An Efficient Total Synthesis of a Potent Anti-Inflammatory Agent, Benzocamphorin F, and Its Anti-Inflammatory Activity
Abstract
:1. Introduction
2. Results and Discussion
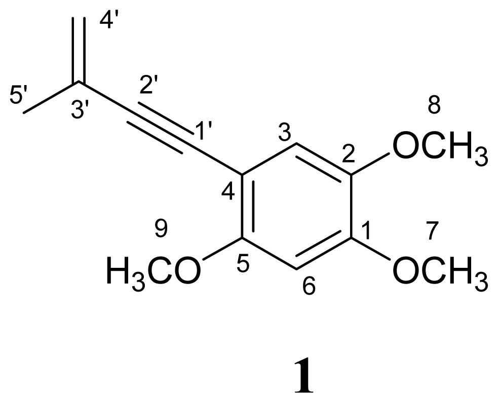
2.1. Isolation and Structural Elucidation
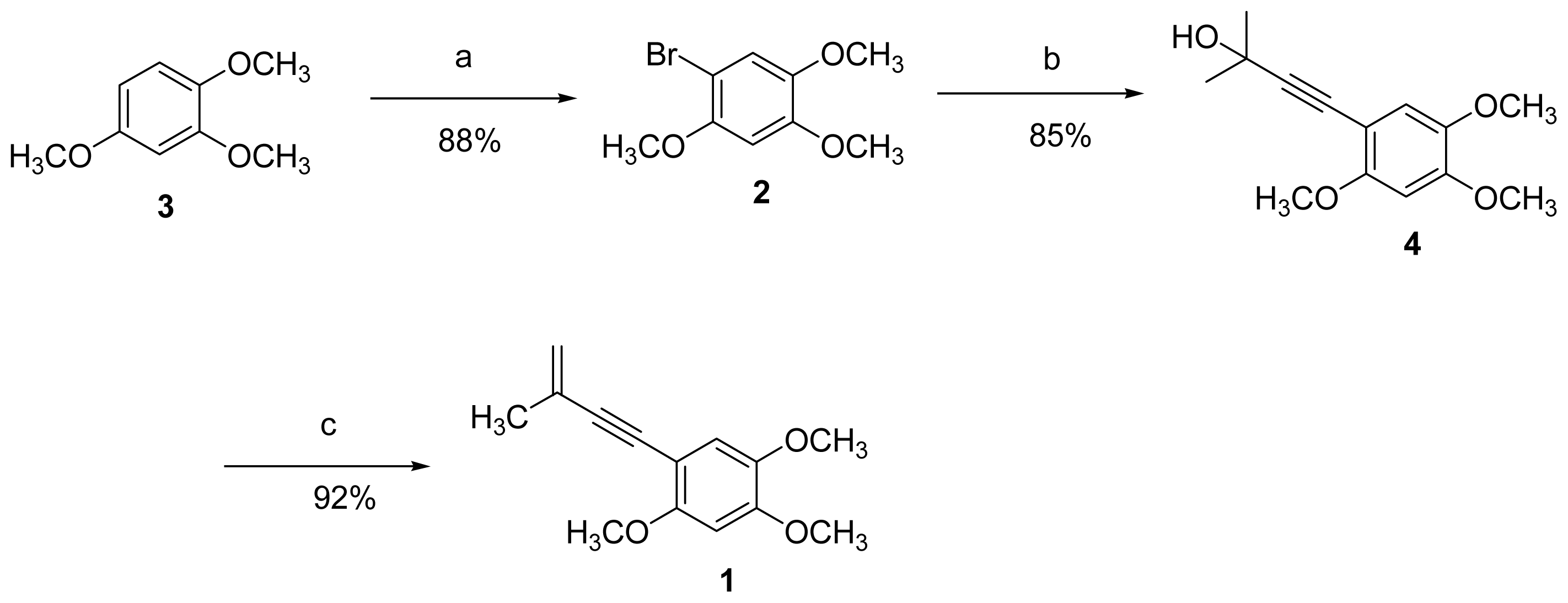
2.2. Chemistry
2.3. Anti-Inflammatory Activity
3. Experimental Section
3.1. General
3.2. Extraction and Isolation
3.3. Preparation of the Compound (1)
Synthesis of 1-bromo-2,3,5-trimethoxybenzene (2)
Synthesis of 2-methyl-4-(2,4,5-trimethoxyphenyl)but-3-yn-2-ol (4)
Synthesis of benzocamphorin F (1)
3.4. Microglial Cell Culture and Measurement of Nitric Oxide (NO)
3.5. Measurement of NADPH Oxidase Activity
3.6. Measurement of DPPH Radical Scavenging Capacity
4. Conclusions
Acknowledgments
- Conflict of InterestThe authors have no conflict of interest to report.
