2.1. The Effect of Dissolved Oxygen Concentration
In the autoxidation regime (dominant for aviation kerosene at 150–450 °C), dissolved oxygen (O
2) in RP-3 fuel acts as the initiator of free radical chain reactions: O
2 first reacts with alkyl radicals (R·) generated from hydrocarbon cracking to form alkylperoxyl radicals (ROO·), which further abstract hydrogen from fuel molecules to produce hydroperoxides (ROOH) and new R·—this cyclic chain propagation promotes the formation of alkylperoxides, and their subsequent decomposition (via homolytic cleavage of O–O bonds) generates oxygen-containing intermediates that aggregate into insoluble deposits [
9]. Three gradient levels of inlet dissolved oxygen concentration were designed—deoxidized level (<2 ppm), normal level (10 ppm, simulating ambient air-saturated fuel), and high level (32 ppm, simulating extreme oxygen-enriched operating conditions)—to systematically investigate the quantitative and qualitative effects of O
2 content on the microstructure, particle size distribution, and formation mechanism of oxidative coke deposits.
Figure 3a presents the SEM micrograph of the deposit at the axial position x = 325 mm (consistent across all trials to eliminate positional interference) under the baseline condition: 410 °C fuel temperature and air-saturated fuel (normal-level O
2, 10 ppm inlet). High-magnification SEM observation (inset, 60,000×) reveals that the deposit is composed of irregular amorphous and flocculent particles with a loose porous structure, where the particle size ranges from 500 nm to 2 μm and the interparticle voids are attributed to the incomplete aggregation of oxygen-containing intermediates. Similar fluffy, cauliflower-like deposits were also reported by Ervin et al. [
31] (for Jet A fuel under 3 MPa and 380 °C) and Tao et al. [
32] (for supercritical RP-3), indicating that the flocculent morphology is a universal characteristic of oxidative coke formed via autoxidation-dominated pathways, which is closely related to the stepwise aggregation of soluble macromolecular oxidatively reactive species (SMORS) [
19].
Figure 3b,c display the SEM micrographs of deposits at the same x = 325 mm position under deoxidized-level (<2 ppm) and high-level (32 ppm) O
2 conditions, respectively. Distinct structural differences are observed: the deoxidized sample exhibits a discontinuous, sparse distribution of particles, while the high-O
2 sample forms a continuous, dense deposit layer—these structural divergences originate from the different reaction pathways triggered by O
2 availability. Both conditions exhibit morphological heterogeneity indicative of competing formation pathways, but with distinct dominant features reflecting kinetic regime differences. The deposit from deoxidized fuel is significantly looser (porosity estimated to be ~65% via image analysis, compared to ~30% for the normal-level sample) than that from air-saturated fuel, which is attributed to the insufficient dissolved O
2 limiting the formation of ROOH and SMORS—these oxygen-containing intermediates act as “binding agents” for interparticle aggregation, and their scarcity leads to incomplete particle coalescence and retained voids. Even in the deoxygenated test (initial O
2 < 2 ppm), deposits are still formed, primarily from the reactions of sulfur-containing species (e.g., benzothiophenes inherently present in RP-3, ~170 ppm [
13]) and trace oxygenated impurities (<2% of initial fuel composition). These sulfur-containing species can undergo oxidative coupling reactions in the absence of sufficient O
2, generating sulfur-oxygen heterocyclic compounds that serve as alternative precursors for deposit formation [
33].
A uniform distribution of microscopic needle-like deposits (length: 5–10 μm, diameter: ~200 nm) is clearly observed in
Figure 3b, which is uniquely attributed to the coke formation pathway dominated by sulfur-based species. XPS analysis of this deposit confirms a sulfur content of ~3.2%, significantly higher than the normal-level sample (~0.8%), supporting the formation of C-S-H or sulfur-oxygen heterocyclic crystal structures [
34].
