J.; Tu, J.; Fu, T. Dynamic transcriptome analysis reveals AP2/ERF transcription factors responsible for cold stress in rapeseed (Brassica napus L.) factors responsible for cold stress in rapeseed (Brassica napus L.). Mol. Genet. Genom. 2016, 291, 1053–1067. [Google Scholar] [CrossRef] [PubMed]
- Hwang, I.; Jung, H.-J.; Park, J.-I.; Yang, T.-J.; Nou, I.-S. Transcriptome analysis of newly classified bZIP transcription factors of Brassica rapa in cold stress response. Genomics 2014, 104, 194–202. [Google Scholar] [CrossRef] [PubMed]
- Thamilarasan, S.K.; Park, J.-I.; Jung, H.-J.; Nou, I.-S. Genome-wide analysis of the distribution of AP2/ERF transcription factors reveals duplication and CBFs genes elucidate their potential function in Brassica oleracea. BMC Genom. 2014, 15, 422. [Google Scholar] [CrossRef] [PubMed]
- Livingston, D.P.; Premakumar, R.; Tallury, S.P. Carbohydrate partitioning between upper and lower regions of the crown in oat and rye during cold acclimation and freezing. Cryobiology 2006, 52, 200–208. [Google Scholar] [CrossRef] [PubMed]
- Kovács, Z.; Simon-Sarkadi, L.; Szucs, A.; Kocsy, G. Differential effects of cold, osmotic stress and abscisic acid on polyamine accumulation in wheat. Amino Acids 2010, 38, 623–631. [Google Scholar] [CrossRef] [PubMed]
- Christie, P.J.; Alfenito, M.R.; Walbot, V. Impact of low-temperature stress on general phenylpropanoid and anthocyanin pathways: Enhancement of transcript abundance and anthocyanin pigmentation in maize seedlings. Planta 1994, 194, 541–549. [Google Scholar] [CrossRef]
- Baskar, V.; Gururani, M.A.; Yu, J.W.; Park, S.W. Engineering glucosinolates in plants: Current knowledge and potential uses. Appl. Biochem. Biotechnol. 2012, 168, 1694–1717. [Google Scholar] [CrossRef] [PubMed]
- Janska, A.; Maršík, P.; Zelenková, S.; Ovesná, J. Cold stress and acclimation-what is important for metabolic adjustment? Plant Biol. 2010, 12, 395–405. [Google Scholar] [CrossRef] [PubMed]
- Chinnusamy, V.; Zhu, J.; Zhu, J.-K. Cold stress regulation of gene expression in plants. Trends Plant Sci. 2007, 12, 444–451. [Google Scholar] [CrossRef] [PubMed]
- Miura, K.; Jin, J.B.; Lee, J.; Yoo, C.Y.; Stirm, V.; Miura, T.; Ashworth, E.N.; Bressan, R.A.; Yun, D.-J.; Hasegawa, P.M. SIZ1-mediated sumoylation of ICE1 controls CBF3/DREB1A expression and freezing tolerance in Arabidopsis. Plant Cell 2007, 19, 1403–1414. [Google Scholar] [CrossRef]
- Liu, S.; Liu, Y.; Yang, X.; Tong, C.; Edwards, D.; Parkin, I.A.P.; Zhao, M.; Ma, J.; Yu, J.; Huang, S.; et al. The Brassica oleracea genome reveals the asymmetrical evolution of polyploid genomes. Nat. Commun. 2014, 5, 3930. [Google Scholar] [CrossRef] [PubMed]
- Kitamura, S.; Shikazono, N.; Tanaka, A. TRANSPARENT TESTA 19 is involved in the accumulation of both anthocyanins and proanthocyanidins in Arabidopsis. Plant J. 2004, 37, 104–114. [Google Scholar] [CrossRef]
- Alfenito, M.R.; Souer, E.; Goodman, C.D.; Buell, R.; Mol, J.; Koes, R.; Walbot, V. Functional complementation of anthocyanin sequestration in the vacuole by widely divergent glutathione S-transferases. Plant Cell 1998, 10, 1135–1149. [Google Scholar] [CrossRef]
- Dixon, D.P.; Cummins, I.; Cole, D.J.; Edwards, R. Glutathione-mediated detoxification systems in plants. Curr. Opin. Plant Biol. 1998, 1, 258–266. [Google Scholar] [CrossRef]
- Oakley, A. Glutathione transferases: A structural perspective. Drug Metab. Rev. 2011, 43, 138–151. [Google Scholar] [CrossRef] [PubMed]
- Lallement, P.-A.; Brouwer, B.; Keech, O.; Hecker, A.; Rouhier, N. The still mysterious roles of cysteine-containing glutathione transferases in plants. Front. Pharmacol. 2014, 5, 192. [Google Scholar] [CrossRef] [PubMed]
- Dixon, D.P.; Edwards, R. Glutathione transferases. Arabidopsis Book 2010, 8, e0131. [Google Scholar] [CrossRef] [PubMed]
