Abstract
The sign preference of hydrogen bonded aqueous ionic clusters X±(H2O)i (n =1–5, X = F; Cl; Br) has been investigated using the Density Functional Theory and ab initio MP2 method. The present study indicates the anomalously large difference in formation free energies between cations and anions of identical chemical composition. The effect of vibrational anharmonicity on stepwise Gibbs free energy changes has been investigated, and possible uncertainties associated with the harmonic treatment of vibrational spectra have been discussed.
1. Introduction
The importance of a clear and insight understanding of ion-induced nucleation phenomena for a number of issues related to the Earth climate, air quality, public health and various technologies is well established [1–8]. Although the importance of the ion-induced nucleation became recognized long time ago, the pronounced ion sign effect on nucleation rates observed in Wilson’s pioneering experiments [1] in the cloud chamber and known as a sign preference has remained a mystery up until now. Castleman and Tang [6] stated over 30 years ago that “understanding the effect of ions would be very difficult, or even impossible, if the ion’s specific chemical characteristics had a significant effect on their nucleating efficiency”. Recently, Nadykto et al. [5] pointed out that the strong effect of ion properties on nucleation rates is essentially quantum in nature, and is controlled by the electronic structure of the core ion through the influence on the intermolecular bonding energies during the initial steps of cluster formation. While core ions considered in [5] differ in both sign and chemical composition, species presented in this study differ in sign only. This allows separating the “sign” and “composition” effects and permits explicit treatment of the “pure” sign preference in aqueous systems. In the present Communication, the thermochemical properties of aqueous clusters X±(H2O)i (n = 1–5, X = F; Cl; Br) have been studied using the quantum theory at DFT-PW91PW91/6-311++G(3df,3pd) level. The main goals of the present Communication are to quantify the effect of the ion sign on the thermochemical properties of aqueous clusters of identical chemical composition and to estimate the effect of vibrational anharmonicity on the computed free energies.
2. Methods
Initial generated structures were treated initially by semi-empirical PM3 method and then by PW91PW91/6-31+G*. Finally, the most stable (within ∼4 kcal/mole from the lowest energy isomer) structures obtained at PW91PW91/6-31+G* level have been optimized at PW91PW91/6-311++G(3df.3pd) level. PW91PW91/6-311++G(3df,3pd) has been used to obtain both equilibrium geometries and thermochemical properties from computed vibrational spectrums. The PW91PW91 density functional has been used in the combination with the largest Pople basis set 6-311++G(3df,3pd) that provides quite small basis set superposition error (BSSE). In order to ensure the quality of the obtained DFT results, additional MP2/6-311++G(3df,3pd) calculations, both harmonic and anharmonic, have been carried out.
3. Results and Discussion
3.1. Difference in Formation Free Energies Between Cations and Anions
The interest to stepwise Gibbs free energy changes as standalone quantities is related directly to very high sensitivity of nucleation rates to the thermochemistry of initial cluster growth steps. Figure 1 presents the geometries of most stable isomers of Cl+ (H2O)i and Cl− (H2O)i. In addition to most stable isomers, a number of less stable conformers/local minima located within ∼ 5 kcal mol−1 of the most stable isomer/global minimum (1–5 for each n) have been identified for all the species F±(H2O)i, Cl±(H2O)i, and Br±(H2O)i. Structures of clusters of the same ion sign F+(H2O)i, Cl+(H2O)i and Br+(H2O)i, and F−(H2O)i, Cl−(H2O)i and Br−(H2O)i are similar, while structures of the clusters of the same composition and different sign are quite different. As may be seen from Figure 1, the water molecule in Cl−(H2O)i is bonded to the core ion via H-Cl bond, while that in Cl+(H2O)i is bonded to the ions via the shorter O-Cl bond. Similar pattern is observed in the case of F+(H2O)i, and F−(H2O)i, and Br+(H2O)i and Br−(H2O)i.

Figure 1.
Structures and geometric properties of most stable isomers of Cl±(H2O)i, (a) Cl− (H2O); (b) Cl+(H2O); (c) Cl−(H2O)2; (d) Cl+(H2O)2; (e) Cl−(H2O)3; (f) Cl+(H2O)3; (g) Cl−(H2O)4; (k) Cl+(H2O)4; (l) Cl−(H2O)5; (m) Cl+(H2O)5.