The coke deposits from high-level O
2 fuel appear dense (porosity ~15%) and consist of agglomerated large particles (average size ~3 μm), which is attributed to the high O
2 concentration accelerating the chain propagation of autoxidation: the rapid generation of ROOH and SMORS leads to intensive interparticle collision and fusion, forming compact agglomerates. This observation directly demonstrates that dissolved O
2 is a rate-limiting factor for the aggregation step in oxidative coking reactions. These distinct microstructural differences (loose needle-like vs. dense flocculent vs. compact agglomerated) directly correspond to the quantitative variations in deposition mass shown in
Figure 4. The deoxygenated sample exhibits the lowest mass, the normal-level sample an intermediate mass, and the high-level O
2 sample the highest—confirming that the microstructure evolution is closely coupled with the extent of deposition. Compared with the amount of coke obtained from the standard oxygen level, the total deposition mass generated by the deoxygenated fuel was decreased by 31% while the elevated oxygen concentration exhibited an 180% increase. This trend of increasing deposition mass with rising O
2 concentration is further confirmed by the normalized data in
Figure 4, where the oxygen consumption (calculated as inlet minus outlet O
2 concentration) also shows a positive correlation with deposition mass: the high-level O
2 sample consumes ~18.2 ppm O
2, the normal-level sample ~6.34 ppm, and the deoxygenated sample <1.5 ppm—indicating that O
2 consumption is directly proportional to the extent of autoxidation-driven deposition.
Notably, when the inlet O
2 concentration is reduced to <2 ppm (deoxygenated level), the oxygen consumption drops to ~25% of the normal-level sample (from 6.34 ppm to <1.5 ppm), but the coke deposition mass only decreases to ~68% (0.57 mg/cm
2 vs. 0.82 mg/cm
2). This discrepancy suggests that the sulfur-dominated pathway (independent of dissolved O
2) maintains a non-negligible deposition rate, offsetting ~32% of the reduction in autoxidation-driven deposition. These quantitative data, combined with the SEM observation of sulfur-rich needle-like deposits and GC/MS analysis of sulfur-containing oxygenated compounds (
Figure 5), collectively confirm that deposition under low-oxygen conditions is predominantly driven by the reactions of sulfur components (e.g., benzothiophenes) in RP-3 fuel—these species can be oxidized by trace oxygen or metal catalysts (e.g., Fe from the reactor tube) to form reactive intermediates that polymerize into deposits [
33,
35].
Collectively, the above results demonstrate that varying dissolved oxygen concentrations induce both quantitative (deposition mass, O2 consumption) and qualitative (morphology, elemental composition, precursor species) differences in the coke deposit layers. These differences arise from the competition and transition between two dominant deposition pathways: autoxidation-driven (O2-dependent) and sulfur-dominated (O2-independent) pathways. This result strongly suggests that distinct coking mechanisms operate under different initial dissolved oxygen conditions: (1) under normal/high O2 levels, the autoxidation mechanism dominates, with ROOH and SMORS as key precursors; (2) under deoxygenated conditions, the sulfur-catalyzed oxidation mechanism prevails, where sulfur-containing species and trace oxygenated impurities drive deposit formation. Hence, it is essential to further clarify the differences in coke formation mechanisms under varying dissolved oxygen concentrations by integrating the detailed chemical reactions of key species (e.g., R·, ROO·, ROOH, sulfur heterocycles) and their interactions with the reactor wall (e.g., metal catalysis), which can provide a theoretical basis for the development of targeted anti-coking strategies (e.g., deoxygenation vs. desulfurization)
Figure 6 presents the GC/MS analysis results of residual fuel composition after coking tests. Quantitative analysis shows that the content of straight-chain alkanes (C
10–C
16, the main component of RP-3) decreases by 40%, 57%, and 50% under low, normal, and high oxygen conditions, respectively, compared to the fresh fuel. This trend indicates that straight-chain alkanes are more susceptible to autoxidation than cycloalkanes or aromatics, as their linear molecular structure facilitates hydrogen abstraction by ROO· radicals. Concomitantly, the total content of oxygen-containing compounds in the residual fuel increases significantly by 210%, 480%, and 420% under low, normal, and high oxygen conditions, respectively, relative to fresh RP-3. This substantial increase confirms that oxygen-containing compounds are the direct products of fuel autoxidation, and their concentration is positively correlated with the initial O
2 level (except for the high-O
2 sample, where partial thermal decomposition of oxygenates may occur at 410 °C).
