Connectivity-Rewired Construction of Hydrogen-Bonded Azo-Macrocycles Enables Photoswitchable Recognition of Lithium Ions
Abstract
1. Introduction
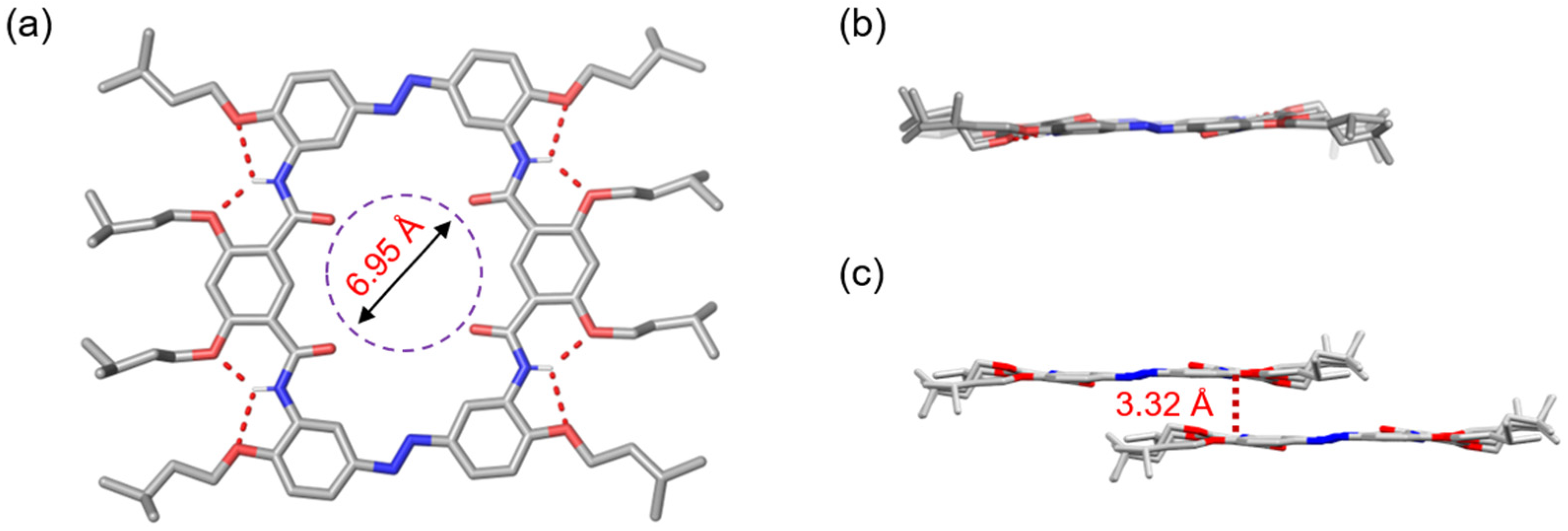
2. Results and Discussion
3. Materials and Methods
3.1. Materials and Purifications
3.2. Experimental Methods
3.3. Synthesis of Macrocycles 1 and 2
3.4. DFT Calculations
4. Conclusions
Supplementary Materials
Author Contributions
Funding
Institutional Review Board Statement
Informed Consent Statement
Data Availability Statement
Acknowledgments
Conflicts of Interest
References
- Gong, B.; Shao, Z. Self-Assembling Organic Nanotubes with Precisely Defined, Sub-Nanometer Pores: Formation and Mass Transport Characteristics. Acc. Chem. Res. 2013, 46, 2856–2866. [Google Scholar] [CrossRef] [PubMed]
- Zhang, D.-W.; Zhao, X.; Hou, J.-L.; Li, Z.-T. Aromatic Amide Foldamers: Structures, Properties, and Functions. Chem. Rev. 2012, 112, 5271–5316. [Google Scholar] [CrossRef]
- Ong, W.Q.; Zeng, H. Rapid Construction of Shape-Persistent H-Bonded Macrocycles via One-Pot H-Bonding-Assisted Macrocyclization. J. Incl. Phenom. Macrocycl. Chem. 2013, 76, 1–11. [Google Scholar] [CrossRef]
- Hamuro, Y.; Geib, S.J.; Hamilton, A.D. Novel Molecular Scaffolds: Formation of Helical Secondary Structure in a Family of Oligoanthranilamides. Angew. Chem. Int. Ed. Engl. 1994, 33, 446–448. [Google Scholar] [CrossRef]
- Huc, I. Aromatic Oligoamide Foldamers. Eur. J. Org. Chem. 2004, 1, 17–29. [Google Scholar] [CrossRef]
- Ferrand, Y.; Huc, I. Designing Helical Molecular Capsules Based on Folded Aromatic Amide Oligomers. Acc. Chem. Res. 2018, 51, 970–977. [Google Scholar] [CrossRef] [PubMed]
- Saraogi, I.; Hamilton, A.D. Recent Advances in the Development of Aryl-Based Foldamers. Chem. Soc. Rev. 2009, 38, 1726–1743. [Google Scholar] [CrossRef]
- Yuan, L.; Feng, W.; Yamato, K.; Sanford, A.R.; Xu, D.; Guo, H.; Gong, B. Highly Efficient, One-Step Macrocyclizations Assisted by the Folding and Preorganization of Precursor Oligomers. J. Am. Chem. Soc. 2004, 126, 11120–11121. [Google Scholar] [CrossRef] [PubMed]
- Liu, Z.; Zhou, Y.; Yuan, L. Hydrogen-Bonded Aromatic Amide Macrocycles: Synthesis, Properties and Functions. Org. Biomol. Chem. 2022, 20, 9023–9051. [Google Scholar] [CrossRef]
- Liu, J.; Sun, C.; Ma, W.; Lu, Y.-J.; Yu, L.; Zhang, K.; Zeng, H. A Conformationally Switchable Fluorescent Oligophenol Foldamer for Selective Sensing of Copper(ii) Ions. RSC Adv. 2014, 4, 54469–54473. [Google Scholar] [CrossRef]
