Application of ‘Inductive’ QSAR Descriptors for Quantification of Antibacterial Activity of Cationic Polypeptides
Abstract
:Introduction
QSAR models for antibiotic activity
Cationic polypeptides as a novel class of antibacterial therapeutics
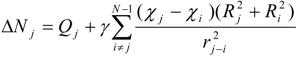
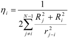
‘Inductive’ descriptors overview

| Descriptor | Characterization | Parental formula(s) |
|---|---|---|
| χ (electronegativity) – based | ||
| EO_Equalized* | Iteratively equalized electronegativity of a molecule | Calculated iteratively by (7) where charges get updated according to (6); an atomic hardness in (7) is expressed through (8) |
| Average_EO_Pos* | Arithmetic mean of electronegativities of atoms with positive partial charge | where n+ is the number of atoms i in a molecule with positive partial charge |
| Average_EO_Neg* | Arithmetic mean of electronegativities of atoms with negative partial charge | where n− is the number of atoms i in a molecule with negative partial charge |
| η (hardness) – based | ||
| Global_Hardness | Molecular hardness - reversed softness of a molecule | (10) |
| Sum_Hardness* | Sum of hardnesses of atoms of a molecule | Calculated as a sum of inversed atomic softnesses in turn computed within (9) |
| Sum_Pos_Hardness | Sum of hardnesses of atoms with positive partial charge | Obtained by summing up the contributions from atoms with positive charge computed by (8) |
| Sum_Neg_Hardness | Sum of hardnesses of atoms with negative partial charge | Obtained by summing up the contributions from atoms with negative charge computed by (8) |
| Average_Hardness* | Arithmetic mean of hardnesses of all atoms of a molecule | Estimated by dividing quantity (10) by the number of atoms in a molecule |
| Average_Pos_Hardness* | Arithmetic mean of hardnesses of atoms with positive partial charge | where n+ is the number of atoms i with positive partial charge. |
| Average_Neg_Hardness* | Arithmetic mean of hardnesses of atoms with negative partial charge | where n− is the number of atoms i with negative partial charge. |
| Smallest_Pos_Hardness | Smallest atomic hardness among values for positively charged atoms | (8) |
| Smallest_Neg_Hardness | Smallest atomic hardness among values for negatively charged atoms. | (8) |
| Largest_Pos_Hardness* | Largest atomic hardness among values for positively charged atoms | (8) |
| Largest_Neg_Hardness* | Largest atomic hardness among values for negatively charged atoms | (8) |
| Hardness_of_Most_Pos* | Atomic hardness of an atom with the most positive charge | (8) |
| Hardness_of_Most_Neg | Atomic hardness of an atom with the most negative charge | (8) |
| s (softness) – based | ||
| Global_Softness | Molecular softness – sum of constituent atomic softnesses | (11) |
| Total_Pos_Softness | Sum of softnesses of atoms with positive partial charge | Obtained by summing up the contributions from atoms with positive charge computed by (9) |
