Abstract
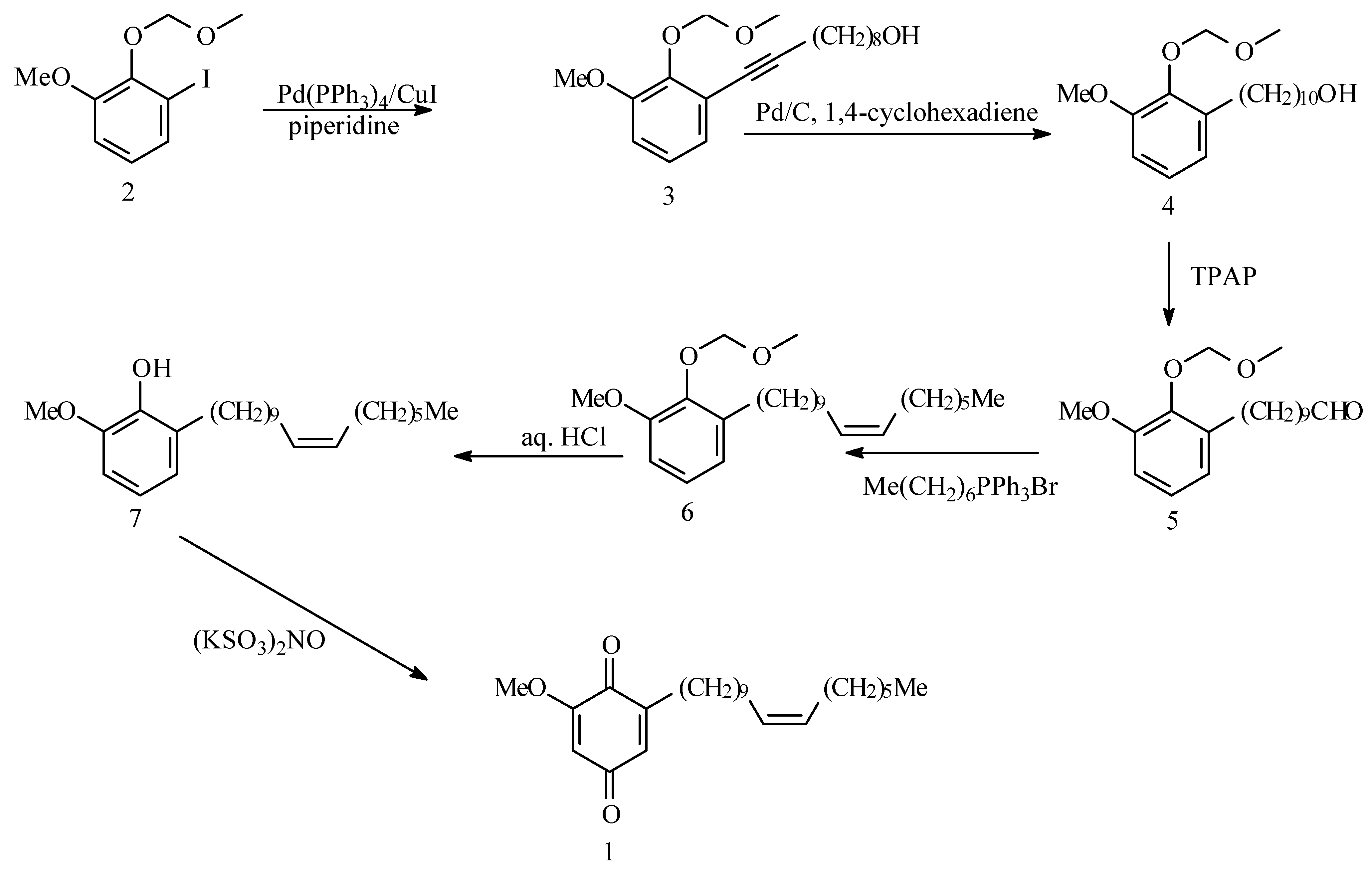
A short, high-yielding synthesis of the antitumour agent irisquinone (1) is de- scribed. The key steps are the palladium catalysed coupling reaction of dec-9-yn-1-ol with iodide (2) to form alkyne (3) and the Fremy’s salt oxidation of phenol (7).
