New Withanolides from Two Varieties of Jaborosa Caulescens
Abstract
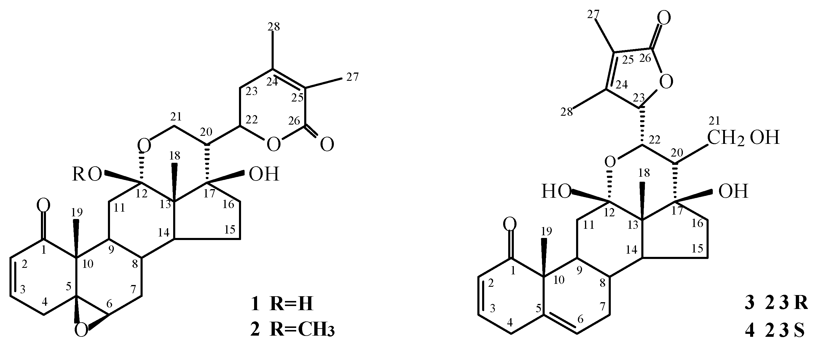
:Introduction
Experimental
Results and Discussion

References and Notes
- Hunziker, A. T.; Barboza, G. E. Flora Fanaerogámica Argentina. Proflora 1998, fasc. 54. [Google Scholar]
- Barboza, G. E.; Hunziker, A. T. Estudios sobre Solanaceae XXV. Kurtziana 1987, 19, 77–153. [Google Scholar]
- Bonetto, G. M.; Gil, R. R.; Oberti, J. C.; Veleiro, A. S.; Burton, G. Novel wihanolides from Jaborosa sativa. J. Nat. Prod. 1995, 58(5), 705–711. [Google Scholar] [CrossRef]
Share and Cite
Nicotra, V.E.; Gil, R.R.; Oberti, J.C.; Burton, G. New Withanolides from Two Varieties of Jaborosa Caulescens. Molecules 2000, 5, 514-515. https://doi.org/10.3390/50300514
Nicotra VE, Gil RR, Oberti JC, Burton G. New Withanolides from Two Varieties of Jaborosa Caulescens. Molecules. 2000; 5(3):514-515. https://doi.org/10.3390/50300514
Chicago/Turabian StyleNicotra, Viviana E., Roberto R. Gil, Juan C. Oberti, and Gerardo Burton. 2000. "New Withanolides from Two Varieties of Jaborosa Caulescens" Molecules 5, no. 3: 514-515. https://doi.org/10.3390/50300514
APA StyleNicotra, V. E., Gil, R. R., Oberti, J. C., & Burton, G. (2000). New Withanolides from Two Varieties of Jaborosa Caulescens. Molecules, 5(3), 514-515. https://doi.org/10.3390/50300514
