Modified Methods for the Synthesis of Triazinyl Fluorescent Brightener Intermediates
Abstract
:Introduction
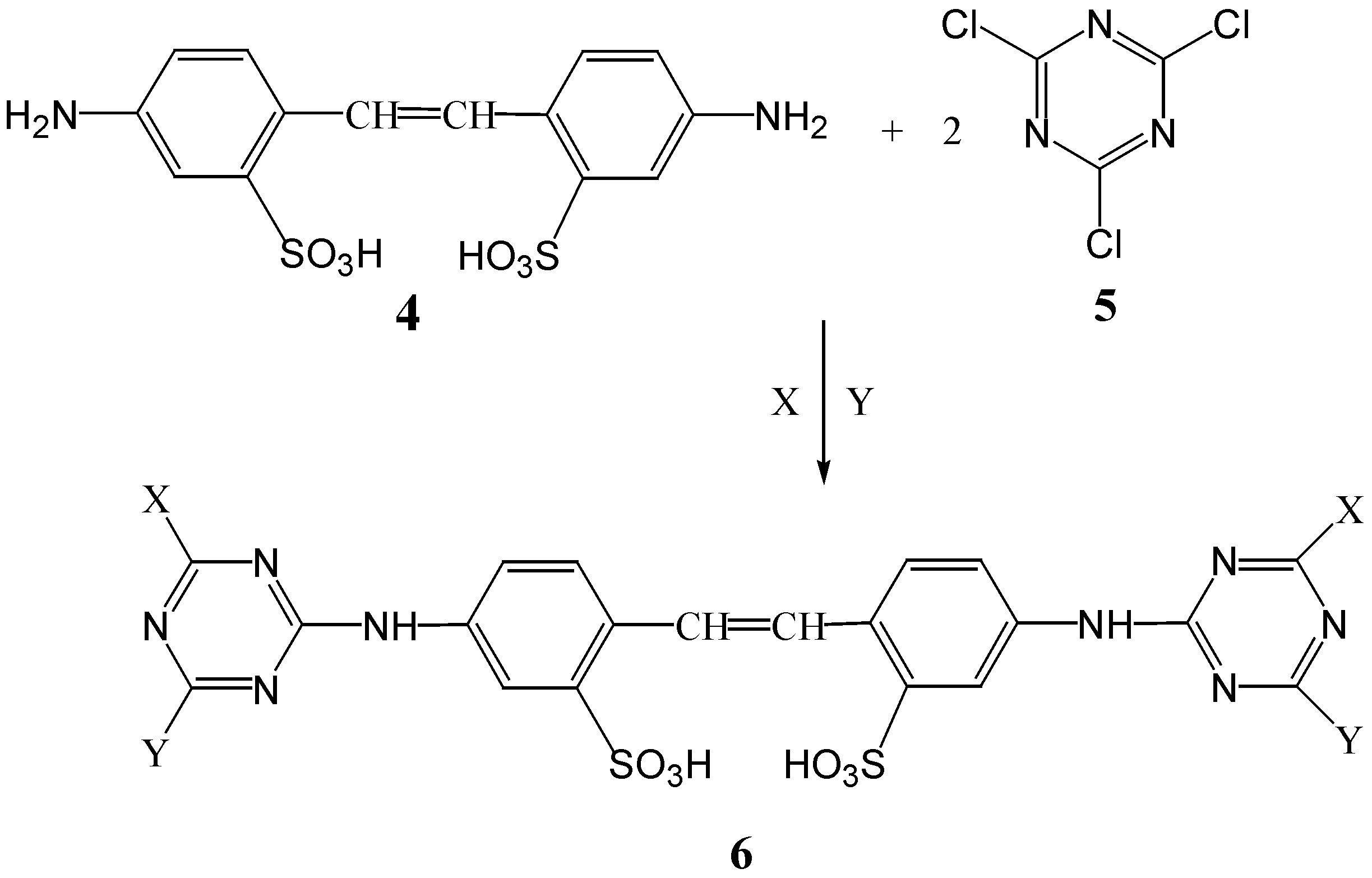
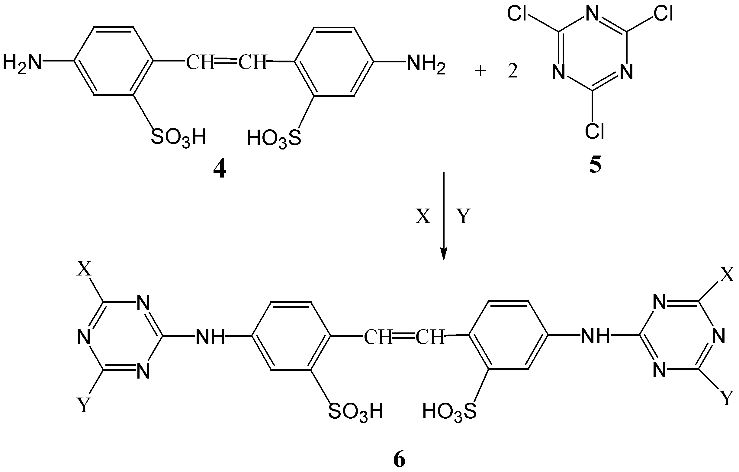
Results and Discussion


Conclusions

Experimental
General
Simplified method for the preparation of 4-nitrotoluene-2-sulfonic acid (2).
