Next Article in Journal / Special Issue
Self-Terminating, Oxidative Radical Cyclizations
Previous Article in Journal / Special Issue
Preparation of Novel Selenopenams by Intramolecular Homolytic Substitution
 
 
Font Type:
Arial Georgia Verdana
Font Size:
Aa Aa Aa
Line Spacing:
Column Width:
Background:
Article

Toward Pyridine-Fused Selenium-Containing Antioxidants

by
Tahli Fenner
and
Carl H. Schiesser
*
School of Chemistry, Bio21 Molecular Science and Biotechnology Institute, The University of Melbourne, Victoria, Australia
*
Author to whom correspondence should be addressed.
Molecules 2004, 9(6), 472-479; https://doi.org/10.3390/90600472
Submission received: 17 February 2004 / Accepted: 21 February 2004 / Published: 31 May 2004
(This article belongs to the Special Issue RACI 2003 symposium)

Abstract

:
Photolysis of the thiohydroximate ester derivative 21 of 2-carboethoxy-2-(2-(benzylseleno)pyridin-3-yl)tridecylcarboxylic acid (20) affords 2-dodecyl-2-carboethoxy-2,3-dihydroselenolo[2,3-b]pyridine (22) in 89% yield in a process presumably involving intramolecular homolytic substitution by a tertiary alkyl radical at selenium with loss of a benzyl radical. Work toward extending this methodology to the preparation of pyridine-fused selenium analogues of antioxidants is described.

Introduction

Interest in selenium containing therapeutics has grown over the last thirty years [1]. Simple organoselenium compounds have been prepared, such as selenazolopyrimidone (1), that show antitumor activity against mouse leukemia [2]. (Aminoethyl)phenylselenide (2) shows excellent antihypertensive activity and selenazine derivatives such as 3 show both antibacterial and antitumor activity [3]. Despite this, the major therapeutic benefit that selenium currently offers appears to be in the form of dietary supplements [4]. Selenium is an essential trace element and dietary deficiency can lead to ailments including gum disease, as well as debilitating conditions such as Keshan’s disease [4e]. The biochemistry and pharmacology of selenium is of intense current interest. Selenium is now know to be intimately involved in the activity of enzymes such as glutathione peroxidase and thioredoxin reductase, that catalyse chemistry essential to the protection of biomolecules against oxidative stress and free radical damage [5].
Molecules 09 00472 i001
Reactive oxygen species (ROS) are a byproduct of normal aerobic metabolism [6]. Superoxide is formed when electrons leaked from the electron transport chain react with molecular oxygen and is also the product of some enzymatic processes [6b,7]. Superoxide dismutase converts superoxide to hydrogen peroxide, which can, in turn, lead to the formation of hydroxyl and lipid peroxyl radicals [6b,7]. Hydroxyl radicals are extremely reactive and can cause damage to important biomolecules that include DNA, while lipid peroxidation has been implicated in diseases such as atherosclerosis [6a,8]. Reactive oxygen species do have some positive roles in biology, such as providing defense against infection [6a,9], however, excessive concentrations of ROS can lead oxidative stress [6a,9]. Nature has evolved clever methods for controlling ROS. Preventative antioxidant enzymes such as glutathione peroxidase remove ROS through redox cycling [5], while chain breaking antioxidants such as Vitamin E, interrupt the chain reactions responsible for the formation of radical species [10]. It should be noted that Vitamin E refers to a family of related compounds known as tocopherols of which α-tocopherol (4) is most potent [10b].
Molecules 09 00472 i002
In recent years there has been much interest in developing new, more potent antioxidants such as Ebselen (5), that also acts as a glutathione peroxidase mimic and is due to be released for human use as a non-steroidal anti-inflammatory [11]. Water-soluble Vitamin E analogues that have been prepared include Trolox (6) [12], while our group has used intramolecular homolytic substitution chemistry to prepare a selenium containing analogue 7 of Vitamin E that possesses dual mode of action [13].
Molecules 09 00472 i003
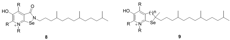
Work in our laboratories has also been directed at the development of water-soluble, dual acting, tocopherol/ebselen hybrids such as 8 and to pyridine-fused tocopherol systems such as 9. Our recent efforts towards the synthesis of the latter system are described below.
Molecules 09 00472 i004