Introduction
The seeds of Iris pallasi (Iridaceae) have been used in Chinese folk medicine for the treatment of various malignancies and for the treatment of metrorrhagia and vaginal discharge [1]. Irisquinone (1) has been isolated as an active principle [2] from the seed oil of I. pallasi and this 1,4-benzoquinone is effective against cervical carcinoma, lymphosarcoma, hepatoma and Ehrlich ascites carcinoma (EAC) in mice [2,3]. Irisquinone (1) damages nuclei of cells and inhibits [3] mitosis in cancer cells. Respira- tion of P388 cells is significantly inhibited by irisquinone (1) and mitochondrial damage to EAC cells has been noted [4]. Furthermore, levels of cyclic guanosine monophosphate have been shown to in- crease [5] in plasma of tumour bearing mice after treatment with this quinone (1). These results sug- gest that the antitumour action of irisquinone (1) is likely to be different from that of other cytotoxic agents. There are several syntheses of irisquinone (1) described [6,7,8,9] in the literature. However the best yield reported [6] was 25% over seven steps. In order to study its mechanism of action, our labo- ratories required a good supply of irisquinone (1). Herein is described a short, high-yielding synthesis of irisquinone (1).
Results and Discussion
Dec-9-yn-1-ol was prepared from commercially available dec-2-yn-1-ol by the acetylene Zipper re- action [10] and the aryl iodide (2) was prepared by a literature method [11]. Various palladium cata- lysed coupling reactions of iodide (2) with dec-9-yn-1-ol were tried to optimise the yield of alkyne (3) using different bases, co-catalysts, solvents and temperatures [12,13,14,15,16,17,18]. The method of Alami [19] us- ing 5 mol% Pd(PPh3)4, 10 mol% CuI and piperidine as both base and solvent afforded the alkyne (3) in 98% yield.
Reduction of this alkyne (3) with 1,4-cyclohexadiene and palladium on carbon using a transfer hy- drogenation process [20] afforded the fully saturated alcohol (4) in quantitative yield. Swern oxidation of alcohol (4) using activated DMSO afforded aldehyde (5) in only 21% yield. However, oxidation with tetrapropylammonium perruthenate (TPAP) [21] afforded the desired aldehyde (5), after column chromatography on silica in virtually quantitative yield after 10 minutes reaction. This aldehyde (5) proved to be unstable and was reacted as soon as it was prepared with n-heptyltriphenylphosphonium bromide. This reaction afforded exclusively the Z-olefin (6) in excellent yield. Removal of the meth- oxymethyl protecting group from olefin (6) using dilute hydrochloric acid afforded the phenol (7) in quantitative yield. Salcomine catalysed oxidation of phenols has previously been used [22] to prepare 1,4-benzoquinones. However, in our laboratory, salcomine oxidation of phenol (7) afforded the desired irisquinone (1) in varying yields of 30-60%. Also oxidation of phenol (7) with molecular oxygen in the presence of benzyltrimethylammonium hydroxide [23] failed to produce the desired benzoquinone (1) in satisfactory yield. Fremy’s salt oxidation [24] of this phenol (7), however, produced irisquinone (1) in excellent yield (87%)(Scheme 1).
Scheme 1.
Synthesis of irisquinone.
The above synthesis of irisquinone (1) was attained from aryl iodide (2) in six steps in an overall yield of 70%. The general methodology described can be utilised to synthesise a range of alkyl or alkenyl substituted benzoquinones in excellent yield. The biological activities of irisquinone (1) and analogues will be reported in a subsequent paper.
Experimental
Synthetic intermediates were used as received from Aldrich Chemical Company or Lancaster Syn- thesis. NMR spectra were determined on a Bruker AC300 (at 300 MHz) NMR spectrometer in CDCl3 and are expressed in δ values relative to tetramethylsilane. Coupling constants (J) are measured in Hz. Infra-red spectra were recorded on a Perkin Elmer 1710 FT spectrometer and are expressed in cm-1. UV-Vis spectra were determined on a Varian Cary 1 UV-VIS spectrophotometer. Melting points are uncorrected. Electron impact mass spectra were determined using a VG Trio 2 or a Kratos MS25 mass spectrometer at an ionisation energy of 70 eV.
