Electrochemical Study of Bromide in the Presence of 1,3-Indandione. Application to the Electrochemical Synthesis of Bromo Derivatives of 1,3-Indandione
Abstract
:Introduction
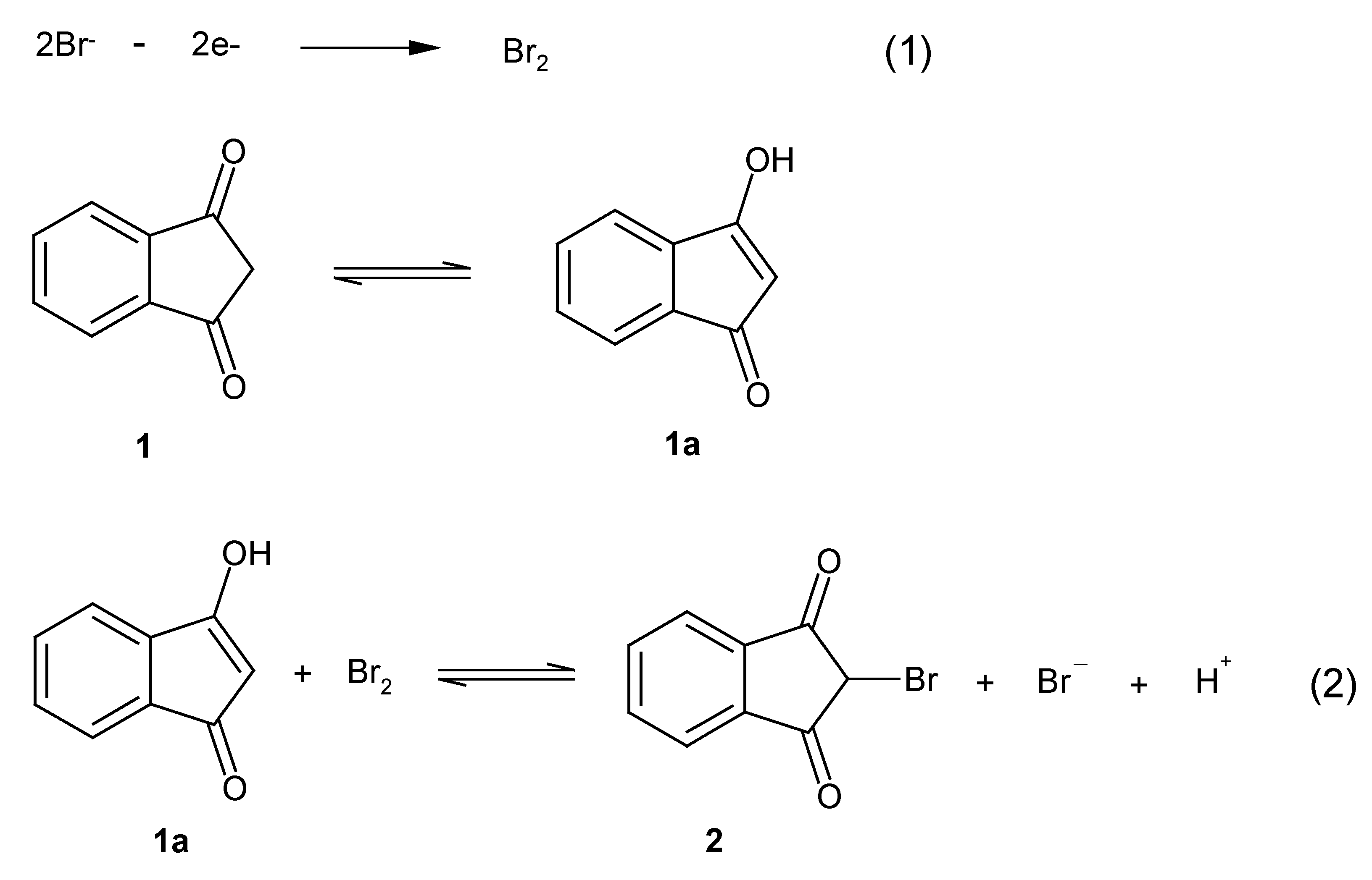