Figure 6 demonstrates that the oxygen-containing compounds consisted of acid esters, alcohols and ketones. Further structural analysis reveals that the oxygen-containing compounds are derived from both straight-chain alkanes (accounting for ~75% of total oxygenates) and cycloalkanes (~25%), with cycloalkanes exclusively converted into cycloalkyl acid esters (e.g., cyclohexyl acetate). This selectivity arises from the higher stability of cycloalkyl radicals, which preferentially react with carboxylic acids (generated from straight-chain alkane oxidation) to form esters rather than undergoing further oxidation to alcohols or ketones. In addition, oxygen-containing compounds containing sulfur were generated at approximately 14.7% and 14% by the low and normal oxygen concentration fuels. In contrast, sulfur compounds accounted for only 5.5% of the output of the high oxygen fuel. These compositional results clearly indicate that when sufficient dissolved O
2 is available (normal/high levels), the autoxidation of hydrocarbons (straight-chain alkanes in particular) takes precedence as the dominant reaction pathway, generating large amounts of non-sulfur-containing oxygenates (esters, alcohols, ketones) that drive coke formation. Conversely, when dissolved O
2 is insufficient (deoxygenated level), the oxidation of sulfur-containing heterocycles (e.g., benzothiophenes) becomes the dominant reaction, as these species have higher oxidation potential than alkanes under low-O
2 conditions, leading to the formation of sulfur-oxygen-carbon heterocyclic compounds that serve as precursors for needle-like coke deposits. This sulfur is likely either initially present in the bulk fuel or comes from the surface of the reaction tube. This effect explains the relationship between the amount of deposition and the fuel sulfur content during the low oxygen trials. The distribution of oxygen-containing compounds in
Figure 6 is consistent with the residual dissolved oxygen amounts obtained at varying dissolved oxygen levels. Collectively, the GC/MS analysis of residual fuel, SEM observation of deposit morphology, and XPS elemental analysis (in
Figure 7) provide compelling evidence that oxygen-containing compounds (both sulfur-containing and non-sulfur-containing) play a pivotal role as precursors in the oxidative coking mechanism: they undergo further polymerization, cross-linking, and dehydration to form insoluble carbonaceous deposits, with their chemical structure (e.g., linear vs. heterocyclic) determining the final deposit morphology (flocculent vs. needle-like).
Due to the limited amount of deposited material under deoxygenated conditions, reliable XPS characterization was not feasible, while deposits obtained under normal oxygen conditions provided sufficient sample quantity for representative compositional analysis. An XPS analysis of the deposition sample obtained from fuel containing a normal oxygen level gave the results in
Figure 7. The normal oxygen condition is considered representative of practical operating scenarios, whereas elevated oxygen levels are primarily used to illustrate the trend of oxygen-enhanced deposition behavior. These data show relatively high C and O levels of 65.49 and 26.26%, respectively. In a previous study of deposition, Huang et al. [
36] assumed a deposit density of 1 g/cm
3 (less than that of black carbon but similar to soot) to predict the coke thickness [
37]. However, it is obvious that the coke deposition layers formed in the current study were composed of other elements in addition to carbon. Elements obtained from the reaction tube, such as Fe, Ni and Co, are widely believed to promote coke deposition [
35]. For example, the XPS data show an Fe concentration of 4.25 at.% in the normal-level deposit, which is significantly higher than the surface Fe concentration of the fresh reactor tube (~0.3 at.%), indicating that Fe is selectively adsorbed and enriched on the deposit surface during coking. This enrichment confirms the metallic catalysis effect: Fe active sites facilitate the decomposition of ROOH into alkoxy radicals (RO·) and hydroxyl radicals (·OH), which further accelerate the polymerization of fuel molecules into coke.
2.2. Effect of Varying Temperatures
Temperature is universally recognized as one of the most critical kinetic factors determining the rate of oxidative coking, as it regulates both the thermodynamics (reaction equilibrium) and kinetics (rate constants) of autoxidation and pyrolysis reactions, and further modulates the microstructure and chemical composition of coke deposits.
Figure 8 presents SEM micrographs of coke deposits collected from different axial positions along the reactor, where each position corresponds to a specific fuel temperature (250 °C, 400 °C, 450 °C, 550 °C) due to the axial temperature gradient of the reactor. This sampling strategy allows for systematic investigation of temperature effects while maintaining other experimental parameters (O
2 concentration: 10 ppm; pressure: 3 MPa; duration: 1.75 h) constant. Comparing these images with the pristine surface (as shown in the Method section) indicates that no obvious changes are observed in the sample exposed to the low temperature of 250 °C (
Figure 8a). However, the 60,000× micrograph does demonstrate the presence of some fluffy particles, corresponding to the low deposition rate at low temperatures.
The deposit obtained at 400 °C is shown in
Figure 8b; this deposit is denser than the typical SEM micrograph in
Figure 3a. In addition, the deposition rate underwent an obvious increase with increasing temperature, as shown in
Figure 9. The deposition process is dominated by autoxidation reactions below 450 °C, while above this point both pyrolysis and oxidation reactions take place simultaneously, as seen in
Figure 8c, and a typical oxidation deposition tends to contain some amount of spherical particles. Pyrolysis reactions are also known to involve the breakdown and recombination of hydrocarbon chains, resulting in deposits [
38,
39], and the pyrolysis reaction rates are generally faster than the oxidation deposition rates.