10-[3’-Methoxy-2’-(methoxymethoxy)phenyl]dec-9-yn-1-ol (3)
To a stirred solution of the aryl iodide (2) (108 mg, 0.367 mmol), copper (I) iodide (10 mol%, 10 mg, 55 μmol), tetrakis(triphenylphosphine) palladium (0) (5 mol%, 20 mg, 17 μmol) in piperidine (1 ml) was added dec-9-yn-1-ol (2.3 eq., 13l mg, 0.85 mmol) in piperidine (1ml) under an atmosphere of argon. The reaction mixture was shaken vigorously for 5 min, stirred for a further 25 min at room tem- perature, hydrolysed with saturated aqueous ammonium chloride (10 ml) and extracted with dichlo- romethane (3 x 10 ml). The combined organic extracts were washed with brine (3 x l0 ml), dried over anhydrous magnesium sulfate, filtered and concentrated to yield an orange/yellow oil (231 mg). The crude mixture was eluted on silica gel with petrol:ethyl acetate (7:3) to yield the title alkynol (3) (253 mg, 98%) as a pale orange oil. νmax (film) 3407(OH). δH: 6.90 (2 H, m, Ar-H-4', H-5'); 6.80 (1 H, dd, J 6 and 4, Ar-H-6'); 5.20 (2 H, s, O-CH2-O); 3.80 (3 H, s, Ar-OCH3); 3.60 (3 H, s, -OCH2OCH3); 3.58 (2 H, t, J 7, H-l), 2.40 (2 H, t, J 8, H-8), 1.40 (12 H, m, Hs-2 - 7). m/z (El) 320 (M+, 25%), 277 (25), 262 (25), 183 (40), 81 (60), 69 (100), 55 (40). [Found: m/z 320.1988 (M+). C19H28O4 requires 320.1988]
10-[3’-Methoxy-2’-(methoxymethoxy)phenyl]decan-l-ol (4)
To a stirred solution of the alkynol (3) (3.85 g, 12.0 mmol) in absolute ethanol (50 ml) was added 1,4-cyclohexadiene (20 eq., 23 ml, 240 mmol). The solution was cooled to 0°C and Pd/C 10% (1.2 eq., 3.85 g, 14 mmol) was added very carefully in small portions. The suspension was stirred under an at- mosphere of argon at room temperature for 1 h, filtered through Celite and the filtrate concentrated to yield the title alcohol (4) (3.88 g, 99.8%) as a colourless oil. νmax (film) 3471 (OH). δH: 6.95 (1 H, t, J 8, Ar-H-5'); 6.83 (1 H, dd, J 8 and 2, Ar-H-4'); 6.75 (1 H, dd, J 8 and 2, Ar-H-6'); 5.10 (2 H, s, -OCH2- O); 4.85 (1 H, s, -OH), 3.80 (3 H, s, Ar-OCH3); 3.55 (3 H, s, -OCH2OCH3); 3.54 (2 H, t, J 7, H-l), 2.65 (2 H, t, J 8, H-10), 1.70-1.20 (16 H, bm, Hs-2 -9). m/z (EI) 324 (M+, 10%) 292 (20), 262 (45), 150 (65), 137 (100), 45(50).
10-[3'-Methoxy-2'-(methoxymethoxy)phenyl]decan-l-al (5)
To a stirred suspension of the alcohol (4) (859 mg, 2.65 mmol), 4-methylmorpholine-N-oxide (1.5 eq., 542 mg, 4.63 mmol) and activated powdered 4A molecular sieves (1.54 g, 500 mg/mmol) in anhy- drous dichloromethane (7 ml) was added, in one portion, tetrapropylammonium perruthenate (VII), (5 mol%, 54.2 mg, 0.154 mmol). The reaction mixture was stirred under argon for 10 min and filtered through a short pad of silica eluting with ethyl acetate to yield the title aldehyde (5) (830 mg, 97%) as a pale yellow oil. νmax (film) 1725 (C=O). δH: 9.67 (1 H, t, J, 3, CHO); 6.95 (1 H, t, J 8, Ar-H-5'); 6.83 (1 H, dd, J 8 and 2, Ar-H-4'); 6.75 (l H, dd, J 8 and 2, Ar-H-6’); 5.10 (2 H, s, -OCH2O); 3.80 (3 H, s, Ar-OCH3); 3.55 (3 H, s, -OCH2OCH3); 2.65 (2 H, t, J 8, H-10); 2.35 (2 H, m, H-2), 1.60-1.20 (14 H, bm, Hs-3 - 9). m/z (EI) 322 (M+, 35%) 137 (45), 85 (50), 83 (75), 44 (100).
