Microwave Spectrum of the Ethylmethyl Ether Molecule
Abstract
:Introduction

Experimental

Observed Spectrum and analysis




| J' | Ka' | Kc' | J'' | Ka'' | Kc'' | obs. | average | calc.* | ave.-calc |
| (1) Q-branch transition | |||||||||
| (a) J1 J-1 ← J0 J series. | |||||||||
| 1 | 1 | 0 | 1 | 0 | 1 | 24100.391 | 24100.572 | 24100.621 | -0.049 |
| 24100.753 | |||||||||
| 2 | 1 | 1 | 2 | 0 | 2 | 24370.963 | 24371.207 | 24371.192 | 0.015 |
| 24371.451 | |||||||||
| 3 | 1 | 2 | 3 | 0 | 3 | 24781.024 | 24781.266 | 24781.260 | 0.006 |
| 24781.508 | |||||||||
| 4 | 1 | 3 | 4 | 0 | 4 | 25335.610 | 25335.853 | 25335.856 | -0.003 |
| 25336.096 | |||||||||
| 5 | 1 | 4 | 5 | 0 | 5 | 26041.543 | 26041.661 | 26041.638 | 0.023 |
| 26041.779 | |||||||||
| 6 | 1 | 5 | 6 | 0 | 6 | 26906.707 | 26906.893 | 26906.834 | 0.059 |
| 26907.078 | |||||||||
| 7 | 1 | 6 | 7 | 0 | 7 | 27940.930 | 27941.173 | 27941.138 | 0.035 |
| 27941.415 | |||||||||
| 8 | 1 | 7 | 8 | 0 | 8 | 29155.356 | 29155.644 | 29155.562 | 0.082 |
| 29155.931 | |||||||||
| 9 | 1 | 8 | 9 | 0 | 9 | 30562.021 | 30562.251 | 30562.211 | 0.040 |
| 30562.480 | |||||||||
| 10 | 1 | 9 | 10 | 0 | 10 | 32173.777 | 32174.020 | 32173.987 | 0.033 |
| 32174.263 | |||||||||
| 11 | 1 | 10 | 11 | 0 | 11 | 34003.959 | 34004.270 | 34004.200 | 0.070 |
| 34004.581 | |||||||||
| 12 | 1 | 11 | 12 | 0 | 12 | 36065.858 | 36066.118 | 36066.090 | 0.028 |
| 36066.378 | |||||||||
| 13 | 1 | 12 | 13 | 0 | 13 | 38372.022 | 38372.292 | 38372.271 | 0.021 |
| 38372.562 | |||||||||
| 14 | 1 | 13 | 14 | 0 | 14 | 40933.710 | 40934.145 | 40934.126 | 0.019 |
| 40934.580 | |||||||||
| 15 | 1 | 14 | 15 | 0 | 15 | 43760.760 | 43761.165 | 43761.174 | -0.009 |
| 43761.570 | |||||||||
| 16 | 1 | 15 | 16 | 0 | 16 | 46860.100 | 46860.495 | 46860.474 | 0.021 |
| 46860.890 | |||||||||
| 17 | 1 | 16 | 17 | 0 | 17 | 50235.686 | 50236.100 | 50236.094 | 0.006 |
| 50236.513 | |||||||||
| 18 | 1 | 17 | 18 | 0 | 18 | 53888.277 | 53888.715 | 53888.703 | 0.012 |
| 53889.152 | |||||||||
| 19 | 1 | 18 | 19 | 0 | 19 | 57814.889 | 57815.312 | 57815.310 | 0.002 |
| 57815.734 | |||||||||
| 20 | 1 | 19 | 20 | 0 | 20 | 62008.831 | 62009.174 | 62009.169 | 0.005 |
| 62009.517 | |||||||||
| 21 | 1 | 20 | 21 | 0 | 21 | 66459.481 | 66459.856 | 66459.850 | 0.006 |
| 66460.231 | |||||||||
| 22 | 1 | 21 | 22 | 0 | 22 | 71153.089 | 71153.445 | 71153.457 | -0.012 |
| 71153.820 | |||||||||
| 23 | 1 | 22 | 23 | 0 | 23 | 76072.572 | 76072.955 | 76072.978 | -0.023 |
| 76073.337 | |||||||||
| 24 | 1 | 23 | 24 | 0 | 24 | 81198.339 | 81198.757 | 81198.738 | 0.019 |
| 81199.174 | |||||||||
| 25 | 1 | 24 | 25 | 0 | 25 | 86508.462 | 86508.913 | 86508.923 | -0.010 |
