Next Article in Journal
Benchmarking OPLS-AA and OpenFF for HDI–PEG Thermoplastic Polyurethanes with Varying Soft-Segment Length
Previous Article in Journal
Interfacial and Bulk Properties of Volatile Amphiphiles and Sodium Dodecyl Sulfate Mixtures
Previous Article in Special Issue
Electronic Structure of the Ground and Low-Lying States of MoLi
 
 
Font Type:
Arial Georgia Verdana
Font Size:
Aa Aa Aa
Line Spacing:
Column Width:
Background:
Article

Electronic Structure, Ligand Effects, and Chemical Reactivity of the Ground and Low-Lying Excited Electronic States of NpO3+

by
Taylor Gregory
and
Evangelos Miliordos
*
Department of Chemistry and Biochemistry, Auburn University, Auburn, AL 36849-5312, USA
*
Author to whom correspondence should be addressed.
Molecules 2026, 31(8), 1258; https://doi.org/10.3390/molecules31081258
Submission received: 24 February 2026 / Revised: 2 April 2026 / Accepted: 7 April 2026 / Published: 10 April 2026

Abstract

Multi-reference and density functional theory calculations are performed for the diatomic and ligated NpO3+ species. The main goal of this study is to provide insights into the stability of the experimentally synthesized N(CH2CH2NR)3NpO (R = SiiPr3) coordination complex and probe its use as a catalyst for the oxidation of methane. The constructed potential energy curves for NpO3+ showed the presence of three different types of minima (Np3+O, Np4+O, Np5+O2−) depending on the neptunium–oxygen distance. All these minima are higher in energy than the Np2+ + O+ fragments, and the more stable Np5+O2− form is stabilized only due to the presence of the negatively charged -CH2NR moiety of the ligand. The C–H bond activation of methane was found to be possible only for the first quintet state of the complex which lies about 30 kcal/mol higher than the ground triplet state.

Graphical Abstract

1. Introduction

Transition metal coordination complexes have provided versatile machinery for achieving novel chemical transformations [1]. Optimization of the structures and functions of these complexes has created new avenues for the selective production and targeted design of inorganic and organic compounds that were previously impossible to make in high yields [1]. This progress enables us to see a future where current environmental, energy, and health-related challenges will be addressed by elegant chemical processes [1].
Transition metal oxides have been extensively probed for the selective conversion of methane to methanol [2]. The production of methanol from methane in high yields will enable the use of large quantities of natural gas (extracted at oil wells and fracking sites) as a feedstock, and not only as fuel [2]. Methanol is an industrially important solvent and can be used as the raw material for the synthesis of larger compounds used as commodity chemicals [2,3].
Despite intense research, selective viable catalysts have not been identified yet [2]. The main reason is that the C–H bond of the produced methanol is weaker than that of methane, and thus the employed catalysts over-oxidize methane to formaldehyde, formic acid, or even carbon dioxide. Research recently showed that kinetic (and not thermodynamic) factors may be able to revert this situation [4]. The prototypical (NH3)4RhO2+ coordination complex was found to provide a lower activation barrier for methane. This unusual reactivity was attributed to two factors: the electronic structure of the metal (Rh4+) center (low-spin high-oxidation state), which promotes the heterolytic dissociation of the activated C–H bond, and the formation of hydrogen bonds between the OH group of methanol and the NH groups of the ammonia ligands [4,5].
This work was motivated by the ongoing interest in the literature of identifying actinide complexes with high-oxidation states [6,7,8,9], and specifically the recently synthesized N(CH2CH2NR2)3NpO (R = Si1Pr3) coordination complex [10], which has a similar first coordination sphere and a NpO3+ functional unit with a formally Np5+ center. This higher oxidation state is expected to further favor the oxidation of methane. In addition, other interesting fundamental questions follow. Is the neptunium center indeed Np5+? What is the role of the f-electrons in the potential of the use of lanthanides and actinides as catalytic centers? How does the presence of f-electrons instead of d-electrons change the properties of the corresponding metal complexes? Besides the higher oxidation states that the f-block metal complexes can accommodate, they are expected to act differently from the d-block metal complexes for two more reasons: the larger range of coordination numbers for f-block metals and the stronger ionic character of the formed metal–ligand bonds [11]. Other f-block metal centers have been utilized for the activation of methane [12,13], but we are not aware of any studies probing f-block metal oxide complexes, while we are aware of only one more f-block metal-oxo complex [14].
Presently, we focus on the electronic structure of NpO3+ and that of the model compound N(CH2CH2NR)3NpO resembling the experimentally synthesized one. The model compound is computationally less demanding and is used to study its reaction with methane. The electronic structure of the neptunium center is probed with both multi-reference wavefunction- and density functional-based methodologies. First all atomic species from neutral Np to cationic Np5+ are studied, followed by the investigation of the NpO3+ diatomic cation, and, finally, model ligands are included to see their effects on the electronic structure and reactivity. Next, we describe the employed methodologies, followed by the presentation of our findings. Finally, we summarize our findings and provide insights for future studies.