Preparation of 4,4'-dinitrostilbene-2,2'-disulfonic acid (3) using diethylene glycol as the solvent.
Acknowledgments
References
- Venkatraman, K. The Chemistry of Synthetic Dyes; Academic Press: New York, 1952; Vol. 1, pp. 628–629. [Google Scholar]
- Lee, J.G.; et al. Process for the Production of p-Nitrotoluene-2-sulfonic Acid. U. S. Pat. 3840591, 1974. [Google Scholar]
- Furniss, B.S.; Hannaford, A.J.; Smith, P.W.G.; Tetcheu, A. R. Vogel’s Textbook of Practical Organic Chemistry, 5th Ed. ed; Longman Scientific & Technical: UK, 1991. [Google Scholar]
- Bermes, R.; et al. Preparation of Amine Salts of 4-Nitrotoluene-2-sulfonic Acid. U. S. Pat. 5892105, 1999. [Google Scholar]
- Inukai, K.; Maki, Y. Fluorescent Bleaching Agent of Stilbene Series, I. Influence of Alkali and Sodium Hypochlorite in the Preparation of Dinitrostilbenedisulfonic Acid. Repts. Govt. Ind. Res. Inst., Nagoya 1952, 1, 98–100, [Chem. Abstr. 1956, 50, 3347]. [Google Scholar]
- Kmonickova, S.; Drabek, J.; Cermak, J.; Mudroch, J. Method of preparation of the 4, 4'-Dinitrostilbene-2,2'-disulpho Acid. C. S. Pat. 216126, 1984. [Chem. Abstr. 1985, 102, 5933]. [Google Scholar]
- Bulliger, H.R.; McGilvary, J.R.N.; Smith, G. Process for the Industrial Manufacture of Dinitrostilbene Disulphonic Acid. G. B. Pat. 1381730, 1975. [Google Scholar]
- Hein, D.W.; Pierce, E.S. Optical Bleaching Agents. I. Derivatives of Dichlorodiaminostilbene disulfonic Acid. J. Am. Chem. Soc. 1954, 76, 2725–2731. [Google Scholar] [CrossRef]
- Farris, R.E. Kirk-Othmer, Encyclopedia of Chemical Technology; Wiley-Interscience: New York, 1983; Vol. 21, pp. 729–746. [Google Scholar]
- Baker, R.L. Fluorescent Whitening Agents, Its Preparation and Use. U. S. Pat. 6165973, 2000. [Google Scholar]
- Sample Availability: Samples of compounds 2 and 3 are available from the authors.
© 2003 by MDPI ( http://www.mdpi.org). Reproduction is permitted for non commercial purposes.
Share and Cite
Safaei-Ghomi, J.; Tajbakhsh, M.; Bamoniri, A.; Parach, A. Modified Methods for the Synthesis of Triazinyl Fluorescent Brightener Intermediates. Molecules 2003, 8, 318-321. https://doi.org/10.3390/80300318
Safaei-Ghomi J, Tajbakhsh M, Bamoniri A, Parach A. Modified Methods for the Synthesis of Triazinyl Fluorescent Brightener Intermediates. Molecules. 2003; 8(3):318-321. https://doi.org/10.3390/80300318
Chicago/Turabian StyleSafaei-Ghomi, Javad, Mahmood Tajbakhsh, Abdolhamid Bamoniri, and Ali Parach. 2003. "Modified Methods for the Synthesis of Triazinyl Fluorescent Brightener Intermediates" Molecules 8, no. 3: 318-321. https://doi.org/10.3390/80300318
APA StyleSafaei-Ghomi, J., Tajbakhsh, M., Bamoniri, A., & Parach, A. (2003). Modified Methods for the Synthesis of Triazinyl Fluorescent Brightener Intermediates. Molecules, 8(3), 318-321. https://doi.org/10.3390/80300318