| 86509.364 | |||||||||
| 26 | 1 | 25 | 26 | 0 | 26 | 91979.716 | 91980.151 | 91980.167 | -0.016 |
| 91980.586 | |||||||||
| 27 | 1 | 26 | 27 | 0 | 27 | 97587.703 | 97588.155 | 97588.165 | -0.010 |
| 97588.606 | |||||||||
| 28 | 1 | 27 | 28 | 0 | 28 | 103307.822 | 103308.307 | 103308.312 | -0.005 |
| 103308.791 | |||||||||
| 29 | 1 | 28 | 29 | 0 | 29 | 109115.821 | 109116.335 | 109116.321 | 0.014 |
| 109116.848 | |||||||||
| (b) J2 J-2 ← J1 J-1. | |||||||||
| 7 | 2 | 5 | 7 | 1 | 6 | 68455.322 | 68456.087 | 68456.067 | 0.020 |
| 68456.852 | |||||||||
| 8 | 2 | 6 | 8 | 1 | 7 | 67589.252 | 67590.039 | 67590.000 | 0.039 |
| 67590.826 | |||||||||
| 9 | 2 | 7 | 9 | 1 | 8 | 66676.621 | 66677.398 | 66677.468 | -0.070 |
| 66678.174 | |||||||||
| 12 | 2 | 10 | 12 | 1 | 11 | 63879.656 | 63880.380 | 63880.416 | -0.036 |
| 63881.104 | |||||||||
| 13 | 2 | 11 | 13 | 1 | 12 | 63007.562 | 63008.290 | 63008.323 | -0.033 |
| 63009.017 | |||||||||
| 14 | 2 | 12 | 14 | 1 | 13 | 62207.641 | 62208.391 | 62208.389 | 0.002 |
| 62209.140 | |||||||||
| 15 | 2 | 13 | 15 | 1 | 14 | 61505.288 | 61506.020 | 61506.015 | 0.005 |
| 61506.752 | |||||||||
| 16 | 2 | 14 | 16 | 1 | 15 | 60925.333 | 60926.037 | 60926.050 | -0.013 |
| 60926.740 | |||||||||
| 21 | 2 | 19 | 21 | 1 | 20 | 60649.185 | 60649.798 | 60649.791 | 0.007 |
| 60650.410 | |||||||||
| 22 | 2 | 20 | 22 | 1 | 21 | 61255.456 | 61256.041 | 61256.053 | -0.012 |
| 61256.626 | |||||||||
| 23 | 2 | 21 | 23 | 1 | 22 | 62120.858 | 62121.436 | 62121.460 | -0.024 |
| 62122.014 | |||||||||
| 24 | 2 | 22 | 24 | 1 | 23 | 63259.303 | 63259.878 | 63259.873 | 0.005 |
| 63260.453 | |||||||||
| 25 | 2 | 23 | 25 | 1 | 24 | 64683.379 | 64683.927 | 64683.916 | 0.011 |
| 64684.475 | |||||||||
| 26 | 2 | 24 | 26 | 1 | 25 | 66404.416 | 66404.943 | 66404.937 | 0.006 |
| 66405.470 | |||||||||
| 27 | 2 | 25 | 27 | 1 | 26 | 68432.372 | 68432.858 | 68432.873 | -0.015 |
| 68433.343 | |||||||||
| 28 | 2 | 26 | 28 | 1 | 27 | 70775.554 | 70776.018 | 70776.025 | -0.007 |
| 70776.482 | |||||||||
| 29 | 2 | 27 | 29 | 1 | 28 | 73440.285 | 73440.730 | 73440.750 | -0.020 |
| 73441.174 | |||||||||
| 30 | 2 | 28 | 30 | 1 | 29 | 76430.674 | 76431.100 | 76431.117 | -0.017 |
| 76431.525 | |||||||||
| 31 | 2 | 29 | 31 | 1 | 30 | 79748.116 | 79748.521 | 79748.533 | -0.012 |
| 79748.925 | |||||||||
| 32 | 2 | 30 | 32 | 1 | 31 | 83391.012 | 83391.401 | 83391.415 | -0.014 |
| 83391.789 | |||||||||
| 33 | 2 | 31 | 33 | 1 | 32 | 87354.527 | 87354.902 | 87354.908 | -0.006 |
| 87355.277 | |||||||||
| 34 | 2 | 32 | 34 | 1 | 33 | 91630.373 | 91630.736 | 91630.720 | 0.016 |
| 91631.098 | |||||||||
| 35 | 2 | 33 | 35 | 1 | 34 | 96206.714 | 96207.068 | 96207.061 | 0.007 |