2. Results and Discussion

2.1. Electronic Structure of NpO3+

The ground state of the neutral and the first five cationic neptunium species are Np (6L11/2; 5f46d17s2), Np+ (7L5; 5f46d17s1), Np2+ (6H5/2; 5f5), Np3+ (5I4; 5f4), Np4+ (4I9/2; 5f3), and Np5+ (3H4; 5f2). Going sequentially from Np to Np5+, our LC-SO-MRCI+Q-DKH3-calculated ionization energies compared to the experimental values in parentheses are 6.0 (6.266), 11.7 (11.5), 19.6 (19.7), 33.7 (33.8), and 49.2 (48.0) eV [15]. For the last two ionization energies, SC-SO-MRCI-DKH3 calculations were feasible, and the ionization energies changed by less than 0.1 eV (49.1 vs. 49.2 and 33.6 vs. 33.7 eV). The very good agreement between theory and experiment validates the methodology used presently. The calculated ionization energy for oxygen is 13.4 eV, which is also in very good agreement with the experimental value of 13.6 eV [15].
Next, the potential energy curves (PECs), bonding schemes, electronic structure information, spin–orbit splitting, and spectroscopic constants for the lowest energy electronic states of the bare NpO3+ unit are discussed. Based on the ionization energies of neptunium and oxygen, and the electron affinity of oxygen, the lowest energy fragments are Np2+(6H) and O+(4S; 2p3). This channel generates triplet, quintet, septet, and nonet states, 3,5,7,9, Π, Δ, Φ, Γ, Η], all of which should have dissociative PECs due to the strong Coulombic repulsion. The next channel, Np3+(5I) + O(3P), produces triplets, quintets, and septets, which are expected to have moderately bound PECs. Two more channels of interest are Np4+(4I) + O(2P) and Np5+(3H) + O2−(1S) since they are anticipated to form the equilibrium structures. A quantitative plot of the expected PECs for all four spin multiplicities is shown in Figure 1. Low-lying singlet states are omitted in this plot but they can be present stemming from the excited states of these channels.
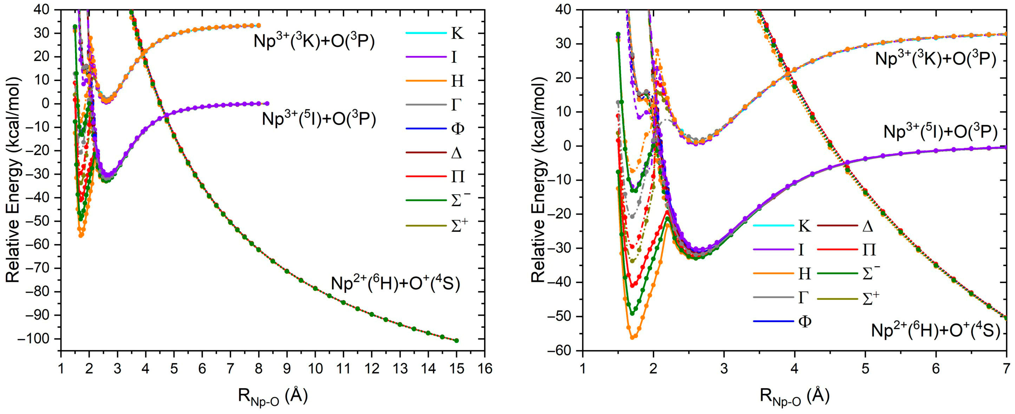
The constructed PECs at the LC-MRCI-DKH3 level shown in Figure 2 agree well with those of Figure 1. Thirty-four low-lying electronic states have been considered, i.e., 1Σ+, 1Π, 1Γ, 1Η, 1Ι, 1Κ, 3Σ (×2), 3Π, 3Δ, 3Φ, 3Γ, 3Η, 3Ι, 5Σ, 5Π, 5Δ, 5Φ, 5Γ, 5Η, 5Ι, 7Σ, 7Π, 7Δ, 7Φ, 7Γ, 7Η, 7Ι, 9Σ, 9Π, 9Δ, 9Φ, 9Γ, and 9Η. The left figure includes distances from 1.0 to 15.0 Å, while the right figure offers a clearer view of the PECs at the equilibrium region. Individual plots for each spin multiplicity are given in Figure S1 in the Supporting Information (SI).
The PECs for the nonet spin multiplicity are indeed all repulsive following a 2/r asymptote. The same observation was found for the other spin states at the CASSCF level for long distances (6–7 to 15 Å), but in the region of 5–6 Å we coped with insurmountable technical issues due to the crossing of these repulsive PECs with the PECs coming from the next adiabatic channel, Np3+(5I; 5f4) and O (3P; 2p4). Since none of the Np3+ + O fragments can generate nonet states, the multi-reference character of nonet wavefunctions in the 5–6 Å is significantly suppressed easing the convergence issues. Therefore, for singlets, triplets, quintets, and septets, we used the wavefunction at 4 Å to construct the PECs. This strategy allowed us to get smooth PECs for distances between 1 and 9 Å. However, it should not be ignored that all these PECs are technically inaccurate in the 5–15 Å region, since they should suffer from an avoided crossing with the repulsive PECs of the Np2+(6H; 5f5) + O+(4S; 2p3) channel at ~5 Å.
Focusing on Np3+(5I; 5f4) + O (3P; 2p4), we built the PECs of all produced states, 3,5,7+, Σ(×2), Π(×3), Δ(×3), Φ(×3), Γ(×3), Η(×3), I(×2), K], at the CASSCF level of theory; see Figure S2 of SI. The PECs of all three spin multiplicities are all attractive, making potential energy wells with a minimum at around 2.7 Å. One third of these PECs are quasi-degenerate, making a beam of deeper potential wells with ~27 kcal/mol binding energy, while the other two-thirds of them create a second beam of PECs with ~10 kcal/mol binding energy. Looking at the CI vectors at the equilibrium distance of 2.7 Å, it is apparent that the most stable group of PECs corresponds to the 2px12py12pz2 configuration of O(3P), with z being the axis connecting the two atoms, while the other group pertains to 2px22py12pz1 or 2px12py22pz1. This justifies the relative ratio of states in the two groups. The lower energy group consists of the Σ, Π, Δ, Φ, Γ, Η, Ι states, which can be formed from Np3+ (5I; ML = 0, ±1, ±2, ±3, ±4, ±5, ±6) and O (3P; ML = 0; 2px12py12pz2).
The PECs of the septet states are smooth along the whole range of distances, but the CASSCF PECs of the quintet states exhibit some inflection points at distances around 2 Å, and the PECs of triplets form a barrier at ~2.2 Å leading to new potential energy local minima at ~1.7 Å. At the MRCI, the observed inflection points become local minima (see for example the PEC of 5I in Figure 2), and the CASSCF local minima at 1.7 Å become global minima at the MRCI (compare Figure S3 of SI and Figure 2). The CI vectors of the quintet spin states at 2 Å reveal an ionic character where oxygen adopts a 2p5 configuration, indicating that the observed inflection points are due to the involvement of the Np4+(5I; 5f3) + O(2P; 2p5) fragments, which can generate both quintets and triplets. Similarly, the minimum at 1.7 Å of the triplet states stems from Np5+(3H; 5f2) + O2−(1S; 2p6), which can only produce triplet states. The latter channel generates the 3, Π, Δ, Φ, Γ, Η] states, with 3H, 3Σ, and 3Π creating the lowest energy states of NpO3+.
The next lowest energy minima correspond to the PECs of singlet spin states, 1Σ+, 1Π, 1Γ, 1Η, and 1I (see Figure 2). The PECs stem from the next asymptotic channel corresponding to the first triplet state of Np3+(3K) and O(3P). To our knowledge, there is no experimental report on an excited state of Np3+; the calculated Np3+(3K) state has a 5f4 character. The PECs of the singlet states are nearly parallel to the triplet states with the same features, such as local minima at 2.7 Å, avoided crossings at ~2 Å, and lower energy minima at ~1.7 Å. Based on the CI vectors, the latter minima also originate from Np5+ + O2−.
The main configurations of the CI vector of the lowest triplet and singlet spin states at 1.7 Å are listed in Table 1, and the corresponding molecular orbitals are shown in Figure 3. The σ and πx,y orbitals pertain to the bonding Np–O orbitals. The compositions of these are σ ≈ 0.81 [2pz(O)] − 0.51 [4fz3(Np)] and πx,y ≈ 0.81 [2px,y(O)] + 0.35 [4fxz2,yz2(Np)]. The σ* and πx,y* are the corresponding anti-bonding orbitals, σ* ≈ 0.50 [2pz(O)] + 0.81 [4fz3(Np)] and πx,y* ≈ 0.81 [2px,y(O)] − 0.73 [4fxz2,yz2(Np)]. The bonding orbitals are polarized more towards the oxygen terminus, while the antibonding ones are polarized towards neptunium. The remaining four orbitals, δ± and φ±, are non-bonding atomic orbitals of neptunium since they have minimal overlap with the valence orbitals of oxygen. This pattern resembles that of transition metal oxide dications [16], with the difference that φ± are present only for f-block metals.
In all nine states listed in Table 1, the σ and π orbitals are doubly occupied (natural orbital population is larger than 1.92) and the corresponding σ* and π* are vacant (natural orbital population is smaller than 0.08). This observation signifies that the oxygen terminus for all these states has a strong O2− character (σ and π are heavily localized on oxygen). The remaining two electrons populate the δ± and φ± orbitals, and the specific combinations determine the overall symmetry and angular momentum of the wavefunctions. For example, the wavefunctions of the 1,3H and 1,3Π states are composed of the various δ+1φ+11φ1 configurations (B1 symmetry component), whereas the 1Γ, 1I, 1Σ+, and 3Σ include δ+1δ1+1φ1 electron configurations (see Table 1).
To further understand the bonding scheme of the potential wells at 2.7 Å, we plotted the orbital contours in Figure S3 of SI. At this distance, there is minimal overlap between the atomic orbitals of neptunium and oxygen. The σ and π orbitals are clearly localized on oxygen and are practically identical to its 2p orbitals. The remaining orbitals are all localized on neptunium and have mainly 5f character. The wavefunctions for all spin multiplicities are very multi-reference and the CI vectors include exclusively σ2π2 or σ1π3 (S = 1) configurations for oxygen corresponding to O (3P; 2p4). As a result, the natural populations for σ and π or 2p are 4/3 = 1.333, and for the other orbitals (σ*, π*, δ, φ or 5f) are 4/7 = 0.571. These observations point to Np3+–O electrostatically attracted structures.
For distances of ~1.9 Å, the quintet states reveal some shallow minima or inflection points with CI vectors composed mainly of σ2π3 or σ1π4 (S = 1/2) configurations pertaining to Np4+O species. Triplet states can also be generated from Np4+(4I; 5f3) + O(2P), but the corresponding minima are shadowed by the crossings with the Np5+(3H; 5f2) + O2−(2P) PECs. There are no quintet states generated by the latter channel, rendering the Np4+O minima particularly clear for quintets. There are no septet states from either Np4+O or Np5+O2− and thus only Np3+O minima are observed for septets. Overall, the constructed PECs for NpO3+ reveal the existence of four different electronic structure patterns depending on the spin multiplicity and Np–O distance. For distances longer than 5.0 Å the dissociative Np2+O+ dominates for all spin states (S = 0, 1, 2, 3, 4); for distances of ~2.7 Å there are Np3+O minima for S = 0, 1, 2, 3, for distances of ~1.9 Å there are shallow Np4+O minima for S = 2, and for distances of ~1.7 Å the S = 0 and 1 states are dominant.
Focusing on the Np5+O2− minima, SO calculations are performed for Np–O distances between 1.6 and 1.85 Å. The PECs are shown in Figure S4 of SI, while equilibrium distances, harmonic vibrational frequencies, excitation energies, and analysis of the wavefunction in terms of the parent 2S+1Λ states are listed in Table 2. The lowest energy state can be fairly written as a 13H4 state as it has Ω = 4 and it is composed of 13Η by 97%. The next two states at 0.383 and 0.633 eV have Ω = 0+ and 1 and cannot be assigned to a specific 2S+1Λ state. But the next two states at 0.878 and 1.298 eV can be clearly represented as 13H5 and 13Π0−. Eleven more states are listed in Table 2 with excitation energies ranging from 1.391 to 3.035 eV, and only five of them remain rather pure 2S+1Λ states: 13H6, 13Π2, 11Γ4, 11Ι6, and 11Η5. The equilibrium bond lengths re of all these states are bracketed between 1.709 and 1.743 Å, and the frequencies ωe cover the range of 810–878 cm−1. The similar re and ωe values mirror the same bonding character in all states (Np5+O2− with minor influence from the non-bonding f-electrons of neptunium) and indicate nearly parallel PECs with large Franck–Condon factors. To see the effect of correlating the subvalence 6s and 6p electrons, we performed calculations without correlating them for the ground state 3H. The bond lengths increased by 0.009 Å.