Results and Discussion

Preliminary investigations began with the attempted preparation of model compound 10 that contained many of the salient feature of structures 8 and 9. To that end ethyl 2-chloronicotinate (11) was reacted with sodium benzylselenoate, generated in situ by reduction of dibenzyl diselenide with sodium borohydride, to give ethyl 2-(benzylseleno)nicotinate (12) in 64% yield (Scheme 1).
Scheme 1.
Scheme 1.
Molecules 09 00472 g002
Further reduction with lithium aluminium hydride afforded alcohol 13 in 91% yield. It is interesting to note that the alternative sequence of reactions, namely reduction of the ester 11 followed by treatment with sodium benzylselenoate proceeded only very poorly. We attribute this observation to the electrophilicity of the pyridine ring in the various substrates, specifically that the electron-withdrawing ester substituent is able to increase ring reactivity in a manner that the alcohol can not. The alcohol 13 was further reacted with methanesulfonyl chloride to give the chloride 14 in 92% yield, which was subsequently reacted with t-butyl acetoacetate and base to give the ketoester 15 following the procedure developed by Malmström [13]. Treatment of 15 with concentrated hydrochloric afforded the required ketone 16 in excellent overall yield. Finally, reaction of 16 with n-butylmagnesium bromide gave the desired tertiary alcohol 17 in 86% yield (Scheme 1).
Following our previously published work, we expected that alcohol 17 could be converted into the PTOC oxalate ester, originally described by Barton and Crich as a suitable precursor for the generation of carbon-centred radicals from tertiary alcohols. To our surprise, reaction of 17 with oxalyl chloride , followed by sodium omadine®, afforded none of the desired cyclized product 10, despite the reaction being carried out under a number of different conditions. 1H-NMR spectroscopy of the only identified product suggested strongly that elimination has occurred to afford a mixture of isomeric alkenes (Scheme 2).
Scheme 2.
Scheme 2.
Molecules 09 00472 g003
Given the problems associated with the methodology described above, it became apparent that an alternative method for the generation of the required radical was needed. Following a modification of the procedure described in Scheme 1, chloride 14 was reacted with t-butyl ethyl malonate to afford selenide 18 in moderate (54%) yield (Scheme 3).
Scheme 3.
Scheme 3.
Molecules 09 00472 g004
Further treatment with sodium hydride and 1-bromododecane provided diester 19 in 72% yield, which was selectively deprotected by the action of trifluoroacetic acid to afford 2-carboethoxy-2-(2-(benzylseleno)pyridin-3-yl)tridecylcarboxylic acid (20), suitable for conversion into a radical precursor.
Kim recently described a new method for generating carbon-centred radicals from thiohydroximate esters of carboxylic acids and we have generally found this precursor to be superior to those described by Barton and coworkers [14] for reasons including stability, especially in tertiary systems [15]. Therefore, reaction of N-methyl-hydroxydithiocarbamate and dicyclohexylcarbodiimide (DCC) with 20 afforded precursor 21 which was isolated as a yellow oil after column chromatography. Photolysis of 21 in heptane afforded the target 2-dodecyl-2-carboethoxy-2,3-dihydroselenolo[2,3-b]pyridine (22) in 89% yield. The dihydroselenolo[2,3-b]-pyridine 22 displayed a 77Se-NMR signal at δ °547.6, characteristic of the structurally related selenium heterocycles [16]. Having successfully demonstrated that tertiary carbon-centred radicals, such as 23 are capable of undergoing intramolecular homolytic substitution to afford dihydroselenolo[2,3-b]pyridines such as 22, we next turned our attention to the preparation of a precursor for the synthesis of a six-membered ring such as that found in the initial target compound 10.
Molecules 09 00472 i005
To that end, 2-chloronicotinaldehyde (25) was added to a solution of ethyl propiolate and lithium hexamethyldisilazine in THF at –78°C (Scheme 4).
Scheme 4.
Scheme 4.
Molecules 09 00472 g005
After stirring at –78°C for 4 hours, the reaction was quenched using saturated ammonium chloride solution to give the acetylinic alcohol 26 in 73% yield after purification. It is important that the reaction mixture is quenched at low temperature, as significantly lower yields were obtained when the mixture was allowed to warm addition of the ammonium chloride solution. Hydrogenolysis of alcohol 26 followed by PCC oxidation afforded ketone 27 in poor (36%) yield. Significant amounts of by-product appeared to accompany this transformation. Despite this, ketone (27 was further reacted with sodium benzylselenoate, generated as described above, to afford ethyl 3-oxo-3-(2-(benzylseleno)pyridin-3-yl)butyrate (28) in acceptable yield.
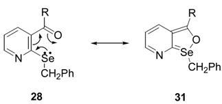
With 28 in hand, the next task was the removal of the ketone functional group. We envisaged that Wolff-Kischner or Clemenson techniques would result in the required compound. Unfortunately, the action of zinc-mercury amalgam (Clemenson reduction) returned only 28, while reaction with alkaline hydrazine (Wolff-Kischner reduction) afforded a single product that was isolated in 63% yield and that was eventually assigned to be pyradizinone 30. The formation of 30 can be rationalized by the nucleophilic capture of the initial ketone/hydrazine adduct by the proximate ester moiety, with subsequent dehydration.
Molecules 09 00472 i006
Ketone 28 proved to surprisingly difficult to reduce using standard techniques. Treatment with a large excess of sodium borohydride at room temperature resulted in no reduction, however in refluxing ethanol, clean conversion to the diol 29 was observed after several hours. Single crystal x-ray analysis of 28 provided interesting structural information that may help in our understanding of the relative inertness of the ketone moiety in 28 to reduction (Figure 1).
Figure 1. Perspective diagram of 28
Figure 1. Perspective diagram of 28
Molecules 09 00472 g001
There appears to be a remarkably short oxygen-selenium separation in 28, which at 2.68Å is suggestive of significant contribution of resonance structure 31 to the overall bonding in 28. Indeed, the O–Se separation in 28 is, to the best of our knowledge, the shortest such interaction reported, being some 0.04Å shorter than the previous “record” of 2.72Å reported by us recently [17].

