A Novel Paradigm for Targeting Challenging Targets: Advancing Technologies and Future Directions of Molecular Glue Degraders
Abstract
1. Introduction
| Pharmaceutical Designation | Chemical Structure | Research Sponsor | Target | Development Phase | Therapeutic Indication | Ref. |
|---|---|---|---|---|---|---|
| Thalidomide | ![]() | BMS/Celgene | IKZF1/3 | launched | MM | [35] |
| Lenalidomide | ![]() | BMS/Celgene | IKZF1/3 | launched | MM | [36] |
| Pomalidomide | ![]() | BMS/Celgene | IKZF1/3 | launched | MM | [37] |
| CC-92480 | ![]() | BMS/Celgene | IKZF1/3 | Phase III | MM, RRMM | [38] |
| CC-220 | ![]() | BMS/Celgene | FP91/98;IKZF1 | Phase III | MM | [39] |
| E7820 | ![]() | Eisai | RBM39/CD49b | Phase II | CMML, Myeloid neoplasms, R/R AML | [40] |
| CC-99282 | ![]() | BMS/Celgene | IKZF1/3 | Phase III | HR-LBCL | [41] |
| MRT-2359 | ![]() | Monte Rosa | GSPT1 | Phase I/II | Lung cancer and other solid tumors | [42] |
| CFT-7455 | ![]() | C4 Therapeutics | IKZF1/3 | Phase I/II | RRMM | [43] |
| NVP-DKY709 | ![]() | Novartis | IKZF2 | Phase I | CRC, Cutaneous melanoma | [44] |
| CC-90009 | ![]() | BMS/Celgene | GSPT1 | Phase I | AML, MDS | [45] |
| MRT-6160 * | ![]() | Monte Rosa | VAV1 | Phase I/II | Autoimmune disease | [46,47] |
| SP-3164 | ![]() | Deuterx LLC | IKZF1/3 | Phase I | NHL, DLBCL | [48] |
| PLX-4545 | ![]() | Lexium | IKZF2 | Phase I | Multiple tumors | [49] |
2. Serendipity: From Tragedy to Miracle
3. High-Throughput Screening (HTS)
3.1. High-Throughput Screening Based on Target
3.1.1. DEL-Based Screening
3.1.2. NanoLuc Binary Technology (NanoBiT)—Based Screening
3.1.3. Protein Microarrays—Based Screening
3.1.4. FRET&BRET-Based Screening
3.2. High Throughput Screening Based on Phenotype
3.2.1. Cell Line-Based Toxicity Screening
3.2.2. Signal Pathway-Based Regulatory Screening
3.2.3. Natural Products
3.2.4. Multi-Component-Based Screening
3.2.5. Cell Viability to Death Phenotypic-Based Screening—The DEFUSE Platform
3.3. Comparison and Selection of Strategies for Phenotypic Screening and Target-Based Screening
3.3.1. Comparison of Applicable Scenarios
3.3.2. Comparison of False Positive Risks and Challenges
3.3.3. Analysis of Scalability and Usability
4. Informatics Method Analysis and Screening
5. AI-Based Prediction
6. Degron-Targeting Strategy
7. Challenges and Prospect
7.1. Challenges
7.1.1. The Diversity of E3 Ligases Employed by Molecular Glues Remains Limited
7.1.2. MGDs Research Remains Heavily Skewed Towards Oncology
7.1.3. Molecular Glue Degraders Can Induce Toxicity Due to Off-Target Effects
7.1.4. The Potential Mechanisms of Resistance to Molecular Glue Degraders
7.1.5. Designing MGDs to Effectively Penetrate the BBB for CNS Targets Remains a Significant Challenge
7.2. Prospect
7.2.1. Translation and Extension of TPD Technology Platforms
7.2.2. Development of Novel Delivery Systems to Enhance Tissue Targeting
7.2.3. Exploration of E3 Ligase-Independent Degradation Strategies
7.2.4. Expansion of Molecular Glue Applications in Non-Oncological Diseases
7.2.5. Integration of Molecular Glues with Imaging Technologies