Figure 8d presents a SEM micrograph of pyrolysis deposition generated at a temperature of 550 °C. This deposit has an entirely different structure from the oxidation deposition and is composed of spherical submicron particles with an average diameter of 1–2 μm.
In addition to the absolute temperature, the temperature gradient (
dT/
dx) along the reactor tube also significantly affects the deposition rate and microstructure, as the rate of temperature change modulates the local concentration gradient of fuel oxidation products and the mass transfer of precursors to the tube wall. The axial temperature gradient of the reactor varies from ~0.5 °C/mm (low gradient region) to ~1.5 °C/mm (high gradient region) due to the reactor heating design. Our previous studies demonstrated that significant deposits were formed in areas experiencing high temperature gradients during the temperature range associated with thermal oxidation deposition [
40]. The micrograph in
Figure 10 shows that deposits in the high temperature gradient (
dT/
dx = 1.5 °C/mm) section were composed of spherical submicron particles with an average diameter of 10–15 µm. These particles were therefore larger than those resulting from pyrolysis deposition. These results show that very different deposits can be generated in the high temperature gradient region and thus demonstrate the important role of temperature gradients in coke formation. This temperature gradient effect should be explicitly incorporated into deposition mechanisms by accounting for the coupling between temperature gradient-induced mass transfer (secondary flow) and precursor aggregation kinetics, which will improve the accuracy of coking prediction models for practical aero-engine cooling channels where axial and radial temperature gradients are inherent. The diverse microstructures formed during deposition can produce complex porosity and thermal contact resistance distributions, further affecting the heat transfer characteristics of the deposit. Collectively, these observations confirm that temperature affects the oxidative coking process through multiple pathways: (1) regulating the kinetics of autoxidation and pyrolysis reactions; (2) modulating the microstructure and porosity of deposits; (3) inducing temperature gradients that enhance mass transfer and precursor aggregation. Consequently, temperature is a multi-dimensional critical factor that influences both the deposition mechanism and the subsequent heat transfer performance of the fuel cooling system.
2.3. The Effects of Varying the Pressure
The operating pressure of a typical aircraft fuel system ranges from 3.45 to 6.89 MPa. Therefore, it is important to investigate oxidative deposition properties at various pressures. In this study, the effects of system pressure on deposition were examined using air-saturated fuel at a constant wall temperature. The total deposition masses resulting from these trials at three different pressures are provided in