| Total_Neg_Softness* | Sum of softnesses of atoms with negative partial charge | Obtained by summing up the contributions from atoms with negative charge computed by (9) |
| Average_Softness | Arithmetic mean of softnesses of all atoms of a molecule | (11) divided by the number of atoms in molecule |
| Average_Pos_Softness | Arithmetic mean of softnesses of atoms with positive partial charge | Where n+ is the number of atoms i with positive partial charge. |
| Average_Neg_Softness | Arithmetic mean of softnesses of atoms with negative partial charge | where n− is the number of atoms i with negative partial charge. |
| Smallest_Pos_Softness | Smallest atomic softness among values for positively charged atoms | (9) |
| Smallest_Neg_Softness | Smallest atomic softness among values for negatively charged atoms | (9) |
| Largest_Pos_Softness | Largest atomic softness among values for positively charged atoms | (9) |
| Largest_Neg_Softness | Largest atomic softness among values for positively charged atoms | (9) |
| Softness_of_Most_Pos | Atomic softness of an atom with the most positive charge | (9) |
| Softness_of_Most_Neg | Atomic softness of an atom with the most negative charge | (9) |
| q (charge)- based | ||
| Total_Charge | Sum of absolute values of partial charges on all atoms of a molecule | where all the contributions ∆Ni derived within (6) |
| Total_Charge_Formal* | Sum of charges on all atoms of a molecule (formal charge of a molecule) | Sum of all contributions (6) |
| Average_Pos_Charge* | Arithmetic mean of positive partial charges on atoms of a molecule | where n+ is the number of atoms i with positive partial charge |
| Average_Neg_Charge* | Arithmetic mean of negative partial charges on atoms of a molecule | where n− is the number of atoms i with negative partial charge |
| Most_Pos_Charge* | Largest partial charge among values for positively charged atoms | (6) |
| Most_Neg_Charge | Largest partial charge among values for negatively charged atoms | (6) |
| σ* (inductive parameter) – based | ||
| Total_Sigma_mol_i | Sum of inductive parameters σ*(molecule→atom) for all atoms within a molecule | where contributions are computed by equation (2) with n=N-1 – i.e. each atom j is considered against the rest of the molecule G |
| Total_Abs_Sigma_mol_i | Sum of absolute values of group inductive parameters σ*(molecule→atom) for all atoms within a molecule | ![]() |
| Most_Pos_Sigma_mol_i* | Largest positive group inductive parameter σ*(molecule→atom) for atoms in a molecule | (2) |
| Most_Neg_Sigma_mol_i | Largest (by absolute value) negative group inductive parameter σ*(molecule→atom) for atoms in a molecule | (2) |
| Most_Pos_Sigma_i_mol | Largest positive atomic inductive parameter σ*(atom→molecule) for atoms in a molecule | (5) |
