Abstract
Full and unambiguous assignment of all 1H- and 13C-NMR resonances of the isomers due to restricted C-N amide bond rotation of N-formyl-o-toluidine and N,N’-bis-formyl-o-tolidine in DMSO-d6 is reported. The cis-isomer predominates in the equilibrium mixture of both compounds as 1D-NOE difference experiments show.
Introduction
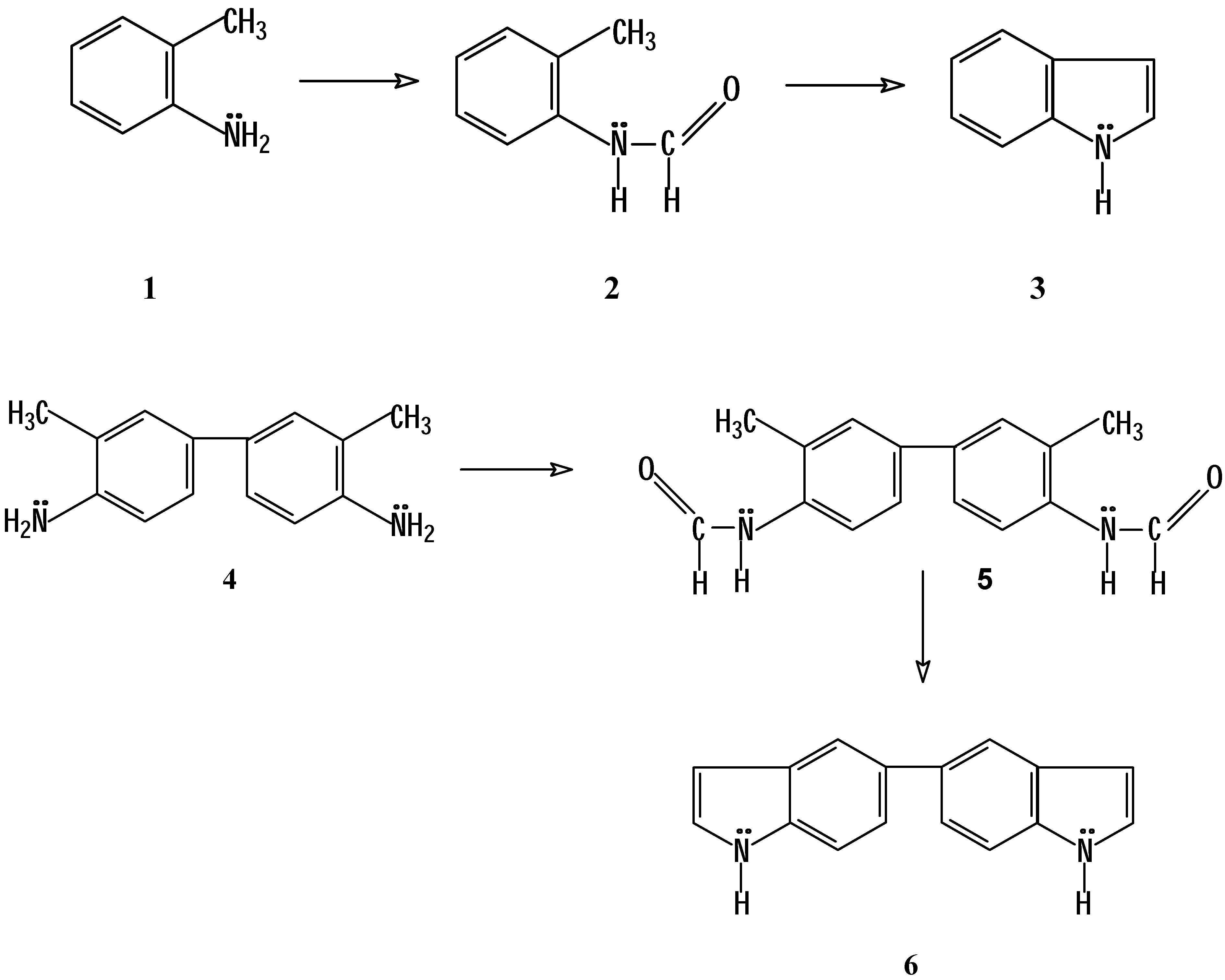
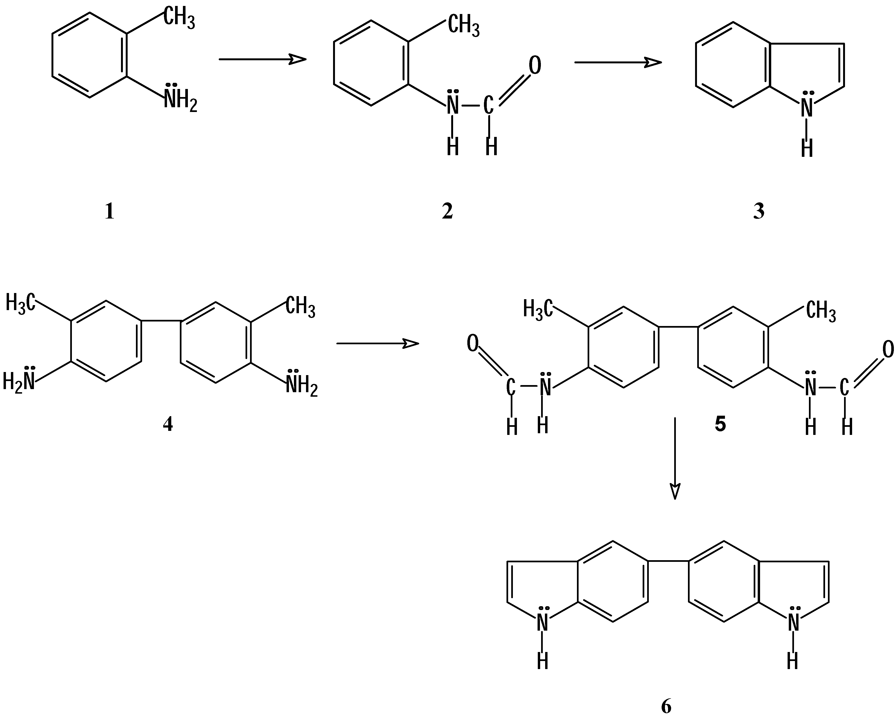
The Madelung indole synthesis is a method for producing these heterocycles via a base-catalyzed thermal cyclization of N-acyl-o-toluidides [1,2]. At the same time, it is one of the few known reactions by which an unsubstitued indole nucleus can be obtained [3,4,5]. Consequently, we decided to use this reaction in order to obtain 5,5´-biindole as a starting material for the synthesis of indoloquinolizines with potential antitumor activity [6]. For our investigation we needed to synthesize N-formyl-o-toluidine (2), starting from o-toluidine (1), as well as N,N’-bis-formyl-o-tolidine (5), starting from o‑tolidine (4), in order to transform them into indole (3) and to 5,5´-biindole (6), respectively (Scheme 1).
Scheme 1.
Scheme 1.