| 96207.421 | |||||||||
| 36 | 2 | 34 | 36 | 1 | 35 | 101068.384 | 101068.734 | 101068.726 | 0.008 |
| 101069.084 | |||||||||
| 37 | 2 | 35 | 37 | 1 | 36 | 106196.973 | 106197.321 | 106197.301 | 0.020 |
| 106197.668 | |||||||||
| (c) J2 J-1 ← J1 J | |||||||||
| 7 | 2 | 6 | 7 | 1 | 7 | 75681.685 | 75682.676 | 75682.685 | -0.009 |
| 75681.958 | |||||||||
| 75683.395 | |||||||||
| 75683.667 | |||||||||
| 12 | 2 | 11 | 12 | 1 | 12 | 82536.046 | 82536.998 | 82537.012 | -0.014 |
| 82536.284 | |||||||||
| 82537.646 | |||||||||
| 82538.015 | |||||||||
| 13 | 2 | 12 | 13 | 1 | 13 | 84333.665 | 84334.639 | 84334.650 | -0.011 |
| 84333.921 | |||||||||
| 84335.399 | |||||||||
| 84335.570 | |||||||||
| 14 | 2 | 13 | 14 | 1 | 14 | 86275.083 | 86276.064 | 86276.070 | -0.006 |
| 86275.332 | |||||||||
| 86276.791 | |||||||||
| 86277.050 | |||||||||
| 15 | 2 | 14 | 15 | 1 | 15 | 88360.471 | 88361.486 | 88361.510 | -0.024 |
| 88360.754 | |||||||||
| 88362.238 | |||||||||
| 88362.480 | |||||||||
| 16 | 2 | 15 | 16 | 1 | 16 | 90589.942 | 90590.948 | 90590.922 | 0.026 |
| 90590.244 | |||||||||
| 90591.696 | |||||||||
| 90591.911 | |||||||||
| 17 | 2 | 16 | 17 | 1 | 17 | 92962.950 | 92963.905 | 92963.930 | -0.025 |
| 92963.165 | |||||||||
| 92964.625 | |||||||||
| 92964.881 | |||||||||
| 18 | 2 | 17 | 18 | 1 | 18 | 95478.826 | 95479.816 | 95479.791 | 0.025 |
| 95479.086 | |||||||||
| 95480.548 | |||||||||
| 95480.802 | |||||||||
| 19 | 2 | 18 | 19 | 1 | 19 | 98136.344 | 98137.339 | 98137.372 | -0.033 |
| 98136.599 | |||||||||
| 98138.074 | |||||||||
| 98138.337 | |||||||||
| 20 | 2 | 19 | 20 | 1 | 20 | 100934.115 | 100935.127 | 100935.122 | 0.005 |
| 100934.391 | |||||||||
| 100935.870 | |||||||||
| 100936.132 | |||||||||
| 21 | 2 | 20 | 21 | 1 | 21 | 103870.000 | 103871.039 | 103871.058 | -0.019 |
| 103870.324 | |||||||||
| 103871.793 | |||||||||
| 103872.038 | |||||||||
| 22 | 2 | 21 | 22 | 1 | 22 | 106941.696 | 106942.751 | 106942.757 | -0.006 |
| 106942.005 | |||||||||
| 106943.485 | |||||||||
| 106943.816 | |||||||||
| (d) J3 J-3 ← J2 J-2 | |||||||||
| 21 | 3 | 18 | 21 | 2 | 19 | 109216.845 | 109218.259 | 109218.246 | 0.013 |
| 109217.248 | |||||||||
| 109219.266 | |||||||||
| 109219.675 | |||||||||
| 22 | 3 | 19 | 22 | 2 | 20 | 107655.357 | 107656.756 | 107656.741 | 0.015 |
| 107655.748 | |||||||||
| 107657.764 | |||||||||
| 107658.154 | |||||||||
| 23 | 3 | 20 | 23 | 2 | 21 | 106030.312 | 106031.693 | 106031.690 | 0.003 |
| 106030.685 | |||||||||
| 106032.695 | |||||||||
| 106033.081 | |||||||||
| 24 | 3 | 21 | 24 | 2 | 22 | 104364.899 | 104366.268 | 104366.268 | 0.000 |
| 104365.276 | |||||||||
| 104367.265 | |||||||||
| 104367.633 | |||||||||