| Most_Neg_Sigma_i_mol* | Largest negative atomic inductive parameter σ*(atom→molecule) for atoms in a molecule | (5) |
| Sum_Pos_Sigma_mol_i | Sum of all positive group inductive parameters σ*( molecule →atom) within a molecule | where >0 and n+ is the number of N-1 atomic substituents in a molecule with positive inductive effect (electron acceptors) |
| Sum_Neg_Sigma_mol_i* | Sum of all negative group inductive parameters σ*( molecule →atom) within a molecule | where <0 and n− is the number of N-1 atomic substituents in a molecule with negative inductive effect (electron donors) |
| Rs (steric parameter) – based | ||
| Largest_Rs_mol_i | Largest value of steric influence Rs(molecule→atom) in a molecule | (1) where n=N-1 - each atom j is considered against the rest of the molecule G |
| Smallest_Rs_mol_i* | Smallest value of group steric influence Rs(molecule→atom) in a molecule | (1) where n=N-1 - each atom j is considered against the rest of the molecule G |
| Largest_Rs_i_mol | Largest value of atomic steric influence Rs(atom→molecule) in a molecule | (4) |
| Smallest_Rs_i_mol | Smallest value of atomic steric influence Rs(atom→molecule) in a molecule | (4) |
| Most_Pos_Rs_mol_i | Steric influence Rs(molecule→atom) ON the most positively charged atom in a molecule | (1) |
| Most_Neg_Rs_mol_i* | Steric influence Rs(molecule→atom) ON the most negatively charged atom in a molecule | (1) |
| Most_Pos_Rs_i_mol | Steric influence Rs(atom→molecule) OF the most positively charged atom to the rest of a molecule | (4) |
| Most_Neg_Rs_i_mol | Steric influence Rs(atom→molecule) OF the most negatively charged atom to the rest of a molecule | (4) |
Results and Discussion
Experimental data
Factors governing bioactivity of CAMEL-s
Descriptors calculation and selection

Composition of the training and the testing (validation) sets
| Identity | Peptide sequence (NH2 corresponds to the amidated C-terminus group) | Experimental Potency | Predicted Potency |
| CAMEL118 | KWKLFlgIlAVLKVL-NH2 | 0.159 | 0.335 |
| CAMEL17 | KWnLngnInAVLKVL-NH2 | 0.209 | 0.176 |
| CAMEL38 | KWKgeleIeAeLKVL-NH2 | 0.376 | 0.172 |
| CAMEL107 | gWKLglKIlnVLKVL-NH2 | 0.496 | 1.216 |
| CAMEL20 | KWKLFKKnnnnnKhn-NH2 | 0.498 | 1.49 |
| CAMEL116 | KWhLFllIlAVLKVL-NH2 | 0.514 | 0.405 |
| CAMEL34 | KrgLFKKgGAVLKgL-NH2 | 0.528 | 1.227 |
| CAMEL18 | KWhLrnKIGAVrnnL-NH2 | 0.537 | 1.183 |
| CAMEL16 | KhKLFKKIGAhrKrn-NH2 | 0.553 | 1.445 |
| CAMEL39 | hWhLhKhrGArhKVL-NH2 | 0.677 | 1.184 |
| CAMEL134 | gWeLgeeIlnVLKVL-NH2 | 0.708 | 0.16 |
| CAMEL115 | KWhLFlKIlAVLKVL-NH2 | 0.741 | 1.646 |
| CAMEL50 | KWKLFKKhGnVrKVL-NH2 | 0.771 | 1.747 |
| CAMEL10 | KnKrnKKIGAVLKVL-NH2 | 0.848 | 1.216 |
| CAMEL14 | KhnLFKgIGAVLlVL-NH2 | 0.922 | 1.121 |
| CAMEL51 | KWKLFKKIGnrnKVL-NH2 | 0.947 | 1.631 |
| CAMEL113 | lWKLFlhIlAVLKVL-NH2 | 0.962 | 0.162 |
| CAMEL26 | KnKLeKKIGAVLKVL-NH2 | 1.027 | 1.339 |
| CAMEL52 | KWKLgKgIGAVgKVL-NH2 | 1.033 | 1.08 |