8. Conclusions
Funding
Institutional Review Board Statement
Informed Consent Statement
Data Availability Statement
Conflicts of Interest
References
- Liu, Y.; Bai, J.; Li, D.; Cang, Y. Routes to molecular glue degrader discovery. Trends Biochem. Sci. 2025, 50, 134–142. [Google Scholar] [CrossRef]
- Hughes, S.J.; Testa, A.; Thompson, N.; Churcher, I. The rise and rise of protein degradation: Opportunities and challenges ahead. Drug Discov. Today 2021, 26, 2889–2897. [Google Scholar] [CrossRef]
- Issahaku, A.R.; Mukelabai, N.; Agoni, C.; Rudrapal, M.; Aldosari, S.M.; Almalki, S.G.; Khan, J. Characterization of the binding of MRTX1133 as an avenue for the discovery of potential KRAS(G12D) inhibitors for cancer therapy. Sci. Rep. 2022, 12, 17796. [Google Scholar] [CrossRef]
- Grohmann, C.; Marapana, D.S.; Ebert, G. Targeted protein degradation at the host-pathogen interface. Mol. Microbiol. 2022, 117, 670–681. [Google Scholar] [CrossRef]
- Mukai, K.; Cost, R.; Zhang, X.S.; Condiff, E.; Cotton, J.; Liu, X.; Boudanova, E.; Niebel, B.; Piepenhagen, P.; Cai, X.; et al. Targeted protein degradation through site-specific antibody conjugation with mannose 6-phosphate glycan. MAbs 2024, 16, 2415333. [Google Scholar] [CrossRef] [PubMed]
- Zhang, C.; Liu, Y.; Li, G.; Yang, Z.; Han, C.; Sun, X.; Sheng, C.; Ding, K.; Rao, Y. Targeting the undruggables—The power of protein degraders. Sci. Bull. 2024, 69, 1776–1797. [Google Scholar] [CrossRef]
- Schreiber, S.L. The Rise of Molecular Glues. Cell 2021, 184, 3–9. [Google Scholar] [CrossRef]
- Peng, X.; Hu, Z.; Zeng, L.; Zhang, M.; Xu, C.; Lu, B.; Tao, C.; Chen, W.; Hou, W.; Cheng, K.; et al. Overview of epigenetic degraders based on PROTAC, molecular glue, and hydrophobic tagging technologies. Acta Pharm. Sin. B 2024, 14, 533–578. [Google Scholar] [CrossRef] [PubMed]
- Schapira, M.; Calabrese, M.F.; Bullock, A.N.; Crews, C.M. Targeted protein degradation: Expanding the toolbox. Nat. Rev. Drug Discov. 2019, 18, 949–963. [Google Scholar] [CrossRef]
- Mostofian, B.; Martin, H.J.; Razavi, A.; Patel, S.; Allen, B.; Sherman, W.; Izaguirre, J.A. Targeted Protein Degradation: Advances, Challenges, and Prospects for Computational Methods. J. Chem. Inf. Model. 2023, 63, 5408–5432. [Google Scholar] [CrossRef] [PubMed]
- Dale, B.; Cheng, M.; Park, K.S.; Kaniskan, H.; Xiong, Y.; Jin, J. Advancing targeted protein degradation for cancer therapy. Nat. Rev. Cancer 2021, 21, 638–654. [Google Scholar] [CrossRef]
- He, M.; Cao, C.; Ni, Z.; Liu, Y.; Song, P.; Hao, S.; He, Y.; Sun, X.; Rao, Y. PROTACs: Great opportunities for academia and industry (an update from 2020 to 2021). Signal Transduct. Target. Ther. 2022, 7, 181. [Google Scholar] [CrossRef]
- Jiang, W.; Jiang, Y.; Luo, Y.; Qiao, W.; Yang, T. Facilitating the development of molecular glues: Opportunities from serendipity and rational design. Eur. J. Med. Chem. 2024, 263, 115950. [Google Scholar] [CrossRef]
- Dong, G.; Ding, Y.; He, S.; Sheng, C. Molecular Glues for Targeted Protein Degradation: From Serendipity to Rational Discovery. J. Med. Chem. 2021, 64, 10606–10620. [Google Scholar] [CrossRef]