| 25 | 3 | 22 | 25 | 2 | 23 | 102684.844 | 102686.188 | 102686.187 | 0.001 |
| 102685.202 | |||||||||
| 102687.175 | |||||||||
| 102687.531 | |||||||||
| 26 | 3 | 23 | 26 | 2 | 24 | 101017.829 | 101019.152 | 101019.156 | -0.004 |
| 101018.179 | |||||||||
| 101020.124 | |||||||||
| 101020.474 | |||||||||
| 27 | 3 | 24 | 27 | 2 | 25 | 99393.033 | 99394.324 | 99394.316 | 0.008 |
| 99393.333 | |||||||||
| 99395.329 | |||||||||
| 99395.602 | |||||||||
| 28 | 3 | 25 | 28 | 2 | 26 | 97840.436 | 97841.662 | 97841.647 | 0.015 |
| 97840.701 | |||||||||
| 97842.601 | |||||||||
| 97842.911 | |||||||||
| 29 | 3 | 26 | 29 | 2 | 27 | 96390.259 | 96391.406 | 96391.396 | 0.010 |
| 96390.460 | |||||||||
| 96392.321 | |||||||||
| 96392.582 | |||||||||
| 30 | 3 | 27 | 30 | 2 | 28 | 95072.341 | 95073.506 | 95073.518 | -0.012 |
| 95072.555 | |||||||||
| 95074.444 | |||||||||
| 95074.683 | |||||||||
| (2) R-branch transitions | |||||||||
| (a) (J+1)1 J+1 ← J0 J | |||||||||
| 2 | 1 | 2 | 1 | 0 | 1 | 39664.870 | 39665.110 | 39665.143 | -0.033 |
| 39665.350 | |||||||||
| 3 | 1 | 3 | 2 | 0 | 2 | 47313.703 | 47314.044 | 47314.057 | -0.013 |
| 47314.384 | |||||||||
| 4 | 1 | 4 | 3 | 0 | 3 | 54832.064 | 54832.409 | 54832.453 | -0.044 |
| 54832.753 | |||||||||
| 5 | 1 | 5 | 4 | 0 | 4 | 62224.580 | 62224.865 | 62224.872 | -0.007 |
| 62225.150 | |||||||||
| 6 | 1 | 6 | 5 | 0 | 5 | 69497.300 | 69497.587 | 69497.582 | 0.005 |
| 69497.874 | |||||||||
| 7 | 1 | 7 | 6 | 0 | 6 | 76658.282 | 76658.569 | 76658.570 | -0.001 |
| 76658.855 | |||||||||
| 8 | 1 | 8 | 7 | 0 | 7 | 83717.232 | 83717.510 | 83717.507 | 0.003 |
| 83717.788 | |||||||||
| 9 | 1 | 9 | 8 | 0 | 8 | 90685.381 | 90685.660 | 90685.668 | -0.008 |
| 90685.939 | |||||||||
| 10 | 1 | 10 | 9 | 0 | 9 | 97575.563 | 97575.831 | 97575.803 | 0.028 |
| 97576.099 | |||||||||
| 11 | 1 | 11 | 10 | 0 | 10 | 104401.662 | 104401.933 | 104401.925 | 0.008 |
| 104402.203 | |||||||||
| (b) (J+1)0 J+1 ← J1 J | |||||||||
| 6 | 0 | 6 | 5 | 1 | 5 | 26206.237 | 26206.479 | 26206.514 | -0.035 |
| 26206.720 | |||||||||
| 7 | 0 | 7 | 6 | 1 | 6 | 34953.242 | 34953.498 | 34953.503 | -0.005 |
| 34953.753 | |||||||||
| 8 | 0 | 8 | 7 | 1 | 7 | 43783.052 | 43783.323 | 43783.315 | 0.008 |
| 43783.595 | |||||||||
| 9 | 0 | 9 | 8 | 1 | 8 | 52682.093 | 52682.390 | 52682.397 | -0.007 |
| 52682.686 | |||||||||
| 10 | 0 | 10 | 9 | 1 | 9 | 61635.779 | 61636.037 | 61636.021 | 0.016 |
| 61636.294 | |||||||||
| 11 | 0 | 11 | 10 | 1 | 10 | 70628.302 | 70628.567 | 70628.569 | -0.002 |
| 70628.831 | |||||||||
| 12 | 0 | 12 | 11 | 1 | 11 | 79643.660 | 79643.913 | 79643.910 | 0.003 |
| 79644.165 | |||||||||
| 13 | 0 | 13 | 12 | 1 | 12 | 88665.588 | 88665.833 | 88665.836 | -0.003 |