During the spectroscopic characterization of the amides 2 and 5 we noted the presence of two isomers in solution (DMSO-d6), observing double signals for the protons of the amine group and of the formyl group in the 1H-NMR spectra, as well as double signals for all carbons of both compounds in the 13C-NMR spectra. The ratio of the isomers, as deduced from the integration of the formyl proton signals, is approximately 3:1 in both compounds (Figure 1 and Figure 2). It is known that in a few cases single bond rotation is so slow that cis and trans isomers can be isolated even where no double bond exists [7], e.g. in thioamides [8,9] and in certain amides [10,11,12,13,14,15,16], because resonance gives the single bond some double bond character and slows rotation [17].
Figure 1.
Aromatic part of the 1H-NMR spectrum of 2 (in DMSO-d6 solution)
Figure 1.
Aromatic part of the 1H-NMR spectrum of 2 (in DMSO-d6 solution)

Figure 2.
Aromatic part of the 1H-NMR spectrum of 5 (in DMSO-d6 solution)
Figure 2.
Aromatic part of the 1H-NMR spectrum of 5 (in DMSO-d6 solution)

Scheme 2.
Scheme 2.

For example, in dimethylformamide (7, Scheme 2) the two methyl groups are non-equivalent due to the mentioned hindered rotation about the C-N bond. In the corresponding 1H-NMR spectrum two methyl signals are found at δ = 2.79 and 2.94, together with a singlet at δ = 8.0 for the formyl proton. If one saturates the methyl signal at δ = 2.94, the intensity of the formyl proton signal increases by 18 %. When instead the other methyl signal is saturated, a decrease of 2 % is observed [18a]. In DMF the NOE experiments led to a correct assignment of the methyl signals. Since the signal of the isolated formyl proton is only enhanced when a particular one of the two methyl signals is saturated (the downfield one), this must correspond to the cis methyl group (trans to carbonyl group). Likewise, two signals for the methyl carbons are observed in the spectrum of 13C-NMR, at δ = 30 and 36, whereby the downfield signal corresponds to the methyl group, trans to the carbonyl group [19a].
Scheme 3.
Scheme 3.

In the case of formamide (8, Scheme 3) the two protons on the nitrogen atom are also non-equivalent [19b]. Irradiating in the absorption frequency of 14N, 3 quartets centered at δ = 8.21, 7.48 and 7.21 are observed in the 1H-NMR spectrum [20a, 21]. The downfield signal corresponds to the formyl proton, which presents two couplings of J = 2.18 and 13.49 Hz. These couplings correspond to those we expected for the cis N-H (δ = 7.48, J = 2.18 and 2.60 Hz) with the formyl proton as well as for the trans N-H (δ = 7.21, J = 2.6 and 13.49 Hz) with the formyl proton. Thus, the two protons on the nitrogen atom show a geminal coupling constant J = 2.6 Hz.
It is interesting to observe that the coupling constant of the cis protons in formamide is of smaller magnitude (2.18 Hz) compared to that of the trans protons (13.49 Hz), similar to what is seen in a typical double bond C=C [18b].
Based on the reasoning described, it is expected that for monosubstituted formamides, as is the case of the amides 2 and 5, cis and trans isomers are present in solution which can be detected by way of NMR techniques. Thus, the purpose of our investigation was to assign in detail the configurations of the isomers observed in DMSO-d6 solutions of N-formyl-o-toluidine (2) and N,N’-bis-formyl-o-tolidine (5), by analyzing the spectra of 1H- and 13C-NMR, by running additional NOE experiments and using bidimensional spectra (COSY, HMQC, HMBC) for the full assignment of the signals.
Results and Discussion
The preferred conformation solution of N-formyl-o-toluidine (2) in DMSO-d6 is the cis one, based on the fact that the 1H-NMR signals for the N-H and the formyl proton of the major isomer present appear as singlets at δ = 9.84 and 8.57 respectively, i.e. with a coupling constant J≈ 0, whereas the signals corresponding to the minor isomer are present as doublets at δ = 10.01 and 8.66 respectively, showing a coupling constant J ≈ 10.63 Hz, i.e. in the latter isomer a coupling constant of greater magnitude is observed, which is in accordance with the observation made for formamide (minor coupling constant for the cis NH-CH protons and major coupling constant for the corresponding trans protons) [20a, 21].
Scheme 4.
Scheme 4.

The aforementioned observation is congruent with the one made in a series of N-monoalkyl substituted formamides 9 (Scheme 5) in which in their NMR spectra (mainly 13C) the cis isomer predominates up to 80% over the trans isomer [20b].
Scheme 5.
Scheme 5.

R = methyl, ethyl, propyl, isopropyl, butyl, isobutyl, sec-butyl, tert-butyl, pentyl, hexyl
In the case of the N-methyl, N-ethyl- and N-tert-butylformamide signals for the formyl protons of the cis isomer (d, J = 0.3-2 Hz) as well as of trans isomer (d, J = 12 Hz) could be clearly observed in the 1H-NMR spectra (CDCl3) which coincides again with the observation made for formamide. When analyzing the 13C-NMR spectra of these ten monoalkylamides it can be seen that the signals of the carbonyl carbon and those of the first two carbons of the alkyl substituent of the trans isomer always appear downfield compared to the corresponding signals of the cis isomer. Additional information about the configuration of the isomers of 2 (and also of 5) can be obtained with help of NOE experiments. Figure 3 and Figure 4 show the NOE experiments, in which the N-H signals of both isomers of 2 and 5 are saturated.
Figure 3.
NOE Experiment on 2.
Figure 3.
NOE Experiment on 2.

