Improved Synthesis of 5-Substituted 1H-Tetrazoles via the [3+2] Cycloaddition of Nitriles and Sodium Azide Catalyzed by Silica Sulfuric Acid
Abstract
:1. Introduction
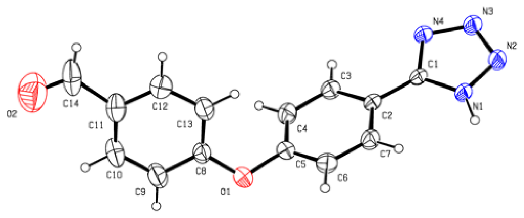
2. Results and Discussion
3. Experimental Section
4. Conclusions
Acknowledgments
References
- Ostrovskii, V.A.; Koldobskii, G.I.; Trifonov, R.E. Tetrazoles. In Comprehensive Heterocyclic Chemistry III; Elsevier: Oxford, UK, 2008; Volume 6, p. 257. [Google Scholar]
- Bulter, R.N. Comprehensive Heterocyclic Chemistry II; Pergamon: New York, NY, USA, 1996; Volume 4, p. 621. [Google Scholar]
- Mukhopadhyay, S.; Lasri, J.; Guedes da Silva, M.F.C.; Januário Charmier, M.A.; Pombeiro, A.J.L. Activation of C–CN bond of propionitrile: An alternative route to the syntheses of 5-substituted- 1H-tetrazoles and dicyano-platinum(II) species. Polyhedron 2008, 27, 2883–2888. [Google Scholar]
- Zhang, Z.Y.; Yang, F.K. Syntheses of 5-[5-(3-pyridinyl)-2H-tetrazolylmethylene]-2-aroylamino- 1,3,4-triadizoles. Chin. Org. Chem 1994, 14, 553–554. [Google Scholar]
- Miller, A.E.; Feenev, D.J.; Ma, Y. Synthesis of N-(5-Tetrazolyl)-N′-(aryloxyacetyl)urea. Syn. Commun 1990, 20, 217–226. [Google Scholar]
- Holland, G.F.; Pereira, J.N. Heterocyclic Tetrazoles, a New Class of Lipolysis Inhibitors1. J. Med. Chem 1967, 10, 149–154. [Google Scholar]
- Pinkerton, A.B.; Vernier, J.-M.; Schaffhauser, H.; Rowe, B.A.; Campbell, U.C.; Rodriguez, D.E.; Lorrain, D.S.; Baccei, C.S.; Daggett, L.P.; Bristow, L.J. Phenyl-tetrazolyl acetophenones: Discovery of positive allosteric potentiatiors for the metabotropic glutamate 2 receptor. J. Med. Chem 2004, 47, 4595–4599. [Google Scholar]
- Govek, S.P.; Bonnefous, C.; Hutchinson, J.H.; Kamenecka, T.; McQuiston, J.; Pracitto, R.; Zhao, L.X.; Gardner, M.F.; James, J.K.; Daggett, L.P.; et al. Benzazoles as allosteric potentiators of metabotropic glutamate receptor 2 (mGluR2): Efficacy in an animal model for schizophrenia. Bioorg. Med. Chem. Lett 2005, 15, 4068–4072. [Google Scholar]
- Pinkerton, A.B.; Cube, R.V.; Hutchinson, J.H.; Rowe, B.A.; Schaffhauser, H.; Zhao, X.; Daggett, L.P.; Vernier, J.-M. Allosteric potentiators of the metabotropic glutamate receptor 2 (mGlu2). Part 1: Identification and synthesis of phenyl-tetrazolyl acetophenones. Bioorg. Med. Chem. Lett 2004, 14, 5329–5332. [Google Scholar]
- Blakemore, P.R.; Cole, W.J.; Kocieński, P.J.; Morley, A. A Stereoselective synthesis of trans-1,2-disubstituted alkenes based on the condensation of aldehydes with metallated 1-phenyl-1H-tetrazol-5-yl sulfones. Synlett 1998, 1998, 26–28. [Google Scholar]
- Pospíšil, J.; Markó, I.E. Efficient and stereoselective synthesis of allylic ethers and alcohols. Org. Lett 2006, 8, 5983–5986. [Google Scholar]
- Tamagaki, S.; Card, R.J.; Neckers, D.C. (Polystyrylbipyridine)(tetracarbonyl)tungsten. An active, reusable heterogeneous catalyst for metathesis of internal olefins. J. Am. Chem. Soc 1978, 100, 6635–6639. [Google Scholar]