The difference in the cluster structure has direct impact on the stepwise Gibbs free energy changes associated with the addition of water molecules to the ionic clusters. Figure 2 presents the stepwise Gibbs free energies associated with X±(H2O)i−1+ (H2O) ⇔ X±(H2O)i reaction.

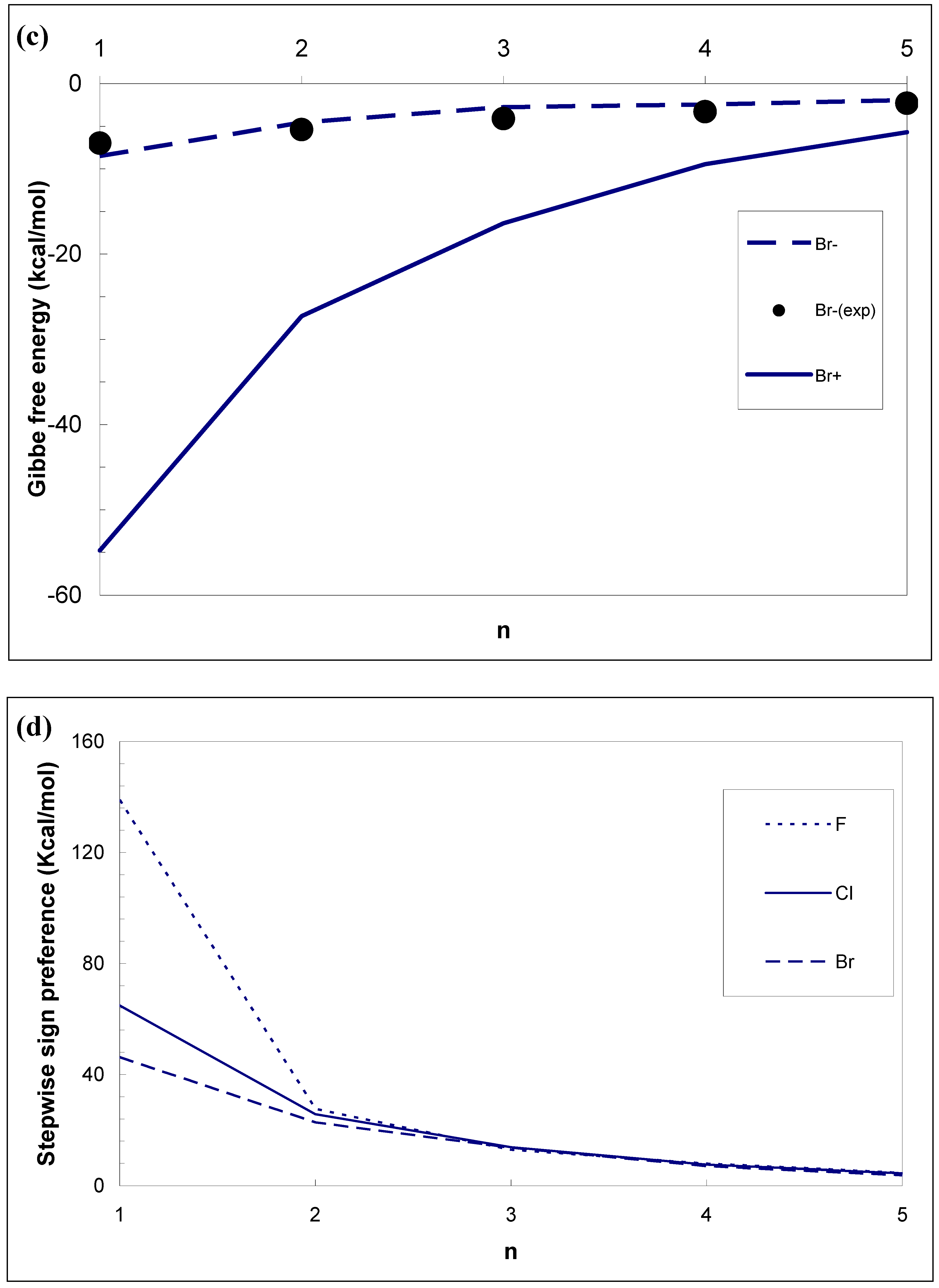
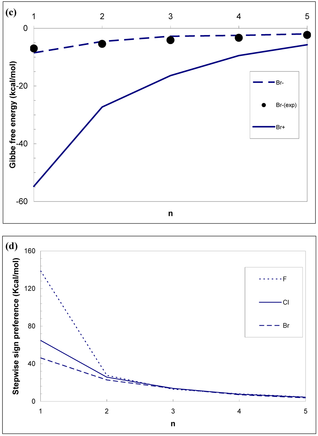
Figure 2.
