Abstract
3-(4-Substitutedphenyl)aminoisoxazol-5(2H)-ones, substituted on nitrogen with a nitropyridine group, react with triethylamine to give imidazo[1,2-a]pyridines and indoles. With 4-bromophenyl and 4-methylphenyl group substituents only imidazopyridines are formed, but the 4-methoxyphenyl derivative gave a 3:1 mixture of the corresponding imidazo[1,2-a]pyridine and 2-pyridylaminoindole, respectively.
Introduction
We have recently reported [1] that the reaction of 2-aryl-3-phenylaminoisoxazolones 1, substituted on nitrogen with an isoquinoline or quinazoline group, react with triethylamine to give imidazo annelated compounds 2 and 3 respectively (Scheme 1). When the N-substituent is a nitropyridine, the 2-aminoindole structure 4 was assigned to the product. Evidence was presented that the reactions proceed by initial addition of the tertiary amine to C-4. In this paper we detail further research that suggests that both the proposed structure for 4, and the reaction pathway, require modification.
Scheme 1.
Scheme 1.

These results are formally the same as those achieved by photolysis or pyrolysis of the corresponding N-substituted isoxazolones [2]. However, the reaction of 3-subtituted isoxazolones with bases is not so well known, and the only examples appear to be those reported by Doleschall [3], who alkylated the anion of ethyl 2,3-dimethyl-2,5-dihydro-5-oxoisoxazole-4-carboxylate (5) in order to obtain γ-alkylated acetoacetates.
In this paper we report the preparation of 2-aryl 3-(4-substituted phenyl)aminoisoxazole-5(2H)-ones (9a-c), where the N-substituent is a nitropyridine, and their reactions with triethylamine to form either imidazopyridines or indoles.
Results and Discussion
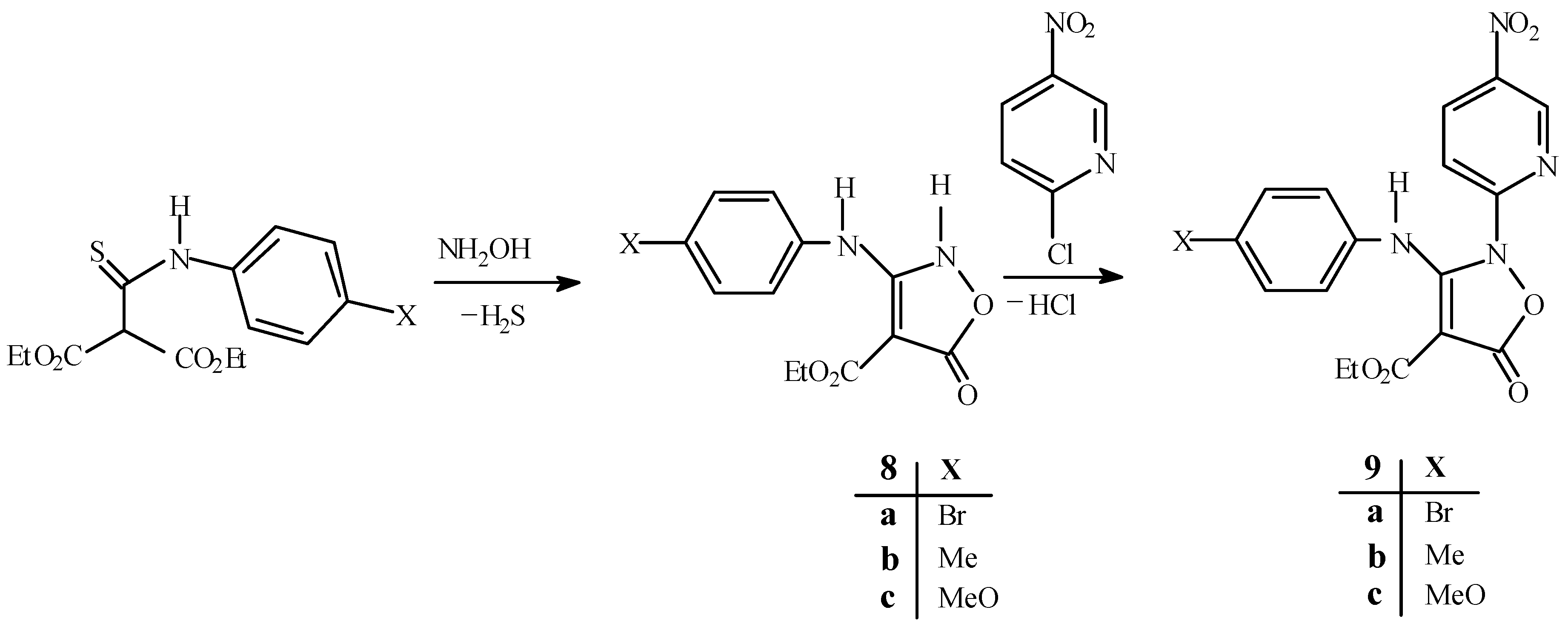
The 2-unsubstituted isoxazolones 8a-c were prepared by the general method of Worral [4]. Thus, the reaction of the sodium salt of diethyl malonate in ethanol with various aryl isothiocyanates gave the thiocarbamates 6a-c in high yield (Scheme 2).