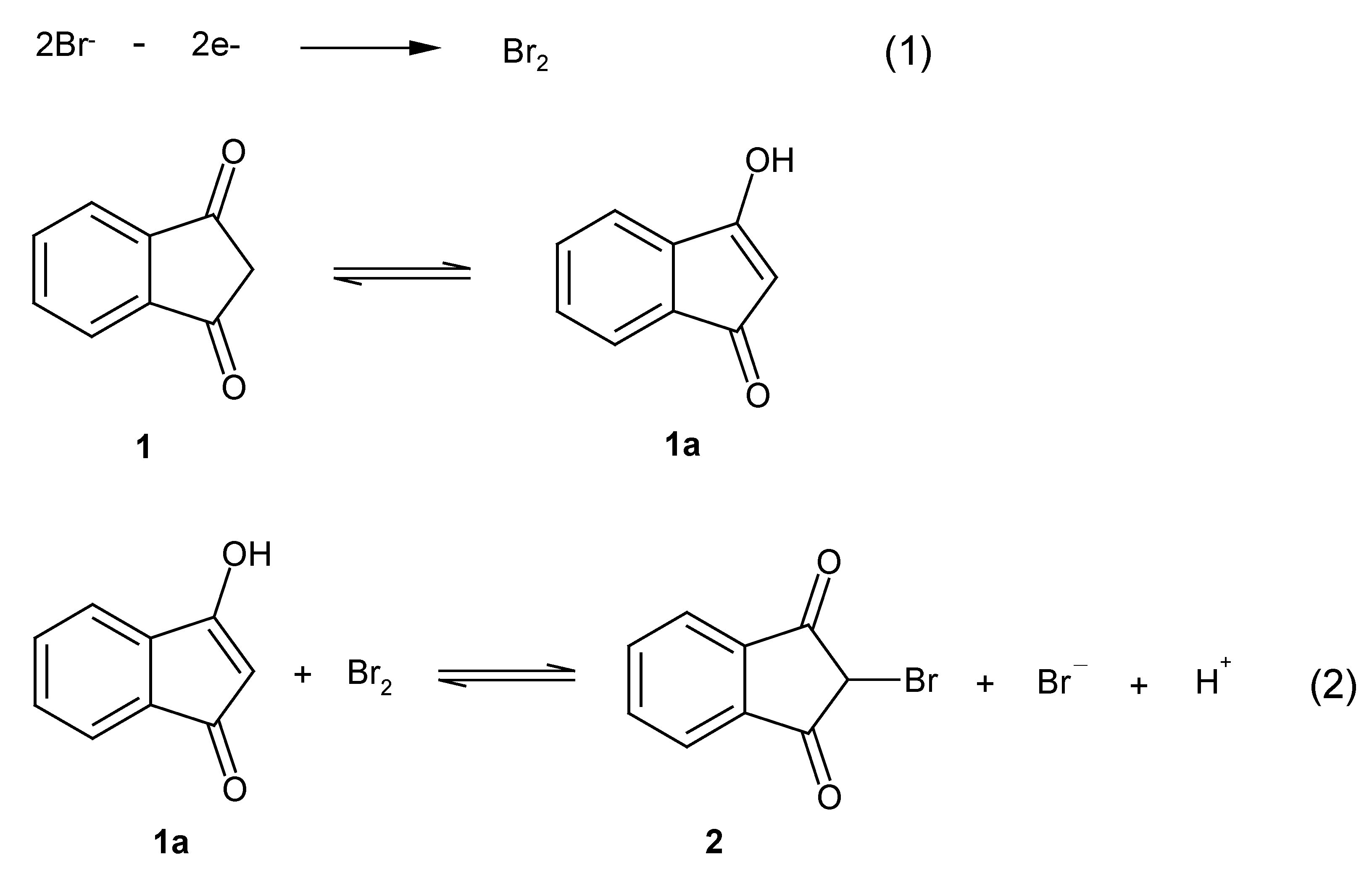
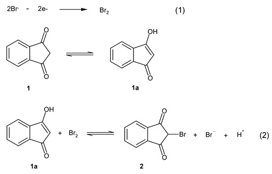
Results and Discussion
Electrooxidation of bromide in the presence of 1,3-indandione in water/acetic acid mixture