In the signals of the formyl protons we observe an increase by approx. 11% for the singlet at δ = 8.57 and by 8 % for the doublet at δ = 8.66, which indicates precisely that the signals of N-H and the formyl proton of the isomer in a greater porportion represent protons closer to each other and therefore correspond to the cis isomer. Additional analysis of the 1H-NMR spectra allows one to distinguish for cis-2 a doublet at δ = 8.0 (J = 7.88 Hz) for the proton in position 6 and a triplet at δ = 7.29 (J = 7.34 Hz) for the proton in position 4. The two remaining aromatic protons of cis-2 as well as all the aromatic protons of trans-2 appear as a multiplet in the 7.40 to 7.35 ppm region.
The signal of the aromatic protons of 2 are found at lower field compared to those observed for o‑toluidine (δ = 6.59-7.01, CDCl3, 400 MHz) [20c]. This is due to the inductive effect (-I) of the amido group, which withdraws charge from the aromatic ring, in opposition to the amine group, which in the o-toluidine introduces charge into the aromatic ring by means of resonance.
Figure 4.
NOE Experiment on 5.
Figure 4.
NOE Experiment on 5.

The effects of the substituents in the aromatic rings become normally apparent in the order o>p>m and therefore it is expected that the proton in the o-position to the amido group in 2 (position 6) is at lower field compared to the remaining aromatic protons. In fact, in cis-2, this proton, 6-H, indeed appears at lower field compared to the others (δ = 8.00), however, it is strange that the corresponding proton in trans-2 is present at a higher field, in the multiplet at δ = 7.40-7.35. The foregoing observation can be explained, if we assume that the isomers of 2 are really present in the conformations (II) indicated below (Scheme 6):
In these conformations (II) a steric hindrance between the formyl group and the methyl group of position 2 is avoided. However, a certain steric interaction between 6-H and the carbonyl group in cis-2 (and which is not present in trans-2) can be the cause for the additional downfield displacement of this proton.
Scheme 6.
Scheme 6.

The presence of the conformations II of 2 seems to be confirmed by the NOE experiment shown in Figure 3. When irradiating in the signals of the N-H of the two isomers of 2 an increase in intensity of the signals of the methyl groups is observed, which confirms a spacial proximity of the protons under discussion. In the 13C-NMR spectrum it is possible to differentiate perfectly the signals of all carbons of both isomers of 2. In accordance with the expectations, the signals of the isomer in lower proportion (trans-2) are present at lower field compared to those corresponding to the isomer in higher proportion (cis-2).
The definite assignment of the chemical shifts of protons and carbons of both isomers of 2 can be achieved by taking into account the bidimensional experiments H,H-COSY, HMQC, HMBC as well as DEPT 135. These assignments are shown in Table 1 and Table 2.
Table 1.
1H(400 MHz) and 13C NMR (100MHz) Spectral Data for cis-2 in DMSO-d6
| Position | δH , mult., J in Hz | δC | aDEPT 135 | COSY 1H-1H correlations | bHMQC 1J CH | bHMBC (12Hz) 3J CH |
|---|---|---|---|---|---|---|
| H-C=O | 8.57, s | 160.18 | (+) CH | NH, 6-H | Formyl-H | -------- |
a) DEPT shows CH, CH2, CH3, Cqb) Correlation from C to the indicated hydrogens
Table 2.
1H(400 MHz) and 13C-NMR (100MHz) Spectral Data for trans-2 in DMSO-d6
| Position | δH , mult., J in Hz | δC | aDEPT 135 | COSY 1H-1H correlations |
|---|---|---|---|---|
| H-C=O | 8.66, d, 10.63 | 163.95 | (+) CH | NH |
a) DEPT shows CH, CH2, CH3, Cqb) Correlation from C to the indicated hydrogens
In a similar way we found that in a solution of N,N’-bis-formyl-o-tolidine in DMSO-d6 the isomer with the cis/cis conformation (Scheme 7) predominates as NOE experiments are showing (see above, Figure 4).
Scheme 7.
Scheme 7.