1-[(Z)Heptadec- l0'-enyl]-3-methoxy-2-(methoxymethoxy)benzene (6)
To a stirred suspension of n-heptyltriphenylphosphonium bromide (2 eq, 548 mg, 1.24 mmol) in 1,4-dioxane (2 ml) was added a solution of potassium t-butoxide (139 mg, 1.24 mmol) in 1,4-dioxane (l ml) under argon. After 30 min stirring at room temperature, a solution of aldehyde (5) (200 mg, 0.62 mmol) in 1,4-dioxane (0.5 ml) was added. After stirring for a further hour, the solution was quenched with saturated aqueous ammonium chloride (10 ml). The aqueous solution was extracted with diethyl ether (3 x 10 ml) and the combined ethereal extracts were washed with water (3 x 10 ml), brine (3 x 10 ml) and dried over anhydrous magnesium sulfate. The solvent was filtered and concentrated to yield a crude mixture as a brown oil (505 mg). This oil was eluted on silica with hexane:ether (9:1) to yield the title (Z)-alkene (6) (213 mg, 85%) as a pale brown syrup. δH: 6.95 (1 H, t, J 8, Ar-H-5’); 6.83 (1 H, dd, J 8 and 2, Ar-H-4’); 6.75 (1 H, dd, J 8 and 2, Ar-H-6’), 5.35 (2 H, t, J 4.7, H-10', H-11'); 5.10 (2 H, s, -OCH2O); 3.80 (3 H, s, Ar-OCH3); 3.60 (3 H, s, OCH2OCH3); 2.65 (2 H, t, J 8, H-1’); 2.00 (4 H, m, H-9', H- l 2'); 1.60 (2 H, m, H- l6'); 1.40-1.20 (20 H, bm, Hs-2'-8', H-13', H- 14', 11-15'); 0.90 (3 H, m, H-17'). m/z (EI) 404 (M+; 20%) 391 (20), 263 (100), 137 (40), 106 (35), 55 (40).
2-[(Z)Heptadec-10'-enyl]-6-methoxyphenol (7)
To a stirred solution of the alkene (6) (483 mg, 1.l9 mmol) in i-propanol/ THF (1:1, 10 ml) was added 2 M HCl (4 ml). The solution was stirred at room temperature for 1 h and was extracted with dichloromethane (3 x 25 ml). The combined organic extracts were washed with saturated aqueous so- dium bicarbonate (3 x 25 ml), brine (3 x 25 ml), dried over anhydrous magnesium sulfate, filtered and concentrated to yield the title phenol (7) (427 mg, 99.8%) as a colourless oil. νmax (film) 3565 (OH). δH: 6.80 (3 H, m, Ar-H-3’, H-4’, H-5’); 5.70 (1 H, s, Ar-OH); 5.35 (2 H, t, J 4.7, H-10', H- 1l’); 3.90 (3 H, s, Ar-OCH3); 2.65 (2 H, t, J 8, H-1'); 2.00 (4 H, m, H-9', H-12’); 1.60 (2 H, m, H-16’); 1.40-1.20 (20 H, m, Hs-2'-8', H13', H-14', H-15'); 0.90 (3 H, m, H-17'). m/z (EI) 360 (M+, 35%) 137 (l00).