2.2. Ligand Effects on the Stabilization of NpO3+

Figure 2 indicates that the equilibrium Np5+O2− structure is metastable lying higher than the lowest energy fragments Np2+ + O+. To understand the role of the ligands in stabilizing the experimentally observed N(CH2CH2NR)3NpO, R = SiiPr, we performed calculations on the model (NH3)x(NH2)yNp5+O2− and (NH3)x(NH2)yNp2+ species with x = 0–1 and y = 0–3. For all species different spin multiplicities (see Table S1 of SI) were considered. The geometry of the model systems was made starting with N(CH2CH2NR)3NpO, keeping only the nitrogen and oxygen atoms, and saturating the N atoms with hydrogen atoms. Here we focus on the lowest energy spin state, which is found to be S = 1 for all oxides, and S = 5/2 for the ligated Np2+ species except for x = 0/y = 3, which favors the S = 3/2 state.
The energy difference at B3LYP/RSC(Np)/cc-pVTZ(N,H)/aug-cc-pVTZ(O) between (NH3)x(NH2)yNp5+O2− and (NH3)x(NH2)yNp2+ + O+ is plotted in Figure 4. For NpO3+ (x = 0/y = 0) the equilibrium structure is unstable which agrees with the PECs of Figure 2. The addition of the axial NH3 stabilizes the equilibrium but remains unstable. However, the addition of one equatorial NH2 makes it stable by 128.1 kcal/mol; this trend continues with additional equatorial NH2 ligands. The second NH2 stabilizes it further by 169.1 kcal/mol and a third one by 135.9 kcal/mol more. As a result, the latter species is overall stabilized by an energy of 433.9 kcal/mol. The addition of the ammonia ligand stabilizes (NH2)y = 1–3Np5+O2− by no more than 36.1 kcal/mol (y = 1). The stabilization energy due to ammonia decreases as y increases and is only 10.4 kcal/mol for y = 3 (see Figure 4). In conclusion, the NH3 ligand has a minimal effect on the overall stability of the complex but serves as an anchor for the polydentate ligand and the NH2 units, which are responsible for stabilizing the Np5+O2− unit. Similar observations have been made for Fe4+O2− vs. Fe3+O units, where ammonia ligands were shown to stabilize Fe4+O2− [17]. These examples show how ligand design can be wisely selected to stabilize unbound structures with high-oxidation state metal centers. For reasons of completeness, the binding energy of (NH3)(NH2)3Np5+O2− with respect to the lowest energy fragments, (NH3)x(NH2)yNp3+(S = 2) + O(3P), is calculated to be 127.8 kcal/mol, which is indicative of a strong metal–oxygen bond [18,19].
Finally, the electronic structure of the fully coordinated complex is examined. The six partially occupied natural orbitals (DFT/B3LYP level) of the fully coordinated complex are shown in Figure 5. These orbitals can be divided into three groups: σ N p O and σ N p O   * , δ+,NpO and δ−,NpO, and φ N p L and φ N p L   * . The first group pertains to the bonding and anti-bonding orbitals of the NpO σ-bond, which are populated by 1.985 and 0.015 electrons. The second group includes the non-bonding δ-orbitals like those observed for pure NpO3+, and they are singly occupied. The third group combines the fφ-orbitals of pure NpO3+ with the pπ of the three −CH2NH− groups forming in-phase and out-of-phase combinations representing donation and back-donation schemes [20]. Their natural occupations are also 1.975 (in-phase) and 0.025 (out-of-phase) electrons. A population of σ N p O   1.9   φ N p L   1.9   δ + , N p O   1.0   δ , N p O   1.0   points to a “pure” Np5+O2− unit, specifically the 13Σ state of NpO3+ (see Table 1), and three −CH2NH units donating electrons to the vacant φ + , N p O orbital. The overall bonding scheme suggests minor (−CH2NH)32−,●Np4+O2− character, which would be important if the population of φ N p L   * were larger.
Next, higher-level multi-reference state-averaged (including six triplet states) CASSCF and MRCI calculations for its lowest energy electronic states were carried out to further shed light on the electronic structure of N(CH2CH2NH)3NpO. Several attempts to include the σ N p O , σ N p O   * , φ N p L , and πNpO orbitals in the CASSCF active space failed since these orbitals remained as closed-shell orbitals confirming the strong (−CH2NH)3Np5+O2− nature of the complex. Our final CASSCF active space is composed of two electrons in seven orbitals corresponding to the δ±, φ±, πx,y*, and σ* orbitals of Figure 3 (φ+ ~ φ N p L *   ). In the subsequent MRCI calculations 22 electrons are correlated pertaining to the two aforementioned electrons and all seven lone pairs of nitrogen atoms.
According to the MRCI results, the lowest energy states are triplet states, well separated from singlet or quintet states. The CI vectors (CI coefficients in parentheses) indicate that the ground state is of mixed character [δ1φ+1 (0.70), δ+1δ1 (0.41), δ+1φ1 (−0.44)] followed by another two multi-reference states, [δ+1φ+1 (0.79), δ1φ1 (0.54)] and [δ+1δ1 (0.75), δ1φ+1 (−0.41)], at 0.002 and 0.047 eV (MRCI+Q) excitation energies. All these electron configurations are present in the first three states of NpO3+ (13H, 13Σ, 13Π), while the DFT/B3LYP natural orbital populations fail to mirror the multi-reference character of these states. Our results are somewhat different from the CASSCF/CASPT2 calculations reported by Dutkiewicz et al. [5], who found a ground state with a configuration described as φ+1φ1 in the present notation (see Figure S29 of their SI). Their DFT electron configuration (~δ+1δ1; Figure S30 of their SI) agrees with the present DFT results. Finally spin–orbit calculations were conducted combining the MRCI spin–orbit Hamiltonian elements with MRCI+Q energies. The spin–orbit operator further mixed these three states splitting them into eighteen states lying in an energy range of 1.66 eV (see Table S2 of SI).