| CAMEL58 | KWKLFnrIGhnrKVn-NH2 | 1.049 | 1.739 |
| CAMEL137 | gWrLFrgIrAVLnVL-NH2 | 1.074 | 0.296 |
| CAMEL54 | KWgLFKnIGAVLhVn-NH2 | 1.156 | 0.223 |
| CAMEL57 | rWKLnnnIGArLKVL-NH2 | 1.206 | 0.977 |
| CAMEL33 | hWKLFKKIGhVnKrL-NH2 | 1.34 | 1.937 |
| CAMEL60 | hWKrFlrIGhnLnVn-NH2 | 1.495 | 1.385 |
| CAMEL11 | KWKLFKKIGgVggVL-NH2 | 1.593 | 2.133 |
| CAMEL120 | gWKLFlKIlAVLKVL-NH2 | 1.598 | 0.785 |
| CAMEL13 | gWKLFKnrGAVLKhL-NH2 | 1.605 | 2.444 |
| CAMEL8 | KWKLFnKrGAVLKVL-NH2 | 1.605 | 2.404 |
| CAMEL19 | rWKnFKnIrAnLrVL-NH2 | 1.742 | 2.017 |
| CAMEL56 | KWKLFgKnGrnLlVL-NH2 | 1.814 | 0.826 |
| CAMEL138 | gWrLFKgIrAVLnVL-NH2 | 1.826 | 1.157 |
| CAMEL41 | KWKLFKKgavlkvlt-NH2 | 1.891 | 3.518 |
| CAMEL47 | KWKLFKKrnAVLKVL-NH2 | 1.964 | 2.497 |
| CAMEL44 | KWKLFKKIGAnLKVL-NH2 | 2.07 | 3.032 |
| CAMEL12 | KWKLFKrIGAVhKrL-NH2 | 2.242 | 1.675 |
| CAMEL53 | hWKLFKKIhAVrKhL-NH2 | 2.244 | 1.495 |
| CAMEL112 | KWKLFlhIlAVLKVL-NH2 | 2.245 | 1.178 |
| CAMEL32 | KWKLFrKIGAVhrVL-NH2 | 2.306 | 2.906 |
| CAMEL29 | lWKLFKKhGAVLKVL-NH2 | 2.422 | 4.74 |
| CAMEL36 | KWhLnKrIhAVLKrL-NH2 | 2.587 | 2.129 |
| CAMEL1 | KWKLFKKgigavlkv-NH2 | 2.649 | 1.83 |
| CAMEL35 | KWKLFrrIGAVLKhr-NH2 | 2.706 | 1.816 |
| CAMEL30 | KrKrFrKIGAVLKVL-NH2 | 2.747 | 1.849 |
| CAMEL15 | KWKLFKlrGrVrKVL-NH2 | 2.879 | 3.728 |
| CAMEL31 | KWKLFKKIGlgLgVL-NH2 | 3.148 | 2.325 |
| CAMEL2 | KWKLFKKlkvlttgl-NH2 | 3.246 | 3.974 |
| CAMEL126 | lWrLlKhIlrVLKVL-NH2 | 3.259 | 3.974 |
| CAMEL55 | KWlLFKKIGAVLlnh-NH2 | 3.425 | 3.229 |
| CAMEL37 | lrKLFKKIrAVLlVr-NH2 | 3.617 | 3.407 |
| CAMEL125 | lWrLlKKIlrVLKVL-NH2 | 3.822 | 4.82 |
| CAMEL119 | gWKLFKlIGAVLKVL-NH2 | 3.86 | 3.429 |
| CAMEL28 | KWKLgKKIGAVLgVL-NH2 | 3.946 | 3.055 |
| CAMEL114 | KWKLFhKIlAVLKVL-NH2 | 4.105 | 4.843 |
| CAMEL61 | KWKLFKKavlkvltt-NH2 | 4.105 | 3.995 |
| CAMEL111 | KWKLFhlIGAVLKVL-NH2 | 4.165 | 3.484 |
| CAMEL49 | nWKLFhKIGAVLKVL-NH2 | 4.187 | 4.819 |
| CAMEL25 | KWKLrKKIGAVLKVL-NH2 | 4.262 | 3.762 |
| CAMEL43 | KWKgFKKIGAVLKVL-NH2 | 4.319 | 4.359 |
| CAMEL105 | gWKLgKKIGrVLKVL-NH2 | 4.336 | 5.555 |
| CAMEL124 | KWKLFKlIrAVLKVL-NH2 | 4.533 | 5.078 |
| CAMEL7 | KWKLFKKIGAVLhnL-NH2 | 4.534 | 3.614 |
| CAMEL121 | gWKgFKKIGrVLKVL-NH2 | 4.759 | 5.465 |
| CAMEL27 | KWKLFKKIGAVLnrL-NH2 | 4.869 | 4.987 |
| CAMEL3 | KWgLFKKIGAVLKVL-NH2 | 4.989 | 3.87 |
| CAMEL81 | KWKLFKKvlkVLttg-NH2 | 5.297 | 4.455 |
| CAMEL106 | gWKLFKKIGrVLKVL-NH2 | 5.318 | 5.577 |
| CAMEL127 | gWKLFKKIGrVLrVL-NH2 | 5.47 | 5.13 |
| CAMEL130 | lWKLFKKIrrlLKVL-NH2 | 5.49 | 4.547 |
| CAMEL128 | lWKLFKKIGrVLKVL-NH2 | 5.493 | 5.375 |
| CAMEL131 | lWKLFrKIrrlLrVL-NH2 | 5.504 | 5.682 |
| CAMEL104 | gWKLgKKIlrVLrVL-NH2 | 5.562 | 5.771 |
| CAMEL108 | KWKLgKKIlnVLKVL-NH2 | 5.566 | 4.905 |
| CAMEL109 | gWrLgKKIlrVLKVL-NH2 | 5.572 | 5.7 |
| CAMEL123 | lWKLFKKIrrVLrVL-NH2 | 5.614 | 5.656 |
| CAMEL0 | KWKLFKKIGAVLKVL-NH2 | 5.712 | 5.14 |
| CAMEL42 | hWKLFKKIGAVLKVL-NH2 | 5.712 | 4.706 |