Comparison of experimental and theoretical values of the stepwise Gibbs free energy change ΔGn−1,n for X±(H2O)i−1+ (H2O) ⇔ X±(H2O)i reactions (a, b, c), and the difference in the Gibbs free energy δ(j) between j-mers formed over core ions of opposite sign (d). Curves and symbols of refer to theoretical results and experimental data, respectively. Experimental data and theoretical data for F−(H2O)n, Cl−(H2O) and Br−(H2O)n, were adopted from [11], [5] and [10], respectively. The calculations were performed at the ambient temperature of 298.15 K and ambient pressure of 101.3 KPa.
As seen from Figure 2, cations have great growth advantage over anions. The difference in the Gibbs free energy is largely associated with the formation enthalpy and it decreases dramatically with the number of molecules in the clusters. The sign preference at the first growth steps is very strong, and the difference in the stepwise Gibbs free energy changes ΔG0,1 for F±(H2O)i, Cl±(H2O)i and Br±(H2O)i reaches ∼140, 45 and 65 kcal mole−1, respectively. This means that cations are much more efficient as nucleators of unary water vapours than anions of identical chemical composition. The stepwise changes in the Gibbs free energies correlate quit well with the mean ion sizes. For example, the hydration of the smallest ion F+(H2O) of 0.149 nm in size (based on the volume calculation) is much stronger than that of bigger Cl− (H2O) (0.262 nm), Cl+ (H2O) (0.2 nm), Br−(H2O) (0.283 nm), Br+ (H2O)(0.23 nm) and F−(H2O) (0.194 nm).
It is important to note that the sign preference of Cl±(H2O)n obtained in molecular-based studies using empirical interaction potential (TI4P) has a different sign. Moreover, the difference between quantum results and Monte-Carlo model predictions using empirical TIP4P water model is excessively large. While the Monte Carlo model [12–13] predicts the thermochemistry of Cl−(H2O)n in a good agreement with the present results and experimental data, its deviation in Gibbs free energy for Cl+(H2O)n [13] from the present study exceeds several tens of kcal mole−1.
3.2. Vibrational Anharmonicity
Ongoing discussion [7–8] about the validity of the commonly used harmonic approximation motivated us to perform additional analysis of harmonic and anharmonic cluster spectra and validate them against available experimental data. Tables 1, 2 and 3 present the comparison of the theoretical PW91PW91/6-311++G(3df,3pd) and MP2/6-311++G(3df,3pd) results obtained using the harmonic approximation with anharmonic results and experimental data.
Table 1.
Experimental and theoretical frequencies of F−(H2O) (cm−1). Subscripts H and A refer to harmonic and anharmonic calculations, respectively.
Table 2.
Experimental and theoretical frequencies of Cl−(H2O) (cm−1). Subscripts H and A refer to harmonic and anharmonic calculations, respectively.
Table 3.
Experimental and theoretical frequencies of Br−(H2O) (cm−1). Subscripts H and A refer to harmonic and anharmonic calculations, respectively.
Tables 1, 2 and 3 show clearly that the performance of the harmonic approximation implemented in the framework of the PW91PW91/6-311++G(3df,3pd) method is well beyond satisfactory in all the cases studied here. It is important to note that the application of the anharmonic correction [19] does not lead to any substantial improvement in the theoretical predictions.