- Zimmerman, D.M.; Olofson, R.A. The rapid synthesis of 1-substituted tetrazoles. Tetrahedron Lett 1969, 10, 5081–5084. [Google Scholar]
- Carini, D.J.; Duncia, J.V.; Aldrich, P.E.; Chiu, A.T.; Johnson, A.L.; Pierce, M.E.; Price, W.A.; Santella, J.B.; Wells, G.J. Nonpeptide angiotensin II receptor antagonists: The discovery of a series of N-(biphenylylmethyl)imidazoles as potent, orally active antihypertensives. J. Med. Chem 1991, 34, 2525–2547. [Google Scholar]
- Demko, Z.P.; Sharpless, K.B. Preparation of 5-substituted 1H-tetrazoles from nitriles in water. J. Org. Chem 2001, 66, 7945–7950. [Google Scholar]
- Himo, F.; Demko, Z.P.; Noodleman, L.; Sharpless, K.B. Mechanisms of tetrazole formation by addition of azide to nitriles. J. Am. Chem. Soc 2002, 124, 12210–12216. [Google Scholar]
- Matthews, D.P.; Green, J.E.; Shuker, A.J. Parallel synthesis of alkyl tetrazole derivatives using solid support chemistry. J. Comb. Chem 2000, 2, 19–23. [Google Scholar]
- Koguro, K.; Oga, T.; Mitsui, S.; Orita, R. Novel synthesis of 5-substituted tetrazole from nitriles. Synthesis 1998, 1998, 910–914. [Google Scholar]
- Kumar, A.; Narayanan, R.; Shechter, H. Rearrangement reactions of (Hydroxyphenyl)carbenes. J. Org. Chem 1996, 61, 4462–4465. [Google Scholar]
- Amantini, D.; Beleggia, R.; Fringuelli, F.; Pizzo, F.; Vaccaro, L. TBAF-catalyzed synthesis of 5-substituted 1H-tetrazoles under solventless conditions. J. Org. Chem 2004, 69, 2896–2898. [Google Scholar]
- Gyoung, Y.S.; Shim, J.-G.; Yamamoto, Y. Regiospecific synthesis of 2-allylated-5-substituted tetrazoles via palladium-catalyzed reaction of nitriles, trimethylsilyl azide, and allyl acetates. Tetrahedron Lett 2000, 41, 4193–4196. [Google Scholar]
- Kantam, M.L.; Shiva Kumar, K.B.; Phani Raja, K. An efficient synthesis of 5-substituted 1H-tetrazoles using Zn/Al hydrotalcite catalyst. J. Mol. Catal. A Chem 2006, 247, 186–188. [Google Scholar]
- Lakshmi Kantam, M.; Kumar, K.B.S.; Sridhar, C. Nanocrystalline ZnO as an efficient heterogeneous catalyst for the synthesis of 5-substituted 1H-tetrazoles. Adv. Synth. Catal 2005, 347, 1212–1214. [Google Scholar]
- Aridoss, G.; Laali, K.K. Highly efficient synthesis of 5-substituted 1H-tetrazoles catalyzed by Cu-Zn alloy nanopowder, conversion into 1,5- and 2,5-disubstituted tetrazoles, and synthesis and NMR studies of new tetrazolium ionic liquids. Eur. J. Org. Chem 2011, 2011, 6343–6355. [Google Scholar]
- Jin, T.; Kitahara, F.; Kamijo, S.; Yamamoto, Y. Copper-catalyzed synthesis of 5-substituted 1H-tetrazoles via the [3+2] cycloaddition of nitriles and trimethylsilyl azide. Tetrahedron Lett 2008, 49, 2824–2827. [Google Scholar]
- Nasrollahzadeh, M.; Bayat, Y.; Habibi, D.; Moshaee, S. FeCl3-SiO2 as a reusable heterogeneous catalyst for the synthesis of 5-substituted 1H-tetrazoles via [2+3] cycloaddition of nitriles and sodium azide. Tetrahedron Lett 2009, 50, 4435–4438. [Google Scholar]