| CAMEL102 | gWKLgKKIlrVLKVL-NH2 | 5.725 | 5.674 |
| CAMEL6 | nWKLFKKIGAVLKVL-NH2 | 5.803 | 5.205 |
| CAMEL23 | KWhLFKKIGAVLKVL-NH2 | 5.81 | 4.7 |
| CAMEL101 | KWKLgKKIlrVLKVL-NH2 | 5.845 | 5.465 |
| CAMEL103 | gWKLglKIlrVLKVL-NH2 | 5.879 | 5.238 |
| CAMEL22 | gWKLFKKIGAVLKVL-NH2 | 5.946 | 5.363 |
| CAMEL110 | gWKLgKKIlnVLKVL-NH2 | 6.043 | 5.637 |
| CAMEL129 | lWKLFKKInrVLKVL-NH2 | 6.045 | 5.212 |
| CAMEL4 | KWKLFhKIGAVLKVL-NH2 | 6.072 | 4.877 |
| CAMEL24 | KWKLFKhIGAVLKVL-NH2 | 6.167 | 4.88 |
| CAMEL132 | gWKLgKhIlnVLKVL-NH2 | 6.182 | 5.035 |
| CAMEL48 | KWKLgKKIGAVLKVL-NH2 | 6.323 | 5.026 |
| CAMEL136 | vWrLiKKIlrVfKgL-NH2 | 6.613 | 5.374 |
| CAMEL135 | gWrLiKKIlrVfKgL-NH2 | 6.665 | 5.559 |
| Identity | A.A. Sequence | Experimental Potency | Predicted Potency |
|---|---|---|---|
| CAMEL59 | KgKggKKgGrggKVL-NH2 | 1.077 | 1.030 |
| CAMEL40 | gWlLhrnIGnVLhrL-NH2 | 1.387 | 1.167 |
| CAMEL5 | KWKLFKKnGAVLKVL-NH2 | 1.408 | 2.076 |
| CAMEL139 | gWKLFKgIrAVLnVL-NH2 | 1.497 | 1.524 |
| CAMEL117 | lWhLFlKIlAVLKVL-NH2 | 1.515 | 0.194 |
| CAMEL140 | gWrLlKKIleVLKVL-NH2 | 4.136 | 1.203 |
| CAMEL45 | KWKnFKKIGAVLKVL-NH2 | 4.249 | 4.149 |
| CAMEL122 | lWKLFKKIrrVLKVL-NH2 | 6.142 | 5.593 |
| CAMEL9 | KWrLFKnIGAVLKVL-NH2 | 6.292 | 2.917 |
| CAMEL46 | KWKLFKgIrAVLKVL-NH2 | 6.45 | 4.825 |
QSAR model for CAMEL-s antibiotic potency


Conclusions and Further Directions
Acknowledgements
References
- Jaen-Oltra, J.; Salabert-Salvador, M.T.; Garcia-March, F.J.; Perez-Giminez, F.; Tomas-Vert, F. Artificial Neural Network Applied to Prediction of Fluorquinolone Antibacterial Activity by Topological Methods. J. Med. Chem. 2000, 43, 1143–1148. [Google Scholar]
- Garcia-Domenech, R.; de Julian-Ortiz, J.V. Antimicrobial Activity Characterization in a Heterogeneous Group of Compounds. J. Chem. Inf. Comp. Sci. 1998, 38, 445–449. [Google Scholar]
- Tomas-Vert, F.; Perez-Gimenez, F.; Salabert-Salvador, M.T.; Garcia-March, F.J.; Jaen-Oltra, J. Atrificial Neural Network Applied to the Discrimination of Antibacterial Activity by Topological Methods. J. Molec. Struct. (Theochem). 2000, 504, 249–259. [Google Scholar]
- Mishra, R.K.; Garcia-Domenech, R.; Galvez, J. Getting Discriminant Function of Antibacterial Activity from Physicochemical and Topological Parameters. J. Chem. Inf. Comp. Sci. 2001, 41, 387–393. [Google Scholar]
- Cronin, M.T.D.; Aptula, A.O.; Dearden, J.C.; Duffy, J.C.; Netzeva, T.I.; Patel, H.; Rowe, P.H.; Schultz, T.W.; Worth, A.P.; Voutzoulidis, K.; Schuurmann, G. Structure-Based Classification of Antibacterial Activity. J. Chem. Inf. Comp. Sci. 2002, 42, 869–878. [Google Scholar]
- Gozalbez, R.; Galvez, J.; Moreno, A.; Garcia-Domenech, R. Discovery of New Antimalarial Compounds by use of Molecular Connectivity Techniques. J. Pharm. Pharmacol. 1999, 51, 111–117. [Google Scholar]