- Liu, Y.; Shen, J.; Sun, C.; Ren, C.; Zeng, H. Intramolecularly Hydrogen-Bonded Aromatic Pentamers as Modularly Tunable Macrocyclic Receptors for Selective Recognition of Metal Ions. J. Am. Chem. Soc. 2015, 137, 12055–12063. [Google Scholar] [CrossRef]
- Shen, J.; Ren, C.; Zeng, H. Surprisingly High Selectivity and High Affinity in Mercury Recognition by H-Bonded Cavity-Containing Aromatic Foldarands. J. Am. Chem. Soc. 2017, 139, 5387–5396. [Google Scholar] [CrossRef]
- He, Y.; Xu, M.; Gao, R.; Li, X.; Li, F.; Wu, X.; Xu, D.; Zeng, H.; Yuan, L. Two-Component Supramolecular Gels Derived from Amphiphilic Shape-Persistent Cyclo[6]aramides for Specific Recognition of Native Arginine. Angew. Chem. Int. Ed. 2014, 53, 11834–11839. [Google Scholar] [CrossRef] [PubMed]
- Zhao, H.; Shen, J.; Guo, J.; Ye, R.; Zeng, H. A Macrocyclic Aromatic Pyridone Pentamer as a Highly Efficient Organocatalyst for the Direct Arylations of Unactivated Arenes. Chem. Commun. 2013, 49, 2323–2325. [Google Scholar] [CrossRef] [PubMed]
- Li, X.; Li, B.; Chen, L.; Hu, J.; Wen, C.; Zheng, Q.; Wu, L.; Zeng, H.; Gong, B.; Yuan, L. Liquid-Crystalline Mesogens Based on Cyclo[6]aramides: Distinctive Phase Transitions in Response to Macrocyclic Host–Guest Interactions. Angew. Chem. Int. Ed. 2015, 54, 11147–11152. [Google Scholar] [CrossRef] [PubMed]
- Yang, Z.; Fu, K.; Yu, W.; Jia, A.; Chen, X.; Cai, Y.; Li, X.; Feng, W.; Yuan, L. A Multi-Stimuli Responsive [3]rotaxane Based on Hydrogen-Bonded Aramide Azo-Macrocycles. Chin. Chem. Lett. 2025, 36, 110842. [Google Scholar] [CrossRef]
- Yang, Z.; Wang, X.; Penocchio, E.; Ragazzon, G.; Chen, X.; Lu, S.; Zhou, Y.; Fu, K.; Liu, Z.; Cai, Y.; et al. Beyond Single-Cycle Autonomous Molecular Machines: Light-Powered Shuttling in a Multi-Cycle Reaction Network. Angew. Chem. Int. Ed. 2025, 64, e202414072. [Google Scholar] [CrossRef]
- Guo, X.; Yang, Y.; Peng, Z.; Cai, Y.; Feng, W.; Yuan, L. Highly Efficient Synthesis of Hydrogen-Bonded Aromatic Tetramers as Macrocyclic Receptors for Selective Recognition of Lithium Ions. Org. Chem. Front. 2019, 6, 2654–2661. [Google Scholar] [CrossRef]
- Ye, Z.; Yang, Z.; Wang, L.; Chen, L.; Cai, Y.; Deng, P.; Feng, W.; Li, X.; Yuan, L. A Dynamic Hydrogen-Bonded Azo-Macrocycle for Precisely Photo-Controlled Molecular Encapsulation and Release. Angew. Chem. Int. Ed. 2019, 58, 12519–12523. [Google Scholar] [CrossRef]
- Ushakov, E.N.; Alfimov, M.V.; Gromov, S.P. Crown Ether-Based Optical Molecular Sensors and Photocontrolled Ionophores. Macroheterocycles 2010, 3, 189–200. [Google Scholar] [CrossRef]