2-[(Z)Heptadec-10'-enyl]-6-methoxybenzo-1,4-quinone, Irisquinone (1)
To a stirred mixture of NaH2PO4.H2O (7.4 eq., 644 mg, 4.67 mmol) in water (200 ml), containing Aliquat 336 (1.25 eq, 0.361 ml, 0.79 mmol), was added the phenol (7) (227 mg, 0.631 mmol) in di- chloromethane (13 ml). Potassium nitrosodisulfonate (Fremy’s salt) (2.5 eq, 423 mg, 1.58 mmol) was added and the mixture shaken vigorously until a colour change to yellow became permanent. The or- ganic layer was collected and the aqueous layer extracted with dichloromethane (3 x 5 ml). The com- bined organic extracts were washed with water (3 x 5 ml), brine (3 x 5 ml), dried over anhydrous mag- nesium sulfate, filtered and concentrated to yield the crude quinone (213 mg). The product was eluted on silica gel eluting using petrol:ethyl acetate (3:2) to yield the title quinone (1) (205 mg, 87%) as yellow crystals from EtOH; m.p. 42-42.5°C (lit. mp [25] 42.5-43.5°C). νmax (film) 1685 (C=O), 1652 (C=O), 1598 (C=C). λmax 267 nm (15,500) and 363 (980). δH: 6.50 (1 H, dt, J 2 and 1, H-3); 5.90 (1 H, d, J 2, H-5); 5.35 (2 H, t, J 4.7, H-10', H-11'); 3.90 (3 H, s, Ar-OCH3); 2.40 (2 H, t, J 7, H-1'); 2.00 (4 H, m, H-9', H-l2'); 1.60 (2 H, m, H-16'); 1.40-1.20 (20 H, m, Hs-2' - 8', H-13', H-14', H-15'); 0.90 (3 H, m, H-17'). (Found: C, 76.94; H, 10.27. C24H38O3 requires C, 76.96; H, 10.23%). m/z (EI) 374 (M+, 40% ) 153 (100), 109 (20).
Acknowledgements:
This work was supported by the Cancer Research Campaign and the Medical Re- search Council (UK). Drs Simon Moore and Xiu-guo Zhang are acknowledged for experimental work and advice.
References and Notes
- Han, J. Traditional Chinese-medicine and the search for new antineoplastic drugs. J. Ethnophar- macol. 1988, 24, 1–17. [Google Scholar] [CrossRef]
- Wu, Z-X. Pharmacological study of anti-cancer drug irisquinone. Huanue Xuebao 1980, 38, 156–159. [Google Scholar]
- Li, D.; Hao, X.; Zhang, S.; Wang, S.; Liu, R.; Ma, K.; Yu, S.; Jiang, H.; Guan, J. Anti-tumor ac- tion and toxicity of 6-methoxy-2-δ-10’-cis-heptadecenyl-1,4-benzoquinone. Acta Pharmacol. Sinica 1981, 2, 131–134. [Google Scholar]
- Shixian, W. The effect of Iq 7611 on P388 cell’s respiration. Chin J. Exp. Onc. 1987, 14, 88–89. [Google Scholar]
- Shixian, W. The effect of irisquinone on plasma cyclo-nucleotide, the tumor and other tissues of mice bearing U14 tumor. Chin J. Exp. Onc. 1986, 13, 241–243. [Google Scholar]
- Yadav, J. S.; Upender, V.; Rao, A. V. R. A practical preparation of functionalized alkylbenzo- quinones. Synthesis of maesanin and irisquinone. J. Org. Chem. 1992, 57, 3242–3245. [Google Scholar] [CrossRef]
- Pfeifer, J.; Gerlach, H. Synthesis of natural compounds with alkyl-methoxy-1,4-benzoquinone structure. Liebigs Ann. 1995, 131–137. [Google Scholar] [CrossRef]
- Zhang, H. Y.; Pan, B. C.; Tao, Z. W.; Q, Q. Total synthesis of irisquinone. Acta Chim. Sinica 1989, 47, 896–900. [Google Scholar]
- Michalak, R. S.; Myers, D. R.; Parsons, J. L.; Risbbod, P. A.; Haugwitz, R. D.; Narayanan, V. L. The synthesis of irisquinone. Tetrahedron Lett. 1989, 30, 4783–4786. [Google Scholar] [CrossRef]
- Brown, C. A.; Yamashita, A. The acetylene zipper. An exceptionally facile “contrathermo- dynamic” multipositional isomerization of alkynes with potassium 3-aminopropylamide. J. Am. Chem. Soc. 1975, 97, 891–8927. [Google Scholar] [CrossRef]