Another important indication of the reasonable performance of the harmonic approximation implemented in the frame of DFT PW91PW91/6-311++G(3df,3pd) method has been obtained from the comparison of Zero Point Energies (ZPE) computed using the harmonic and anharmonic approximation. As seen from Figure 3 and Table 4, the difference between the harmonic and anharmonic ZPE typically does not exceed 2–3 %. This finding is in excellent agreement with the recent MP2 study [14] of pure water clusters. Another important detail is that DFT results are in good agreement with ab initio MP2 predictions. The contribution of the vibrational anharmonicity to the computed Gibbs free energies does not exceed 0.03–0.2 kcal mol−1. This leads us to conclude that anharmonicity is unlikely a source of large uncertainties in the computed Gibbs free energies in all the cases studied here.
Figure 3.
Ratio of anharmonic ZPE to harmonic ZPE.
Table 4.
Ratio of anharmonic ZPE to harmonic ZPE.
3. Conclusions
The present study leads us to the following conclusions:
- The effect of ion sign on the formation free energies of aqueous ionic clusters of identical chemical composition is very strong. For example, the difference in the stepwise Gibbs free energy changes ΔG0,1 for F±(H2O)i, Cl±(H2O)i and Br±(H2O)i reaches ∼ 140, 65 and 45 kcal mole−1, respectively. It is important to note that the positive sign preference found for unary water vapours does not contradict with the opposite (negative) sign preference observed in recent experiments in binary sulfuric acid-water vapours [20–22]. In contrast to unary clusters, whose stability is controlled by the affinity of water monomers to ions, the stability of more complex binary clusters studied by Froyd and Lovejoy [20,21] and Sorokin et al. [22] is controlled by two somewhat competing factors : affinities of H2O and H2SO4 to the ions. While the affinity of water to cations is stronger than that to anions, the affinity of H2SO4, the key binary nucleation precursor, to ions exhibits the opposite behavior. This leads, due to the very large difference in the affinity of H2SO4 between anions and cations, to the negative sign preference observed in the experiments [23].
- The harmonic approximation implemented in the framework of the DFT works well in the case of aqueous ionic clusters. Both DFT and ab initio MP2 studies show that the effect of vibrational anharmonicity is mild, and is unlikely a source of large uncertainties in computed free energies.
Acknowledgments
Support of this work by the U.S. National Science Foundation under grant 0618124 is gratefully acknowledged.
References
- Wilson, CTR. Condensation of water vapour in the presence of dust-free air and other gases. Phil. Trans. R. Soc. London A 1897, 189, 265–307. [Google Scholar]
- Yu, F; Turco, RP. From molecular clusters to nanoparticles: The role of ambient ionization in tropospheric aerosol formation. Geophys. Res. Lett. 2000, 27, 883–887. [Google Scholar]
- Lee, S-H; Reeves, JM; Wilson, JC; Hunton, DE; Viggiano, AA; Miller, TM; Ballenthin, JO; Lait, LR. Particle formation by ion nucleation in the upper troposphere and lower stratosphere. Science 2003, 301, 1886–1889. [Google Scholar]
- Nadykto, AB; Yu, F. Dipole of condensing monomers: A new parameter controlling ion-induced nucleation. Phys. Rev. Lett. 2004, 93, 016101–016104. [Google Scholar]
- Nadykto, AB; Al Natsheh, A; Yu, F; Mikkelsen, KV; Russkanen, J. Qunatum nature of the sign preference in ion-induced nucleation. Phys. Rev. Lett. 2006, 96, 125701–125704. [Google Scholar]
- Castleman, AW, Jr; Tang, IN. Role of small clusters in nucleation about ions. J. Chem. Phys. 1972, 57, 3629–3638. [Google Scholar]
- Kathmann, SM; Schenter, GK; Garrett, BC. Comment. Phys. Rev. Lett. 2007, 98, 109603. [Google Scholar]
- Nadykto, AB; Al Natsheh, A; Yu, F; Mikkelsen, KV; Russkanen, J. Reply Comment. Phys. Rev. Lett. 2007, 98, 109604. [Google Scholar]
- Frisch, MJ; Trucks, GW; Schlegel, HB; Scuseria, GE; Robb, MA; Cheeseman, JR; Montgomery, JA, Jr; Vreven, T; Kudin, KN; Burant, JC; et al. . Gaussian 03, Gaussian. Inc., Walingford, CT, 2004.