- Song, S.; Zhang, H.; Liu, Y. Light-Controlled Macrocyclic Supramolecular Assemblies and Luminescent Behaviors. Acc. Mater. Res. 2024, 5, 1109–1120. [Google Scholar] [CrossRef]
- Nieland, E.; Voss, J.; Schmidt, B.M. Photoresponsive Supramolecular Cages and Macrocycles. ChemPlusChem 2023, 88, e202300353. [Google Scholar] [CrossRef]
- Kumar, P.; Gupta, D.; Grewal, S.; Srivastava, A.; Gaur, A.K.; Venkataramani, S. Multiple Azoarenes Based Systems-Photoswitching, Supramolecular Chemistry and Application Prospects. Chem. Rec. 2022, 22, e202200074. [Google Scholar] [CrossRef]
- Wu, B.; Tang, R.; Li, Z.-W.; Lin, F.; Sun, Z.; Xia, H.; Jiang, L.; Tan, Y. Selective Encapsulation of Azo Compounds by Tetracationic Cyclophane in Water and Photo-Controlled Reversible Release. Chin. Chem. Lett. 2025, 36, 110896. [Google Scholar] [CrossRef]
- Zhang, X.; Jin, T.; Yang, C.; Xu, D.; Jia, H.; Xu, L. Azobenzene-Containing Photoresponsive Metal-Organic Cages. Chin. Chem. Lett. 2025, 36, 111135. [Google Scholar] [CrossRef]
- Zhang, R.; Xie, Y.; Li, X.; Wang, K.; Hu, X.-Y. Supramolecular Artificial Light-Harvesting Systems Incorporating Aggregation-Induced Emissive Components: From Fabrication to Efficient Energy Conversion. Chem. Commun. 2025, 61, 6851–6863. [Google Scholar] [CrossRef] [PubMed]
- Li, P.; Xie, G.; Kong, X.-Y.; Zhang, Z.; Xiao, K.; Wang, H.; Wen, L.; Jiang, L. Light-Controlled Ion Transport through Biomimetic DNA-Based Channels. Angew. Chem. Int. Ed. 2016, 55, 15637–15641. [Google Scholar] [CrossRef]
- Zhang, S.; Boussouar, I.; Li, H. Selective Sensing and Transport in Bionic Nanochannel Based on Macrocyclic Host-Guest Chemistry. Chin. Chem. Lett. 2021, 32, 642–648. [Google Scholar] [CrossRef]
- Chen, L.; Chen, Y.; Zhang, Y.; Liu, L. Photo-Controllable Catalysis and Chiral Monosaccharide Recognition Induced by Cyclodextrin Derivatives. Angew. Chem. Int. Ed. 2021, 60, 7654–7658. [Google Scholar] [CrossRef]
- Li, X.; Niu, X.; Fu, P.; Song, Y.; Zhang, E.; Dang, Y.; Yan, J.; Feng, G.; Lei, S.; Hu, W. Macrocycle-on-COF Photocatalyst Constructed by in-situ Linker Exchange for Efficient Photocatalytic CO2 Cycloaddition. Appl. Catal. B Environ. Energy 2024, 350, 123943. [Google Scholar] [CrossRef]
- Shiga, M.; Takagi, M.; Ueno, K. Azo-Crown Ethers. The First Examples of Photoresponsive Crown Ethers. Chem. Lett. 1980, 9, 1021–1022. [Google Scholar] [CrossRef]
