1-Hydroxymethyl-4-phenylsulfonybutadiene, a Versatile Building Block for the Synthesis of 2,3,4-Trisusbtituted Tetrahydrothiophenes
Abstract
:Introduction

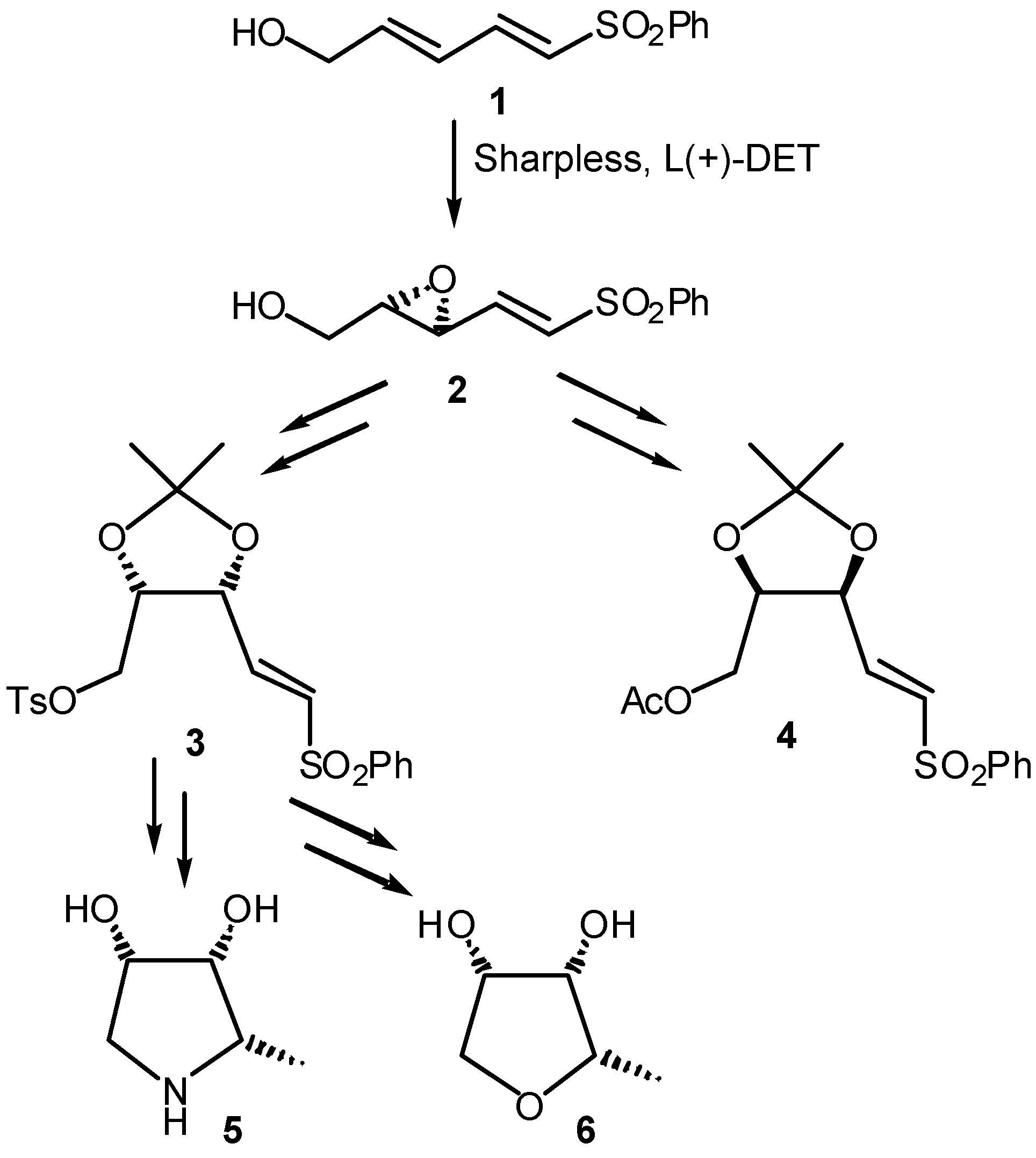
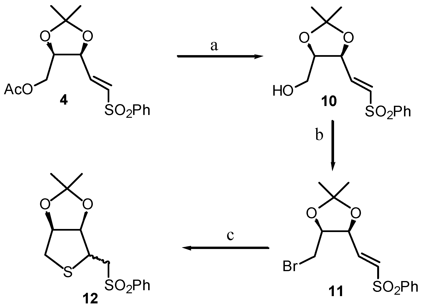
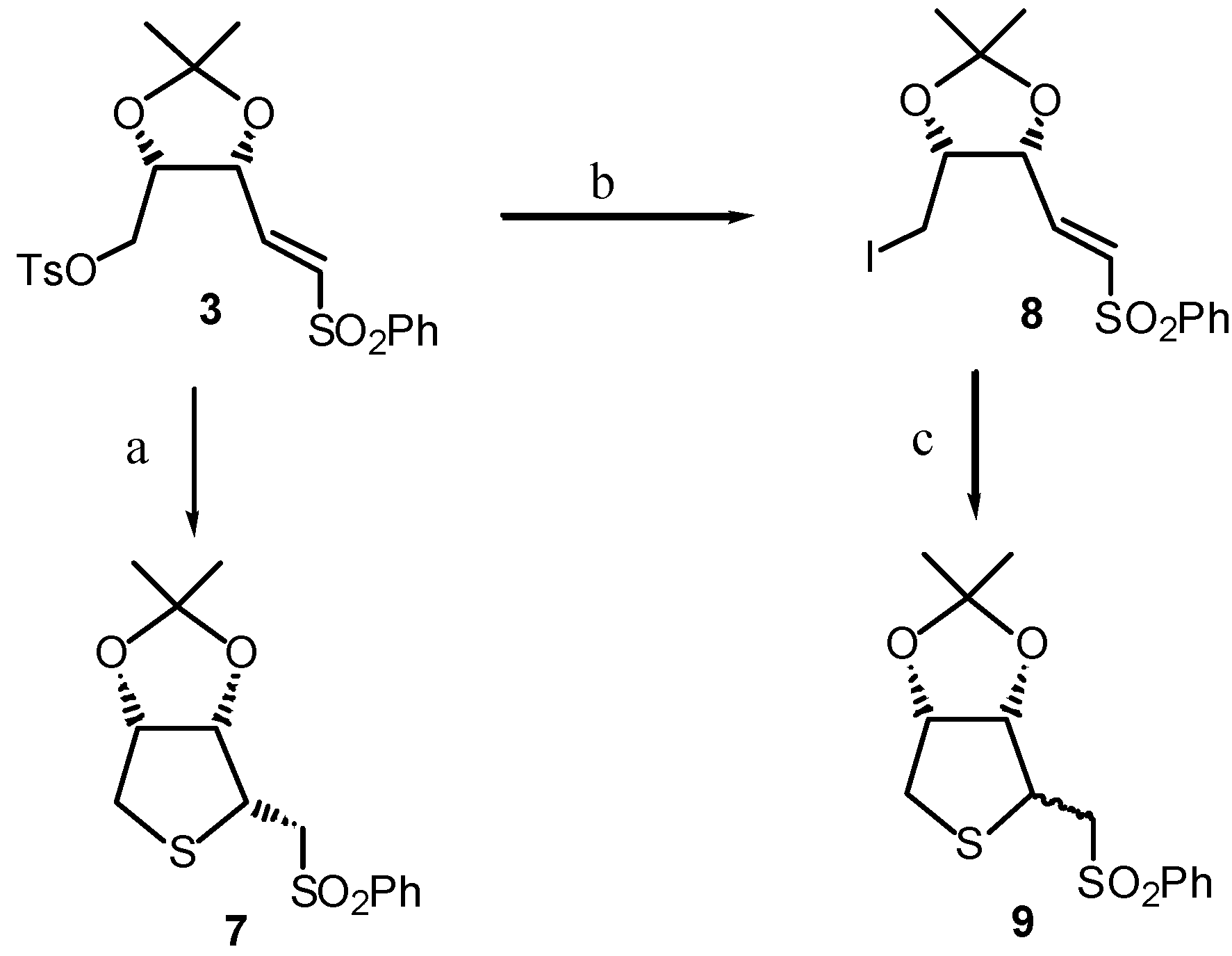
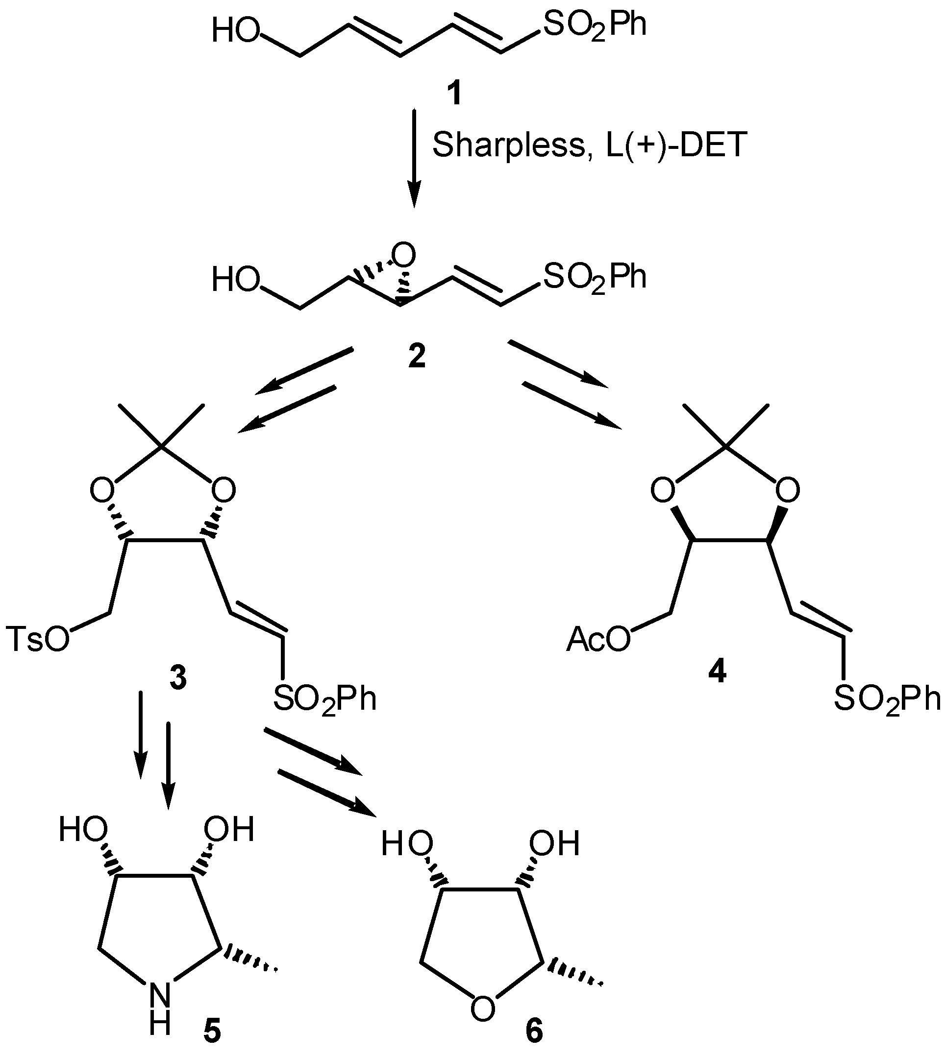
Results and Discussion


Conclusions
Acknowledgments
Experimental
General
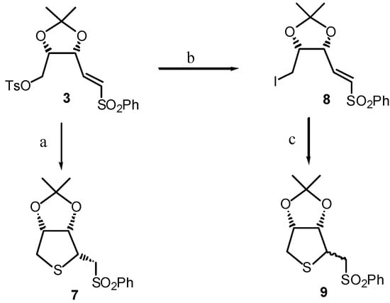
(2R,3S,4S)-2-Benzenesulfonylmethyl-3,4-isopropylidendioxytetrahydrotiophene (7).
(2R, 3R,4E)-5-Benzenesulfonyl-1-iodo-2,3-isopropylidenedioxypent-4-ene (8).
(2RS,3S,4R)-2-Benzenesulfonyl-3,4-isopropylidenedioxytetrahydrothiophene (9).
(2R,3S,4E)-5-Benzenesulfonyl-2,3-isopropylidenedioxypent-4-en-1-ol (10).
(2R,3S,4E)- 5-Benzenesulfonyl-1-bromo-2,3-isopropylidenedioxypent-4-ene (11).
(2RS,3R,4S)-2-Benzenesulfonyl-3,4-isopropylidenedioxy-tetrahydrothiophene (12).