Conclusions

We have presented work toward the preparation of novel pyridine-fused, selenium-containing antioxidants and anti-inflammatory agents and have demonstrated that, in a model compound, intramolecular homolytic substitution is an effective method for the preparation of these ring systems. The unusual reactivity of ethyl 3-oxo-3-(2-(benzylseleno)pyridin-3-yl)butyrate (28) is attributed to strong non-bonded O–Se interactions that are supported by x-ray analysis

Acknowledgements

Financial support from the Australian Research Council is gratefully acknowledged.

References and Notes

  1. May, S. W. Exp. Opin. Invest. Drugs 1999, 8, 1017.May, S. W. Exp. Opin. Invest. Drugs 2002, 11, 1261.Mugesh, G.; du Mont, W.W.; Sies, H. Chem. Rev. 2001, 101, 2125.
  2. Ito, H.; Wang, J.Z.; Shimura, K.; Sakakihara, J.; Ueda, T. Anticancer Res. 1990, 10, 891. [PubMed]
  3. Pollock, S.H.; Herman, H.H.; Fowler, L.C.; Edwards, A.S.; Evans, C.O.; May, S.W. J. Pharm. Exp. Ther. 1988, 246, 227.Koketsu, M.; Ishihara, H.; Hatsu, M. Res. Commun. Mol. Path. Pharmacol. 1998, 101, 179.Koketsu, M.; Ishihara, H.; Wu, W.; Koji, M.; Saiki, I. Eur. J. Pharm. Sci. 1999, 9, 157.
  4. Arthur, J. R.; McKenzie, R. C.; Beckett, G. J. J. Nutr. 2003, 133, 1457S.Beck, M. A.; Levander, O. A.; Handy, J. J. Nutr. 2003, 133, 1463S.Jackson, M. J.; Broome, C. S.; Francis, M. J. Nutr. 2003, 133, 1557S.Neve, J. Curr. Opin. Clin. Nutr. 2002, 5, 659.Rayman, M. P. The Lancet 2000, 356, 233.Rayman, M. P. Proc. Nutr. Soc. 2002, 61, 203.
  5. Arteel, G. E.; Sies, H. Environ. Toxicol. Pharmacol. 2001, 10, 153.Birringer, M.; Pilawa, S.; Flohe, L. Nat. Prod. Rep. 2002, 19, 693.Nordberg, J.; Arner, E. S. J. Free Rad. Biol. Med. 2001, 31, 1287.Gamble, S.C.; Wiseman, A.; Goldfarb, P.S. J. Chem. Tech. Biotechnol. 1997, 68, 123.Ursini, F.; Bindoli, A. Chem. Phys. Lipids. 1987, 44, 255.
  6. Droge, W. Physiol. Rev. 2002, 82, 47–95.Fridovich, I. Science. 1978, 201, 875.
  7. Deby, C.; Goultier, R. Biochem. Biopharm. 1990, 39, 3–399.