2.3. Assessment of Neptunium Oxide as Catalyst for Methane Activation

Recently, our group identified the (NH3)4Rh4+O2− trigonal bipyramidal as a potential catalyst for selectively converting methane into methanol [3,4]. The main feature of this catalyst is that it promotes the [2+2] mechanism instead of the radical mechanism and that further oxidation of the produced methanol is prevented kinetically. The observed trend was attributed to the low-spin high-oxidation state Rh4+ center. The present N(CH2CH2NH)3NpO molecular complex presents similar geometric and electronic structure (trigonal bipyramidal and high-oxidation state of the metal). Therefore, its ability to activate methane was assessed for the two mechanisms ([2+2] and radical) and for the different spin states. The DFT calculations (see Section 3) used for this purpose should be considered as qualitative since the multi-reference character even for the ground state (see Section 2.2) and spin–orbit effects should be considered for more accurate calculations.
The structures of the radical mechanism (S = 1) for the initial encounter complex of the reactants (ECR), the intermediate complex (IC), the transition state (TS1) connecting them, the encounter complex of the products (ECP) and the transition state (TS2), which connects the IC and ECP, are shown in Figure 6. The pathway from the IC to TS2 involves the rotation of the OH group. The Np–O-H angle of 180° changes to about 110° allowing the CH3 group to approach oxygen. We were not able to optimize all the corresponding structures for the [2+2] mechanism. The Cartesian coordinates for the ECR, TS1, and IC are given in Tables S3 and S4 of the SI (for all spin multiplicities, S = 0, 1, 2, 3) along with all structures of the radical path. However, all our attempts to optimize the TS2 structure for [2+2] led to the TS2 structure of the radical mechanism.
The complete energy diagrams along the reaction coordinate at B3LYP, MN15, MN15 combined with solvent (water or toluene) effects are given in the SI (Figures S5–S8). MN15 seems to stabilize the IC, ECP, products of the low spin states (S = 0,1) and the TS1 (S = 1) structure of [2+2] over the radical pathway. The solvent effects using a polar (water) or non-polar (toluene) primarily favor the release of methanol, reducing the binding energy of methanol to the metal center.
The gas-phase MN15-calculated H3C–H activation barriers (ECR→TS1) are relatively large (>35 kcal/mol) for the lowest energy spin states (S = 0, 1) and both reaction paths ([2+2] or radical). The next higher spin state (S = 2) bears small H3C–H activation and H3C–OH (IC→TS2) recombination barriers of 16.3 and 22.8 kcal/mol (radical mechanism), respectively, and its potential energy surface crosses with those of S = 0 and S = 1. The first S = 3 also has small activation barriers but lies higher in energy and is well separated from the others. Among the S = 0, 1, 2 states, the quintet is the only state where the ECP is lower in energy than the ECR.
According to the singly occupied orbitals of the ECR and IC for S = 2 (see Figure S9 of SI), the distinct reactivity of S = 2 can be attributed to the radical character on the amidic terminals (-NH) of the polydentate ligand (see Figure S6 of the SI). The -NH radical accepts readily an electron from methane to return to -NH, while the terminal oxygen accepts a proton from methane (see Figure S9 of the SI).
This proton-coupled electron transfer process is like the one observed in transition metal oxides [2,11], but the new feature in the present complex is that this electron transfer is mediated by ligand species.
The NpO and Np–N bond lengths are indicative of the electronic structure of N(CH2CH2NH)3NpO for S = 0, 1, 2, 3. The Np–O bond distances for S = 0–3 are 1.82, 1.82, 1.86, and 2.27 Å, and the Np–Nax distances of the quaternary axial nitrogen are 2.67, 2.68, 2.76, and 2.76 Å. The other Np–Neq (equatorial nitrogen atoms) distances range within 2.21–2.23 Å for both S = 0 and S = 1. The S = 2 state has one long Np–N bond (2.41 Å) and two shorter bonds of 2.27 Å. The S = 3 state has two long and one short Np–N bonds of 2.41–2.42 Å and 2.27 Å, respectively. The corresponding values for the N(CH2CH2NSiH3)3NpO (S = 1) complex taken from ref. [5] are 1.89 (Np–O), 2.67 (Np–Nax), and 2.25 (Np–Neq) Å. The latter Np–Nax and Np–Neq values are in very good agreement with the present ones, but the Np–O bond is more elongated than the present one, by 0.07 Å, probably due to the presence of the silicon groups.
The potential energy profiles for S = 1 and S = 2 plotted in Figure 7 cross at the geometry of the IC due to the very similar electronic structure, where two neptunium electrons couple with the single remote electron of methyl, N(CH2CH2NH)3NpOH (S = 3/2) × CH3 (S = 1/2). Overall, the lowest energy ECR (S = 1) is 17 kcal/mol lower in energy than the lowest energy ECP (S = 2) preventing the use of N(CH2CH2NH)3NpO as a catalyst for methane activation. This highly endothermic process can be attributed to the strong NpO triple (σ2π4) bond (De = 127.8 kcal/mol; see Section 2.2), which is reluctant to provide the oxygen atom to oxidize methane. Therefore, a suggested strategy for utilizing f-block metals in methane activation would be the use of proper ligands that host an unpaired electron to stabilize a high-spin state and render it a ground state.