References
- Shi, H.; Liu, H.; Bloch, R.; Mandville, G. A novel efficient and stereoselective synthesis of cis- or trans-2,5-disubstituted tetrahydrofurans. Tetrahedron 2001, 57, 9335–9341. [Google Scholar]
- Robina, I.; Moreno-Vargas, A.M.; Fernandez-Bolaños, J. G.; Fuentes, J.; Demange, R.; Vogel, P. Bioorg. Med. Chem. Lett. 2001, 11, 2489–2493, and references cited therein.
- Fernández-Bolaños, J. G.; Al-Masoudi, A. L.; Maya, I. Sugar derivatives having sulfur in the ring. Adv. Carbohydr. Chem. Biochem. 2001, 57, 21–98. [Google Scholar]
- Díez, D.; Benéitez, M. T.; Marcos, I. S.; Garrido, N. M.; Basabe, P.; Urones, J. G. Enantioselective Synthesis of a 2,3,4-Trisubstituted Pyrrolidine from 1-Hydroxymethyl-4-phenylsulfonylbutadiene. Synlett 2001, 655–657. [Google Scholar]
- Katsuki, T.; Martin, V. S. Asymmetric Epoxidation of Allylic Alcohols: The Katsuki-Sharpless Epoxidation Reaction. Org. React. 1996, 48, 1–300. [Google Scholar]
- Díez, D.; Benéitez, M. T.; Marcos, I. S.; Garrido, N. M.; Basabe, P.; Urones, J. G. Regio and stereoselective ring opening of epoxides. Enantioselective synthesis of 2,3,4-trisubstituted five-membered heterocycles. Tetrahedron: Asymmetr. 2002, 13, 639–646. [Google Scholar]
- Riedner, J.; Robina, I.; Fernández-Bolaños, J. G.; Gómez-Bujedo, S.; Fuentes, J. Synthesis of five-membered homothiosugars derived from L-erythrose and D-mannose. Tetrahedron: Asymmetr. 1999, 10, 3391–3401. [Google Scholar]
- Bignan, G.; Morin, C.; Vidal, M. Synthesis of 4-iodo-4-deoxy-D-glucose. Tetrahedron Lett. 1994, 35, 3909–3912. [Google Scholar]
- Bunce, R. A.; Peeples, C. J.; Jones, P. B. Tandem SN2-Michael reactions for the preparation of simple five- and six-membered-ring nitrogen and sulfur heterocycles. J. Org. Chem. 1992, 57, 1727–1733. [Google Scholar]
- Sample availability: Available from the authors.
© 2004 by MDPI (http:www.mdpi.org). Reproduction is permitted for noncommercial purposes.
Share and Cite
Díez, D.; Benéitez, M.T.; Marcos, I.S.; Garrido, N.M.; Basabe, P.; Urones, J.G. 1-Hydroxymethyl-4-phenylsulfonybutadiene, a Versatile Building Block for the Synthesis of 2,3,4-Trisusbtituted Tetrahydrothiophenes. Molecules 2004, 9, 323-329. https://doi.org/10.3390/90500323
Díez D, Benéitez MT, Marcos IS, Garrido NM, Basabe P, Urones JG. 1-Hydroxymethyl-4-phenylsulfonybutadiene, a Versatile Building Block for the Synthesis of 2,3,4-Trisusbtituted Tetrahydrothiophenes. Molecules. 2004; 9(5):323-329. https://doi.org/10.3390/90500323
Chicago/Turabian StyleDíez, David, M. Templo Benéitez, Isidro S. Marcos, N. M. Garrido, P. Basabe, and Julio G. Urones. 2004. "1-Hydroxymethyl-4-phenylsulfonybutadiene, a Versatile Building Block for the Synthesis of 2,3,4-Trisusbtituted Tetrahydrothiophenes" Molecules 9, no. 5: 323-329. https://doi.org/10.3390/90500323
APA StyleDíez, D., Benéitez, M. T., Marcos, I. S., Garrido, N. M., Basabe, P., & Urones, J. G. (2004). 1-Hydroxymethyl-4-phenylsulfonybutadiene, a Versatile Building Block for the Synthesis of 2,3,4-Trisusbtituted Tetrahydrothiophenes. Molecules, 9(5), 323-329. https://doi.org/10.3390/90500323