References
- Hsieh, Y.H.; Chu, F.H.; Wang, Y.S.; Chien, S.C.; Chang, S.T.; Shaw, J.F.; Chen, C.Y.; Hsiao, W.W.; Kuo, Y.H.; Wang, S.Y. Antrocamphin A, an anti-inflammatory principal from the fruiting body of Taiwanofungus camphoratus, and its mechanisms. J. Agric. Food Chem 2010, 58, 3153–3158. [Google Scholar]
- Chen, J.J.; Lin, W.J.; Liao, C.H.; Shieh, P.C. Anti-inflammatory benzenoids from Antrodia camphorata. J. Nat. Prod 2007, 70, 989–992. [Google Scholar]
- Wu, S.H.; Yu, Z.H.; Dai, Y.C.; Chen, C.T.; Su, C.H.; Chen, L.C.; Hsu, W.C.; Hwang, G.Y. Taiwannofungus, a polypore new genus. Fungal Sci 2004, 19, 109–116. [Google Scholar]
- Tsai, Z.T.; Liaw, S.L. The Use and the Effect of Ganoderma. Sang-Yun Press: Taichung, Taiwan, 1982; p. 116. [Google Scholar]
- Chen, C.J.; Su, C.H.; Lan, M.H. Study on solid cultivation and bioactivity of Antrodia camphorata. Fungal Sci 2001, 16, 65–72. [Google Scholar]
- Liu, D.Z.; Liang, H.J.; Chen, C.H.; Su, C.H.; Lee, Z.H.; Huang, C.T.; Hou, W.C.; Lin, S.Y.; Zhong, W.B.; Lin, P.J.; et al. Comparative anti-inflammatory characterization of wild fruiting body, liquid-state fermentation, and solid-state culture of Taiwanofungus camphoratus in microglia and the mechanism of its action. J. Ethnopharmacol 2007, 113, 45–53. [Google Scholar]
- Rao, Y.K.; Fang, S.H.; Tzeng, Y.M. Evaluation of the anti-inflammatory and anti-proliferation tumoral cells activities of Antrodia camphorata, Cordyceps sinensis, and Cinnamomum osmophloeum bark extracts. J. Ethnopharmacol 2007, 114, 78–85. [Google Scholar]
- Wu, S.J.; Leu, Y.L.; Chen, C.H.; Chao, C.H.; Shen, D.Y.; Chan, H.H.; Lee, E.J.; Wu, T.S. Camphoratins A–J, potent cytotoxic and anti-inflammatory triterpenoids from the fruiting body of Taiwanofungus camphoratus. J. Nat. Prod 2011, 73, 1756–1762. [Google Scholar]
- Shi, L.S.; Chao, C.H.; Shen, D.Y.; Chan, H.H.; Chen, C.H.; Wu, S.J.; Leu, Y.L.; Shen, Y.C.; Kuo, Y.H.; Lee, E.J.; et al. The constituents and biological activities from the fruiting body of Taiwanofungus camphoratus. Bioorg. Med. Chem 2011, 19, 677–683. [Google Scholar]
- Lee, C.L.; Huang, C.H.; Wang, H.C.; Chuang, D.W.; Wu, M.J.; Wang, S.Y.; Hwang, T.L.; Wu, C.C.; Chen, Y.L.; Chang, F.R.; et al. First total synthesis of antrocamphin A and its analogs as anti-inflammatory and anti-platelet aggregation agents. Org. Biomol. Chem 2011, 9, 70–73. [Google Scholar]
- Mao, H.; Fieber, L.A.; Gawley, R.E. Novel modulator of NaV1.1 and NaV1.2 Na+ channels in rat neuronal cells. ACS Med. Chem. Lett 2010, 1, 135–138. [Google Scholar]
- Bates, R.W.; Gabel, C.J.; Ji, J.; Thota, R.D. Synthesis of phenolic natural products using palladium catalyzed coupling reactions. Tetrahedron 1995, 51, 8199–8212. [Google Scholar]