- Paulk, J. Lysosome-targeting chimeras evolve. Nat. Chem. Biol. 2021, 17, 931–933. [Google Scholar] [CrossRef] [PubMed]
- Alabi, S.B.; Crews, C.M. Major advances in targeted protein degradation: PROTACs, LYTACs, and MADTACs. J. Biol. Chem. 2021, 296, 100647. [Google Scholar] [CrossRef]
- Ji, C.H.; Lee, M.J.; Kim, H.Y.; Heo, A.J.; Park, D.Y.; Kim, Y.K.; Kim, B.Y.; Kwon, Y.T. Targeted protein degradation via the autophagy-lysosome system: AUTOTAC (AUTOphagy-TArgeting Chimera). Autophagy 2022, 18, 2259–2262. [Google Scholar] [CrossRef]
- Guo, Y.; Che, J.; Dong, X. TransTACs: Transforming antibodies into targeted protein degraders. Acta Pharm. Sin. B 2025, 15, 1186–1188. [Google Scholar] [CrossRef] [PubMed]
- Kaushik, S.; Cuervo, A.M. The coming of age of chaperone-mediated autophagy. Nat. Rev. Mol. Cell Biol. 2018, 19, 365–381. [Google Scholar] [CrossRef] [PubMed]
- Liu, W.; Liu, J.; Shu, H.; Zhang, L.; Yin, X.; Xu, X.; You, Q.; Wang, L. HSP90 Mediates Targeted Degradation of Nonclient Protein PARP1 for Breast Cancer Treatment. J. Med. Chem. 2025, 68, 19933–19954. [Google Scholar] [CrossRef]
- Chen, H.; Liu, J.; Kaniskan, H.; Wei, W.; Jin, J. Folate-Guided Protein Degradation by Immunomodulatory Imide Drug-Based Molecular Glues and Proteolysis Targeting Chimeras. J. Med. Chem. 2021, 64, 12273–12285. [Google Scholar] [CrossRef]
- Wang, X.; Zhuang, Z.; Zhang, C.; Zhang, B.; Zhan, W.; Wang, Y.; Liu, Z.; Yuan, S.; Niu, W.; He, Q.; et al. MolGlueDB: An online database of molecular glues. Nucleic Acids Res. 2025, 54, D1510–D1518. [Google Scholar] [CrossRef]
- Hsia, O.; Hinterndorfer, M.; Cowan, A.D.; Iso, K.; Ishida, T.; Sundaramoorthy, R.; Nakasone, M.A.; Imrichova, H.; Schätz, C.; Rukavina, A.; et al. Targeted protein degradation via intramolecular bivalent glues. Nature 2024, 627, 204–211. [Google Scholar] [CrossRef]
- Ramachandran, S.; Ciulli, A. Building ubiquitination machineries: E3 ligase multi-subunit assembly and substrate targeting by PROTACs and molecular glues. Curr. Opin. Struct. Biol. 2021, 67, 110–119. [Google Scholar] [CrossRef]
- Domostegui, A.; Nieto-Barrado, L.; Perez-Lopez, C.; Mayor-Ruiz, C. Chasing molecular glue degraders: Screening approaches. Chem. Soc. Rev. 2022, 51, 5498–5517. [Google Scholar] [CrossRef] [PubMed]
- Kozicka, Z.; Thomä, N.H. Haven’t got a glue: Protein surface variation for the design of molecular glue degraders. Cell Chem. Biol. 2021, 28, 1032–1047. [Google Scholar] [CrossRef] [PubMed]
- Qin, L.; Dai, H.; Wang, J. Key Considerations in Targeted Protein Degradation Drug Discovery and Development. Front. Chem. 2022, 10, 934337. [Google Scholar] [CrossRef]
- Thomas, K.L.; Bouguenina, H.; Miller, D.S.J.; Sialana, F.J.; Hayhow, T.G.; Choudhary, J.S.; Rossanese, O.W.; Bellenie, B.R. Degradation by Design: New Cyclin K Degraders from Old CDK Inhibitors. ACS Chem. Biol. 2024, 19, 173–184. [Google Scholar] [CrossRef] [PubMed]
- Gruntman, A.M.; Flotte, T.R. The rapidly evolving state of gene therapy. FASEB J. 2018, 32, 1733–1740. [Google Scholar] [CrossRef]