The assignment of the chemical shifts of protons and carbons of the two isomers of 5 are shown in Table 3 and Table 4 (due to the symmetry of 5, we refer only to positions 1 to 6, like 2).
Table 3.
1H(400 MHz) and 13C NMR (100MHz) Spectral Data for 5-cis in DMSO-d6
| Position | δH , mult., J in Hz | δC | aDEPT 135 | COSY 1H-1H correlations | bHMQC 1J CH | bHMBC (12Hz) 3J CH |
|---|---|---|---|---|---|---|
| H-C=O | 8.31, s | 159.84 | (+) CH | NH | Formyl-H | NH |
a) DEPT shows CH, CH2, CH3, Cqb) Correlation from C to the indicated hydrogens
Table 4.
1H(400 MHz) and 13C NMR (100MHz) Spectral Data for 5-trans in DMSO-d6
| Position | δH , mult., J in Hz | δC | aDEPT 135 | COSY 1H-1H correlations | bHMBC (12Hz) 3J CH |
|---|---|---|---|---|---|
| H-C=O | 8.46, d, 10.77 | 163.55 | (+) CH | NH | -------- |
a) DEPT shows CH, CH2, CH3, Cqb) Correlation from C to the indicated hydrogens
Conclusions
We have presented the complete 1H- and 13C-NMR chemical shifts of the cis and trans isomers of N-formyl-o-toluidine (2) and N,N’-bis-formyl-o-tolidine (5) in DMSO-d6. The two isomers are formed in solution due to restricted C-N-amide bond rotation and the cis-isomer predominates in the equilibrium mixture.
Acknowledgments
We are grateful to the Universidad Autónoma de Nuevo León for their financial support (Project PAICYT CA058-98). We also thank SDBSWeb (http://www.aist.go.jp/RIODB/SDBS) for free access to its spectral data bank (21-30 January 2002).
Experimental
General
NMR spectra were recorded in DMSO-d6 at 25ºC on a Bruker DPX400 spectrometer operating at 400.13 MHz for 1H, and 100.61 MHz for 13C, using the solvent signals as internal references. Thin layer chromatography (TLC) was performed on precoated plates (Aldrich TLC aluminium backed sheets coated with silica 60F254) with detection by UV light. FTIR spectra were taken on a Perkin-Elmer spectrometer using potassium bromide pellets. Mass spectrometry was determined on a GC Perkin-Elmer Autosystem and a Perkin-Elmer Turbomass mass spectrometer.
N-formyl-o-toluidine (2) [4]. o-Toluidine (43 g, 0.4 mol) and 90% (w/w) formic acid (15 mL, 0.4 mol) were mixed together in a 100 mL round-bottomed flask fitted with a reflux condenser, and the mixture was heated on a boiling water bath (96-98 ºC) for 3 hours. The reflux condenser was replaced by a Claissen still-head and an air condenser arranged for distillation under reduced pressure, and the product was distilled using a water pump. At 40 mm Hg and 42 ºC a first fraction consisting of a mixture of water and formic acid was collected,, then unreacted o-tolidine (130 ºC) and finally (199 ºC) the N-formyl-o-toluidine was collected as a pale yellow oil, which solidified on cooling. The yield was 45.5 g (84 %). M.p. 53 ºC. TLC: Rf = 0.61 (Kieselgel; benzene-chloroform, 2:1). IR vmax: 3256, 3208, 3045, 2880, 1667 (C=O), 1591, 1553, 752 (aromatic ring) cm-1; GC-MS: (Rt = 5.37 min) m/z 135 [M]+, 106 (100%) [M-29]+, 77 (calcd. for C8H9NO, 135.16).
N,N’-bis-formyl-o-tolidine (5). o-Toluidine (5 g, 0.024 mol) and 90% (w/w) formic acid (25 mL, 0.65 mol) were mixed together in a 50 mL round-bottomed flask fitted with a reflux condenser and the mixture was heated on a boiling water bath (96-98 ºC) for 1 hour. After cooling the precipitate formed was filtered off, washed with cold water and dried in a vacuum desiccator over CaCl2. The yield was 4.87 g (77 %) of a white solid. M.p. 265-270 ºC; TLC: Rf = 0.44 (Kieselgel, benzene-acetone, 3:1); IR vmax: 3241, 3030, 2883, 1668 C=O), 1595, 1533, 765 (aromatic ring) cm-1; GC-MS: (Rt = 5.19) m/z 253 [M-15]+, 135, 106 (100%), 77 (calcd. for C16H16N2O2, 268.31).