- Edwards, R.; Dixon, D.P. Plant glutathione transferases. Methods Enzymol. 2005, 401, 169–186. [Google Scholar] [PubMed]
- Agrawal, G.K.; Jwa, N.-S.; Rakwal, R. A pathogen-induced novel rice (Oryza sativa L.) gene encodes a putative protein homologous to type II glutathione S-transferases. Plant Sci. 2002, 163, 1153–1160. [Google Scholar] [CrossRef]
- Mueller, L.A.; Goodman, C.D.; Silady, R.A.; Walbot, V. AN9, a petunia glutathione S-transferase required for anthocyanin sequestration, is a flavonoid-binding protein. Plant Physiol. 2000, 123, 1561–1570. [Google Scholar] [CrossRef] [PubMed]
- Kampranis, S.C.; Damianova, R.; Atallah, M.; Toby, G.; Kondi, G.; Tsichlis, P.N.; Makris, A.M. A novel plant glutathione S-transferase/peroxidase suppresses Bax lethality in yeast. J. Biol. Chem. 2000, 275, 29207–29216. [Google Scholar] [CrossRef] [PubMed]
- Dixon, D.P.; Hawkins, T.; Hussey, P.J.; Edwards, R. Enzyme activities and subcellular localization of members of the arabidopsis glutathione transferase superfamily. J. Exp. Bot. 2009, 60, 1207–1218. [Google Scholar] [CrossRef] [PubMed]
- Dixon, D.P.; Sellars, J.D.; Edwards, R. The Arabidopsis phi class glutathione transferase AtGSTF2: Binding and regulation by biologically active heterocyclic ligands. Biochem. J. 2011, 438, 63–70. [Google Scholar] [CrossRef] [PubMed]
- Moons, A. Regulatory and functional interactions of plant growth regulators and plant glutathione S-transferases (GSTs). Vitam. Horm. 2005, 72, 155–202. [Google Scholar] [PubMed]
- Dixon, D.P.; Davis, B.G.; Edwards, R. Functional divergence in the glutathione transferase superfamily in plants: Identification of two classes with putative functions in redox homeostasis in Arabidopsis thaliana. J. Biol. Chem. 2002, 277, 30859–30869. [Google Scholar] [CrossRef] [PubMed]
- Dixon, D.P.; Lapthorn, A.; Edwards, R. Plant glutathione transferases. Genome Biol. 2002, 3, 3004.1–3004.10. [Google Scholar] [CrossRef] [Green Version]
- Anderson, J.V.; Davis, D.G. Abiotic stress alters transcript profiles and activity of glutathione S-transferase, glutathione peroxidase, and glutathione reductase in Euphorbia esula. Physiol. Plant. 2004, 120, 421–433. [Google Scholar] [CrossRef] [PubMed]
- Dixon, D.P.; Cole, D.J.; Edwards, R. Characterisation of a zeta class glutathione transferase from Arabidopsis thaliana with a putative role in tyrosine catabolism. Arch. Biochem. Biophys. 2000, 384, 407–412. [Google Scholar] [CrossRef] [PubMed]
- Keck, A.-S.; Finley, J.W. Cruciferous vegetables: Cancer protective mechanisms of glucosinolate hydrolysis products and selenium. Integr. Cancer Ther. 2004, 3, 5–12. [Google Scholar] [CrossRef] [PubMed]
- Armstrong, R.N. Structure, catalytic mechanism, and evolution of the glutathione transferases. Chem. Res. Toxicol. 1997, 10, 2–18. [Google Scholar] [CrossRef] [PubMed]
- Rezaei, M.K.; Shobbar, Z.-S.; Shahbazi, M.; Abedini, R.; Zare, S. Glutathione S-transferase (GST) family in barley: Identification of members, enzyme activity, and gene expression pattern. J. Plant Physiol. 2013, 170, 1277–1284. [Google Scholar] [CrossRef] [PubMed]
- McGonigle, B.; Keeler, S.J.; Lau, S.C.; Koeppe, M.K.; Keefe, D.P.O. A Genomics Approach to the comprehensive analysis of the glutathione S-transferase gene family in soybean and maize. Plant Physiol. 2000, 124, 1105–1120. [Google Scholar] [CrossRef] [PubMed]
- Soranzo, N.; Sari Gorla, M.; Mizzi, L.; de Toma, G.; Frova, C. Organisation and structural evolution of the rice glutathione S-transferase gene family. Mol. Genet. Genom. 2004, 271, 511–521. [Google Scholar] [CrossRef] [PubMed]
- Csiszar, J.; Horvath, E.; Vary, Z.; Galle, A.; Bela, K.; Brunner, S.; Tari, I. Glutathione transferase supergene family in tomato: Salt stress-regulated expression of representative genes from distinct GST classes in plants primed with salicylic acid. Plant Physiol. Biochem. 2014, 78, 15–26. [Google Scholar] [CrossRef] [PubMed]