- Molina, E.; Diaz, H.G.; Gonzalez, M.P.; Rodriguez, E.; Uriarte, E. Designing Antibacterial Compounds through a Topological Substructural Approach. J. Chem. Inf. Comp. Sci. 2004, 44, 515–521. [Google Scholar]
- Sima, P.; Trebichavsky, I.; Sigler, K. Mammalian antibiotic peptides. Folia Microbiol. 2003, 48, 123–137. [Google Scholar]
- Miele, R.; Bjorklund, G.; Barra, D.; Simmaco, M.; Engstrom, Y. Involvement of Rel factors in the expression of antimicrobial peptide genes in amphibian. Eur. J. Biochem. 2001, 268, 443–449. [Google Scholar]
- Simmaco, M.; Mignogna, G.; Barra, D. Antimicrobial peptides from amphibian skin: what do they tell us? Biopolymers 1998, 47, 435–450. [Google Scholar]
- Khush, R.S.; Leulier, F.; Lemaitre, B. Drosophila immunity: two paths to NF-κB. Trends Immunol. 2001, 22, 260–264. [Google Scholar]
- Hancock, R.E. Concerns regarding resistance to self-proteins. Microbiology. 2003, 149, 3343–3344. [Google Scholar]
- Marshall, S.H.; Arenas, G. Antimicrobial peptides: A natural alternative to chemical antibiotics and a potential for applied biotechnology. Electron. J. Biotechno. 2003, 6, 271–284. [Google Scholar]
- Hancock, R.E.; Chapple, D.S. Peptide Antibiotics. Antimicrob. Agents Chemother. 1999, 43, 1317–1323. [Google Scholar]
- Cherkasov, A.R.; Galkin, V.I.; Cherkasov, R.A. A New Approach to the Theoretical Estimation of Inductive Constants. J. Phys. Org. Chem. 1998, 11, 437–447. [Google Scholar]
- Cherkasov, A.R.; Galkin, V.I.; Cherkasov, R.A. "Inductive" Electronegativity Scale. J. Molec. Struct. (Theochem) 1999, 489, 43–46. [Google Scholar]
- Cherkasov, A.R.; Galkin, V.I.; Cherkasov, R.A. "Inductive" Electronegativity Scale. 2. "Inductive" Analog of Chemical Hardness. J. Molec. Struct. (Theochem) 2000, 497, 115–123. [Google Scholar]
- Cherkasov, A. Inductive Electronegativity Scale. Iterative Calculation of Inductive Partial Charges. J. Chem. Inf. Comp. Sci. 2003, 43, 2039–2047. [Google Scholar]
- Cherkasov, A.; Sprous, D.; Chen, R. 3D Correlation Analysis - New Method of Quantification of Substituent Effect. J. Phys. Chem. A. 2003, 107, 9695–9704. [Google Scholar]
- Cherkasov, A.; Jonsson, M. Substituent Effect on Thermo-chemical Properties of Free Radicals. New Substituent Scales for C-Centred Radicals. J. Chem. Inf. Comp. Sci. 1998, 38, 1151–1156. [Google Scholar]
- Cherkasov, A.; Jonsson, M. Substituent Effect on Thermochemical Properties of Free Radicals. Physical Interpretation of the Substituent Effect. J. Chem. Inf. Comp. Sci. 1999, 39, 1057–1063. [Google Scholar]
- Cherkasov, A.R.; Jonsson, M.; Galkin, V.I. A Novel Approach to the Analysis of Substituent Effects. Quantitative Interpretation of Ionization Potentials and Gas Basicity of Amines. J. Mol. Graph. Model. 1999, 17, 28–43. [Google Scholar]
- Cherkasov, A.; Jonsson, M. Estimation of Homolytic CH Bond Dissociation Enthalpies. J. Chem. Inf. Comp. Sci. 2000, 40, 1222–1226. [Google Scholar]