| 88666.078 | |||||||||
| 14 | 0 | 14 | 13 | 1 | 13 | 97678.312 | 97678.552 | 97678.549 | 0.003 |
| 97678.792 | |||||||||
| 15 | 0 | 15 | 14 | 1 | 14 | 106666.948 | 106667.175 | 106667.171 | 0.004 |
| 106667.402 | |||||||||
| (c) (J+1)1 J ← J2 J-1 | |||||||||
| 11 | 1 | 10 | 10 | 2 | 9 | 25260.962 | 25261.775 | 25261.822 | -0.047 |
| 25262.587 | |||||||||
| 12 | 1 | 11 | 11 | 2 | 10 | 34826.535 | 34827.289 | 34827.328 | -0.039 |
| 34828.043 | |||||||||
| 13 | 1 | 12 | 12 | 2 | 11 | 44500.354 | 44501.061 | 44501.095 | -0.034 |
| 44501.768 | |||||||||
| 14 | 1 | 13 | 13 | 2 | 12 | 54277.305 | 54278.044 | 54278.025 | 0.019 |
| 54278.782 | |||||||||
| 15 | 1 | 14 | 14 | 2 | 13 | 64151.563 | 64152.285 | 64152.275 | 0.010 |
| 64153.007 | |||||||||
| 16 | 1 | 15 | 15 | 2 | 14 | 74116.549 | 74117.276 | 74117.178 | 0.098 |
| 74118.002 | |||||||||
| 17 | 1 | 16 | 16 | 2 | 15 | 84164.426 | 84165.146 | 84165.170 | -0.024 |
| 84165.865 | |||||||||
| 18 | 1 | 17 | 17 | 2 | 16 | 94287.001 | 94287.716 | 94287.718 | -0.002 |
| 94288.431 | |||||||||
| 19 | 1 | 18 | 18 | 2 | 17 | 104474.574 | 104475.263 | 104475.274 | -0.011 |
| 104475.951 | |||||||||
| (d) (J+1)2 J-1 ← J3 J-2 | |||||||||
| 19 | 2 | 17 | 18 | 3 | 16 | 41939.196 | 41940.599 | 41940.573 | 0.026 |
| 41939.562 | |||||||||
| 41941.617 | |||||||||
| 41942.022 | |||||||||
| 22 | 2 | 20 | 21 | 3 | 19 | 71703.719 | 71705.157 | 71705.170 | -0.013 |
| 71704.122 | |||||||||
| 71706.175 | |||||||||
| 71706.613 | |||||||||
| 23 | 2 | 21 | 22 | 3 | 20 | 81973.114 | 81974.524 | 81974.526 | -0.002 |
| 81973.490 | |||||||||
| 81975.550 | |||||||||
| 81975.943 | |||||||||
| 24 | 2 | 22 | 23 | 3 | 21 | 92407.276 | 92408.703 | 92408.705 | -0.002 |
| 92407.691 | |||||||||
| 92409.705 | |||||||||
| 92410.141 | |||||||||
| 25 | 2 | 23 | 24 | 3 | 22 | 102998.435 | 102999.828 | 102999.814 | 0.014 |
| 102998.776 | |||||||||
| 103000.849 | |||||||||
| 103001.251 | |||||||||
| (e) (J+1)3 J-2 ← J4 J-3 | |||||||||
| 26 | 3 | 23 | 25 | 4 | 22 | 47419.843 | 47421.609 | 47421.596 | 0.013 |
| 47420.295 | |||||||||
| 47422.928 | |||||||||
| 47423.369 | |||||||||
| 27 | 3 | 24 | 26 | 4 | 23 | 56601.309 | 56603.066 | 56603.049 | 0.017 |
| 56601.766 | |||||||||
| 56604.362 | |||||||||
| 56604.827 | |||||||||
| 28 | 3 | 25 | 27 | 4 | 24 | 65945.742 | 65947.471 | 65947.480 | -0.009 |
| 65946.172 | |||||||||
| 65948.759 | |||||||||
| 65949.209 | |||||||||
| 29 | 3 | 26 | 28 | 4 | 25 | 75465.481 | 75467.221 | 75467.219 | 0.002 |
| 75465.927 | |||||||||
| 75468.512 | |||||||||
| 75468.962 | |||||||||
| 30 | 3 | 27 | 29 | 4 | 26 | 85171.613 | 85173.342 | 85173.352 | -0.010 |
| 85172.054 | |||||||||
| 85174.629 | |||||||||