- Liu, Y.; Zhang, Q.; Crespi, S.; Chen, S.; Zhang, X.-K.; Xu, T.-Y.; Ma, C.-S.; Zhou, S.-W.; Shi, Z.-T.; Tian, H.; et al. Motorized Macrocycle: A Photo-responsive Host with Switchable and Stereoselective Guest Recognition. Angew. Chem. Int. Ed. 2021, 60, 16129–16138. [Google Scholar] [CrossRef] [PubMed]
- Sokołowska, P.; Dąbrowa, K.; Jarosz, S. Visible-Light Responsive Sucrose-Containing Macrocyclic Host for Cations. Org. Lett. 2021, 23, 2687–2692. [Google Scholar] [CrossRef] [PubMed]
- Huang, Y.; Wang, R. Green Recovery of Lithium from Water by a Smart Imprinted Adsorbent with Photo-Controlled and Selective Properties. Chem. Eng. J. 2019, 378, 122084. [Google Scholar] [CrossRef]
- Sahoo, P.R.; Prakash, K.; Kumar, S. Light Controlled Receptors for Heavy Metal Ions. Coord. Chem. Rev. 2018, 357, 18–49. [Google Scholar] [CrossRef]
- Roover, Q.D.; Vucko, T.; Vincent, S.P.; Winter, J.D.; Coulembier, O. Photocontrolled Lactide ROP by the Light-Regulated Release of Potassium Acetate from an Azobenzene-Bridged Crown Ether. Catal. Sci. Technol. 2021, 11, 6048–6052. [Google Scholar] [CrossRef]
- Shinkai, S.; Manabe, O. Photocontrol of Ion Extraction and Ion Transport by Photofunctional Crown Ethers. Top. Curr. Chem. 1984, 121, 67–104. [Google Scholar]
- Hossain, M.S.; Chatterjee, S.; Bandyopadhyay, S. Azobenzene-Based Photochromic Delivery Vehicles for Ions and Small Molecules. Chem. Eur. J. 2022, 28, e202201902. [Google Scholar] [CrossRef]
- Szymański, W.; Beierle, J.M.; Kistemaker, H.A.; Velema, W.A.; Feringa, B.L. Reversible Photocontrol of Biological Systems by the Incorporation of Molecular Photoswitches. Chem. Rev. 2013, 113, 6114–6178. [Google Scholar] [CrossRef]
- Kumar, A.; Fukuda, H.; Hatton, T.A.; Lienhard, J.H. Lithium Recovery from Oil and Gas Produced Water: A Need for a Growing Energy Industry. ACS Energy Lett. 2019, 4, 1471–1474. [Google Scholar] [CrossRef]
- Armand, M.; Tarascon, J.M. Building Better Batteries. Nature 2008, 451, 652–657. [Google Scholar] [CrossRef] [PubMed]
- Martin, G.; Rentsch, L.; Höck, M.; Bertau, M. Lithium Market Research—Global Supply, Future Demand and Price Development. Energy Storage Mater. 2017, 6, 171–179. [Google Scholar] [CrossRef]
- Evarts, E.C. Lithium Batteries: To the Limits of Lithium. Nature 2015, 526, S93–S95. [Google Scholar] [CrossRef] [PubMed]
- Kavanagh, L.; Keohane, J.; Cabellos, G.G.; Lloyd, A.; Cleary, J. Global Lithium Sources—Industrial Use and Future in the Electric Vehicle Industry: A Review. Resources 2018, 7, 57. [Google Scholar] [CrossRef]
- Weiland, K.J.; Brandl, T.; Atz, K.; Prescimone, A.; Haussinger, D.; Šolomek, T.; Mayor, M. Mechanical Stabilization of Helical Chirality in a Macrocyclic Oligothiophene. J. Am. Chem. Soc. 2019, 141, 2104–2110. [Google Scholar] [CrossRef]