- Lan, T.; Yang, Z.-L.; Yang, X.; Liu, Y.-J.; Wang, X.-R.; Zeng, Q.-Y. Extensive functional diversification of the populus glutathione S-transferase supergene family. Plant Cell 2009, 21, 3749–3766. [Google Scholar] [CrossRef] [PubMed]
- Sheehan, D.; Meade, G.; Foley, V.M.; Dowd, C.A. Structure, function and evolution of glutathione transferases: Implications for classification of non-mammalian members of an ancient enzyme superfamily. J. Biochem. 2001, 16, 1–16. [Google Scholar] [CrossRef]
- Frova, C. The plant glutathione transferase gene family: Genomic structure, functions, expression and evolution. Physiol. Plant. 2003, 119, 469–479. [Google Scholar] [CrossRef]
- Mohsenzadeh, S.; Esmaeili, M.; Moosavi, F.; Shahrtash, M. Plant glutathione S-transferase classification, structure and evolution. Afr. J. Biotechnol. 2011, 10, 8160–8165. [Google Scholar]
- Wagner, U.; Edwards, R.; Dixon, D.P.; Mauch, F. Probing the diversity of the Arabidopsis glutathione S-transferase gene family. Plant Mol. Biol. 2002, 49, 515–532. [Google Scholar] [CrossRef] [PubMed]
- Droog, F. Plant glutathione S-transferases, a tale of theta and tau. J. Plant Growth Regul. 1997, 95–107. [Google Scholar] [CrossRef]
- Edwards, R.; Dixon, D.P.; Walbot, V. Plant glutathione S-transferases: Enzymes with multiple functions in sickness and in health. Trends Plant Sci. 2000, 5, 193–198. [Google Scholar] [CrossRef]
- Sappl, P.G.; Carroll, A.J.; Clifton, R.; Lister, R.; Whelan, J.; Harvey Millar, A.; Singh, K.B. The Arabidopsis glutathione transferase gene family displays complex stress regulation and co-silencing multiple genes results in altered metabolic sensitivity to oxidative stress. Plant J. 2009, 58, 53–68. [Google Scholar] [CrossRef] [PubMed]
- Seppänen, M.M.; Cardi, T.; Borg Hyökki, M.; Pehu, E. Characterization and expression of cold-induced glutathione S-transferase in freezing tolerant Solanum commersonii, sensitive S. tuberosum and their interspecific somatic hybrids. Plant Sci. 2000, 153, 125–133. [Google Scholar] [CrossRef]
- Tsuchiya, T.; Takesawa, T.; Kanzaki, H.; Nakamura, I. Genomic structure and differential expression of two tandem-arranged GSTZ genes in rice. Gene 2004, 335, 141–149. [Google Scholar] [CrossRef] [PubMed]
- Jain, M.; Ghanashyam, C.; Bhattacharjee, A. Comprehensive expression analysis suggests overlapping and specific roles of rice glutathione S-transferase genes during development and stress responses. BMC Genom. 2010, 11, 73. [Google Scholar] [CrossRef] [PubMed]
- Baek, K.-H.; Skinner, D.Z. Alteration of antioxidant enzyme gene expression during cold acclimation of near-isogenic wheat lines. Plant Sci. 2003, 165, 1221–1227. [Google Scholar] [CrossRef]
- Ahsan, N.; Lee, D.G.; Alam, I.; Kim, P.J.; Lee, J.J.; Ahn, Y.O.; Kwak, S.S.; Lee, I.J.; Bahk, J.D.; Kang, K.Y.; et al. Comparative proteomic study of arsenic-induced differentially expressed proteins in rice roots reveals glutathione plays a central role during As stress. Proteomics 2008, 8, 3561–3576. [Google Scholar] [CrossRef] [PubMed]
- Kumar, S.; Jin, M.; Weemhoff, J. Cytochrome P450-mediated phytoremediation using transgenic plants: A need for engineered cytochrome P450 enzymes. J. Pet. Environ. Eng. 2012, 29, 997–1003. [Google Scholar] [CrossRef] [PubMed]
- Marrs, K.A. The functions and regulation of glutathione S-transferases in plants. Annu. Rev. Plant Physiol. Plant Mol. Biol. 1996, 47, 127–158. [Google Scholar] [CrossRef] [PubMed]
- Takahashi, Y.; Hasezawa, S.; Kusaba, M.; Nagata, T. Expression of the auxin-regulated parA gene in transgenic tobacco and nuclear localization of its gene products. Planta 1995, 196, 111–117. [Google Scholar] [CrossRef] [PubMed]
- Blast2GO. Available online: https://www.blast2go.com/ (accessed on 11 January 2016).