3. Computational Methods

The calculations on the atomic species Np though Np5+ were performed at the multi-reference configuration interaction (MRCI) level of theory. The active space of the reference complete active space self-consistent field (CASSCF) wavefunction consisted of the 5f, 6d, 7s orbitals. At the MRCI level, two sets of calculations were carried out, where, in addition to the valence electrons, the 5s, 5p, 5d, 6s, 6p electrons (small core = SC) or the 6s, 6p electrons (large core = LC) are also correlated. To account for scalar relativistic effects, the third order Douglas–Kroll–Hess (DKH3) transformation was employed [21]. The spin–orbit (SO) relativistic effects were considered by diagonalizing the Breit–Pauli Hamiltonian in the basis of the DHK3-relativistic MRCI wavefunctions [22]. To improve the accuracy of the calculations, the MRCI energies were replaced with the MRCI+Q energies in the diagonal elements. Due to the computational requirements, we were unable to obtain spin–orbit results with SC for Np2+, Np+, and Np. For these calculations, the all-electron cc-pwCVTZ-DK3 basis set was used [23], and the internally contracted MRCI scheme was used as implemented in MOLPRO 2021.3 [24].
MRCI calculations were also carried out for the NpO3+ cation with MOLPRO. Since only the 5f orbitals are populated in the higher oxidation states of neptunium, the CASSCF active space included these 5f orbitals and the 2p orbitals of oxygen. The C2v point group was exploited, and the active space corresponds to three a1, three b1, three b2, and one a2 orbitals. To achieve properly converged wavefunctions, we started with calculations for the triplet spin states at 4.0 Å and conducted the necessary orbital rotations. As explained above, the distance of 4.0 Å avoids crossing between states from different asymptotic channels offering easier convergence. Then potential energy curves were constructed along the Np–O distance (8.0 to 1.5 Å), using these wavefunctions as an initial guess for all the spin multiplicities considered (S = 0–4). The wavefunctions of each spin multiplicity were state-averaged (SA-CASSCF) separately. The numbers of A1, B1, B2, A2 states averaged together are 3, 2, 2, 2 for S = 0; 3, 3, 3, 4 for S = 1–3; and 2, 3, 3, 3 for S = 4. Both the valence and subvalence electrons (6s, 6p of Np and 2s of O) are correlated at the MRCI (LC-MRCI). The DKH3 and SO effects were also considered here for distances around equilibrium (1.65–1.80 Å). The cc-pwCVTZ-DK3 and aug-cc-pVTZ basis sets of neptunium and oxygen were utilized [25,26]. Oxygen was supplied with an additional series of diffuse functions (aug-) to account for its anionic nature. All multi-reference calculations were done using the MOLPRO 2021.3 suite of codes, and the C2v point group symmetry elements were exploited.
The calculations on the molecular coordination complexes and their reaction with methane or methanol were performed with Gaussian 16 [27]. Density functional theory (DFT) with the B3LYP functional [28,29] was used to optimize all molecular structures and transition states. The Stuttgart basis set combined with the relativistic small core (RSC) effective core potential was used for neptunium [30], the cc-pVDZ set for hydrogen and carbon, and aug-cc-pVDZ for oxygen and nitrogen [25,26]. The RSC replaces 60 electrons (1s–4f) with the effective core potential. Harmonic frequency calculations confirmed that all local minima have only real frequencies and that all transition states have one imaginary frequency. Single-point energy calculations were finally done with the MN15 [31] functional to more accurately describe the non-covalent interactions. Solvent effects were also considered via the SMD model for a polar (water) and a non-polar (toluene) solvent.

4. Conclusions

This high-level electronic structure study targeted the experimentally synthesized neptunium oxide complex with the goal of understanding the stability of the unusual Np5+ oxidation state and assessing the efficiency of the complex in activating methane. We first started with constructing potential energy curves for the “naked” NpO3+ species, which revealed the existence of various minima (Np3+O, Np4+O, Np5+O2) depending on the Np–O distance. All minima were found to be metastable with respect to the lowest energy Np2+ + O+ asymptote. However, the presence of at least one NH2 ligand secures the stability of an in situ Np5+O2− unit. The ligation of two more NH2 anions stabilizes it further, while the additional axial NH3 unit does not contribute substantially. Therefore, the stability of the experimentally synthesized neptunium oxide complex can be attributed to the -NR moiety of the tetradentate N(CH2CH2NR)3 ligand (R = SiiPr3). The role of the central nitrogen atom of the ligand serves mostly as anchor. Finally, we demonstrated that the strong bond between neptunium and oxygen prevents the oxidation of methane to methanol unless it is facilitated by a high-spin state with radical character on the NR2 moieties, which drives the electron transfer from methane and induces a proton transfer from methane to oxygen. Future work will focus on different f-block metals and monitor the stability and reactivity towards methane activation across the lanthanide and actinide series.