- Shirini, F.; Zolfigol, M.A.; Salehi, P. Silica sulfuric acid and silica chloride as efficient reagents for organic reactions. Curr. Org. Chem 2006, 10, 2171–2189. [Google Scholar]
- Shaterian, H.R.; Ghashang, M.; Feyzi, M. Silica sulfuric acid as an efficient catalyst for the preparation of 2H-indazolo[2,1-b]phthalazine-triones. Appl. Catal. A 2008, 345, 128–133. [Google Scholar]
- Salehi, P.; Dabiri, M.; Zolfigol, M.A.; Bodaghi Fard, M.A. Silica sulfuric acid: An efficient and reusable catalyst for the one-pot synthesis of 3,4-dihydropyrimidin-2(1H)-ones. Tetrahedron Lett 2003, 44, 2889–2891. [Google Scholar]
- Lu, J.; Xu, J.; Ni, L.-W.; Ma, W.-L.; Du, Z.-T. 4-[4-(1H-Tetrazol-5-yl)phenoxy]benzaldehyde. Acta Crystallogr. E 2011, 67. [Google Scholar] [CrossRef]

| Entry | Solvent | Time | mol Ratio of SiO2-H2SO4 | Yield (100%) |
|---|---|---|---|---|
| 1 | Methanol | 12 | 50% | <10 |
| 2 | Ethanol | 12 | 50% | 10 |
| 3 | Toulene | 12 | 50% | 5 |
| 4 | Chloroform | 12 | 50% | No reaction |
| 5 | DMF | 5 | 50% | 92 |
| 6 | DMSO | 5 | 50% | 89 |
| 7 | DMF | 10 | 50% | 85 |
| 8 | DMF | 5 | 200% | 93 |
| Entry | Nitriles | Tetrazoles | Yield (%) |
|---|---|---|---|
| 1 | ![]() | ![]() | 88 |
| 2 | ![]() | ![]() | 72 |
| 3 | ![]() | ![]() | 88 |
| 4 | ![]() | ![]() | 79 |
| 5 | ![]() | ![]() | 88 |
| 6 | ![]() | ![]() | 95 |
| 7 | ![]() | ![]() | 92 |
| 8 | ![]() | ![]() | 74 |
| 9 | ![]() | ![]() | 72 |
| 10 | ![]() | ![]() | 88 |
| 11 | ![]() | ![]() | 80 |
| 12 | ![]() | ![]() | 76 |
© 2012 by the authors; licensee Molecular Diversity Preservation International, Basel, Switzerland. This article is an open-access article distributed under the terms and conditions of the Creative Commons Attribution license (http://creativecommons.org/licenses/by/3.0/).
Share and Cite
Du, Z.; Si, C.; Li, Y.; Wang, Y.; Lu, J. Improved Synthesis of 5-Substituted 1H-Tetrazoles via the [3+2] Cycloaddition of Nitriles and Sodium Azide Catalyzed by Silica Sulfuric Acid. Int. J. Mol. Sci. 2012, 13, 4696-4703. https://doi.org/10.3390/ijms13044696
Du Z, Si C, Li Y, Wang Y, Lu J. Improved Synthesis of 5-Substituted 1H-Tetrazoles via the [3+2] Cycloaddition of Nitriles and Sodium Azide Catalyzed by Silica Sulfuric Acid. International Journal of Molecular Sciences. 2012; 13(4):4696-4703. https://doi.org/10.3390/ijms13044696
Chicago/Turabian StyleDu, Zhenting, Changmei Si, Youqiang Li, Yin Wang, and Jing Lu. 2012. "Improved Synthesis of 5-Substituted 1H-Tetrazoles via the [3+2] Cycloaddition of Nitriles and Sodium Azide Catalyzed by Silica Sulfuric Acid" International Journal of Molecular Sciences 13, no. 4: 4696-4703. https://doi.org/10.3390/ijms13044696
APA StyleDu, Z., Si, C., Li, Y., Wang, Y., & Lu, J. (2012). Improved Synthesis of 5-Substituted 1H-Tetrazoles via the [3+2] Cycloaddition of Nitriles and Sodium Azide Catalyzed by Silica Sulfuric Acid. International Journal of Molecular Sciences, 13(4), 4696-4703. https://doi.org/10.3390/ijms13044696
