- Galkin, V.I.; Cherkasov, A.R.; Cherkasov, R.A. Modelling of Substituents Electronic and Steric Effects. Effective Analysis of Organoelement and Organophosphorus Reactivity. Phosphorus, Silicon, Sulphur. 1999, 146, 329–332. [Google Scholar]
- Cherkasov, A. Inductive QSAR Descriptors. 1. Distinguishing Compounds with Antibacterial Activity by Artificial Neural Networks. Submitted. J. Chem. Inf. Comp. Sci. 2004, 44. [Google Scholar]
- Mee, R.P.; Auton, T.R.; Morgan, P.J. Design of active analogs of a 15-residue peptide using D-optimal design, QSAR and a combinatorial search algorithm. J. Pept. Res. 1997, 49, 89–102. [Google Scholar]
- Edlund, C.; Hedberg, M.; Engström, Å.; Flock, J.-I.; Wade, D. Anti-anaerobic activity of a cecropin-melittin peptide. Clin. Microbiol. Infection 1998, 4, 181–185. [Google Scholar]
- Oh, H.; Hedberg, M.; Wade, D.; Edlund, C. Activities of synthetic hybrid peptides against bacteria: aspects of methodology and stability. Antimicrob. Agents Chemother. 2000, 44, 68–72. [Google Scholar]
- Oren, Z.; Shai, Y. Mode of action of linear amphipathic α-helical antimicrobial peptides. Biopolymers 1999, 47, 451–463. [Google Scholar]
- Bechinger, B. The structure, dynamics and orientation of antimicrobial peptides in membranes by multidimensional solid-state NMR spectroscopy. Biochim. Biophys. Acta 1999, 1462, 157–183. [Google Scholar]
- Blondelle, S.E.; Lohner, K.; Aguilar, M.I. Lipid-induced conformation and lipid-binding properties of cytolytic and antimicrobial peptides: determination and biological specificity. Biochim. Biophys. Acta 1999, 1462, 89–108. [Google Scholar]
- Epand, R.F.; Umezawa, N.; Porter, E.A.; Gellman, S.H.; Epand, R.M. Interactions of the antimicrobial β-peptide β-17 with phospholipids vesicles differ from membrane interactions of magainins. Eur. J. Biochem. 2003, 270, 1240–1248. [Google Scholar]
- Hancock, R.E.; Lehrer, R. Cationic peptides: a new source of antibiotics. Trends Biotechnol. 1998, 16, 82–88. [Google Scholar]
- Shai, Y. Mechanism of the binding, insertion and destabilization of phospholipids bilayer membranes by α-helical antimicrobial and cell non-selective membrane-lytic peptides. Biochim. Biophys. Acta 1999, 1462, 55–70. [Google Scholar]
- Takeshima, K.; Chikushi, A.; Lee, K.K.; Yonehara, S.; Matsuzaki, K. Translocation of analogues of the antimicrobial peptides magainin and buforin across human cell membranes. J. Biol. Chem. 2003, 278, 1310–1315. [Google Scholar]
- Vogt, T.C.B.; Bechinger, B. The interactions of histidine-containing amphipathic helical peptide antibiotics with lipid bilayers. J Biol. Chem. 1999, 274, 29115–29121. [Google Scholar]
- Baker, M.A.; Maloy, W.L.; Zasloff, M.; Jacob, L.S. Anticancer efficacy of Magainin2 and analogue peptides. Cancer Res. 1993, 53, 3052–3057. [Google Scholar]