Supplementary Materials

The following supporting information can be downloaded at: https://www.mdpi.com/article/10.3390/molecules31081258/s1, Figure S1: LC-MRCI-DKH3 PECs of NpO3+ as a function of the Np–O interatomic distance RNp–O for the various spin multiplicities. Figure S2: CASSCF-DKH3 PECs of NpO3+ as a function of the Np–O interatomic distance RNp–O for the various spin multiplicities. Figure S3: Contours of the molecular orbitals of NpO3+ around the higher energy local minimum at a distance of 2.7 Å. Figure S4: Spin–orbit PECs of NpO3+ as a function of the Np–O interatomic distance RNp–O for the various spin multiplicities. Figure S5: B3LYP energy diagram for the reaction of N(CH2CH2NH)3NpO + CH4 towards N(CH2CH2NH)3Np + CH3OH. [NpO] and [Np] denote N(CH2CH2NH)3NpO and N(CH2CH2NH)3Np. Red/black/blue/green lines correspond to S = 1/S = 0/S = 2/S = 3, and solid/dashed horizontal lines to the radical/2+2 mechanisms. Figure S6: MN15//B3LYP energy diagram for the reaction of N(CH2CH2NH)3NpO + CH4 towards N(CH2CH2NH)3Np + CH3OH. [NpO] and [Np] denote N(CH2CH2NH)3NpO and N(CH2CH2NH)3Np. Red/black/blue/green lines correspond to S = 1/S = 0/S = 2/S = 3, and solid/dashed horizontal lines to the radical/2+2 mechanisms. Figure S7: MN15//B3LYP + SMD (water) energy diagram for the reaction of N(CH2CH2NH)3NpO + CH4 towards N(CH2CH2NH)3Np + CH3OH. [NpO] and [Np] denote N(CH2CH2NH)3NpO and N(CH2CH2NH)3Np. Red/black/blue/green lines correspond to S = 1/S = 0/S = 2/S = 3, and solid/dashed horizontal lines to the radical/2+2 mechanisms. Figure S8: MN15//B3LYP + SMD (toluene) energy diagram for the reaction of N(CH2CH2NH)3NpO + CH4 towards N(CH2CH2NH)3Np + CH3OH. [NpO] and [Np] denote N(CH2CH2NH)3NpO and N(CH2CH2NH)3Np. Red/black/blue/green lines correspond to S = 1/S = 0/S = 2/S = 3, and solid/dashed horizontal lines to the radical/2+2 mechanisms. Figure S9: Singly occupied orbitals of the ECR and IC structures of the S = 2 state. Table S1: Cartesian coordinates (Å) of (NH3)1(NH2)3Np5+O2− used for all (NH3)x(NH2)yNp5+O2− species (x = 0–1, y = 0–3) by removing NH3 or one or more NH2 ligands as necessary. Table S2: Energy ΔE (eV) and composition of the eighteen spin–orbit states of the N(CH2CH2NH)3NpO complex in terms of the first six spin–orbit free triplet states. Table S3: Cartesian coordinates (Å) of all intermediate and transition states for the reaction N(CH2CH2NH)3NpO (S = 0, 1) + CH4 and for both [2+2] and radical mechanisms. Table S4: Cartesian coordinates (Å) of all intermediate and transition states for the reaction N(CH2CH2NH)3NpO (S = 2, 3) + CH4 and for both [2+2] and radical mechanisms.

Author Contributions

Conceptualization, E.M.; methodology, E.M. and T.G.; software, E.M.; validation, E.M. and T.G.; formal analysis, E.M.; investigation, E.M. and T.G.; resources, E.M.; data curation, E.M. and T.G.; writing—original draft preparation, E.M. and T.G.; writing—review and editing, E.M.; visualization, E.M. and T.G.; supervision, E.M.; project administration, E.M.; funding acquisition, E.M. All authors have read and agreed to the published version of the manuscript.

Funding

The authors are indebted to Auburn University (AU) for financial support. EM is especially grateful to the donors of the James E. Land endowment. This work was completed with resources provided by the Auburn University Hopper Cluster.

Institutional Review Board Statement

Not applicable.

Informed Consent Statement

Not applicable.

Data Availability Statement

Data are contained within the article or Supplementary Materials.

Conflicts of Interest

The authors declare no conflicts of interest.