- Blackburn, A.C.; Woollatt, E.; Sutherland, G.R.; Board, P.G. Characterization and chromosome location of the gene GSTZ1 encoding the human Zeta class glutathione transferase and maleylacetoacetate isomerase. Cytogenet. Cell Genet. 1998, 83, 109–114. [Google Scholar] [CrossRef] [PubMed]
- Takesawa, T.; Ito, M.; Kanzaki, H.; Kameya, N.; Nakamura, I. Over-expression of ζ glutathione S-transferase in transgenic rice enhances germination and growth at low temperature. Mol. Breed. 2002, 9, 93–101. [Google Scholar] [CrossRef]
- Pandey, B.; Sharma, P.; Pandey, D.M.; Varshney, J.; Sheoran, S.; Singh, M.; Singh, R.; Sharma, I.; Chatrath, R. Comprehensive computational analysis of different classes of glutathione S-transferases in Triticum aestivum L. Plant Omics J. 2012, 5, 518–531. [Google Scholar]
- Itzhaki, H.; Maxson, J.M.; Woodson, W.R. An ethylene-responsive enhancer element is involved in the senescence-related expression of the carnation glutathione-S-transferase (GST1) gene. Proc. Natl. Acad. Sci. USA 1994, 91, 8925–8929. [Google Scholar] [CrossRef] [PubMed]
- Van der Zaal, B.J.; Droog, F.N.; Pieterse, F.J.; Hooykaas, P.J. Auxin-sensitive elements from promoters of tobacco GST genes and a consensus as-1-like element differ only in relative strength. Plant Physiol. 1996, 110, 79–88. [Google Scholar] [CrossRef] [PubMed][Green Version]
- Gronwald, J.W.; Plaisance, K.L. Isolation and characterization of glutathione S-transferase isozymes from sorghum. Plant Physiol. 1998, 117, 877–892. [Google Scholar] [CrossRef] [PubMed]
- Genomatix Software Suit. Available online: http://www.genomatix.de/cgi-bin/dialign/dialign.pl (accessed on 23 January 2016).
- Board, P.G.; Baker, R.T.; Chelvanayagam, G.; Jermiin, L.S. Zeta, a novel class of glutathione transferases in a range of species from plants to humans. Biochem. J. 1997, 328, 929–935. [Google Scholar] [CrossRef] [PubMed]
- Ziolkowski, P.A.; Kaczmarek, M.; Babula, D.; Sadowski, J. Genome evolution in Arabidopsis/Brassica: Conservation and divergence of ancient rearranged segments and their breakpoints. Plant J. 2006, 47, 63–74. [Google Scholar] [CrossRef] [PubMed]
- Moons, A. Osgstu3 and osgtu4, encoding tau class glutathione S-transferases, are heavy metal- and hypoxic stress-induced and differentially salt stress-responsive in rice roots. FEBS Lett. 2003, 553, 427–432. [Google Scholar] [CrossRef]
- Chi, Y.; Cheng, Y.; Vanitha, J.; Kumar, N.; Ramamoorthy, R.; Ramachandran, S.; Jiang, S.-Y. Expansion mechanisms and functional divergence of the glutathione S-transferase family in sorghum and other higher plants. DNA Res. 2011, 18, 1–16. [Google Scholar] [CrossRef] [PubMed]
- Chinnusamy, V.; Zhu, J.; Zhu, J.K. Gene regulation during cold acclimation in plants. Physiol. Plant. 2006, 126, 52–61. [Google Scholar] [CrossRef]
- Jung, H.-J.; Dong, X.; Park, J.-I.; Thamilarasan, S.K.; Lee, S.S.; Kim, Y.-K.; Lim, Y.-P.; Nou, I.-S.; Hur, Y. Genome-wide transcriptome analysis of two contrasting brassica rapa doubled haploid lines under cold-stresses using Br135K oligomeric chip. PLoS ONE 2014, 9, e106069. [Google Scholar] [CrossRef] [PubMed]
- Tausz, M.; Šircelj, H.; Grill, D. The glutathione system as a stress marker in plant ecophysiology: Is a stress-response concept valid? J. Exp. Bot. 2004, 55, 1955–1962. [Google Scholar] [CrossRef] [PubMed]
- Zagorchev, L.; Seal, C.E.; Kranner, I.; Odjakova, M. A central role for thiols in plant tolerance to abiotic stress. Int. J. Mol. Sci. 2013, 14, 7405–7432. [Google Scholar] [CrossRef] [PubMed]