- Varma, R.S.; Dahiya, R.; Kumar, S. Micro-wave- assisted henry reaction: Solventless synthesis of conjugated nitroalkenes. Tetrahedron Lett 1997, 38, 5131–5134. [Google Scholar]
- Wang, Y.H.; Wang, W.Y.; Chang, C.C.; Liou, K.T.; Sung, Y.J.; Liao, J.F.; Chen, C.F.; Chang, S.; Hou, Y.C.; Chou, Y.C.; et al. Taxifolin ameliorates cerebral ischemia- reperfusion injury in rats through its anti-oxidative effect and modulation of NF-kappa B activation. J. Biomed. Sci 2006, 13, 127–141. [Google Scholar]




| Positions | δH (ppm) | δC (ppm) | HMBC |
|---|---|---|---|
| 1 | / | 155.3 (C) | |
| 2 | / | 142.9 (C) | |
| 3 | 6.91 (s, 1H) | 116.0 (CH) | C-1, C-2, C-4, C-5, C-1′ |
| 4 | / | 103.4 (C) | |
| 5 | / | 150.3 (C) | |
| 6 | 6.48 (s, 1H) | 97.4 (CH) | C-1, C-2, C-4, C-5 |
| 7 | 3.88 (s, 3H) | 56.9 (CH3) | C-1 |
| 8 | 3.84 (s, 3H) | 56.4 (CH3) | C-2 |
| 9 | 3.90 (s, 3H) | 56.0 (CH3) | C-5 |
| 1′ | / | 93.5 (C) | |
| 2′ | / | 84.7 (C) | |
| 3′ | / | 127.0 (C) | |
| 4′ | 5.26 (s, 1H) 5.38 (s, 1H) | 121.2 (CH2) | C-2′, C-3′, C-5′ |
| 5′ | 2.00 (s, 3H) | 23.6 (CH3) | C-2′, C-3′, C-4′ |
| Compound | IC50 (μM) | ||
|---|---|---|---|
| NOS | NOX | DPPH | |
| 1 | 8.6 ± 2.7 * | 74.4 ± 9.5 | NA |
| l-NAME | 12.0 ± 0.6 | NA | NA |
| DPI | NA | 0.96 ± 0.06 | NA |
| Trolox | NA | NA | 21.3 ± 1.6 |
© 2012 by the authors; licensee Molecular Diversity Preservation International, Basel, Switzerland. This article is an open-access article distributed under the terms and conditions of the Creative Commons Attribution license (http://creativecommons.org/licenses/by/3.0/).
Share and Cite
Liao, Y.-R.; Kuo, P.-C.; Liang, J.-W.; Shen, Y.-C.; Wu, T.-S. An Efficient Total Synthesis of a Potent Anti-Inflammatory Agent, Benzocamphorin F, and Its Anti-Inflammatory Activity. Int. J. Mol. Sci. 2012, 13, 10432-10440. https://doi.org/10.3390/ijms130810432
Liao Y-R, Kuo P-C, Liang J-W, Shen Y-C, Wu T-S. An Efficient Total Synthesis of a Potent Anti-Inflammatory Agent, Benzocamphorin F, and Its Anti-Inflammatory Activity. International Journal of Molecular Sciences. 2012; 13(8):10432-10440. https://doi.org/10.3390/ijms130810432
Chicago/Turabian StyleLiao, Yu-Ren, Ping-Chung Kuo, Jun-Weil Liang, Yuh-Chiang Shen, and Tian-Shung Wu. 2012. "An Efficient Total Synthesis of a Potent Anti-Inflammatory Agent, Benzocamphorin F, and Its Anti-Inflammatory Activity" International Journal of Molecular Sciences 13, no. 8: 10432-10440. https://doi.org/10.3390/ijms130810432
APA StyleLiao, Y.-R., Kuo, P.-C., Liang, J.-W., Shen, Y.-C., & Wu, T.-S. (2012). An Efficient Total Synthesis of a Potent Anti-Inflammatory Agent, Benzocamphorin F, and Its Anti-Inflammatory Activity. International Journal of Molecular Sciences, 13(8), 10432-10440. https://doi.org/10.3390/ijms130810432