Scheme 2.
Scheme 2.

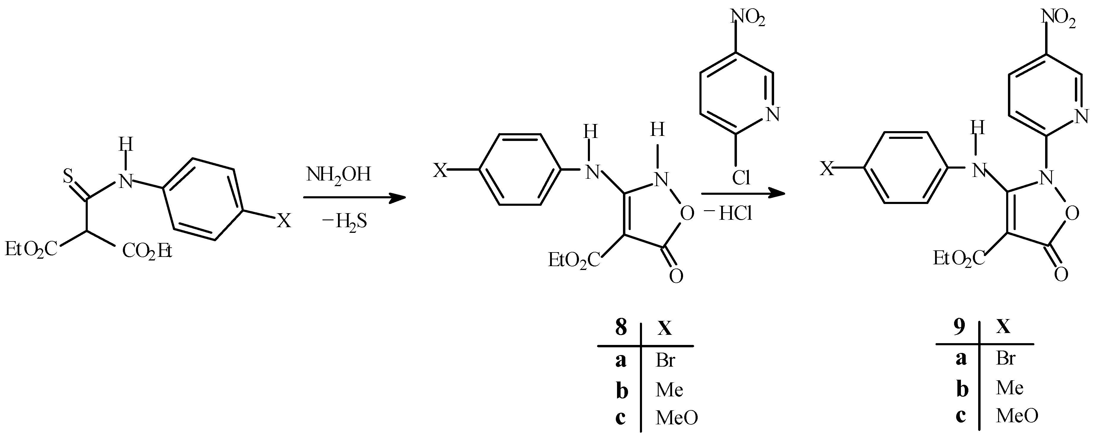
The appearance of two different quartets for the ethoxy groups and two different carbonyl groups in the 1H- NMR (500 MHz) and FT-IR spectra of carbamates 6a-c is due to their non equivalency arising from strong H-bonding (see 7), resulting in H-bonded and free ester groups. Such H-bonding has also been deduced from a study of their infrared spectra [5] and acidity [6]. The reaction of these carbamates 6a-c with three equivalent of hydroxylamine gave the corresponding isoxazolones 8a-c in good yield (Scheme 3).
Scheme 3.
Scheme 3.

Refluxing the isoxazolone 8b with one equivalent of 2-chloro-5-nitropyridine in butanol for 12 hours gave the butyl ester analogue 10 by acid catalysed transesterification (Scheme 4); reaction in the absence of solvent gave the ethyl esters 9.
Scheme 4.
Scheme 4.

N-Substituted isoxazolones 9a and 9b reacted with triethylamine in refluxing ethanol to give the corresponding imidazo[1,2-a]pyridines 11a and 11b as the only products in 84% and 75% yield respectively, but the isoxazolone 9c gave the corresponding imidazo compound 11c as a major product (59%) with a significant amount of a second product (20%), whose spectral properties were more consistent with those expected for the indole 12. The imidazopyridine structures of 11a-c could clearly be deduced from the similarity of the coupling pattern for the protons in the 4-substituted phenyl ring to that in the starting materials 9a-c, and the indole structure 12 had proton coupling similar to those of the nitropyridyl ring in 9c. The 1H-NMR spectrum of compound 11a showed a doublet of doublets at δ 8.19 ppm with J1=9.7Hz and J2=1.3Hz due to H-7, which collapsed to a doublet with J=9.7Hz by irradiation of a broad doublet with J=1.3Hz at δ 9.87 ppm due to H-5. However, the 1H-NMR spectra of compounds 11b, 11c and 13 showed H-7 to have meta coupling with H-5, but in none could the resonance for H-5 be clearly observed. The reason for the extreme broadening of this peak is unknown, though quadrupole coupling with N-4 is suspected. Finally, the rearrangement of the isoxazolone 10 with triethylamine in refluxing ethanol gave the corresponding imidazopyridine 13 in 81% yield. The reaction pathway resulting in the imidazopyridines, consistent with our earlier suggestion [1], is shown in Scheme 5.