Figure 11. It can be seen that the total amount of deposition increases somewhat with an increase in pressure. In comparison with the typical 3 MPa pressure, the deposit mass was reduced by 17% at a lower pressure of 1 MPa, and increased by 23% at 5 MPa. Therefore, relative to the effects of temperature and oxygen, varying the pressure has a minimal effect on the deposition rate.
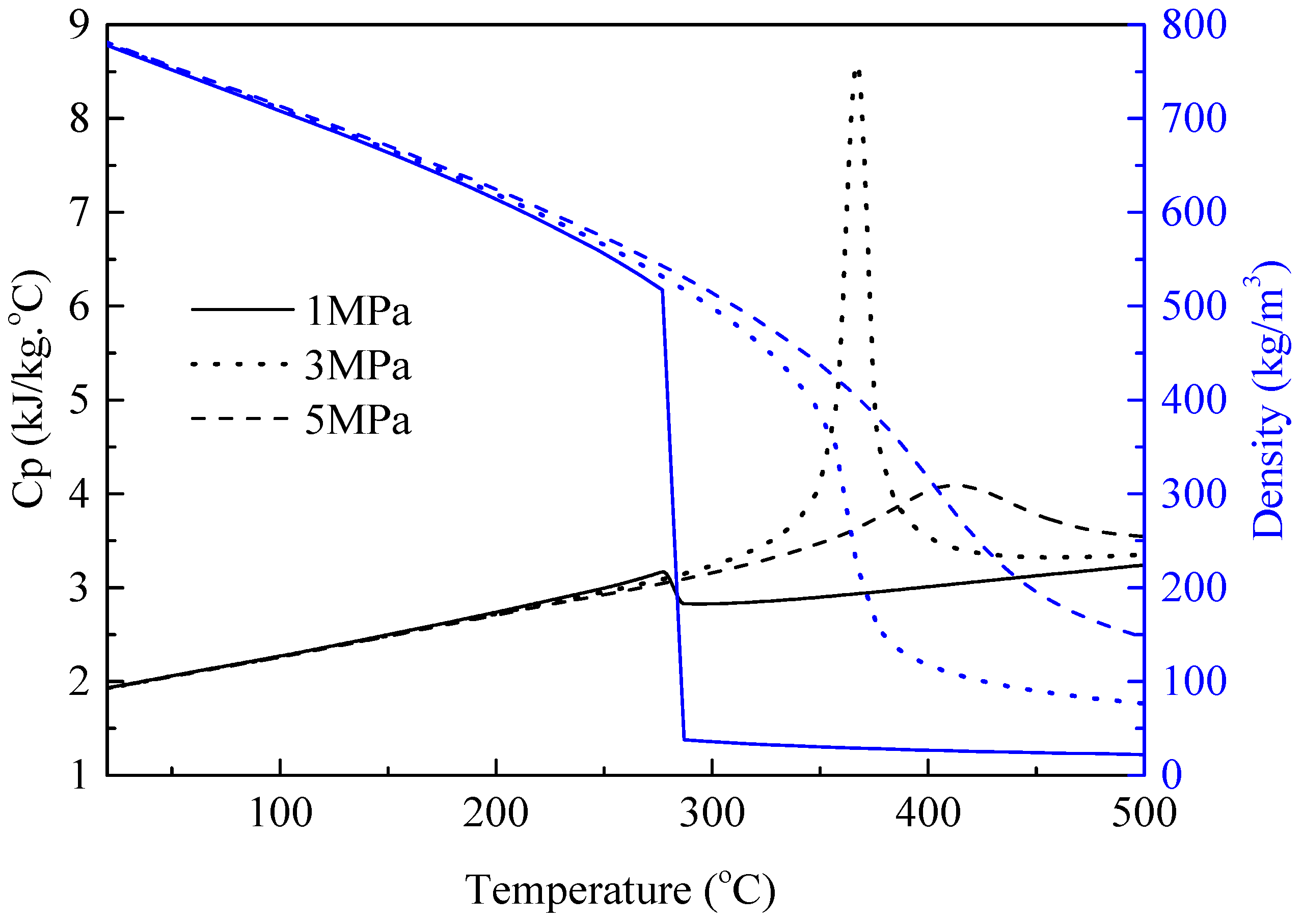
Figure 12 summarizes the specific heat and density values calculated using a three-component surrogate model [
41]. It is apparent that these two parameters both change significantly with pressure, especially near the critical temperature. Therefore, the primary effect of pressure on oxidative deposition is indirect, mediated by changes in fuel thermophysical properties (
cp,
ρ) and flow conditions: higher pressure increases fuel density and viscosity, leading to a higher Reynolds number (
Re) and enhanced convective heat transfer, which in turn accelerates the transport of oxygen and fuel molecules to the tube wall—promoting surface reactions and deposition. The micrograph of the deposit obtained at 1 MPa in
Figure 13a is similar to that obtained at 3 MPa in
Figure 3a, although slightly less dense.
In contrast,
Figure 13b (5 MPa) shows a dense and compact deposit structure with a low porosity (~22%) and large agglomerated particles (~1.2 μm). This compactness arises from the higher fuel density and viscosity at 5 MPa, which increase the collision frequency and adhesion efficiency of oxygen-containing precursors, promoting particle fusion and densification—consistent with the indirect effect of pressure on deposition structure.
The results of the composition analysis of the liquid residual fuel at different pressures are summarized in
Figure 14.
Consistent with the oxygen concentration variation results, all pressure conditions show a decrease in straight-chain alkanes (48–57% reduction relative to fresh RP-3) and an increase in cycloalkanes (~15–20% increase) and oxygen-containing compounds (~380–450% increase). This consistency indicates that pressure does not alter the dominant autoxidation pathway of RP-3, as straight-chain alkanes remain the primary species undergoing oxidation.
Furthermore, the type of oxygen-containing compounds (acid esters, alcohols, ketones) remains unchanged across all pressure conditions, confirming that pressure does not affect the reaction pathways of autoxidation (e.g., esterification, alcohol formation, ketonization). This observation further supports the conclusion that pressure has a limited effect on the chemical mechanism of oxidative deposition, acting primarily through physical rather than chemical pathways. The oxidative deposition process is governed by two key steps: (1) bulk fuel autoxidation (formation of oxygen-containing precursors), which is dominated by chemical kinetics (O2 concentration, temperature); (2) wall deposition (adsorption and aggregation of precursors), which is regulated by physical factors (mass transfer, precursor collision frequency). Changes in pressure primarily affect the second step (wall deposition) by modifying fuel flow and mass transfer, while having no significant impact on the first step (bulk autoxidation)—this explains the limited effect of pressure on overall deposition.