- Weeratunga, G.; Jaworska-Sobiesiak, A.; Horne, S.; Rodrigo, R. A general synthesis of dihydro- benzofurans by intramolecular conjugate addition. Can. J. Chem. 1987, 65, 2019–2023. [Google Scholar] [CrossRef]
- Nguyen, P.; Yuan, Z.; Lesley, G.; Marder, T. B. Synthesis of symmetrical and unsymmetric 1,4- bis(p-R-phenylethynyl)benzenes via palladium copper-catalyzed cross-coupling and comments on the coupling of aryl halides with terminal alkynes. Inorg. Chim. Acta. 1994, 220, 289–296. [Google Scholar] [CrossRef]
- Takano, S.; Akiyama, M.; T. Sugihara, T.; Ogasawara, K. An efficient synthesis of optically- active 4-benzyloxy-3-hydroxy-1-butyne and its cross-coupling reaction. Heterocycles 1992, 33, 831–841. [Google Scholar] [CrossRef]
- Moniatte, M.; Eckhardt, M.; Brickmann, K.; Brückner, R.; Suffert, J. Study of the regio-selectivity of palladium-catalyzed monocouplings between conjugated bis(enoltriflates) and trimethylsi- lylacetylene. Tetrahedron Lett. 1994, 35, 1965–1968. [Google Scholar] [CrossRef]
- Sonogashira, K.; Tohda, Y.; Hagihari, N. A convenient synthesis of acetylenes: catalytic substitu- tions of acetylenic hydrogen with bromoalkenes, iodoarenes and bromopyridines. Tetrahedron Lett. 1975, 50, 4467–4470. [Google Scholar] [CrossRef]
- Crisp, G. T.; Robertson, T. A. Palladium-catalyzed coupling of a propargylglycine derivative. Tetrahedron 1992, 48, 3239–3250. [Google Scholar] [CrossRef]
- De la Rosa, M.; Velarde, E.; Guzmán, A. Cross-coupling reactions of monosubstituted acetylenes and aryl halides catalyzed by palladium on charcoal. Synth. Commun. 1990, 20, 2059–2064. [Google Scholar]
- Torii, S.; Okumoto, H.; Xu, L. H.; Sadakane, M.; Shostakovsky, M. V.; Ponomayov, A. B.; Kalinin, V. N. Syntheses of chromones and quinolones via Pd-catalyzed carbonylation of o- iodophenols and anilines in the presence of acetylenes. Tetrahedron 1993, 49, 6773–6784. [Google Scholar] [CrossRef]
- Alami, M.; Ferri, F.; Linstrumelle, G. An efficient palladium-catalyzed reaction of vinyl and aryl halides or triflates with terminal alkynes. Tetrahedron Lett. 1993, 34, 6403–6406. [Google Scholar] [CrossRef]
- Brieger, G.; Nestrick, T. J. Catalytic transfer hydrogenation. Chem. Rev. 1974, 74, 567–580. [Google Scholar] [CrossRef]
- Ley, S. V.; Norman, J.; Griffith, W. P.; Marsden, S. P. Tetrapropylammonium perruthenate, -, TPAP - a catalytic oxidant for organic-synthesis. Synthesis 1994, 639–666. [Google Scholar] [CrossRef]
- De Jonge, C. R. H.; Hageman, H. J.; Hoentjen, G.; Mijs, W. J. Oxidation with bis(salicylidine)- ethylenediimino-cobalt(II) (salcomine): 2,6-di-tert-butyl-p-benzoquinone. Org. Synth. 1977, 57, 78–80. [Google Scholar]
- Rizzi, J. P.; Kende, A. S. A stereospecific total synthesis of aklavinone. Tetrahedron Lett. 1984, 40, 4693–4700. [Google Scholar] [CrossRef]
- Zimmer, H.; Lankin, D. C.; Horgan, S. W. Oxidations with potassium nitrosodisulfonate (Fremy’s radical) – The Teuber reaction. Chem. Rev. 1971, 71, 229–246. [Google Scholar] [CrossRef]
- Seki, K.; Haga, K.; Kaneko, R. Phenols and a dioxotetrahydrodibenzofuran from seeds of iris- pallasii. Phytochemistry 1995, 38, 965–973. [Google Scholar] [CrossRef]
- Sample availability: samples are available from the authors.
© 2000 by MDPI (http://www.mdpi.org). Reproduction is permitted for noncommercial purposes.