Scheme 5.
Scheme 5.

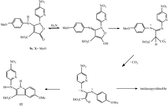
While it is possible that the steric effect of the substituent at C-4 of the phenylamino group in the zwitterionic intermediate in Scheme 5 could affect the mode of cyclisation, the differences are more likely to have an electronic origin. We have found that the 4-methoxy derivative 9c reacts rapidly in refluxing ethanol (ca. 15 minutes, compared with 3 h for the corresponding reaction with triethyl-amine) to form a mixture of imidazopyridine and indole in a 2:1 ratio, respectively. Since the diethylamino group would be unlikely to retain a positive charge under the basic conditions, and thus would be unlikely to act as a leaving group, we feel that Scheme 5 is no longer tenable. An alternative, which is consistent with the electronic requirements of the reaction, is shown in Scheme 6.
Scheme 6.
Scheme 6.

These rearrangements, therefore, appear to be generally applicable to the synthesis of imidazo heterocycles and indoles, which are suitable synthetic intermediates for a series of polycyclic heterocycles with possible pharmaceutical applications [7,8].
Experimental
General
Freshly distilled solvents were used throughout, and anhydrous solvents were dried according to Perrin and Amarego [9]. 1H-NMR and 13C-NMR spectra were recorded, in deuteriochloroform, unless otherwise stated, at 500 and 125 MHz respectively, with a Bruker DRX-500 Avance spectrometer. Tetramethylsilane was used as an internal standard and all signals due to amino protons were removed by exchange with D2O. Infrared spectra were recorded on a Unicam Matsson 1000 Fourier-Transform Spectrometer. Mass spectra were recorded on a Varian Matt 311 spectrometer and relative abundance of fragments are quoted in parentheses after the m/z values. Melting points were determined on a Philip Harris C4954718 apparatus and are uncorrected. Micronalyses were preformed on a Carlo-Erba Analyzer 1104 at the University of Giessen, Germany.
Diethyl (4-bromophenyl)thiocarbamoylmalonate (6a)
Sodium (2.9 g, 0.126 mol) was reacted with absolute ethanol (50 mL) and diethyl malonate (20g, 18.95 ml, 0.126 mol) was added at rt. The reaction mixture was stirred at room temperature for 15 min, 4‑bromophenyl isothiocyanate (26.96 g, 0.126 mol) was added and stirring was continued for further 2 h. The resulting precipitate was filtered off and washed with light petroleum to give the salt of 6a (39.91g, 80%) as yellow crystals, m.p.=163-164 °C. The salt was dissolved in water (30-40 mL) and neutralized by dropwise addition of dilute HCl. The mixture was stirred for 15 min and the precipitate was filtered to give the title compound (29.02g, 77%) as a pale yellow solid, m.p.= 52-53 °C; Rf (toluene): 0.27; 1H-NMR: δ= 1.35 (t, J=7.1Hz, 6H), 4.321 (q, J=7.1Hz, 2H), 4.326 (q, J=7.1Hz, 2H), 5.09 (s, 1H), 7.55 (d, J=8.6Hz, 2H), 7.73 (d, J=8.6Hz, 2H), 10.9 (bs, 1H, NH). 13C-NMR: δ= 14.34, 63.63, 67.68, 120.37, 125.13, 132.37, 137.89, 166.08, 188.05; IR: v= 3285, 1759, 1723, 1548, 1431, 1285, 1146, 1023, 831 cm -1.
The following thiocarbamates were made by the same procedure.
Diethyl (4-methylphenyl)thiocarbamoylmalonate (6b). Pale yellow solid (90%); m.p.= 54 °C (lit [10], 55-56 °C); Rf (toluene): 0.37; 1H-NMR: δ=1.35 (t, J=7.15Hz, 6H), 2.38 (s, 3H), 4.321 (q, J=7.15Hz, 2H), 4.325 (q, J=7.15Hz, 2H), 5.11 (s, 1H), 7.23 (d, J=8.3Hz, 2H), 7.66 (d, J=8.3Hz, 2H), 10.77 (bs, 1H, NH); 13C-NMR: δ= 14.35, 21.57, 63.47, 67.62, 123.64, 129.86, 136.41, 137.43, 166.16, 187.68; IR v= 3284,1760, 1723, 1515, 1430, 1315, 1223, 1148, 1020, 831 cm-1.