- Martí-Centelles, V.; Pandey, M.D.; Burguete, M.I.; Luis, S.V. Macrocyclization Reactions: The Importance of Conformational, Configurational, and Template-Induced Preorganization. Chem. Rev. 2015, 115, 8736–8834. [Google Scholar] [CrossRef]
- Lavendomme, R.; Ronson, T.K.; Nitschke, J.R. Metal and Organic Templates Together Control the Size of Covalent Macrocycles and Cages. J. Am. Chem. Soc. 2019, 141, 12147–12158. [Google Scholar] [CrossRef]
- Álvarez-García, J.; Cid, M.M. Twisted Allenyl-Pyridocyclophanes by Templated Cyclooligomerization: Chiral Cavities for Precision Molecular Recognition. JACS Au 2026, 6, 589–599. [Google Scholar] [CrossRef]
- Brachvogel, R.-C.; Hampel, F.; Von Delius, M. Self-Assembly of Dynamic Orthoester Cryptates. Nat. Commun. 2015, 6, 7129. [Google Scholar] [CrossRef]
- Cougnon, F.B.L.; Stefankiewicz, A.R.; Ulrich, S. Dynamic Covalent Synthesis. Chem. Sci. 2024, 15, 879–895. [Google Scholar] [CrossRef]
- Ponnuswamy, N.; Cougnon, F.B.; Clough, J.M.; Pantos, G.D.; Sanders, J.K.M. Discovery of an Organic Trefoil Knot. Science 2012, 338, 783–785. [Google Scholar] [CrossRef]
- Chudhary, T.; Wei, Y.; Tong, L.; Shen, L.; Li, H.; Zhang, S. Self-Assembly of Macrocyclic Hosts with Kinetic Inertness. Org. Lett. 2025, 27, 12030–12034. [Google Scholar] [CrossRef]
- Feng, W.; Yamato, K.; Yang, L.; Ferguson, J.S.; Zhong, L.; Zou, S.; Yuan, L.; Zeng, X.C.; Gong, B. Efficient Kinetic Macrocyclization. J. Am. Chem. Soc. 2009, 131, 2629–2637. [Google Scholar] [CrossRef]
- Li, Z.-T.; Hou, J.-L.; Li, C. Peptide Mimics by Linear Arylamides: A Structural and Functional Diversity Test. Acc. Chem. Res. 2008, 41, 1343–1353. [Google Scholar] [CrossRef]
- Zhang, J.; Pesak, D.J.; Ludwick, J.L.; Moore, J.S. Geometrically-Controlled and Site-Specifically-Functionalized Phenylacetylene Macrocycles. J. Am. Chem. Soc. 1994, 116, 4227–4239. [Google Scholar] [CrossRef]
- Wang, F.; Shi, X.; Zhang, Y.; Zhou, W.; Li, A.; Liu, Y.; Sessler, J.L.; He, Q. Reversible Macrocycle-to-Macrocycle Interconversion Driven by Solvent Selection. J. Am. Chem. Soc. 2023, 145, 10943–10947. [Google Scholar] [CrossRef]
- Reuter, R.; Wegner, H.A. Oligoazobenzenophanes—Synthesis, Photochemistry and Properties. Chem. Commun. 2011, 47, 12267–12276. [Google Scholar] [CrossRef]
- Becke, A.D. Density-Functional Thermochemistry. III. The Role of Exact Exchange. J. Chem. Phys. 1993, 98, 5648–5652. [Google Scholar] [CrossRef]