2.4. Effect of Heating Duration
The effects of heating duration on the deposition microstructure are characterized in
Figure 15, covering both short-term continuous tests and long-term cumulative operating conditions. For short-term trials, extending the test duration from 1.75 h to 2.5 h maintains the porous nature of the deposits (consistent with the morphological features in
Figure 3a), where the porous structure enlarges the contact area between the fuel and the reactor wall, providing abundant active sites for the adsorption and aggregation of oxygenated colloidal precursors and thus stimulating further coke formation. As the duration is prolonged to 3.3 h, the porous deposits gradually undergo sintering and densification, transforming into hardened compact structures that fully cover the inner surface of the 316 stainless-steel (SS316) tube. This hardened layer acts as a physical barrier, separating the fuel from the metal wall and inhibiting the metal-catalyzed coking reaction driven by Fe/Ni active sites on the SS316 surface. Consequently, the deposition rate becomes moderate due to the combined insulating effect (reducing interface heat transfer efficiency) and catalytic site blocking effect of the accumulated coke layer—consistent with the findings of Marteney’s research on JP-5 fuel [
42]. With the continuous accumulation of coke, the effective flow cross-sectional area of the reactor tube decreases, leading to an increase in fuel flow velocity and a corresponding pressure drop, which further modifies the mass transfer behavior at the fuel–wall interface. Therefore, to accurately predict the dynamic evolution of oxidative coking over extended durations, deposition kinetic models must incorporate not only chemical kinetics (autoxidation, metal catalysis) but also time-dependent physical factors: (1) mass transfer changes due to flow velocity increase; (2) deposit thickness-dependent catalyst site blocking; (3) thermal insulation-induced wall temperature reduction. This integrated model will better reflect the practical coking behavior in aero-engine cooling channels, which operate for extended periods.
To simulate the actual service conditions of aero-engine fuel cooling systems (which involve repeated startup-shutdown cycles and fuel flushing), a long-term cumulative test of 100 h was also conducted, involving periodic cooling, flushing, and reheating processes. The microstructure of the coke deposits after 100 h of cumulative operation exhibits distinct characteristics compared to short-term continuous tests: in addition to large, dense structural aggregates that are tightly bonded to the tube wall, the overall deposit morphology shows obvious signs of mechanical damage and selective retention. This is attributed to the synergistic effects of thermal cycling and fluid scouring during the long-term cumulative process: repeated heating and cooling induce thermal expansion and contraction mismatches between the coke layer and the SS316 substrate, generating microcracks in the deposits; meanwhile, the continuous fuel flow exerts shear stress on the coke surface, further propagating these cracks and causing loose, poorly bonded structural fragments to detach and be carried downstream. As a result, only the coke structures with high mechanical strength and strong interface bonding to the tube wall are retained, while the fragile or loosely attached deposits are gradually removed. This dynamic “formation-damage-retention” process leads to a non-linear relationship between coke accumulation and time—unlike the relatively regular evolutionary trend observed in short-term continuous tests, the long-term cumulative deposition behavior is significantly regulated by cyclic operating conditions (e.g., thermal shock, fluid scouring) and the structural stability of the coke itself.
Furthermore, the repeated heating-cooling cycles may alter the chemical environment at the fuel–coke interface: the thermal shock-induced cracks expose fresh coke surfaces and underlying metal sites during reheating, providing new active centers for the adsorption of oxygenated precursors in the fuel; at the same time, the flushing process removes some soluble intermediates and loose coke particles, reducing the competition for active sites and potentially affecting the subsequent deposition kinetics. This complex dynamic evolution of the coke layer during long-term cumulative operation highlights that the coking process in practical engineering systems is not a simple linear extension of short-term reactions, but rather a comprehensive result of the coupling of chemical reactions (oxidation, polymerization), physical processes (sintering, thermal shock, fluid scouring), and interface interactions (coke-wall bonding, precursor adsorption). Therefore, when designing fuel cooling channels and formulating anti-coking strategies for aero-engines, it is necessary to fully consider the long-term cyclic operating conditions and the non-linear growth characteristics of coke deposits, and incorporate factors such as structural stability of deposits and interface bonding strength into the predictive model.