Diethyl (4-methoxyphenyl)thiocarbamoylmalonate (6c). Pale yellow solid (87%); m.p.= 57-58 °C (lit [10], 58.5-59.5°C); Rf (toluene): 0.74; 1H-NMR: δ= 1.34 (t, J=7.15Hz, 6H), 3.83(s, 3H), 4.312 (q, J=7.15 Hz, 2H), 4.316, (q, J=7.15 Hz, 2H), 5.10 (s, 1H), 6.94 (d, J=8.9Hz, 2H), 7.67 (d, J=8.9Hz, 2H), 10.7 (bs, 1H, NH); 13C-NMR: δ= 14.33, 55.87, 63.46, 67.38, 114.39, 125.29, 131.94, 158.62, 166.18, 187.55; IR v=3284, 1760, 1723, 1515, 1306,1254, 1151, 1030, 842 cm-1.
Ethyl 3-(4-bromophenyl)amino-5-oxo-2,5-dihydroisoxazole-4-carboxylate (8a).
To a solution of hydroxylamine hydrochloride (7.06 g, 102 mmol) in water (30 mL), sodium bicarbonate (10.17 g, 102 mmol) was added slowly. Ethanol (80 mL) was added and the resulting potassium chloride was filtered off. Diethyl (4-bromophenyl)thiocarbamoylmalonate (6a, 12.71g, 34 mmol) was added to the filtrate and the mixture was stirred at room temperature for 24 h. The reaction mixture was acidified with dilute HCl and the white precipitate was collected and recrystallized from acetone to give the title product (8.78 g, 79%) as colourless needles, m.p.= 200 º C (dec.); 1H-NMR (d6-DMSO): δ= 1.25 (t, J=7.1Hz, 3H), 4.21 (q, J=7.1 Hz, 2H), 7.37(d, J=8.4Hz, 2H), 7.57 (d, J=8.4Hz, 2H), 8.30 (bs, 1H, NH), 9.39 (bs, 1H, NH); 13C-NMR (d6-DMSO): δ= 15.31, 59.96, 74.69, 118.02, 125.08, 132.94, 137.10, 163.53, 164.74, 167.39; IR v= 3250, 2950, 2740, 1723, 1696, 1666, 1607, 1563, 1456, 1398, 1316, 1183, 1018, 818 cm-1.
The following compounds were made by the same procedure:
Ethyl 3-(4-methylphenyl)amino-5-oxo-2,5-dihydroisoxazole-4-carboxylate (8b). Refluxing for 24h gave colourless crystals (85%), m.p.= 164-166 °C (dec.); 1H-NMR (d6-DMSO + CDCl3): δ= 0.95 (t, J=7Hz, 3H), 1.94 (s, 3H), 3.91(q, J=7Hz, 2H), 6.78 (d, J=9.2Hz, 2H), 6.79(bs, 1H, NH), 6.80(d, J=9.2Hz, 2H), 8.85 (bs, 1H, NH); 13C-NMR (D6-DMSO+ CDCl3): δ= 14.52, 20.85, 60.08, 74.69, 121.53, 130.13, 133.29, 135.64, 163.59, 165.51, 166.74; IR: v= 3669, 2979, 2746, 1705, 1669, 1615, 1331, 1208, 1115, 1023, 800 cm-1.
Ethyl 3-(4-methoxyphenyl)amino-5-oxo-2,5-dihydroisoxazole-4-carboxylate (8c). Refluxing for 24 h gave the desired product (7.75g, 80%) which was recrystallized from ethanol/acetone (1:1) as a white solid, m.p.= 206-207 °C (dec.); 1H-NMR (d6-DMSO+CDCl3): δ= 0.95 (t, J= 7Hz, 3H), 3.35 (s, 3H), 3.83 (q, J=7Hz, 2H), 6.38 (d, J=8.5Hz, 2H), 6.94 (d, J=8.5Hz, 2H), 6.96 (bs,1H, NH), 7.70 (bs, 1H, NH); 13C-NMR(d6-DMSO+CDCl3): δ= 15.64, 55.55, 58.37, 73.5, 114.6, 118.6, 135.73, 153.7, 165.73, 168.14, 174.81; IR: v=3407, 1708, 1615, 1554, 1248, 1077, 792 cm-1.
Ethyl 3-(4-bromophenyl)amino-2-(5-nitropyrid-2-yl)-5-oxo-2,5-dihydroisoxazole-4-carboxylate (9a).