- Yuan, L.; Sanford, A.R.; Feng, W.; Zhang, A.; Zhu, J.; Zeng, H.; Yamato, K.; Li, M.; Ferguson, J.S.; Gong, B. Synthesis of Crescent Aromatic Oligoamides. J. Org. Chem. 2005, 70, 10660–10669. [Google Scholar] [CrossRef]
- Xie, Y.; Huang, B.; Yu, K.; Shi, F.; Xu, W. Discovery of a Series of Novel Compounds with Moderate Anti-Avian H5N1 Influenza Virus Activity in Chick Embryo. Med. Chem. Res. 2013, 22, 3485–3496. [Google Scholar] [CrossRef]
- Heo, N.J.; Oh, J.H.; Li, A.; Lee, K.; He, Q.; Sessler, J.L.; Kim, S.K. Ion Pair Extractant Selective for LiCl and LiBr. Chem. Sci. 2024, 15, 13958–13965. [Google Scholar] [CrossRef] [PubMed]







| Complex a | NMR H–G Exchange | Ka (M−1) b |
|---|---|---|
| 2c ⊃ LiClO4 | Slow | 104 c |
| 1 ⊃ LiClO4 | Fast | 5 d |
| 2c ⊃ NaClO4 | Fast | (1.25 ± 0.27) × 103 d |
| 1 ⊃ NaClO4 | Fast | (6.61 ± 1.76) × 102 d |
Disclaimer/Publisher’s Note: The statements, opinions and data contained in all publications are solely those of the individual author(s) and contributor(s) and not of MDPI and/or the editor(s). MDPI and/or the editor(s) disclaim responsibility for any injury to people or property resulting from any ideas, methods, instructions or products referred to in the content. |
© 2026 by the authors. Licensee MDPI, Basel, Switzerland. This article is an open access article distributed under the terms and conditions of the Creative Commons Attribution (CC BY) license.
Share and Cite
Tan, C.; Fu, K.; Yang, Z.; Qin, S.; Cai, Y.; Feng, W.; Li, X.; Yuan, L. Connectivity-Rewired Construction of Hydrogen-Bonded Azo-Macrocycles Enables Photoswitchable Recognition of Lithium Ions. Molecules 2026, 31, 1086. https://doi.org/10.3390/molecules31071086
Tan C, Fu K, Yang Z, Qin S, Cai Y, Feng W, Li X, Yuan L. Connectivity-Rewired Construction of Hydrogen-Bonded Azo-Macrocycles Enables Photoswitchable Recognition of Lithium Ions. Molecules. 2026; 31(7):1086. https://doi.org/10.3390/molecules31071086
Chicago/Turabian StyleTan, Chengyu, Kuirong Fu, Zhiyao Yang, Song Qin, Yimin Cai, Wen Feng, Xiaowei Li, and Lihua Yuan. 2026. "Connectivity-Rewired Construction of Hydrogen-Bonded Azo-Macrocycles Enables Photoswitchable Recognition of Lithium Ions" Molecules 31, no. 7: 1086. https://doi.org/10.3390/molecules31071086
APA StyleTan, C., Fu, K., Yang, Z., Qin, S., Cai, Y., Feng, W., Li, X., & Yuan, L. (2026). Connectivity-Rewired Construction of Hydrogen-Bonded Azo-Macrocycles Enables Photoswitchable Recognition of Lithium Ions. Molecules, 31(7), 1086. https://doi.org/10.3390/molecules31071086