  8. Ames, B.N.; Shigenaga, M.K.; Hagen, T.M. Proc. Natl. Acad. Sci. USA. 1993, 90, 7915.Alexander, R. W. Hypertension. 1995, 25, 155.Niki, E. Chem. Phys. Lipids. 1987, 44, 227.
  9. Nordberg, J.; Arner, E. S. J. Free Rad. Biol. Med. 2001, 31, 1287.
  10. Niki, E. Chem. Phys. Lipids. 1987, 44, 227.Burton, G.W.; Ingold, K.U. Acc. Chem. Res. 1986, 19, 194.Burton, G.W.; Doba, T.; Gabe, E.J.; Hughes, L.; Lee, F.L.; Prasad, L.; Ingold, K.U. J. Am. Chem. Soc. 1985, 107, 7053.
  11. Mugesh, G.; Singh, H. B. Chem. Soc. Rev. 2000, 29, 347.Schewe, T. Gen. Pharmac. 1995, 26, 1153.Sies, H.; Masumoto, H. Adv. Pharmacol. 1997, 38, 229.Nakamura, Y.; Feng, Q.; Kumagai, T.; Ohigashi, H.; Osawa, T.; Noguchi, N.; Niki, E.; Uchida, K. J. Biol. Chem. 2002, 277, 2687.
  12. Sagach, V.F.; Scrosati, M.; Fielding, J.; Rossoni, G.; Galli, C.; Visioli, F. Pharmacol. Res. 2002, 45, 435.Forrest, V.; Kang, Y.; McCain, DE.; Robinson, DH.; Ramakrisgnan, N. Free Rad Biol Med 1994, 675.
  13. Al-Maharik, N.; Engman, L.; Malmström, J.; Schiesser, C.H. J. Org. Chem. 2001, 66, 6286.
  14. Barton, D. H. R.; Crich, D.; Motherwell, W. B. Tetrahedron 1985, 41, 3901.
  15. Kim, S.; Lim, C.; Song, S.; Kang, H. Chem. Commun. 2001, 1410.
  16. Duddeck, H. Prog. NMR. Spec. 1995, 27, 1.
  17. Carland, M. W.; Schiesser, C. H.; White, J. M. Aust. J. Chem. 2004, 57, 97.; See also: Gable, R. W.; Laws, M. J.; Schiesser, C. H. Acta Cryst. 1997, 53, 641. .

Share and Cite

MDPI and ACS Style

Fenner, T.; Schiesser, C.H. Toward Pyridine-Fused Selenium-Containing Antioxidants. Molecules 2004, 9, 472-479. https://doi.org/10.3390/90600472

AMA Style

Fenner T, Schiesser CH. Toward Pyridine-Fused Selenium-Containing Antioxidants. Molecules. 2004; 9(6):472-479. https://doi.org/10.3390/90600472

Chicago/Turabian Style

Fenner, Tahli, and Carl H. Schiesser. 2004. "Toward Pyridine-Fused Selenium-Containing Antioxidants" Molecules 9, no. 6: 472-479. https://doi.org/10.3390/90600472

APA Style

Fenner, T., & Schiesser, C. H. (2004). Toward Pyridine-Fused Selenium-Containing Antioxidants. Molecules, 9(6), 472-479. https://doi.org/10.3390/90600472

Article Metrics

Back to TopTop