A mixture of 2-chloro-5-nitropyridine (48.5 mg, 0.30 mmol) and ethyl 3-(4-bromophenyl) amino-5-oxo-2,5-dihydroisoxazole-4-carboxylate (8a, 100 mg, 0.30 mmol) was heated neat under nitrogen in an oil bath at 130 °C for 2 h. The residue was recrystallized from ethanol to give the desired isoxazolone as yellow crystals (112 mg, 82%), m.p.= 218 °C; Rf (CH2Cl2): 0.28; Analysis: found C, 46.10, H, 2.82, N, 12.45%; C17H13BrN4O6 requires C, 45.43, H, 2.89, N, 12.47%; 1H-NMR (D6-DMSO+CDCl3): δ= 0.99 (t, J=7Hz, 3H), 3.94 (q, J=7Hz, 2H), 6.87 (d, J=8.5Hz, 2H), 7.18 (d, J=8.5Hz, 2H), 7.73 (d, J=9.1Hz,1H), 8.40 (dd, J1=9.1Hz, J2=2.3Hz, 1H), 8.75 (d, J=2.3Hz, 1H), 10.29 (bs, 1H, NH); 13C‑NMR (d6-DMSO+CDCl3): δ= 14.41, 60.99, 79.05, 114.63, 119.46, 124.11, 132.46, 135.08, 137.21, 141.66, 143.79, 153.92, 158.31, 161.38, 165.88; IR v=3140, 2965, 1773, 1683, 1591, 1531, 1324, 1188, 1114, 1010, 961, 832 cm-1; MS m/z: 450 (M+, 27%), 448(M+, 30%), 406(74), 404(77), 279(100), 251(20), 184(35), 182(36), 157(29), 155(29), 102(22), 72(23), 44(59).
The following compounds were made by the same procedure.
Ethyl 3-(4-methylphenyl)amino-2-(5-nitropyrid-2-yl)-5-oxo-2,5-dihydroisoxazole-4-carboxylate (9b). Yellow needles (85%), m.p.= 156-158 °C, after recrystalization from ethanol; Rf (CH2Cl2) 0. 24; Analysis: found C, 56.25, H, 3.93, N, 24.74%; C18H16N4O6 requires C, 56.25, H, 4.16, N, 24.58%; 1H-NMR : δ= 1.29 (t, J=7.05Hz, 3H), 2.30 (s, 3H), 4.26 (q, J=7.05Hz, 2H), 7.04 (d, J=8.5Hz,2H),7.07(d, J=8.5Hz, 2H), 7.07 (d, J= 9.0Hz, 1H), 8.55 (dd, J1=9.0Hz, J2=2.5Hz, 1H), 8.91 (d, J=2.5Hz, 1H), 10.33 (s, 1H, NH); 13C-NMR: δ= 14.66, 21.35, 61.34, 79.05, 115.42, 122.40, 130.29, 134.74, 135.36, 136.83, 141.89, 143.92, 154.28, 160.88, 163.62, 164.19; IR v= 3177, 1762, 1700, 1600, 1515, 1338, 1208, 1123, 976, 838 cm-1; MS m/z 384 (M+, 13%), 340 (100), 294 (57), 269 (16), 248 (40), 230 (16), 220 (16), 158 (39), 144 (13), 118 (21), 117 (20), 107 (16), 91 (67), 78 (16), 65 (20), 44 (33).
Ethyl 3-(4-methoxyphenyl)amino-2-(5-nitropyrid-2-yl)-5-oxo-2,5-dihydroisoxazole-4-carboxylate (9c).
Yellow needles (80%), m.p.= 186-188 °C; Rf (CH2Cl2): 0.68; Analysis: found C, 54.10, H, 3.78, N, 14.11%; C18H16N4O7 requires C, 54.00, H, 4.00, N, 14.00%; 1H-NMR: δ= 1.30 (t, J=7Hz, 3H), 3.77 (s, 3H), 4.26 (q, J=7Hz, 2H), 6.79 (d, J=8.7Hz, 2H), 7.10 (d, J=8.7Hz, 2H), 7.52 ( d, J=9.0Hz,1H), 8.54(dd, J1=9 Hz, J2=2.1Hz, 1H), 8.93 (bd, J=2.1, 1H), 10.26 (s,1H, NH); 13C-NMR: δ= 14.72, 55.89, 61.36, 78.87, 114.85, 115.59, 124.34, 130.74, 134.68, 141.93, 143.95, 154.33, 158.40, 161.38, 163.69, 164.32; IR v=3823, 1785, 1700, 1592, 1345, 1207, 1115, 1030, 838 cm-1; MS m/z: 400 (M+, 10%), 356 (100), 310 (49), 295 (43), 264 (21), 249 (13), 221 (14), 193 (12), 194 (10), 174 (21), 146 (10), 134 (34), 133 (22), 123 (17), 92 (16), 77 (29), 44 (37).