- Mamounas, E.P.; Bandos, H.; Lembersky, B.C.; Jeong, J.H.; Geyer, C.E., Jr.; Rastogi, P.; Fehrenbacher, L.; Graham, M.L.; Chia, S.K.; Brufsky, A.M.; et al. Use of letrozole after aromatase inhibitor-based therapy in postmenopausal breast cancer (NRG Oncology/NSABP B-42): A randomised, double-blind, placebo-controlled, phase 3 trial. Lancet Oncol. 2019, 20, 88–99. [Google Scholar] [CrossRef]
- Suh, K.; Carlson, J.J.; Xia, F.; Williamson, T.; Sullivan, S.D. The potential long-term comparative effectiveness of larotrectinib vs standard of care for treatment of metastatic TRK fusion thyroid cancer, colorectal cancer, and soft tissue sarcoma. J. Manag. Care Spec. Pharm. 2022, 28, 622–630. [Google Scholar] [CrossRef]
- Wei, J.; Feng, W.; Chen, Q.; Li, Q.; Chen, Z. Rational discovery of molecular glue degraders based on block chemistry. Drug Discov. Today 2025, 30, 104480. [Google Scholar] [CrossRef] [PubMed]
- Dewey, J.A.; Delalande, C.; Azizi, S.A.; Lu, V.; Antonopoulos, D.; Babnigg, G. Molecular Glue Discovery: Current and Future Approaches. J. Med. Chem. 2023, 66, 9278–9296. [Google Scholar] [CrossRef] [PubMed]
- Kieffer, C.; Jourdan, J.P.; Jouanne, M.; Voisin-Chiret, A.S. Noncellular screening for the discovery of protein-protein interaction modulators. Drug Discov. Today 2020, 25, 1592–1603. [Google Scholar] [CrossRef] [PubMed]
- Malik, S.; Cohen, P.R. Thalidomide-Then and Now: Case Report of a Woman With Thalidomide Embryopathy and Review of Current Thalidomide Uses. Cureus 2021, 13, e17070. [Google Scholar] [CrossRef]
- Meade, D.; Ng, M.; Alford, S. Lenalidomide use in multiple myeloma. J. Clin. Oncol. 2020, 38, e14045. [Google Scholar] [CrossRef]
- Lacy, M.Q.; McCurdy, A.R. Pomalidomide. Blood 2013, 122, 2305–2309. [Google Scholar] [CrossRef]
- Hansen, J.D.; Correa, M.; Nagy, M.A.; Alexander, M.; Plantevin, V.; Grant, V.; Whitefield, B.; Huang, D.; Kercher, T.; Harris, R.; et al. Discovery of CRBN E3 Ligase Modulator CC-92480 for the Treatment of Relapsed and Refractory Multiple Myeloma. J. Med. Chem. 2020, 63, 6648–6676. [Google Scholar] [CrossRef]
- Matyskiela, M.E.; Zhang, W.; Man, H.W.; Muller, G.; Khambatta, G.; Baculi, F.; Hickman, M.; LeBrun, L.; Pagarigan, B.; Carmel, G.; et al. A Cereblon Modulator (CC-220) with Improved Degradation of Ikaros and Aiolos. J. Med. Chem. 2018, 61, 535–542. [Google Scholar] [CrossRef]
- Bewersdorf, J.P.; Stahl, M.; Taylor, J.; Mi, X.; Chandhok, N.S.; Watts, J.; Derkach, A.; Wysocki, M.; Lu, S.X.; Bourcier, J.; et al. E7820, an anti-cancer sulfonamide, degrades RBM39 in patients with splicing factor mutant myeloid malignancies: A phase II clinical trial. Leukemia 2023, 37, 2512–2516. [Google Scholar] [CrossRef]
- Carrancio, S.; Groocock, L.; Janardhanan, P.; Jankeel, D.; Galasso, R.; Guarinos, C.; Narla, R.K.; Groza, M.; Leisten, J.; Pierce, D.W.; et al. CC-99282 is a Novel Cereblon (CRBN) E3 Ligase Modulator (CELMoD) Agent with Enhanced Tumoricidal Activity in Preclinical Models of Lymphoma. Blood 2021, 138, 1200. [Google Scholar] [CrossRef]