Electrooxidation of bromide in the presence of 1,3-indandione in methanol/acetic acid mixture


Conclusions
Experimental
General electrolysis procedure
Characterization of the products
Determination of bromine content [21]

| Conversion | NaBr mmol | Electricity Passed (F mol-1) | Electrolysis Solvent | Bromine Content (%) Found Required | Product Yield% | |
| 1 → 2 | 1 | 3.1 | methanol/acetic acid (3% V/V) | 34.94 | 35.37 | 83 | 
| 1 → 3 | 2 | 6.4 | water/acetic acid (40% V/V) | 51.69 | 52.26 | 73 | 
| Current Density mA/cm2 | Product Yield % | |
| 2-bromo-1,3-indandione2 | 2,2-dibromo-1,3-indandione3 | |
| 5 | 14 | 12 | 
| 15 | 24 | 21 | 
| 25 | 56 | 48 | 
| 50 | 83 | 73 | 
| 75 | 81 | 69 | 
- 1 General conditions for electrolysis are similar to those mentioned in Table 1.
- 2 Conditions for synthesis of 2-bromo-1,3-indandione are: solvent: methanol/acetic acid 3% V/V, NaBr 1 mmol, 1,3-indandione 1mmol, current consumption: 299.1 C or 3.1 Fmol-1.
- 3 Conditions for synthesis of 2,2-dibromo-1,3-indandione are: solvent: water/acetic acid 40% V/V, NaBr 2 mmol, 1,3-indandione 1mmol, current consumption: 617.6 C or 6.4 Fmol-1.
References and Notes
- Nematollahi, D.; Golabi, S. M. J. Electroanal. Chem. 1996, 405, 133.
- Golabi, S. M.; Nematollahi, D. Bull. Electrochem. 1997, 13, 156.
- Nematollahi, D.; Golabi, S M. Iranian J. Sci. Technol. 1997, 21, 121.
- Golabi, S. M.; Nematollahi, D. J. Electroanal. Chem. 1997, 420, 127.
- Golabi, S. M.; Nematollahi, D. J. Electroanal. Chem. 1997, 430, 141.
- Nematollahi, D.; Golabi, S. M. Bull. Electrochem. 1998, 14, 97.
- Nematollahi, D.; Golabi, S. M. J. Electroanal. Chem. 2000, 481, 208.
- Nematollahi, D.; Golabi, S. M. Electroanalysis. accepted for publication.
- Nematollahi, D.; Goodarzi, H. J. Electroanal. Chem. accepted for publication.
- Spitulnik, Michael J. Synthesi 1985, 299.
- Vanags, G.; Pelchers, J. Doklady akad. Nauk. S.S.S.R. 1961, 140, 815.
- Piers, E.; Grierson, J. R.; Lau, K. Cheuk; Nagakura, I. Can. J. Chem. 1982, 60, 210.
- Gudriniece, E.; Vanags, G.; Strakov, A.; Neilands, O. Zhur. Obshchei Khim. 1959, 29, 1893.
- Zelmens, V.; Vanags, G.; Krastina, Z. Latvijas P.S.R. Zinatnu Akad. Vestis 1959, 7, 75.
- Furdik, M.; Hrnciar, P.; Kucar, S. Acta Fac. Rerum Natur. Univ. Comeniae, Chim. 1966, 11, 37.
- Paulins, J.; Karklina, A.; Gasjuna, L.; Gudriniene, E. Latv. PSR Zinat Akad. Vestis, Khim. 1979, 4, 490.
- Mitsudera, H.; Konishi, K. Takeda Kenkyushoho. 1979, 38, 175.
- Kosmrlj, J.; Kocevar, M.; Polanc, S. Synth. Commun. 1996, 26, 3583.
- Sket, B.; Zupan, M. Synth. Commun. 1989, 19, 2481.
- Bard, A. J.; Faulkner, L. R. Electrochemical Methods; Wiley: New York, 1980; pp. 452–454. [Google Scholar]
- Nematollahi, D.; Afkhami, A.; Zolfigol, M. A.; Akaberi, N. Bull. Electrochem. 2000, 16, 89.
- Nematollahi, D.; Akaberi, N. Bull. Electrochem. 2001, 17, 61.
- Nematollahi, D.; Hesari, M. Microchem. J. in press.
- Nyberg, K. Organic Electrochemistry, First Edition; Baizer, M. M., Nyberg, K., Eds.; Marcel Dekker: New York, 1973; p. 720. [Google Scholar]
- Sample Availability: All products reported in this paper are available from the authors.
© 2001 by MDPI (http://www.mdpi.org). Reproduction is permitted for noncommercial purposes.
Share and Cite
Nematollahi, D.; Akaberi, N. Electrochemical Study of Bromide in the Presence of 1,3-Indandione. Application to the Electrochemical Synthesis of Bromo Derivatives of 1,3-Indandione. Molecules 2001, 6, 639-646. https://doi.org/10.3390/60700639
Nematollahi D, Akaberi N. Electrochemical Study of Bromide in the Presence of 1,3-Indandione. Application to the Electrochemical Synthesis of Bromo Derivatives of 1,3-Indandione. Molecules. 2001; 6(7):639-646. https://doi.org/10.3390/60700639
Chicago/Turabian StyleNematollahi, D., and N. Akaberi. 2001. "Electrochemical Study of Bromide in the Presence of 1,3-Indandione. Application to the Electrochemical Synthesis of Bromo Derivatives of 1,3-Indandione" Molecules 6, no. 7: 639-646. https://doi.org/10.3390/60700639
APA StyleNematollahi, D., & Akaberi, N. (2001). Electrochemical Study of Bromide in the Presence of 1,3-Indandione. Application to the Electrochemical Synthesis of Bromo Derivatives of 1,3-Indandione. Molecules, 6(7), 639-646. https://doi.org/10.3390/60700639
 
        
 
       