- Petrussa, E.; Braidot, E.; Zancani, M.; Peresson, C.; Bertolini, A.; Patui, S.; Vianello, A. Plant flavonoids-biosynthesis, transport and involvement in stress responses. Int. J. Mol. Sci. 2013, 14, 14950–14973. [Google Scholar] [CrossRef] [PubMed]
- Chen, J.-H.; Jiang, H.-W.; Hsieh, E.-J.; Chen, H.-Y.; Chien, C.-T.; Hsieh, H.-L.; Lin, T.-P. drought and salt stress tolerance of an Arabidopsis glutathione S-transferase U17 knockout mutant are attributed to the combined effect of glutathione and abscisic acid. Plant Physiol. 2012, 158, 340–351. [Google Scholar] [CrossRef] [PubMed]
- Ushimaru, T.; Nakagawa, T.; Fujioka, Y.; Daicho, K.; Naito, M.; Yamauchi, Y.; Nonaka, H.; Amako, K.; Yamawaki, K.; Murata, N. Transgenic Arabidopsis plants expressing the rice dehydroascorbate reductase gene are resistant to salt stress. J. Plant Physiol. 2006, 163, 1179–1184. [Google Scholar] [CrossRef] [PubMed]
- Zhang, B.; Hu, Z.; Zhang, Y.; Li, Y.; Zhou, S.; Chen, G. A putative functional MYB transcription factor induced by low temperature regulates anthocyanin biosynthesis in purple kale (Brassica Oleracea var. acephala f. tricolor). Plant Cell Rep. 2012, 31, 281–289. [Google Scholar] [CrossRef] [PubMed]
- Vanderauwera, S.; Zimmermann, P.; Van Breusegem, F.; Langebartels, C.; Gruissem, W.; Inze, D.; Breusegem, F. Van Genome-wide analysis of hydrogen peroxide-regulated gene expression in Arabidopsis reveals a high light-induced transcriptional cluster involved in anthocyanin biosynthesis. Plant Physiol. 2005, 139, 806–821. [Google Scholar] [CrossRef] [PubMed]
- Cheng, F.; Liu, S.; Wu, J.; Fang, L.; Sun, S.; Liu, B.; Li, P.; Hua, W.; Wang, X. BRAD, the genetics and genomics database for Brassica plants. BMC Plant Biol. 2011, 11, 136. [Google Scholar] [CrossRef] [PubMed]
- Brassica Database. Available online: http://brassicadb.org/brad/ (accessed on 20 November 2015).
- Yu, J.; Zhao, M.; Wang, X.; Tong, C.; Huang, S.; Tehrim, S.; Liu, Y.; Hua, W.; Liu, S. Bolbase: A comprehensive genomics database for Brassica oleracea. BMC Genom. 2013, 14, 664. [Google Scholar] [CrossRef] [PubMed]
- Bolbase Database. Available online: http://www.ocri-genomics.org/bolbase/ (accessed on 20 November 2015).
- Kersey, P.J.; Allen, J.E.; Christensen, M.; Davis, P.; Falin, L.J.; Grabmueller, C.; Hughes, D.S.T.; Humphrey, J.; Kerhornou, A.; Khobova, J.; et al. Fast, scalable generation of high-quality protein multiple sequence alignments using Clustal Omega. Mol. Syst. Biol. 2011, 7, 539. [Google Scholar]
- EnsemblPlants Database. Available online: http://plants.ensembl.org/Brassica_oleracea/Info/Index (accessed on 20 November 2015).
- Eddy, S.R. A new generation of homology search tools based on probabilistic inference. Genome Inform. 2009, 23, 205–211. [Google Scholar] [PubMed]
- Clustal Omega. Available online: http://www.ebi.ac.uk/Tools/msa/clustalo/ (accessed on 9 December 2015).
- Schultz, J.; Milpetz, F.; Bork, P.; Ponting, C.P. SMART, a simple modular architecture research tool: Identification of signaling domains. Proc. Natl. Acad. Sci. USA 1998, 95, 5857–5864. [Google Scholar] [CrossRef] [PubMed]
- Marchler-Bauer, A.; Derbyshire, M.K.; Gonzales, N.R.; Lu, S.; Chitsaz, F.; Geer, L.Y.; Geer, R.C.; He, J.; Gwadz, M.; Hurwitz, D.I.; et al. CDD: NCBI’s conserved domain database. Nucleic Acids Res. 2015, 43, D222–D226. [Google Scholar] [CrossRef] [PubMed]
- SMART Database. Available online: http://smart.embl-heidelberg.de/ (accessed on 26 November 2015).
- Thompson, J.D.; Higgins, D.G.; Gibson, T.J. CLUSTAL W: Improving the sensitivity of progressive multiple sequence alignment through sequence weighting, position-specific gap penalties and weight matrix choice. Nucleic Acids Res. 1994, 22, 4673–4680. [Google Scholar] [CrossRef] [PubMed]
- Conserved Domain Database. Available online: http://www.ncbi.nlm.nih.gov/Structure/cdd/cdd.shtml (accessed on 26 November 2015).
- Tamura, K.; Stecher, G.; Peterson, D.; Filipski, A.; Kumar, S. MEGA6: Molecular evolutionary genetics analysis version 6.0. Mol. Biol. Evol. 2013, 30, 2725–2729. [Google Scholar] [CrossRef] [PubMed]
- CLUSTALW. Available online: http://www.genome.jp/tools/clustalw/ (accessed on 9 December 2015).
- Gasteiger, E.; Hoogland, C.; Gattiker, A.; Duvaud, S.; Wilkins, M.R.; Appel, R.D.; Bairoch, A. Protein identification and analysis tools on the ExPASy server. In The Proteomics Protocols Handbook; Humana Press: New York, NY, USA, 2005; pp. 571–607. [Google Scholar]
- Gupta, R.; Jung, E.; Brunak, S. Prediction of N-glycosylation sites in human proteins. 2004, in press. [Google Scholar]
- ProtParam. Available online: http://web.expasy.org/protparam/ (accessed on 14 February 2016).
- Bailey, T.L.; Williams, N.; Misleh, C.; Li, W.W. MEME: Discovering and analyzing DNA and protein sequence motifs. Nucleic Acids Res. 2006, 34, 369–373. [Google Scholar] [CrossRef] [PubMed]
- Softberry. Available online: http://linux1.softberry.com/berry.phtml (accessed on 14 February 2016).
- EMBOSS-6.6.0. Available online: http://emboss.sourceforge.net/apps/ (accessed on 4 March 2016).
- Hu, B.; Jin, J.; Guo, A.-Y.; Zhang, H.; Luo, J.; Gao, G. GSDS 2.0: An upgraded gene feature visualization server. Bioinformatics 2014, 31, 1296–1297. [Google Scholar] [CrossRef] [PubMed]
- Rombauts, S.; Déhais, P.; Van Montagu, M.; Rouzé, P. PlantCARE, a plant cis-acting regulatory element database. Nucleic Acids Res. 1999, 27, 295–296. [Google Scholar] [CrossRef] [PubMed]
- Gene Structure Display Server (GSDS) Web Tool. Available online: http://gsds.cbi.pku.edu.cn/index.php (accessed on 5 March 2016).
- Higo, K.; Ugawa, Y.; Iwamoto, M.; Korenaga, T. Plant cis-acting regulatory DNA elements (PLACE) database: 1999. Nucleic Acids Res. 1999, 27, 297–300. [Google Scholar] [CrossRef] [PubMed]
- Ibraheem, O.; Botha, C.E.J.; Bradley, G. In silico analysis of cis-acting regulatory elements in 5′ regulatory regions of sucrose transporter gene families in rice (Oryza sativa Japonica) and Arabidopsis thaliana. Comput. Biol. Chem. 2010, 34, 268–283. [Google Scholar] [CrossRef] [PubMed]
- Voorrips, R.E. MapChart: Software for the graphical presentation of linkage maps and QTLs. J. Hered. 2002, 93, 77–78. [Google Scholar] [CrossRef] [PubMed]
- Soderlund, C.; Bomhoff, M.; Nelson, W.M. SyMAP v3.4: A turnkey synteny system with application to plant genomes. Nucleic Acids Res. 2011, 39, 1–9. [Google Scholar] [CrossRef] [PubMed]
- Krzywinski, M.; Schein, J.; Birol, I.; Connors, J.; Gascoyne, R.; Horsman, D.; Jones, S.J.; Marra, M.A. Circos: An information aesthetic for comparative genomics. Genome Res. 2009, 19, 1639–1645. [Google Scholar] [CrossRef] [PubMed]
- Kayum, M.A.; Park, J.I.; Ahmed, N.U.; Jung, H.J.; Saha, G.; Kang, J.G.; Nou, I.S. Characterization and stress-induced expression analysis of Alfin-like transcription factors in Brassica rapa. Mol. Genet. Genom. 2015, 290, 1299–1311. [Google Scholar] [CrossRef] [PubMed]
- Reich, M.; Liefeld, T.; Gould, J.; Lerner, J.; Tamayo, P.; Mesirov, J.P. GenePattern 2.0. Nat. Genet. 2006, 38, 500–501. [Google Scholar] [CrossRef] [PubMed]
- AtGenExpress Visualization Tool (AVT). Available online: http://jsp.weigelworld.org/expviz/expviz.jsp (accessed on 18 March 2016).
- Cluster Program. Available online: http://bonsai.hgc.jp/~mdehoon/software/cluster/software.htm (accessed on 21 March 2016).
- GenePattern Software. Available online: http://genepattern.broadinstitute.org/gp/pages/index.jsf (accessed on 21 March 2016).
- NCBI Database. Available online: http://www.ncbi.nlm.nih.gov/ (accessed on 24 November 2015).







| Plant | Brassica oleracea | Arabidopsis thaliana | Hordeum vulgare | Populus trichocarpa | Solanum lycopersicum | Oryza sativa | Zea mays | Glycine max |
|---|---|---|---|---|---|---|---|---|
| GST Family | Number | Number | Number | Number | Number | Number | Number | Number |
| Tau | 28 | 28 | 50 | 58 | 56 | 40 | 28 | 20 |
| Phi | 14 | 13 | 21 | 9 | 5 | 16 | 12 | 4 |
| Theta | 2 | 2 | 1 | 2 | 4 | 2 | N/A a | N/A a |
| Zeta | 2 | 2 | 5 | 2 | 2 | 3 | 2 | 1 |
| Lambda | 3 | 3 | 2 | 3 | 5 | N/A a | N/A a | N/A a |
| DHAR | 4 | 4 | 2 | 3 | 6 | N/A a | N/A a | N/A a |
| TCHQD | 1 | 1 | 1 | 1 | 1 | N/A a | N/A a | N/A a |
| EF1G | 3 | 2 | 2 | 3 | 1 | N/A a | N/A a | N/A a |
| Others | 8 | N/A a | N/A a | N/A a | 1 | N/A a | N/A a | N/A a |
| Total | 65 | 55 | 84 | 81 | 81 | 61 | 42 | 25 |
| Reference | [44] | [36] | [40] | [39] | [38] | [37] | [37] |
| Sr. No. | Class | No. of GST Genes | Nucleotide Length Range (bp) | ORF Range (bp) | No. of Exons | Protein | |||||
|---|---|---|---|---|---|---|---|---|---|---|---|
| Length Range (aa) | Mol. Wt. Range (kDa) | pI Range | Average Domain Range | ||||||||
| GST N-Region | GST C-Region | EF1G Region | |||||||||
| 1 | Tau | 28 | 705–4093 | 570–942 | 1–2 | 189–313 | 21.56–35.13 | 4.96–8.85 | 72–75 | 110–146 | - |
| 2 | Phi | 14 | 780–1198 | 603–777 | 3 | 200–258 | 22.59–28.84 | 5.13–8.21 | 60–75 | 114–118 | - |
| 3 | Theta | 2 | 1406–1470 | 726–738 | 7 | 241–245 | 27.38–27.66 | 9.36–9.5 | 75 | 128 | - |
| 4 | Zeta | 2 | 1994–2097 | 591–714 | 9 | 196–237 | 22.26–26.35 | 5.29–6.91 | 44–77 | 118–119 | - |
| 5 | Lambda | 3 | 1430–1776 | 708–906 | 8–9 | 187–301 | 21.37–34.39 | 5.08–8.82 | 77–68 | 88–121 | - |
| 6 | DHAR | 4 | 851–1421 | 633–774 | 3–6 | 210–257 | 23.22–28.63 | 5.76–8.28 | 56–72 | 118–121 | - |
| 7 | TCHQD | 1 | 1071 | 801 | 2 | 266 | 31.46 | 9.26 | 72 | 99 | - |
| 8 | EF1G | 3 | 1902–2326 | 1239–1248 | 6–7 | 412–415 | 46.4–46.57 | 5.56–5.64 | 71–81 | 107–120 | 106–108 |
| 9 | GHR | 5 | 1290–1576 | 954–1212 | 3–5 | 317–403 | 36.43–44.9 | 6.32–8.2 | 88–106 | 111–141 | - |
| 10 | GST2N | 2 | 2196–2401 | 1011–1017 | 11–12 | 336–338 | 36.93–36.95 | 8.81–9.26 | 76–77 | - | - |
| 11 | mPGES2 | 1 | 1464 | 942 | 6 | 313 | 35.13 | 8..85 | 72 | 146 | - |
| Class | Abbreviation | Genes | Predicted Function |
|---|---|---|---|
| Tau | GSTU | 28 | Drug and Xenobiotics metabolism-cytochrome P450, Glutathione metabolism, Pyruvate metabolism, Phenylpropanoid biosynthesis |
| Phi | GSTF | 14 | Drug and Xenobiotics metabolism-cytochrome P450, Glutathione metabolism, Pyruvate metabolism, Phenylpropanoid biosynthesis, Arachidonic acid metabolism |
| Theta | GSTT | 2 | Drug and Xenobiotics metabolism-cytochrome P450, Glutathione metabolism, Phenylpropanoid biosynthesis |