- Chan, C.-C.; Li, C.-S.; Hu, L.; Li, W.; Zhu, Z.; Chen, S. Abstract 393: Discovery of novel, potent and orally active GSPT1 molecular glue degraders. Cancer Res. 2025, 85, 393. [Google Scholar] [CrossRef]
- Li, N.; Sheng, J.; Zhu, H.H. Breakthroughs in treatment for hematological malignancies: Latest updates on molecular glue, PROTACs and RNA degraders from ASH 2024. J. Hematol. Oncol. 2025, 18, 26. [Google Scholar] [CrossRef]
- Bonazzi, S.; d’Hennezel, E.; Beckwith, R.E.J.; Xu, L.; Fazal, A.; Magracheva, A.; Ramesh, R.; Cernijenko, A.; Antonakos, B.; Bhang, H.C.; et al. Discovery and characterization of a selective IKZF2 glue degrader for cancer immunotherapy. Cell Chem. Biol. 2023, 30, 235–247.e12. [Google Scholar] [CrossRef] [PubMed]
- Hansen, J.D.; Correa, M.; Alexander, M.; Nagy, M.; Huang, D.; Sapienza, J.; Lu, G.; LeBrun, L.A.; Cathers, B.E.; Zhang, W.; et al. CC-90009: A Cereblon E3 Ligase Modulating Drug That Promotes Selective Degradation of GSPT1 for the Treatment of Acute Myeloid Leukemia. J. Med. Chem. 2021, 64, 1835–1843. [Google Scholar] [CrossRef] [PubMed]
- Cartwright, A.; Desai, F.; Nguyen, S.; Trouilloud, A.; Vora, S.; Gyger, L.; Roditi, L.; Lam, D.; Trenh, P.; Lucas, X.; et al. P164 MRT-6160, a VAV1-directed molecular glue degrader, inhibits disease progression and inflammation in a T-cell transfer model of Colitis. J. Crohn’s Colitis 2024, 18, i464. [Google Scholar] [CrossRef]
- McAllister, L.A.; Liardo, E.; Ritzen, A.; Oleinikovas, V.; Cabre, X.L.; Fasching, B.; Bizzini, L.D.; Lesieur, M. Preparation of Substituted 3-(biphenyl)piperidine-2,6-diones for Targeted Degradation of VAV1. WO 2024151547, 8 January 2024. [Google Scholar]
- Rasco, D.W.; Papadopoulos, K.P.; Pourdehnad, M.; Gandhi, A.K.; Hagner, P.R.; Li, Y.; Wei, X.; Chopra, R.; Hege, K.; DiMartino, J.; et al. A First-in-Human Study of Novel Cereblon Modulator Avadomide (CC-122) in Advanced Malignancies. Clin. Cancer Res. 2019, 25, 90–98. [Google Scholar] [CrossRef]
- Huang, Y.; Song, S.; Yang, L.; Ma, J.; Chung, J.; Dearie, A.; Chien, S.; Spalding, Q.; Choi, S.; Blanco, G.; et al. Abstract 6380: PLX-4545, a selective IKZF2 degrader, reprograms suppressive Tregs leading to tumor growth inhibition and combination benefit with immune checkpoint therapy. Cancer Res. 2025, 85, 6380. [Google Scholar] [CrossRef]
- Asatsuma-Okumura, T.; Ito, T.; Handa, H. Molecular Mechanisms of the Teratogenic Effects of Thalidomide. Pharmaceuticals 2020, 13, 95. [Google Scholar] [CrossRef]
- Vargesson, N. Thalidomide-induced teratogenesis: History and mechanisms. Birth Defects Res. Part C Embryo Today 2015, 105, 140–156. [Google Scholar] [CrossRef]
- Yamamoto, J.; Ito, T.; Yamaguchi, Y.; Handa, H. Discovery of CRBN as a target of thalidomide: A breakthrough for progress in the development of protein degraders. Chem. Soc. Rev. 2022, 51, 6234–6250. [Google Scholar] [CrossRef]
- Ito, T.; Ando, H.; Suzuki, T.; Ogura, T.; Hotta, K.; Imamura, Y.; Yamaguchi, Y.; Handa, H. Identification of a primary target of thalidomide teratogenicity. Science 2010, 327, 1345–1350. [Google Scholar] [CrossRef]
- VanHook, A.M. Thalidomide Target Identified. Sci. Signal. 2010, 3, ec82. [Google Scholar] [CrossRef]
- