Abstract
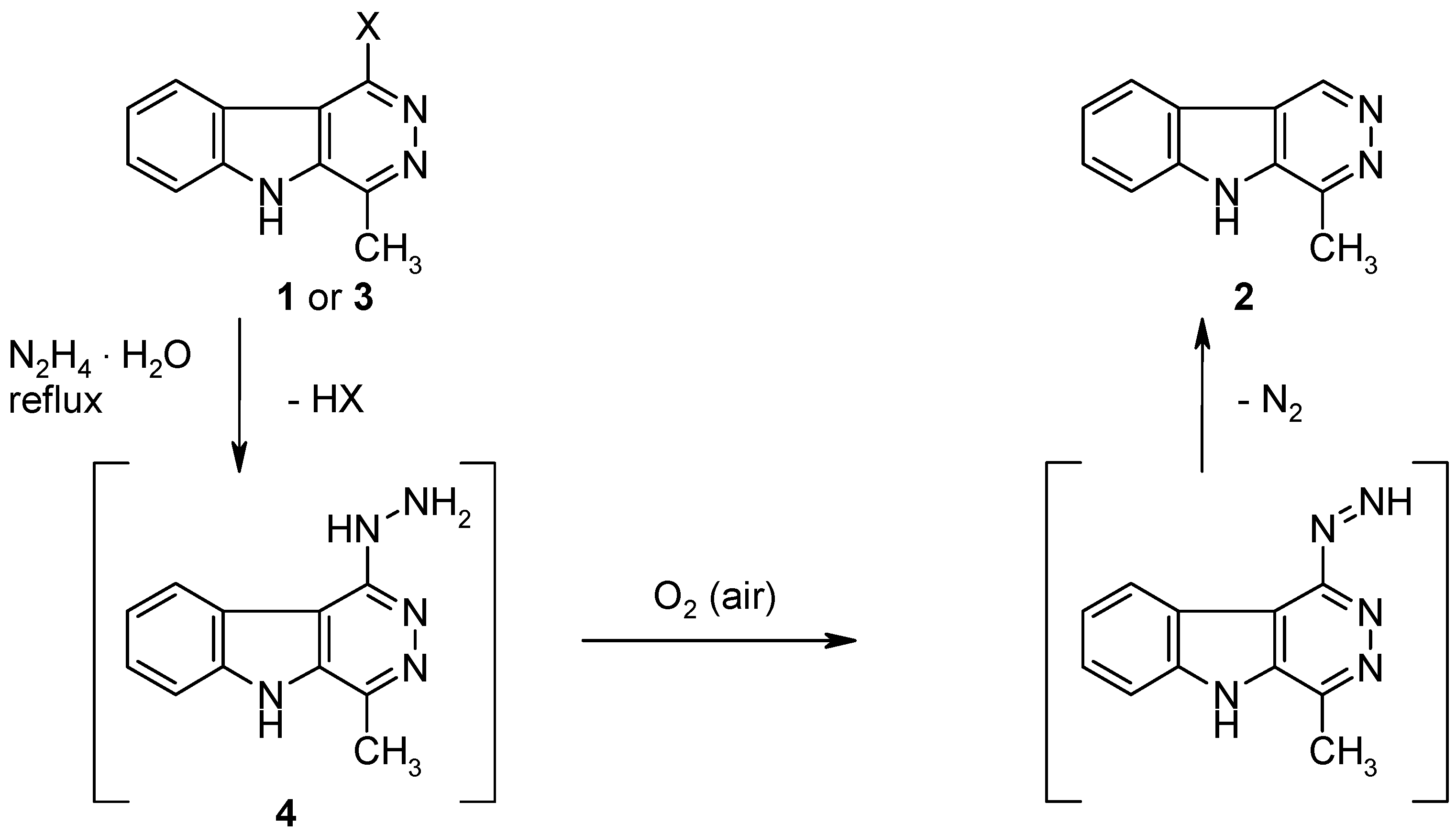
Reaction of the title compound with hydrazine in the presence of air gives the 1-unsubstituted parent system via oxidative dehydrazination of the 1-hydrazino intermediate. The latter can be obtained in high yield by carrying out the hydrazinolysis step under inert gas, and it is smoothly converted into [1,2,4]-triazolo[4’,3’:1,6]pyridazino[4,5-b]indoles.
Introduction
Recently, we reported the synthesis of a series of new azacarbolines of the pyridazino[4,5-b]indole type, including 4-methyl-5H-pyridazino[4,5-b]indole, an aza isoster of the natural product, harman [1]. Some of these tricyclic compounds had shown weak to moderate in-vitro cytostatic activity towards several human tumour cell lines. In the course of our ongoing search for new lead structures in the antitumour agent field, we became interested in further modifications of this type of compounds with the pyridazino[4,5-b]indole ring system as the core structure. In particular, annulation of a further ring onto the pyridazine unit, increasing the size of the heteroaromatic chromophore, was envisaged. For this purpose, 1-chloro-4-methyl-5H-pyridazino[4,5-b]indole (1), for which we had developed an efficient synthesis [1] via the corresponding pyridazinone [2], appeared to be a particularly useful key intermediate. The chloro function in 1 should be easily replaceable by a hydrazino group which, in turn, would permit the annulation of a further ring, e.g. a 1,2,4-triazole. Here, we describe the reaction behaviour of the tricyclic chloropyridazine 1 towards hydrazine as well as the convenient synthesis of a series of new [1,2,4]-triazolo[4’,3’:1,6]pyridazino[4,5-b]indole derivatives.
Results and Discussion
Initial attempts to transform the chloropyridazine 1 into the required 1-hydrazino compound by heating with excess hydrazine hydrate failed and after complete consumption of the starting material (48 hours), the 1-unsubstituted tricycle 2 was isolated in 50% yield as the sole reaction product. This compound had been prepared previously [1] by catalytic hydrogenation of 1 and it was unambiguously identified by its spectral data. The same result was obtained when the thione 3 [1] was employed as a substrate for hydrazinolysis: in this case 2 was obtained in 70% yield (Scheme 1).
Scheme 1.
Scheme 1.

Obviously, the initially formed hydrazinopyridazine 4 is very susceptible towards oxidation by air oxygen, and thus undergoes oxidative dehydrazination under the conditions required for nucleophilic displacement of the leaving group at the 1 position. The oxidative removal of a hydrazino group from arylhydrazines is a well-established method [3] and has also found many applications in pyridazine chemistry [4]. However, in most cases such transformations require the use of oxidants like copper(II) salts or mercury(II) oxide, although there are also examples in which molecular oxygen acts as the oxidant, typically in strongly alkaline media [5,6,7,8,9,10,11]. As a mechanism of the observed transformation, we can propose a dehydrogenation of the N–N bond of the hydrazino function into a diazene structure, followed by spontaneous loss of molecular nitrogen, (Scheme 2).
Consequently, strict exclusion of oxygen during the nucleophilic substitution step should permit the preparation of 4 from its precursor. This was found to be the case: when the chloro compound 1 was refluxed in hydrazine hydrate under argon, a nearly quantitative yield of the hydrazino product was obtained. However, the latter proved to be very unstable on attempted purification or storage and thus was immediately used for further transformations.
Scheme 2.
Scheme 2.

Scheme 3.
Scheme 3.

Treatment of 4 with benzoyl chloride in refluxing dioxane afforded the benzhydrazide 5 as a stable derivative (Scheme 3). The open-chain structure of 5, which was isolated as the hydrochloride, clearly follows from its mass spectrum (M+ peak at m/z = 317) and a strong IR absorption band at 1668 cm–1 (C=O stretching). Compound 5 can be smoothly dehydrated by heating in phosphorus oxychloride, affording the fused triazole 6a in high yield. When phenylpropionyl chloride is employed in the reaction with 4, the inititally formed hydrazide cyclizes spontaneously into the phenethyl-substituted triazole 6b. In a similar fashion, heating of 4 in excess acetic anhydride gives 6c. For the synthesis of the 3-unsubstituted and the 3-ethyl congeners 6d and 6e, heating of the hydrazine 4 in the appropriate ortho ester (triethyl orthoformate or triethyl orthopropionate, respectively), was found to be a suitable method. Also with high-boiling carboxylic acid esters, analogous cyclocondensations can be effected, as exemplified by the one-step preparation of the esters 6f and 6g from 4, using diethyl oxalate or diethyl malonate, respectively. The lower yields mainly result from losses during purification.
Another new type of [1,2,4]-triazolo[4’,3’:1,6]pyridazino[4,5-b]indoles was made available by reacting the hydrazine 4 with carbon-dioxide-type building blocks (Scheme 4). Heating of 4 with 1,1’-carbonyldiimidazole (CDI) in dry dioxane smoothly gave the fused triazolone 7, whereas the corresponding tetracyclic thione 8 was obtained in satisfactory yield on treatment of 4 with carbon disulfide in ethanolic potassium hydroxide. Expectedly, alkylation of the latter compound was found to take place preferentially at the sulfur atom [12]. Thus, the two alkylsulfanyl derivatives 9a,b, featuring a basic side chain at position 3 of the condensed system were prepared from 8 by reaction with the respective alkyl chloride in ethanolic solution in the presence of sodium acetate. The location of the newly introduced alkyl residue in 9a,b is supported by the absence of a thiocarbonyl band in the IR spectrum. Moreover, the 1H-NMR spectra clearly show for both compounds that the only exchangeable hydrogen is attached to the indole nitrogen (7-N), as proven by a NOE which is observed on irradiation of the 8-H resonance.
Scheme 4.
Scheme 4.

In an in-vitro screening of the new compounds, only 5, 6b, 6e and 9a showed weak to moderate antitumour activity. Cell-growth inhibitory activities generally did not exceed 50% at a fixed sample concentration of 3.16 μg/mL, with the exception of the (diethylamino)ethylsulfanyl-substituted compound 9a (67% growth inhibition for NCI-H460 non-small-cell lung cancer cells, 72% for RKOp27 colon adenocarcinoma cells).
Conclusions
We could demonstrate that hydrazinolysis of the indole-fused chloropyridazine 1 can afford either the 1-unsubstituted 3-azaharman 2 or the 1-hydrazino compound 4, both with preparatively useful yields, and entirely dependent on the presence or absence of oxygen in the atmosphere. The hydrazine derivative 4 was found to be a versatile key intermediate for the synthesis of a series of new [1,2,4]-triazolo[4’,3’:1,6]pyridazino[4,5-b]indoles.
Experimental
General
Melting points (uncorrected) were determined on a Kofler hot-stage microscope (Reichert). 1H- NMR spectra were recorded on a Bruker Avance DPX 200 (200 MHz) or on a Varian UnityPlus 300 (300 MHz) spectrometer. IR spectra were taken on a Perkin-Elmer 1605 FT-IR instrument. Mass spectra were obtained on a Shimadzu QP5050A DI 50 instrument, high-resolution mass spectra were recorded on a Finnigan MAT 8230 spectrometer at the Department of Organic Chemistry, University of Vienna. Column chromatography was carried out on Merck Kieselgel 60, 0.063–0.200 mm, thin layer chromatography was done on Merck aluminium sheets pre-coated with Kieselgel F254. Microanalyses [13] were performed at the Institute of Physical Chemistry (Microanalytical Laboratory), University of Vienna.
4-Methyl-5H-pyridazino[4,5-b]indole (2).
Method A: A mixture of the chloro compound 1 [1] (217 mg, 1 mmol) and hydrazine hydrate (5 mL, 0.1 mol) was refluxed for 48 h. The excess reagent was removed under reduced pressure and the residue was triturated with water (10 mL). The product was collected by filtration and recrystallized from EtOH to give 2 (92 mg, 50%) as colourless crystals, mp >320 °C (dec.; sublimation above 280 °C; lit. [1]: >320 °C dec.); identified by 1H-NMR and MS [1].
Method B: A mixture of the thione 3 [1] (215 mg, 1 mmol) and hydrazine hydrate (2 mL, 0.04 mol) in EtOH (10 mL) was refluxed for 48 h. The volatile components were removed under reduced pressure and the residue was triturated with water (10 mL). The product was collected by filtration and recrystallized from EtOH to give 2 (129 mg, 70%) as colourless crystals (see above).
1-Hydrazino-4-methyl-5H-pyridazino[4,5-b]indole (4).
A mixture of the chloro compound 1 [1] (217 mg, 1 mmol) and hydrazine hydrate (5 mL, 0.1 mol) was flushed with argon, then it was refluxed under argon for 48 h. The excess reagent was removed under reduced pressure and the residue was triturated with water (10 mL). The product was collected by filtration and dried to give 4 (210 mg, 99%) as colourless crystals, mp >300 °C. This material is air-sensitive and was used for the following transformations without further purification. IR (KBr): 3321, 3298, 3155, 3141, 3078, 2981, 1620, 1573, 1423, 1328, 1216, 1111, 1017, 910, 744, 721 cm–1; MS (EI, 70 eV) m/z: 213 (M+, 100%), 183 (20), 168 (67), 156 (9), 142 (45), 128 (8), 115 (49), 101 (6), 88 (21), 70 (13), 63 (17); 1H-NMR (DMSO-d6) δ: 12.07 (s, 1H, 5-NH), 8.39 (d, J8,9 = 8.0 Hz, 1H, 9-H), 7.88 (s, 1H, NHNH2), 7.66 (d, J6,7 = 8.0 Hz, 1H, 6-H), 7.55–7.47 (m, 1H, 7-H), 7.34–7.27 (m, 1H, 8-H), 4.59 (s, 2H, NHNH2), 2.73 (s, 3H, CH3).
N'-(4-Methyl-5H-pyridazino[4,5-b]indol-1-yl)benzohydrazide (5).
Benzoyl chloride (140 mg, 1 mmol) was added dropwise to a solution of the hydrazino compound 4 (213 mg, 1 mmol) in dry dioxane (7 mL) and the mixture was refluxed under argon for 14 h. After cooling, the volatile components were removed under reduced pressure and the residue was recrystallized from EtOH to give the hydrochloride-monohydrate of 5 (126 mg, 34%) as colourless crystals, mp >350 °C. IR (KBr): 3422, 3154, 3062, 2778, 1668, 1616, 1581, 1555, 1513, 1460, 1399, 1311, 1291, 1262,, 1223 1155, 1046, 1021, 896, 775, 754, 710, 688, 640 cm–1; MS (EI, 70 eV) m/z: 318 (5%), 317 (M+, 20), 299 (100), 284 (31), 260 (22), 212 (36), 168 (21), 167 (19), 140 (24), 135 (9), 114 (12), 105 (37), 83 (15), 77 (41), 58 (40); 1H-NMR (DMSO-d6) δ: 13.87 (s, 1H, NH), 11.31 (s, 1H, NH), 8.74 (d, J8,9 = 8.1 Hz, 1H, 9-H), 8.08–8.06 (m, 2H, phenyl-H), 7.91 (d, J6,7 = 8.4 Hz, 1H, 6-H), 7.76–7.71 (m, 1H, 7-H), 7.68–7.53 (m, 4H, phenyl-H, 8-H), 2.82 (s, 3H, CH3). Anal. calcd for C18H15N5 O · 0.90 HCl · H2O: C, 58.72; H, 4.90; N, 19.02. Found: C, 58.74; H, 4.90; N, 18.76.
6-Methyl-3-phenyl-7H-[1,2,4]triazolo[4’,3’:1,6]pyridazino[4,5-b]indole (6a).
A mixture of 5 · HCl · H2O (35 mg, 0.095 mmol) and POCl3 (5 mL) was heated to 100 °C for 1 h. After cooling, the excess POCl3 was removed under reduced pressure and the residue was triturated with ice-water and made basic with concd. NH4OH. The precipitate was collected by filtration and recrystallized from EtOH to furnish 6a (26 mg, 92%) as colourless crystals, mp >350 °C. IR (KBr): 3405, 3066, 2954, 2923, 2882, 2770, 1635, 1616, 1539, 1503, 1470, 1324, 1272, 1239, 1181, 1143, 1070, 748, 669 cm–1; MS (EI, 70 eV) m/z: 300 (5%), 299 (M+, 100), 168 (11), 150 (6), 140 (15), 114 (8), 105 (37), 83 (15), 77 (41), 58 (40); 1H-NMR (DMSO-d6) δ: 12.74 (s, 1H, NH, shows positive NOE on irradiation at 2.88 ppm), 8.48–8.44 (m, 2H, phenyl 2’-H, 6’-H), 8.33 (d, J10,11 = 8.1 Hz, 1H, 11-H), 7.78 (d, J8,9 = 8.4 Hz, 1H, 8-H), 7.65–7.51 (m, 4H, 9-H, phenyl 3’-H, 4’-H, 5’-H), 7.49–7.43 (m, 1H, 10-H), 2.88 (s, 3H, CH3). Anal. calcd for C18H13N5 · 0.1 H2O: C, 71.79; H, 4.42; N, 23.26. Found: C, 71.75; H, 4.53; N, 23.19.
6-Methyl-3-(2-phenylethyl)-7H-[1,2,4]triazolo[4’,3’:1,6]pyridazino[4,5-b]indole (6b).
3-Phenyl propionyl chloride (168 mg, 1 mmol) was added dropwise over 5 min, to a solution of the hydrazino compound 4 (213 mg, 1 mmol) in dry dioxane (7 mL), then the mixture was refluxed under argon for 16 h. After cooling, the volatile components were removed under reduced pressure and the residue was recrystallized from EtOH to afford the hydrochloride of 6b (223 mg, 61%) as pale yellow crystals, mp 325–327 °C. IR (KBr): 3404, 3058, 3023, 2921, 2742, 2574, 1652, 1617, 1537, 1493, 1453, 1416, 1383, 1252, 1197, 700, 638 cm–1; MS (EI, 70 eV) m/z: 327 (M+, 44%), 326 (49), 299 (12), 237 (29), 236 (100), 200 (12), 172 (17), 156 (14), 140 (24), 127 (10), 114 (15), 91 (61), 73 (15), 67 (64); 1H-NMR (DMSO-d6) δ: 13.63 (s, 1H, NH, shows positive NOE on irradiation at 2.95 ppm), 8.66 (d, J10,11 = 7.8 Hz, 1H, 11-H), 7.87 (d, J8,9 = 8.4 Hz, 1H, 8-H), 7.73–7.68 (m, 1H, 9-H), 7.55–7.50 (m, 1H, 10-H), 7.32–7.19 (m, 5H, phenyl-H, shows positive NOE on irradiation at 3.24 ppm), 3.52 (t, J = 7.7 Hz, 2H, PhCH2CH2), 3.24 (t, J = 7.7 Hz, 2H, PhCH2CH2), 2.95 (s, 3H, CH3). Anal. calcd for C20H17N5 · HCl · 0.1 H2O: C, 65.70; H, 5.02; N, 19.15. Found: C, 65.40; H, 5.03; N, 18.94.
3,6-Dimethyl-7H-[1,2,4]triazolo[4’,3’:1,6]pyridazino[4,5-b]indole (6c).
A mixture of the hydrazino compound 4 (70 mg, 0.33 mmol) and acetic anhydride (5 mL) was heated under argon to 100 °C for 1 h. After cooling, the excess reagent was removed under reduced pressure and the residue was triturated with water (10 mL), filtered off and recrystallized from EtOH to give 6c (24 mg, 31%) as colourless crystals, mp >350 °C. IR (KBr): 3132, 3074, 2921, 2746, 1635, 1614, 1533, 1506, 1409, 1323, 1246, 1098, 825, 759 cm–1; MS (EI, 70 eV) m/z: 238 (16%), 237 (M+, 100), 168 (30), 167 (16), 142 (10), 141 (15), 140 (39), 115 (16), 114 (24), 100 (7), 84 (11), 76 (7), 63 (11), 57 (10), 51 (9); 1H-NMR (DMSO-d6) δ: 12.62 (bs, 1H, NH), 8.27–8.24 (m, 1H, 11-H), 7.77–7.75 (m, 1H, 8-H), 7.62–7.57 (m, 1H, 9-H), 7.54–7.40 (m, 1H, 10-H), 2.82 (s, 3H, 6-CH3), 2.70 (s, 3H, 3-CH3). HRMS (EI, 70 eV) m/z calcd for C13H11N5 (M+): 237.1014. Found: 237.1008.
6-Methyl-7H-[1,2,4]triazolo[4’,3’:1,6]pyridazino[4,5-b]indole (6d).
A suspension of the hydrazino compound 4 (100 mg, 0.47 mmol) in triethyl orthoformate (5 mL) was refluxed under argon for 6 h. After cooling, the excess reagent was removed by Kugelrohr distillation and the residue was purified by recrystallization from EtOH to give 6d (65 mg, 61%) as almost colourless crystals, mp >350 °C. IR (KBr): 3140, 3060, 2924, 2842, 2763, 1637, 1613, 1510, 1394, 1322, 1211, 1176, 1029, 916, 793, 754, 663, 625 cm–1; MS (EI, 70 eV) m/z: 224 (15%), 223 (M+, 100), 195 (6), 168 (13), 167 (11), 141 (11), 140 (33), 127 (7), 115 (20), 114 (27), 113 (14), 100 (10), 88 (10), 84 (7), 70 (18), 51 (8); 1H-NMR (DMSO-d6) δ: 12.68 (s, 1H, NH), 9.46 (s, 1H, 3-H), 8.29–8.26 (m, 1H, 11-H), 7.78–7.75 (m, 1H, 8-H), 7.63–7.58 (m, 1H, 9-H), 7.47–7.41 (m, 1H, 10-H), 2.81 (s, 3H, CH3). Anal. calcd for C12H9N5 · 0.1 C2H5OH: C, 64.31; H, 4.25; N, 30.74. Found: C, 64.26; H, 4.24; N, 30.69.
3-Ethyl-6-methyl-7H-[1,2,4]triazolo[4’,3’:1,6]pyridazino[4,5-b]indole (6e).
A suspension of the hydrazino compound 4 (213 mg, 1 mmol) in triethyl orthopropionate (8 mL) was refluxed under argon for 8 h. After cooling, the excess reagent was removed by Kugelrohr distillation, and the residue was purified by column chromatography (CH2Cl2/MeOH, 19:1) followed by recrystallization from EtOH to afford 6e (148 mg, 59%) as almost colourless crystals, mp 338–340 °C. IR (KBr): 3137, 3070, 2983, 2938, 2880, 2771, 1635, 1614, 1531, 1505, 1465, 1324, 1246, 1032, 810, 750 cm–1; MS (EI, 70 eV) m/z: 252 (16%), 251 (M+, 100), 250 (44), 237 (20), 236 (68), 167 (9), 152 (7), 141 (7), 140 (21), 115 (9), 114 (13), 113 (6), 88 (9), 76 (5), 71 (10), 63 (6); 1H-NMR (DMSO-d6) δ: 12.76 (s, 1H, NH, shows positive NOE on irradiation at 2.83 ppm), 8.28 (d, J10,11 = 8.1 Hz, 1H, 11-H), 7.76 (d, J8,9 = 8.4 Hz, 1H, 8-H), 7.64–7.58 (m, 1H, 9-H), 7.47–7.41 (m, 1H, 10-H), 3.13 (q, J = 7.5 Hz, 2H, CH2CH3), 2.83 (s, 3H, CH3), 1.41 (t, J = 7.5 Hz, 3H, CH2CH3). Anal. calcd for C14H13N5: C, 66.92; H, 5.21; N, 27.87. Found: C, 66.55; H, 5.11; N, 27.56.
Ethyl 6-methyl-7H-[1,2,4]triazolo[4’,3’:1,6]pyridazino[4,5-b]indole-3-carboxylate (6f).
A mixture of the hydrazino compound 4 (100 mg, 0.47 mmol) and diethyl oxalate (7 mL) was refluxed under argon for 4 h. After cooling, the excess reagent was removed by Kugelrohr distillation and the residue was purified by column chromatography (CH2Cl2/MeOH, 19:1) and subsequent recrystallization from EtOH to give 6f (60 mg, 42%) as colourless crystals, mp 280–282 °C. IR (KBr): 3327, 3064, 2990, 1716, 1618, 1536, 1483, 1367, 1348, 1294, 1270, 1238, 1195, 1064, 835, 769, 750, 663 cm–1; MS (EI, 70 eV) m/z: 295 (M+, 62%), 250 (15), 239 (9), 224 (11), 223 (69), 194 (9), 182 (9), 169 (14), 168 (100), 167 (19), 140 (25), 125 (6), 114 (20), 100 (7), 88 (11), 70 (11); 1H-NMR (DMSO-d6) δ: 12.89 (s, 1H, NH), 8.33 (d, J10,11 = 8.1 Hz, 1H, 11-H), 7.79 (d, J8,9 = 8.4 Hz, 1H, 8-H), 7.67–7.61 (m, 1H, 9-H), 7.49–7.44 (m, 1H, 10-H), 4.48 (q, J = 7.1 Hz, 2H, CH2CH3), 2.87 (s, 3H, CH3), 1.40 (t, J = 7.1 Hz, 3H, CH2CH3). Anal. calcd for C15H13N5O2 · 0.2 C2H5OH: C, 60.74; H, 4.70; N, 23.00. Found: C, 60.72; H, 4.39; N, 22.82.
Ethyl (6-methyl-7H-[1,2,4]triazolo[4’,3’:1,6]pyridazino[4,5-b]indol-3-yl)acetate (6g).
A mixture of the hydrazino compound 4 (150 mg, 0.7 mmol) and diethyl malonate (5 mL) was refluxed under argon for 6 h. After cooling, the excess reagent was removed by Kugelrohr distillation and the residue was purified by recrystallization from EtOH to give 6g (80 mg, 37%) as almost colourless needles, mp 283–285 °C. IR (KBr): 3422, 3072, 2984, 2771, 1740, 1635, 1615, 1534, 1419, 1368, 1200, 1185, 751, 505 cm–1; MS (EI, 70 eV) m/z: 310 (14%), 309 (M+, 64), 238 (6), 237 (44), 236 (100), 178 (6), 168 (6), 167 (10), 152 (13), 140 (19), 127 (6), 115 (10), 113 (8), 104 (4), 100 (4), 88 (7); 1H-NMR (DMSO-d6) δ: 12.71 (s, 1H, NH), 8.28 (d, J10,11 = 8.1 Hz, 1H, 11-H), 7.77 (d, J8,9 = 8.4 Hz, 1H, 8-H), 7.64–7.59 (m, 1H, 9-H), 7.47–7.42 (m, 1H, 10-H), 4.31 (s, 2H, CH2), 4.14 (q, J = 7.1 Hz, 2H, CH2CH3), 2.81 (s, 3H, CH3), 1.84 (t, J = 7.1 Hz, 3H, CH2CH3). Anal. calcd for C16H15N5O2: C, 62.13; H, 4.89; N, 22.64. Found: C, 61.95; H, 4.83; N, 22.39.
6-Methyl-2,7-dihydro-3H-[1,2,4]triazolo[4’,3’:1,6]pyridazino[4,5-b]indol-3-one (7).
A mixture of the hydrazino compound 4 (107 mg, 0.5 mmol) and 1,1’-carbonyldiimidazole (162 mg, 1 mmol) in dry dioxane (10 mL) was refluxed under argon for 14 h. After cooling, the solvent was removed under reduced pressure and the residue was triturated with water (20 mL). The product was collected by filtration, dried and recrystallized from EtOH to afford 7 (80 mg, 64%) as colourless crystals, mp >350 °C. IR (KBr): 3419, 3133, 3083, 2891, 1708, 1652, 1614, 1532, 1400, 1243, 1077, 746 cm–1; MS (EI, 70 eV) m/z: 240 (13%), 239 (M+, 100%), 168 (37), 167 (15), 156 (8), 142 (43), 115 (20), 114 (27), 91 (12), 88 (13), 71 (21), 63 (8), 57 (10); 1H-NMR (DMSO-d6) δ: 12.24 (bs, 2H, NH), 8.01 (d, J10,11 = 7.8 Hz, 1H, 11-H), 7.71 (d, J8,9 = 8.4 Hz, 1H, 8-H), 7.56–7.51 (m, 1H, 9-H), 7.39–7.35 (m, 1H, 10-H), 2.69 (s, 3H, CH3). Anal. calcd for C12H9N5O · 0.65 H2O: C, 57.44; H, 4.14; N, 27.91. Found: C, 57.40; H, 3.97; N, 27.62.
6-Methyl-2,7-dihydro-3H-[1,2,4]triazolo[4’,3’:1,6]pyridazino[4,5-b]indole-3-thione (8).
A mixture of the hydrazino compound 4 (213 mg, 1 mmol), CS2 (3 mL) and KOH (500 mg, 9 mmol) in EtOH (10 mL) was heated under argon to 60 °C until the starting material was consumed (TLC monitoring). The volatile components were removed under reduced pressure and the residue was taken up in water (100 mL). The resulting mixture was acidified with 2N HCl, the precipitate was collected by filtration and recrystallized from EtOH to give 8 (185 mg, 72%) as yellow crystals, mp >300 °C. IR (KBr): 3419, 3145, 2998, 2929, 2776, 1646, 1616, 1533, 1507, 1443, 1399, 1333, 1267, 1242, 1206, 1039, 958, 863, 836, 801, 746, 668, 562. cm–1; MS (EI, 70 eV) m/z: 256 (15%), 255 (M+, 100), 168 (10), 156 (5), 140 (11), 128 (8), 115 (49), 114 (10), 88 (4), 58 (25); 1H-NMR (DMSO-d6) δ: 14.33 (s, 1H, 2-NH), 12.80 (s, 1H, 7-NH, shows positive NOE on irradiation at 2.81 ppm), 8.08 (d, J10,11 = 7.8 Hz, 1H, 11-H), 7.75 (d, J8,9 = 8.4 Hz, 1H, 8-H), 7.61–7.56 (m, 1H, 9-H), 7.44–7.39 (m, 1H, 10-H), 2.81 (s, 3H, CH3). HRMS (EI, 70 eV) m/z calcd for C12H9N5S (M+): 255.0579. Found: 255.0584.
N,N-Diethyl-N-{2-[(6-methyl-7H-[1,2,4]triazolo[4’,3’:1,6]pyridazino[4,5-b]indol-3-yl)sulfanyl]-ethyl}amine (9a).
2-Diethylaminoethyl chloride hydrochloride (125 mg, 0.73 mmol) was added to a mixture of the thione 8 (185 mg, 0.72 mmol) and sodium acetate (400 mg, 4.9 mmol) in EtOH (10 mL) and the mixture was refluxed for 16 h. The solvent was removed under reduced pressure, the residue was dissolved in water (50 mL) and the product was extracted with CH2Cl2 (3 × 50 mL). The combined extracts were washed with water and dried over Na2SO4. The solvent was removed under reduced pressure and the product was purified by column chromatography (CH2Cl2/MeOH, 9:1). Evaporation of the main fraction, followed by recrystallization from EtOH/EtOAc gave 9a (125 mg, 49%) as colourless needles, mp 228–230 °C. IR (KBr): 3418, 3141, 2967, 2934, 2801, 1635, 1613, 1539, 1399, 1244, 1216, 1076, 803, 747, 664 cm–1; MS (EI, 70 eV) m/z: 354 (M+, 1%), 255 (23), 140 (5), 114 (6), 100 (100), 99 (60), 86 (90), 71 (24), 56 (22); 1H-NMR (CDCl3) δ: 10.70 (s, 1H, NH), 8.39 (d, J10,11 = 8.1 Hz, 1H, 11-H), 7.67 (d, J8,9 = 8.4 Hz, 1H, 8-H), 7.53–7.48 (m, 1H, 9-H), 7.37–7.32 (m, 1H, 10-H), 3.53 (t, J = 7.4 Hz, 2H, SCH2), 3.01 (t, J = 7.4 Hz, 2H, SCH2CH2N), 2.89 (s, 3H, CH3), 2.66 (q, J = 7.2 Hz, 4H, SCH2CH2N(CH2CH3)2), 1.06 (t, J = 7.2 Hz, 6H, SCH2CH2N(CH2CH3)2). Anal. calcd for C18H22N6S: C, 60.99; H, 6.26; N, 23.71. Found: C, 60.69; H, 6.20; N, 23.59.
4-{2-[(6-Methyl-7H-[1,2,4]triazolo[4’,3’:1,6]pyridazino[4,5-b]indol-3-yl)sulfanyl]ethyl}morpholine (9b).
4-(2-Chloroethyl)morpholine hydrochloride (146 mg, 0.78 mmol) was added to a mixture of the thione 8 (200 mg, 0.78 mmol) and sodium acetate (400 mg, 4.9 mmol) in EtOH (10 mL) and the mixture was refluxed for 16 h. The solvent was removed under reduced pressure, the residue was dissolved in water (50 mL) and the product was extracted with CH2Cl2 (3 × 50 mL). The extract was washed with water and dried over Na2SO4. The solvent was removed under reduced pressure and the product was purified by column chromatography (CH2Cl2/MeOH, 9:1). Evaporation of the main fraction, followed by recrystallization from EtOH/EtOAc gave 9b (240 mg, 83%) as colourless crystals, mp 242–244 °C. IR (KBr): 3410, 3143, 3078, 2959, 2812, 2737, 1635, 1613, 1533, 1503, 1399, 1302, 1243, 1117, 1004, 916, 867, 803, 770, 749, 663 cm–1; MS (EI, 70 eV) m/z: 368 (M+, 2%), 268 (5), 255 (62), 250 (16), 114 (56), 100 (100), 85 (19), 70 (13), 56 (40); 1H-NMR (CDCl3) δ: 10.92 (s, 1H, NH, shows positive NOE on irradiation at 2.89 ppm or at 7.62 ppm), 8.36 (d, J10,11 = 7.8 Hz, 1H, 11-H), 7.62 (d, J8,9 = 8.4 Hz, 1H, 8-H), 7.49–7.44 (m, 1H, 9-H), 7.35–7.30 (m, 1H, 10-H), 3.69–3.65 (m, 4H, OCH2), 3.56 (t, J = 7.1 Hz, 2H, SCH2), 2.89 (s, 3H, CH3), 2.87 (t, J = 6.8 Hz, 2H, SCH2CH2N), 2.56–2.51 (m, 4H, NCH2, shows positive NOE on irradiation at 2.87 ppm). Anal. calcd for C18H20N6OS: C, 58.68; H, 5.47; N, 22.81. Found: C, 58.49; H, 5.46; N, 22.69.
Acknowledgements
We are grateful to Zentaris AG, Frankfurt/Main (Germany) for the in-vitro evaluation of antitumour activity. One of us (A. A. H. F.) wishes to thank the Egyptian Ministry of Higher Education and Scientific Research and the Austrian Academic Exchange Service for support of his research stay at the University of Vienna.
References and Notes
- El-Kashef, H.; Farghaly, A. A. H.; Floriani, S.; Haider, N. ARKIVOC 2003, 198–209.
- Zhungietu, G. I.; Zorin, L. M.; Gorgos, V. I.; Rekhter, M. A. Chem. Heterocycl. Compd. (Engl. Transl.) 1982, 18, 811–813. [CrossRef]
- For an overview, cf. Enders, E. Houben-Weyl Methoden der Organischen Chemie; Stroh, R., Ed.; Thieme: Stuttgart, 1967; Vol. 10/2, pp. 498–502. [Google Scholar]
- Haider, N.; Holzer, W. Science of Synthesis: Houben-Weyl Methods of Molecular Trans-formations; Yamamoto, Y., Ed.; Thieme: Stuttgart, 2004; Vol. 16, p. 197. [Google Scholar]
- Doré, G.; Bonhomme, M.; Robba, M. Tetrahedron 1972, 28, 3277–3293.
- Alazawe, S.; Elvidge, J. A. J. Chem. Soc., Perkin Trans. 1 1974, 696.
- Cugnon de Sevricourt, M.; Robba, M. J. Heterocyclic Chem. 1978, 15, 977–979. [CrossRef]
- Ventura, P.; Parravicini, F.; Simonotti, L.; Colombo, R.; Pifferi, G. J. Pharm. Sci. 1981, 70, 334–336. [CrossRef]
- Camparini, A.; Ponticelli, F.; Tedeschi, P. J. Heterocyclic Chem. 1985, 22, 1561–1565. [CrossRef]
- Shaikh, I. A.; Johnson, F.; Grollman, A. J. Med. Chem. 1986, 29, 1329–1340. [CrossRef]
- Henrie, R. N. US Pat. 4728355, 1988. [Chem. Abstr. 1988, 109, 33858].
- The formation of small amounts of side products bearing the alkyl side chain at position 7 was observed in both cases.
- In some cases, elemental analyses indicated partial hydration/solvation despite prolonged drying over P2O5 (80 °C, 10–1 mbar). Nevertheless, the structures of all new compounds are in full agreement with their spectral data and sample purity was ascertained by TLC and/or 1H-NMR.
- Sample availability: No samples available.
© 2004 by MDPI (http:www.mdpi.org). Reproduction is permitted for noncommercial purposes.