| Zeta | GSTZ | 2 | Drug metabolism-cytochrome P450, Glutathione metabolism, Styrene degradation, Tyrosine and Pyruvate metabolism |
| Lambda | GSTL | 3 | Drug and Xenobiotics metabolism-cytochrome P450, Glutathione metabolism |
| DHAR | DHAR | 4 | Drug and Xenobiotics metabolism-cytochrome P450, Glutathione metabolism, Pyruvate metabolism, Phenylpropanoid biosynthesis, Ascorbate and aldarate metabolism, Aminoacyl-tRNA biosynthesis |
| TCHQD | TCHQD | 1 | Drug and Xenobiotics metabolism-cytochrome P450, Glutathione metabolism |
| EF1G | EF1G | 3 | N/A a |
| GHR | GHR | 5 | Drug and Xenobiotics metabolism-cytochrome P450, Glutathione metabolism |
| GST2N | GST2N | 2 | N/A a |
| mPGES2 | mPGES2 | 1 | N/A a |
| Sr. No. | Image | Possible Role | Localization | GST Family | Possible GST Class Involvement |
|---|---|---|---|---|---|
| 1 | ![]() | TFs | Nucleus | Tau and Theta | BoGSTU1, BoGSTU2, BoGSTU3, BoGSTU6, BoGSTU10, BoGSTU17, BoGSTU18, BoGSTU19, BoGSTU24, BoGSTU25, BoGSTT1, BoGSTT2 |
| 2 | ![]() | Gene induction | Nucleus | Unknown | Unknown classes |
| 3 | ![]() | H2O2 Reduction | Chloroplast | DHAR | BoDHAR1, BoDHAR2, BoDHAR3, BoDHAR4 |
| 4 | ![]() | H2O2 Reduction | Chloroplast | Lambda | BoGSTL1, BoGSTL2 |
| 5 | ![]() | GSH conjugation | Cytoplasm | Unknown | Unknown classes |
| 6 | ![]() | Anthocyanin-transporting gene | Cytoplasm | Phi | BoGSTF9, BoGSTF10 |
| 7 | ![]() | Signaling protein | Plasma membrane | TCHQD | BoTCHQD1 |
© 2016 by the authors; licensee MDPI, Basel, Switzerland. This article is an open access article distributed under the terms and conditions of the Creative Commons Attribution (CC-BY) license (http://creativecommons.org/licenses/by/4.0/).
Share and Cite
Vijayakumar, H.; Thamilarasan, S.K.; Shanmugam, A.; Natarajan, S.; Jung, H.-J.; Park, J.-I.; Kim, H.; Chung, M.-Y.; Nou, I.-S. Glutathione Transferases Superfamily: Cold-Inducible Expression of Distinct GST Genes in Brassica oleracea. Int. J. Mol. Sci. 2016, 17, 1211. https://doi.org/10.3390/ijms17081211
Vijayakumar H, Thamilarasan SK, Shanmugam A, Natarajan S, Jung H-J, Park J-I, Kim H, Chung M-Y, Nou I-S. Glutathione Transferases Superfamily: Cold-Inducible Expression of Distinct GST Genes in Brassica oleracea. International Journal of Molecular Sciences. 2016; 17(8):1211. https://doi.org/10.3390/ijms17081211
Chicago/Turabian StyleVijayakumar, Harshavardhanan, Senthil Kumar Thamilarasan, Ashokraj Shanmugam, Sathishkumar Natarajan, Hee-Jeong Jung, Jong-In Park, HyeRan Kim, Mi-Young Chung, and Ill-Sup Nou. 2016. "Glutathione Transferases Superfamily: Cold-Inducible Expression of Distinct GST Genes in Brassica oleracea" International Journal of Molecular Sciences 17, no. 8: 1211. https://doi.org/10.3390/ijms17081211
APA StyleVijayakumar, H., Thamilarasan, S. K., Shanmugam, A., Natarajan, S., Jung, H.-J., Park, J.-I., Kim, H., Chung, M.-Y., & Nou, I.-S. (2016). Glutathione Transferases Superfamily: Cold-Inducible Expression of Distinct GST Genes in Brassica oleracea. International Journal of Molecular Sciences, 17(8), 1211. https://doi.org/10.3390/ijms17081211