References and Notes
- Madelung, W. Chem. Ber. 1912, 45, 1128.
- Remers, W.A.; Brown, R. K. Indoles, Part One; Houlihan, W.J., Ed.; John Wiley & Sons, Inc.: New York, 1972; pp. 385–396. [Google Scholar]
- Tyson, F.T. Indole preparation. J. Am. Chem. Soc. 1941, 63, 2024–2025. [Google Scholar]
- Galat, A.; Friedman, H.L. Indole from formyl-toluidine. J. Am. Chem. Soc. 1948, 70, 1280–1281. [Google Scholar]
- Tyson, F.T. Indole. Org. Synth. Coll. Vol. III 1955, 479–482. [Google Scholar]
- Quintanilla-Licea, R.; Teuber, H.J. Review on reactions of acetylacetaldehyde with aromatic amines and indoles – Synthesis of heterocycles via hydroxymethylene ketones. Heterocycles 2001, 55, 1365–1397. [Google Scholar]
- March, J. Advanced Organic Chemistry, 4th edition; John Wiley & Sons, Inc.: New York, 1992; p. 129. [Google Scholar]
- Kim, W.; Lee, H.J.; Choi, Y.S.; Choi, J.H.; Yoon, Ch.J. The nature of rotational barrier of the C-N bond in thioamides and the origin of the nonplanarity for thiourea. J. Chem. Soc., Faraday Trans. 1998, 94, 2663–2668. [Google Scholar]
- Suhr, J.R.; Yoon, Ch.J.; Ro, S.G.; Choi, Y.S. Proton magnetic resonance study of the amino group of thioacetamide (TA) I. Quadrupole relaxation effects in NH2 of thioacetamide. Bull. Korean Chem. Soc. 1987, 8, 230–232. [Google Scholar]
- Ullrich, S.; Tarczay, G.; Tong, X.; Dessent, C.E.H.; Müller-Dethlsfs, K.A. ZEKE photoelectron spectroscopy and ab initio study of the cis- and trans-isomers of formanilide: characterizing the cationic amide bond. Phys. Chem. Chem. Phys. 2001, 3, 5450–5458. [Google Scholar]
- Quiñonero, D.; Frontera, A.; Capó, M.; Ballester, P.; Suñer, G.A.; Garau, C.; Deyà, P.M. The resonance model in amides: a combined crystallographic and ab initio investigation. New J. Chem. 2001, 259–261. [Google Scholar]
- Fischer, G. Chemical aspects of peptide bond isomerization. Chem. Soc. Rev. 2000, 29, 119–127. [Google Scholar]
- Taha, A.N.; True, N.S. Experimental 1H-NMR and computational studies of internal rotation of solvated formamide. J. Phys. Chem. A 2000, 104, 2985–2993. [Google Scholar]
- Axe, F.U.; Renugopalakrishnan, V.; Hagler, A. T. Prediction of the molecular structure, internal rotational barriers and vibrational frequencies of formaldehyde by non-local density functional theory. J. Chem. Research (S) 1998, 1. [Google Scholar]
- Vaara, J.; Kaski, J.; Jokisaari, J.; Diehl, P. NMR properties of formamide: a first principles and experimental study. J. Phys. Chem. A 1997, 101, 5069–5081. [Google Scholar]
- Gerothanassis, I.P.; Vakka, C.; Troganis, A. 17O-NMR studies of the solvation state of cis/trans isomers of amides and model protected peptides. J. Magn. Reson., Ser. B 1996, 111, 220–229. [Google Scholar]
- Õki, M. Top. Stereochem. 1983, 14, 1–81.
- Friebolin, H. Basic One- and Two-dimensional NMR Spectroscopy; VCH Verlagsgesellschaft mbH: Weinheim, 1993; [a] p 275, 281; [b] p 87. [Google Scholar]
- Hesse, M.; Meier, H.; Zeeh, B. Spektroskopische Methoden in der Organischen Chemie; Georg Thieme Verlag: Stuttgart, 1984; [a] p 125; [b] p 193. [Google Scholar]
- http://www.aist.go.jp/RIODB/SDBS; Integrated Spectral Data Base System for Organic Compounds. [a] SDBS # 931; [b] SDBS # 1047, 4216, 3156, 3158, 3160, 3162, 3164, 3166, 3168, 3170; [c] SDBS # 1454.
- Barboui, V.; Petrescu, V. Org. Magn. Reson. 1973, 5, 43.
- Sample Availability: samples of compounds 2 and 5 are available from MDPI
© 2002 by MDPI (http://www.mdpi.org). Reproduction is permitted for noncommercial purposes.