References

  1. Osman, A.I.; Ayati, A.; Krivoshapkin, P.; Tanhaei, B.; Farghali, M.; Yap, P.-S.; Abdelhaleem, A. Coordination-driven innovations in low-energy catalytic processes: Advancing sustainability in chemical production. Coord. Chem. Rev. 2024, 514, 215900. [Google Scholar] [CrossRef]
  2. Claveau, E.E.; Sader, S.; Jackson, B.A.; Khan, S.N.; Miliordos, E. Transition metal oxide complexes as molecular catalysts for selective methane to methanol transformation: Any prospects or time to retire? Phys. Chem. Chem. Phys. 2023, 25, 5313–5326. [Google Scholar] [CrossRef]
  3. Olah, G.A. Beyond Oil and Gas: The Methanol Economy. Angew. Chem. Int. Ed. 2005, 44, 2636–2639. [Google Scholar] [CrossRef]
  4. Claveau, E.E.; Heller, E.R.; Richardson, J.O.; Miliordos, E. Methane against Methanol: The Tortoise and the Hare of the Oxidation Race. J. Phys. Chem. Lett. 2023, 14, 8749–8754. [Google Scholar] [CrossRef]
  5. Vasconcelos, D.P.; Miliordos, E. On the Selective Conversion of Methane to Methanol Facilitated by Coordinatively Unsaturated Transition Metal Complexes. Chemistry 2025, 7, 155. [Google Scholar] [CrossRef]
  6. Studvick, C.M.; Dey, S.; Engle, K.S.; Niklas, J.E.; Sprosty, J.W.; La Pierre, H.S.; Popov, I.A. An–imidophosphorane (An = U–Pu) bond covalency and proton-coupled electron transfer thermodynamics driven by orbital energy matching. Phys. Chem. Chem. Phys. 2026, 28, 6687. [Google Scholar] [CrossRef]
  7. Otte, K.S.; Niklas, J.E.; Studvick, C.M.; Montgomery, C.L.; Bredar, A.R.C.; Popov, I.A.; La Pierre, H.S. Proton-Coupled Electron Transfer at the Pu5+/4+ Couple. J. Am. Chem. Soc. 2024, 146, 21859−21867. [Google Scholar] [CrossRef] [PubMed]
  8. Niklas, J.E.; Otte, K.S.; Studvick, C.M.; Chowdhury, S.R.; Vlaisavljevich, B.; Bacsa1, J.; Kleemiss, F.; Popov, I.A.; La Pierre, H.S. A tetrahedral neptunium(V) complex. Nat. Chem. 2024, 16, 1490–1495. [Google Scholar] [CrossRef] [PubMed]
  9. Vincenzini, B.D.; Yu, X.; Paloc, S.; Smith, P.W.; Gupta, H.; Pandey, P.; Kent, G.T.; Ordonez, O.; Keller, T.; Gau, M.R.; et al. 4f-orbital covalency enables a single-crystalto-single-crystal ring-opening isomerization in a CeIV–cyclopropenyl complex. Nat. Chem. 2025, 17, 961–967. [Google Scholar] [CrossRef]
  10. Dutkiewicz, M.S.; Goodwin, C.A.P.; Perfetti, M.; Gaunt, A.J.; Griveau, J.-C.; Colineau, E.; Kovács, A.; Wooles, A.J.; Caciuffo, R.; Walter, O.; et al. A terminal neptunium(V)–mono(oxo) complex. Nat. Chem. 2022, 14, 342–349. [Google Scholar] [CrossRef] [PubMed]
  11. Li, S.; Jansone-Popova, S.; Jiang, D.-E. Insights into coordination and ligand trends of lanthanide complexes from the Cambridge Structural Database. Sci. Rep. 2024, 14, 11301. [Google Scholar] [CrossRef] [PubMed]
  12. Kramida, A.; Ralchenko, Y.; Reader, J.; NIST ASD Team. NIST Atomic Spectra Database (Ver. 5.12); National Institute of Standards and Technology: Gaithersburg, MD, USA, 2024. Available online: https://physics.nist.gov/asd (accessed on 23 February 2026). [CrossRef]
  13. Claveau, E.E.; Miliordos, E. Electronic structure of metal oxide dications with ammonia ligands and their reactivity towards the selective conversion of methane to methanol. Front. Chem. 2024, 12, 1508515. [Google Scholar] [CrossRef]
  14. Fang, W.; Li, Y.; Zhang, T.; Rajeshkumar, T.; del Rosal, I.; Zhao, Y.; Wang, T.; Wang, S.; Maron, L.; Zhu, C. Oxidative Addition of E-H (E=C, N) Bonds to Transient Uranium(II) Centers. Angew. Chem. Int. Ed. 2024, 63, e202407339. [Google Scholar] [CrossRef]
  15. Arnold, P.L.; McMullon, M.W.; Rieb, J.; Kühn, F.E. C-H Bond Activation by f-Block Complexes. Angew. Chem. Int. Ed. 2015, 54, 82–100. [Google Scholar] [CrossRef]
  16. So, Y.-M.; Wang, G.C.; Li, Y.; Sung, H.H.-Y.; Williams, I.D.; Lin, Z.; Leung, W.-H. A Tetravalent Cerium Complex Containing a Ce=O Bond. Angew. Chem. Int. Ed. 2014, 53, 1626–1629. [Google Scholar] [CrossRef] [PubMed]
  17. Kirkland, J.K.; Khan, S.N.; Casale, B.; Miliordos, E.; Vogiatzis, K.D. Ligand field effects on the ground and excited states of reactive FeO2+ species. Phys. Chem. Chem. Phys. 2018, 20, 28786–28795. [Google Scholar] [CrossRef]
  18. Romeu, J.G.F.; HuntGabriel, A.R.E.; de Meloi, G.F.; Peterson, K.A.; Dixon, D.A. Energetic and Electronic Properties of UO0/± and UF0/±. J. Phys. Chem. A 2024, 128, 5586–5604. [Google Scholar] [CrossRef]
  19. Miliordos, E.; Mavridis, A. Electronic Structure of Vanadium Oxide. Neutral and Charged Species, VO0,±. J. Phys. Chem. A 2007, 111, 1953–1965. [Google Scholar] [CrossRef]
  20. Kelley, M.P.; Popov, I.A.; Jung, J.; Batista, E.R.; Yang, P. δ and φ back-donation in AnIV metallacycles. Nat. Commun. 2020, 11, 1558. [Google Scholar] [CrossRef]
  21. Wolf, A.; Reiher, M.; Hess, B.A. The generalized Douglas–Kroll transformation. J. Chem. Phys. 2002, 117, 9215–9226. [Google Scholar] [CrossRef]
  22. Berning, A.; Schweizer, M.; Werner, H.-J.; Knowles, P.J.; Palmieri, P. Spin-orbit matrix elements for internally contracted multireference configuration interaction wavefunctions. Mol. Phys. 2000, 98, 1823–1833. [Google Scholar] [CrossRef]
  23. Feng, R.; Peterson, K.A. Correlation consistent basis sets for actinides. II. The atoms Ac and Np–Lr. J. Chem. Phys. 2017, 147, 084108. [Google Scholar] [CrossRef] [PubMed]
  24. Werner, H.-J.; Knowles, P.J.; Celani, P.; Györffy, W.; Hesselmann, A.; Kats, D.; Knizia, G.; Köhn, A.; Korona, T.; Kreplin, D.; et al. MOLPRO, version 2021.3; A Package of Ab Initio Programs; Molpro: Stuttgart, Germany, 2021. Available online: https://www.molpro.net (accessed on 23 February 2026).
  25. Dunning, T.H., Jr. Gaussian basis sets for use in correlated molecular calculations. I. The atoms boron through neon and hydrogen. J. Chem. Phys. 1989, 90, 1007–1023. [Google Scholar] [CrossRef]
  26. Kendall, R.A.; Dunning, T.H., Jr.; Harrison, R.J. Electron affinities of the first-row atoms revisited. Systematic basis sets and wave functions. J. Chem. Phys. 1992, 96, 6796–6806. [Google Scholar] [CrossRef]
  27. Frisch, M.J.; Trucks, G.W.; Schlegel, H.B.; Scuseria, G.E.; Robb, M.A.; Cheeseman, J.R.; Scalmani, G.; Barone, V.; Petersson, G.A.; Nakatsuji, H.; et al. Gaussian 16, Revision C.01; Gaussian, Inc.: Wallingford, CT, USA, 2016.
  28. Becke, A.D. Density-functional thermochemistry. III. The role of exact exchange. J. Chem. Phys. 1993, 98, 5648–5652. [Google Scholar] [CrossRef]
  29. Lee, C.; Yang, W.; Parr, R.G. Development of the Colle-Salvetti correlation-energy formula into a functional of the electron density. Phys. Rev. B 1988, 37, 785–789. [Google Scholar] [CrossRef] [PubMed]
  30. Bergner, A.; Dolg, M.; Küchle, W.; Stoll, H.; Preuß, H. Ab initio energy-adjusted pseudopotentials for elements of groups 13–17. Mol. Phys. 1993, 80, 1431–1441. [Google Scholar] [CrossRef]
  31. Yu, H.S.; He, X.; Li, S.L.; Truhlar, D.G. MN15: A Kohn–Sham global-hybrid exchange–correlation density functional with broad accuracy for multi-reference and single-reference systems and noncovalent interactions. Chem. Sci. 2016, 7, 5032–5051. [Google Scholar] [CrossRef] [PubMed]