Butyl 3-(4-methylphenyl)amino-2-(5-nitropyrid-2-yl)-5-oxo-2,5-dihydroisoxazole-4-carboxylate (10).
Ethyl 3-(4-methylphenyl)amino-5-oxo-2,5-dihydroisoxazole-4-carboxylate (100 mg, 0.30 mmol), and 2-chloro-5-nitropyridine (48.5 mg, 0.30 mmol) were refluxed in 1-butanol (5 mL), for 12 hours. On cooling, the product was collected and washed with cold ethanol to give the title compound as bright pale needles (126 mg, 80 %), m.p.=176 °C; Rf (CH2Cl2): 0.26; Analysis: found C, 57.41, H, 4.62, N, 13.66%; C20H20N4O6 requires C, 58.25, H, 4.85, N, 13.59%; 1H-NMR: δ= 0.96 (t, J=7.5Hz, 3H), 1.42 (sx, J=7.5Hz, 2H), 1.65 (qn, J=7.1Hz, 2H), 2.30 (s, 3H), 4.20 (t, J=6.7Hz, 2H), 7.04 (d, J=8.3Hz, 2H), 7.07 (d, J=8.3Hz, 2H), 7.54 ( d, 9.1 Hz, 1H), 8.55 (dd, J1=9.1 Hz, J2=1.8 Hz, 1H), 8.91 (bd, J=1.8 Hz, 1H), 10.32 (s,1H, NH); 13C-NMR: δ= 14.12, 19.43, 21.33, 30.99, 65.07, 79.03, 115.39, 122.39, 130.27, 134.7, 135.35, 136.74, 141.86, 143.92, 154.28, 160.74, 163.52, 164.15; IR v= 3446, 2831, 1792, 1700, 1600, 1515, 1345, 1123, 846 cm-1; MS m/z : 412 (M+, 7%), 368 (100), 340(13) ,338(18) ,312(12) ,294(65) ,269 (22), 248 (32), 220 (15), 158 (24), 144 (12), 118 (20), 107 (18), 91 (44), 78 (10), 77 (12), 57 (17), 44 (38).
Ethyl 2-(4-bromophenyl)amino-6-nitroimidazo[1,2-a] pyridine-3-carboxylate (11a).
The isoxazolone 9a (100 mg, 0.23 mmol) and triethylamine (0.2 mL) were refluxed in ethanol (10 mL) for 1 h. The mixture was left to cool to room temperature and the desired compound was collected as pale cream needles (75.76 mg, 84 %), m.p.= 195 °C; Rf (CH2Cl2): 0.72; 1H-NMR: δ= 1.57 (t, J=7.1Hz, 3H), 4.59(q, J=7.1Hz, 2H), 7.48 (d, J=8.7Hz, 2H), 7.56 (d, J=9.7Hz, 1H), 7.65 (bd, J=8.7Hz, 2H), 8.19(dd, J1=9.7Hz, J2=1.3 Hz, collapsed to doublet, J=8.7Hz, by irradiation at δ=9.87, 1H), 8.97 (bs, 1H, NH), 9.87 (bd, J=1.3Hz, 1H); 1H-NMR (d6-DMSO): δ= 1.44 (t, J=7Hz, 3H), 4.46 (q, J=7Hz, 2H), 7.49 (d, J=8.5Hz), 7.68 (d, J=9.7Hz, 1H), 7.74 (d, J=8.5Hz , 2H), 8.19 (dd, J1=9.7Hz, J2=1.6Hz, 1H), 8.87 (bd, J=1.6, 1H), 9.88 (s,1H, NH); 13C-NMR (d6-DMSO): δ= 15.25, 61.57, 99.72, 114.62, 114.97, 121.76, 123.93, 127.61, 132.38, 137.66, 140.01, 147.17, 155.28, 160.87; IR v=3285, 2955, 1643, 1611, 1555, 1475, 1331, 1294, 1201, 1102, 1079, 1002, 820 cm-1; MS m/z : 406 (M+, 62%), 404 (M+, 64%), 360 (5), 358 (6), 279 (100), 251 (16), 233 (14), 205 (12), 184 (11), 182 (12), 157 (12), 155 (12), 102 (14), 78 (13), 77 (11).