- Arshadi, M; Yamdagni, R; Kebarle, P. Hydration of halide negative ions in the gas phase. II. Comparison of hydration energies for the alkali positive and halide negative ions. J. Phys. Chem. 1970, 74, 1475–1489. [Google Scholar]
- Hiraoka, K; Mizuse, S; Yamabe, S. Solvation of halide ions with H2O and CH3CN in the gas phase. J. Phys. Chem. 1988, 92, 3943–3957. [Google Scholar]
- Kathmann, SM; Schenter, GK; Garrett, BC. The critical role of anharmonicity in aqueous ionic clusters relevant to nucleation. J. Phys. Chem. C 2007, 111, 4977–4983. [Google Scholar]
- Kathmann, SM; Schenter, GK; Garrett, BC. Ion-induced nucleation: The importance of chemistry. Phys. Rev. Lett. 2005, 94, 116104–116107. [Google Scholar]
- Diri, K; Myshakin, EM; Jordan, KD. On the contribution of vibrational anharmonicity to the binding energies of water clusters. J. Phys. Chem. A 2005, 109, 4005–4009. [Google Scholar]
- Chaban, GM; Jung, JO; Gerber, RB. Anharmonic vibrational spectroscopy of hydrogen-bonded systems directly computed from ab initio potential surfaces: (H2O)n, n = 2, 3; Cl−(H2O)n, n = l, 2; H+(H2O)n, n = l, 2; H2O-CH3OH. J. Phys. Chem. A 2000, 104, 2772–2779. [Google Scholar]
- Xantheas, SS. Anharmonic vibrational spectra of hydrogen bonded clusters: Comparison between higher energy derivative and mean-field grid based methods. Intern. Rev. Phys. Chem. 2006, 25, 719–733. [Google Scholar]
- Roscioli, JR; Diken, EG; Johnson, MA; Horvath, S; McCoy, AB. Prying apart a water molecule with anionic H-bonding: A comparative spectroscopic study of the X-H2O (X = OH, O, F, Cl, and Br) binary complexes in the 600–3800 cm-1 region. J. Phys. Chem. A 2006, 110, 4943–4952. [Google Scholar]
- Ayotte, P; Weddie, GH; Kim, J; Johnson, MA. Vibrational spectroscopy of the ionic hydrogen bond: Fermi resonances and ion-molecule stretching frequencies in the binary X-·H2O (X = Cl, Br, I) complexes via argon predissociation spectroscopy. J Am ChemSoc 1998, 120, 12361–12362. [Google Scholar]
- Barone, V. Anharmonic vibrational properties by a fully automated second-order perturbative approach. J Chem Phys 2005, 122, 1–10. [Google Scholar]
- Froyd, KD; Lovejoy, ER. Experimental thermodynamics of cluster ions composed of H2SO4 and H2O. 1. Positive ions. J. Phys. Chem. A 2003, 107, 9800–9811. [Google Scholar]
- Froyd, KD; Lovejoy, ER. Experimental thermodynamics of cluster ions composed of H2SO4 and H2O. 2. Measurements and ab initio structures of negative ions. J. Phys. Chem. A 2003, 107, 9812–9824. [Google Scholar]
- Sorokin, A; Arnold, F; Wiedner, D. Formation and growth of sulfuric acid-water cluster ions: Experiments, modelling, and implications for ion-induced aerosol formation. Atmospheric Environment 2006, 40, 2030–2045. [Google Scholar]
- Nadykto, AB; Yu, F; Herb, J. Towards understanding the sign preference in binary atmospheric nucleation. Phys. Chem. Chem. Phys. 2008, 10, 7073–7078. [Google Scholar]
© 2009 by the authors; licensee Molecular Diversity Preservation International, Basel, Switzerland. This article is an open-access article distributed under the terms and conditions of the Creative Commons Attribution license ( http://creativecommons.org/licenses/by/3.0/).