Figure 1. Quantitative plot of the expected potential energy curves coming from the ground states of the Np2+ + O+, Np3+ + O, Np4+ + O, and Np5+ + O2− channels. PECs of different spin multiplicities coming from the same channel are shifted for visibility.
Figure 1. Quantitative plot of the expected potential energy curves coming from the ground states of the Np2+ + O+, Np3+ + O, Np4+ + O, and Np5+ + O2− channels. PECs of different spin multiplicities coming from the same channel are shifted for visibility.
Molecules 31 01258 g001
Figure 2. LC-MRCI-DKH3 PECs of NpO3+ as a function of the Np–O interatomic distance RNp–O. Curves depicted with short-dashed-dotted, solid, short-dash, dashed, and dotted lines correspond to singlet, triplet, quintet, septet, and nonet spin multiplicities, respectively. The top plot shows the PECs for a wider range of distances showing the Coulombically repulsive PECs of S = 4.
Figure 2. LC-MRCI-DKH3 PECs of NpO3+ as a function of the Np–O interatomic distance RNp–O. Curves depicted with short-dashed-dotted, solid, short-dash, dashed, and dotted lines correspond to singlet, triplet, quintet, septet, and nonet spin multiplicities, respectively. The top plot shows the PECs for a wider range of distances showing the Coulombically repulsive PECs of S = 4.
Molecules 31 01258 g002
Figure 3. Contours of the molecular orbitals of NpO3+ at the equilibrium distance of 1.7 Å.
Figure 3. Contours of the molecular orbitals of NpO3+ at the equilibrium distance of 1.7 Å.
Molecules 31 01258 g003
Figure 4. B3LYP relative energy of the model (NH3)x(NH2)yNp5+O2− species (x = 0–1, y = 0–3) with respect to (NH3)x(NH2)yNp3+ + O+ (dashed line). For convenience the length of the red/blue lines represents the x/y values. The case of x = 0 and y = 0 is shown with a black solid line.
Figure 4. B3LYP relative energy of the model (NH3)x(NH2)yNp5+O2− species (x = 0–1, y = 0–3) with respect to (NH3)x(NH2)yNp3+ + O+ (dashed line). For convenience the length of the red/blue lines represents the x/y values. The case of x = 0 and y = 0 is shown with a black solid line.
Molecules 31 01258 g004
Figure 5. Contours of the partially occupied natural orbitals of N(CH2CH2NH)3NpO.
Figure 5. Contours of the partially occupied natural orbitals of N(CH2CH2NH)3NpO.
Molecules 31 01258 g005
Figure 6. B3LYP/RSC structures of all intermediate (ECR, IC, ECP) and transition states (TS1, TS2) of the N(CH2CH2NH)3NpO (S = 1) + CH4 reaction (radical mechanism).
Figure 6. B3LYP/RSC structures of all intermediate (ECR, IC, ECP) and transition states (TS1, TS2) of the N(CH2CH2NH)3NpO (S = 1) + CH4 reaction (radical mechanism).
Molecules 31 01258 g006
Figure 7. MN15/RSC//B3LYP/RSC energy diagram for the radical mechanism of the N(CH2CH2NH)3NpO (S = 1 in red and S = 2 in blue) + CH4 reaction (see Figure 6) for the S = 1 structures of the ECR, TS1, IC, TS2, and ECP.
Figure 7. MN15/RSC//B3LYP/RSC energy diagram for the radical mechanism of the N(CH2CH2NH)3NpO (S = 1 in red and S = 2 in blue) + CH4 reaction (see Figure 6) for the S = 1 structures of the ECR, TS1, IC, TS2, and ECP.
Molecules 31 01258 g007
Table 1. Wavefunction information for the lowest lying electronic states of NpO3+ at the equilibrium distance of 1.7 Å.
Table 1. Wavefunction information for the lowest lying electronic states of NpO3+ at the equilibrium distance of 1.7 Å.
State aCoef. bσπxπyδ+δφ+φ
13H (3B1)0.67222α α
−0.67222 α α
13Σ (3A2)0.74222αα
0.59222 αα
13Π (3B1)0.66222α α
0.66222 α α
11Σ+ (1A1)0.492222
0.49222 2
−0.46222 2
−0.46222 2
11Π (1B1)0.47222β α
−0.47222α β
−0.47222 β α
0.47222 α β
11Γ (1A2)0.67222αβ
−0.67222βα
(1A1)0.672222
−0.67222 2
23Σ (3A2)0.74222 αα
−0.59222αα
11I (1A2)−0.66222 αβ
0.66222 βα
(1A1)−0.66222 2
0.66222 2
11H (1B1)−0.47222β α
0.47222α β
−0.47222 β α
0.47222 α β
a The electronic term in the C∞v (C2v) point group symmetry is listed. Only the B1 component of the Π and Η states is included. The corresponding B2 components can be obtained by combining δ+φ and δφ+ configurations instead of δ+φ+ and δφ. b This column tabulates the coefficient for each electronic configuration, and the relative molecular orbitals (σ, πx,y, δ±, φ±) are depicted in Figure 3. The πx,y*, σ* orbitals are not populated in any of these states and are not included in this table.
Table 2. Equilibrium bond lengths re (Å), harmonic vibrational frequencies ωe (cm−1), excitation energies ΔE (eV), and 2S+1Λ composition for the lowest energy SO states of NpO3+.
Table 2. Equilibrium bond lengths re (Å), harmonic vibrational frequencies ωe (cm−1), excitation energies ΔE (eV), and 2S+1Λ composition for the lowest energy SO states of NpO3+.
StateCompositionreωeΔE
Ω = 497% (13H) + 3% (11Γ)1.7298490.000
Ω = 0+59% (13Σ) + 25% (13Π) + 16% (11Σ+)1.7328310.383
Ω = 148% (13Π) + 33% (13Σ) + 19% (11Π)1.7288440.633
Ω = 599% (13H) + 1% (11H)1.7308430.878
Ω = 0100% (13Π)1.7348211.298
Ω = 164% (13Σ) + 21% (11Π) + 13% (13Π) + 2% (23Σ)1.7308411.391
Ω = 0+66% (13Π) + 27% (11Σ+) + 6% (13Σ) + 1% (23Σ)1.7268511.504
Ω = 691% (13H) + 9% (11Ι)1.7358151.563
Ω = 2100% (13Π)1.7348231.623
Ω = 150% (23Σ) + 25% (13Π) + 22% (11Π) + 3% (13Σ)1.7308422.289
Ω = 0+37% (23Σ) + 31% (11Σ+) + 26% (13Σ) + 6% (13Π)1.7248572.337
Ω = 497% (11Γ) + 3% (13H)1.7098862.491
Ω = 0+63% (23Σ) + 25% (11Σ+) + 9% (13Σ) + 3% (13Π)1.7368342.741
Ω = 148% (23Σ) + 38% (11Π) + 14% (13Π)1.7338412.948
Ω = 691% (11Ι) + 9% (13H)1.7438222.954
Ω = 599% (11H) + 1% (13H)1.7248683.035
Disclaimer/Publisher’s Note: The statements, opinions and data contained in all publications are solely those of the individual author(s) and contributor(s) and not of MDPI and/or the editor(s). MDPI and/or the editor(s) disclaim responsibility for any injury to people or property resulting from any ideas, methods, instructions or products referred to in the content.

Share and Cite

MDPI and ACS Style

Gregory, T.; Miliordos, E. Electronic Structure, Ligand Effects, and Chemical Reactivity of the Ground and Low-Lying Excited Electronic States of NpO3+. Molecules 2026, 31, 1258. https://doi.org/10.3390/molecules31081258

AMA Style

Gregory T, Miliordos E. Electronic Structure, Ligand Effects, and Chemical Reactivity of the Ground and Low-Lying Excited Electronic States of NpO3+. Molecules. 2026; 31(8):1258. https://doi.org/10.3390/molecules31081258

Chicago/Turabian Style

Gregory, Taylor, and Evangelos Miliordos. 2026. "Electronic Structure, Ligand Effects, and Chemical Reactivity of the Ground and Low-Lying Excited Electronic States of NpO3+" Molecules 31, no. 8: 1258. https://doi.org/10.3390/molecules31081258

APA Style

Gregory, T., & Miliordos, E. (2026). Electronic Structure, Ligand Effects, and Chemical Reactivity of the Ground and Low-Lying Excited Electronic States of NpO3+. Molecules, 31(8), 1258. https://doi.org/10.3390/molecules31081258

Article Metrics

Back to TopTop