Ethyl 2-(4-methylphenyl)amino-6-nitroimidazo[1,2-a]pyridine-3-carboxylate (11b).
The above procedure using 9b (100 mg, 0.26 mmol) and triethylamine (0.2 mL) gave the desired imidazole as pale cream needles (66.4 mg, 75%), m.p.=187-188 °C; Rf (CH2Cl2): 0.66; Analysis: found C, 60.03, H, 4.63, N, 16.68% calc; for C17H16N4O4 required: C, 60.00, H, 4.70, N, 16.47%; 1H-NMR: δ=1.27 (t, J=6.9Hz, 3H, CH3), 2.36 (s, 3H, Me), 4.57 (q, J=6.9Hz, 2H, CH2), 7.19 (d, J=8.2Hz, 2H, Ar), 7.51 (d, J=9.7Hz, 1H, Ar), 7.59 (bd, J=8.2Hz, 2H, Ar), 8.15 (bd, J=6.7Hz, 1H, Ar), 8.85 (bs, 1H, NH), 9.84 (bs, 1H, Ar); 13C-NMR: δ= 15.03, 21.22, 61.44, 98.99, 114.30, 119.33, 122.80, 127.26, 130.07, 132.93, 137.11, 147.34, 157.76, 161,15; IR v=3455, 1662, 1608, 1555, 1308, 1208, 1015, 822 cm-1; MS m/z: 340 (M+, 100%), 294(48), 248(27), 220(9), 144(10), 118(13), 91(20), 78(6), 65(6).
Butyl 2-(4-methylphenyl)amino-6-nitroimidazo [1,2-a] pyridine-3-carboxylate (13).
The above procedure using 10b (100 mg, 0.26 mmol) and triethylamine (0.2 mL) gave the desired imidazole as pale cream needles, (72.35mg, 81%), m.p.= 156 °C; Rf (CH2Cl2): 0.63; Analysis: found C, 61.33, H, 5.20, N, 15.15%; C19H20N4O4 requires C, 61.95, H, 5.43, N, 15.21%; 1H-NMR: δ= 1.08 (t, J= 7.4Hz, 3H), 1.59 (sx, J=7.3Hz, 2H), 1.91 (qn, J= 7.2Hz, 2H), 2.36 (s, 3H), 4.52 (t, J=6.5Hz, 2H), 7.20 (d, J=8.0Hz, 2H), 7.52 (d, J=9.7Hz, 1H), 7.60 (bd, J=8.0Hz, 2H), 8.15 (bd, J=9.3Hz, 1H), 8.85 (bs, 1H, NH), 9.86 (bs, 1H); 13C-NMR: δ= 14.17, 19.02, 21.20 ,31.30, 65.19, 99.05, 114.30, 119.23, 122.66, 127.27, 130.07, 132.89, 137.13, 147.31, 157.56, 160.72; IR v=3328, 2961, 1669, 1608, 1572, 1315, 1208, 1085, 815 cm-1; MS m/z: 368 (M+, 100%), 340 (17), 294 (67), 248 (32), 220 (16), 144 (13), 118 (17), 91 (26), 78 (9), 42 (17).
Ethyl 2-(4-methoxyphenyl)amino-6-nitroimidazo[1,2-a]pyridine-3-carboxylate (11c) and ethyl 5-methoxy-2-(5-nitropyrid-2-ylamino)indole-3-carboxylate (12).