- Dathe, M.; Schumann, M.; Wieprecht, T. Peptide helicity and membrane surface charge modulate the balance of electrostatic and hydrophobic interactions with lipid bilayers and biological membranes. Biochemistry 1996, 35, 12612–12622. [Google Scholar]
- Dathe, M.; Wieprecht, T. Structural features of helical antimicrobial peptides: their potential to modulate activity on model membranes and biological cells. Biochim. Biophys. Acta 1999, 1462, 71–87. [Google Scholar]
- Epand, R.M.; Vogel, H.J. Diversity of antimicrobial peptides and their mechanisms of action. Biochim. Biophys. Acta 1999, 1462, 11–28. [Google Scholar]
- Hwang, P.M.; Vogel, H.J. Structure-function relationships of antimicrobial peptides. Biochem. Cell Biol. 1998, 76, 235–246. [Google Scholar]
- Peck-Miller, K.A.; Blake, J.; Cosand, W.L.; Darveau, R.P.; Fell, H.P. Structure-activity analysis of the antitumor and hemolytic properties of the amphiphilic alpha-helical peptide, C18G. Int. J. Pept. Prot. Res. 1994, 44, 143–151. [Google Scholar]
- Prenner, E.J.; Lewis, R.N.A.H.; McElhaney, R.N. The interaction of the antimicrobial peptide gramicidin S with lipid bilayer model and biological membranes. Biochim. Biophys. Acta 1999, 1462, 201–221. [Google Scholar]
- Shin, S.Y.; Lee, S.H.; Yang, S.T.; Park, E.J.; Lee, D.G.; Lee, M.K.; Eom, S.H.; Song, W.K.; Kim, Y.; Hahm, K.S.; Kim, J.I. Antibacterial, antitumor and hemolytic activities of alpha-helical antibiotic peptide, P18 and its analogs. J. Pept. Res. 2001, 58, 504–514. [Google Scholar]
- Chemical Computation Group Inc. Montreal (Canada). Molecular Operational Environment 2004.
- Zupan, J.; Gasteiger, J. Neural Networks in Chemistry and Drug Design; 2nd Ed.; Wiley: New York, 1999. [Google Scholar]
- SNNS: Stuttgart Neural Network Simulator; Version 4.0; University of Stuttgart: Stuttgart (Germany), 1995.
- Hawkins, D.; Basak, S.; Mills, D. Assessing Model Fit by Cross Validation. J. Chem. Inf. Comp. Sci. 2003, 43, 579–586. [Google Scholar]
© 2004 by MDPI (http://www.mdpi.org). Reproduction is permitted for noncommercial purposes.
Share and Cite
Cherkasov, A.; Jankovic, B. Application of ‘Inductive’ QSAR Descriptors for Quantification of Antibacterial Activity of Cationic Polypeptides. Molecules 2004, 9, 1034-1052. https://doi.org/10.3390/91201034
Cherkasov A, Jankovic B. Application of ‘Inductive’ QSAR Descriptors for Quantification of Antibacterial Activity of Cationic Polypeptides. Molecules. 2004; 9(12):1034-1052. https://doi.org/10.3390/91201034
Chicago/Turabian StyleCherkasov, Artem, and Bojana Jankovic. 2004. "Application of ‘Inductive’ QSAR Descriptors for Quantification of Antibacterial Activity of Cationic Polypeptides" Molecules 9, no. 12: 1034-1052. https://doi.org/10.3390/91201034
APA StyleCherkasov, A., & Jankovic, B. (2004). Application of ‘Inductive’ QSAR Descriptors for Quantification of Antibacterial Activity of Cationic Polypeptides. Molecules, 9(12), 1034-1052. https://doi.org/10.3390/91201034