| 85175.071 | |||||||||
| 31 | 3 | 28 | 30 | 4 | 27 | 95073.555 | 95075.287 | 95075.311 | -0.024 |
| 95073.982 | |||||||||
| 95076.581 | |||||||||
| 95077.031 | |||||||||
| 32 | 3 | 29 | 31 | 4 | 28 | 105178.779 | 105180.513 | 105180.519 | -0.006 |
| 105179.233 | |||||||||
| 105181.802 | |||||||||
| 105182.238 | |||||||||
| (f) (J+1)4 J-3 ← J5 J-4 | |||||||||
| 35 | 4 | 31 | 34 | 5 | 30 | 72014.287 | 72016.208 | 72016.219 | -0.011 |
| 72014.879 | |||||||||
| 72017.601 | |||||||||
| 72018.066 | |||||||||
| 36 | 4 | 32 | 35 | 5 | 31 | 80953.050 | 80954.830 | 80954.823 | 0.007 |
| 80953.504 | |||||||||
| 80956.143 | |||||||||
| 80956.623 | |||||||||
| 37 | 4 | 33 | 36 | 5 | 32 | 90009.917 | 90011.705 | 90011.707 | -0.002 |
| 90010.384 | |||||||||
| 90013.027 | |||||||||
| 90013.490 | |||||||||
| 38 | 4 | 34 | 37 | 5 | 33 | 99197.885 | 99199.656 | 99199.648 | 0.008 |
| 99198.340 | |||||||||
| 99200.972 | |||||||||
| 99201.428 | |||||||||
| 39 | 4 | 35 | 38 | 5 | 34 | 108530.180 | 108531.940 | 108531.936 | 0.004 |
| 108530.636 | |||||||||
| 108533.247 | |||||||||
| 108533.696 | |||||||||
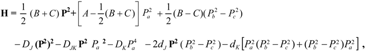
| Parameter | Value(MHz) | |
| A-(B+C)/2 | 23966.5365(83) | |
| (B+C)/2 | 4025.2902(12) | |
| (B-C)/2 | 134.15358(12) | |
| DJ | 0.9734(12) | ×10-3 |
| DJK | -0.2476(18) | ×10-2 |
| DK | 0.7514(70) | ×10-1 |
| dJ | 0.87151(81) | ×10-4 |
| d K | -0.934(27) | ×10-3 |
Conclusions
References
- Hayashi, M.; Kuwada, K. J. Mol. Struct. 1975, 28, 147–161.
- Watson, J. K. G. “Aspects of Quartic and Sextic Centrifugal Effects on Rotational Energy Levels”. In Vibrational Spectra and Structure; During, J. R., Ed.; Vol. 6, Marcel Dekker: New York, 1977. [Google Scholar]
- Fukuyama, M.; Odashima, H.; Takagi, K.; Tsunekawa, S. Astrophys. J. Suppl. 1996, 104, 329–346.
© 2003 by MDPI ( http://www.mdpi.org). Reproduction is permitted for noncommercial purposes.
Share and Cite
Tsunekawa, S.; Kinai, Y.; Kondo, Y.; Odashima, H.; Takagi, K. Microwave Spectrum of the Ethylmethyl Ether Molecule. Molecules 2003, 8, 103-119. https://doi.org/10.3390/80100103
Tsunekawa S, Kinai Y, Kondo Y, Odashima H, Takagi K. Microwave Spectrum of the Ethylmethyl Ether Molecule. Molecules. 2003; 8(1):103-119. https://doi.org/10.3390/80100103
Chicago/Turabian StyleTsunekawa, Shozo, Yuji Kinai, Yuki Kondo, Hitoshi Odashima, and Kojiro Takagi. 2003. "Microwave Spectrum of the Ethylmethyl Ether Molecule" Molecules 8, no. 1: 103-119. https://doi.org/10.3390/80100103
APA StyleTsunekawa, S., Kinai, Y., Kondo, Y., Odashima, H., & Takagi, K. (2003). Microwave Spectrum of the Ethylmethyl Ether Molecule. Molecules, 8(1), 103-119. https://doi.org/10.3390/80100103