The isoxazolone 9c (100 mg, 0.25 mmol) and triethylamine (0.2 mL) were refluxed in ethanol (10 mL) for 3 h. On cooling to room temperature, the precipitate was filtered to give an orange solid (71.20 mg), shown (NMR and TLC) to be a mixture of two compounds, which were separated by silicagel p.l.c eluting three times with dichloromethane. The first band was separated and washed with n-hexane to give 12 as orange needles (17.80 mg, 20%), m.p.= 210-213 °C; Rf (CH2Cl2): 0.90; 1H-NMR: δ=1.52 (t, J=7.1Hz, 3H), 3.92 (s, 3H), 4.47 (q, J=7.1Hz, 2H), 6.86 (dd, J1=8.7Hz,J2=2.5Hz,1H), 6.92(d, J=9.1Hz, 1H), 7.32 (d, J=8.7Hz, 1H), 7.45 (bs, 1H), 8.42 (dd, J1=9.1Hz, J2=2.6Hz,1H), 9.26 (d, J=2.6Hz, 1H), 10.72 (bs, 1H, NH), 11.45 (s,1H, NH); 13C-NMR: δ= 15.02, 56.13, 50.43, 89.99, 103.86, 111.00, 111.69, 112.14, 125.67, 126.89, 133.76, 138.65, 145.26, 145.59, 156.41, 156.58; IR v= 3345, 1642, 1615, 1500, 1331, 1215, 1117, 1035, 838 cm-1; MS m/z: 356 (M+, 70%), 310 (100), 295 (27), 264 (32), 249 (13), 221 (29), 193 (12), 194 (10), 150 (13), 78 (6), 77 (5), 40 (5). The second band was separated and washed with n-hexane to give 11c as a red solid (53.4 mg, 59%), m.p.= 160-161 °C; Rf (CH2Cl2): 0.79; Analysis: found C, 57.88, H, 4.50, N, 16.12%; C17H16N4O5 requires C, 57.30, H, 4.49, N, 15.73%; 1H-NMR: δ= 1.56 (t, J=7.0Hz, 3H), 3.85 (s, 3H), 4.58 (q, J=7.0Hz, 2H), 6.95 (d, J=8.9Hz, 2H), 7.50 (d, J=9.7Hz, 1H) 7.62 (bd, J=8.9Hz, 2H), 8.16 (dd, J1=9.7Hz, J2=1.9Hz, 1H), 8.78 (bs, 1H, NH), 9.88 (bs, 1H); 13C-NMR: δ= 15.05, 55.97, 61.40, 98.76, 114.19, 114.82, 121.31, 122.86, 127.24, 132.85, 137.15, 147.48, 156.16, 160.86; IR v=3130, 1685, 1615, 1515, 1315, 1222, 1199, 1092, 824 cm-1; MS m/z : 356 (M+, 100%), 310 (34), 295 (43), 264 (12), 249 (12), 221 (10), 194 (8), 193 (11), 134 (16), 92 (8), 90 (8), 78 (8).
Acknowledgements
We are grateful to Prof R.H Prager (Flinders University) for discussions leading to the conclusions shown in Scheme 6.
References
- Khalafy, J.; Prager, R. H. Some unusual reactions of 3-phenylaminoisoxazolones. J. Sci. I. R. Iran 2000, 11, 32–38. [Google Scholar]
- Khalafy, J.; Prager, R.H.; Smith, J.A. Photochemical and thermal reactions of isoxazolones substituted at C-3 or C-4 with nitrogen, oxygen or sulfur. J. Chem. Res. (M) 1999, 518–536. [Google Scholar]
- Doleschall, G. A new enamine-salt for the synthesis of γ-alkylated ethyl acetoacetates. Tetrahedron Lett. 1988, 29, 6339–6340. [Google Scholar]
- Worral, D.E. The reaction of hydroxylamine and hydrazine on the aryl monothioamides of carbethoxyethylmalonate. J. Am. Chem. Soc. 1923, 45, 3092–3094. [Google Scholar]
- Barnikow, G; Kunzek, H. Sodium and nickel salts of N-aryl methanecarboxylic acid diethyl ester thioamides. Justus Liebigs Ann. Chem. 1966, 700, 36–45. [Google Scholar]
- Walter, W.; Meyer, H.W.; Lehmann, A. Thermodynamic acidity of thioanilides. Justus Liebigs Ann. Chem. 1974, 765–775. [Google Scholar]
- Tateja, N.; Pham, T.; Tuteja, R.; Ocham, A.; Falaschi, A. Inhibition of DNA unwinding and ATPase activities of human helicase II by chemotherapeutic agents. Biochem Biophys. Res. Commun. 1997, 236, 636–640. [Google Scholar]
- Stiborova, M.; Bieler, C.A.; Wiessler, M.; Frei, E. The anticancer agent ellipticine on activation by cytochrome P450 forms covalent DNA adducts. Biochem. Pharmacol. 2001, 62, 1675–1684. [Google Scholar]
- Perrin, D.D.; Amarego, W.L.F. Purification of Laboratory ChemicalsPergamon Press: Oxford, U.K., 3rd ed.; 1988. [Google Scholar]
- Barnikow, G.; Kunzek, H. Addition of sodiomalonic ester to arylthiocyanates in ethanol. J. Prakt. Chem 1965, 29, 323–327. [Google Scholar]
- Sample Availability: Available from the authors
© 2002 by MDPI (http://www.mdpi.org). Reproduction is permitted for noncommercial purposes.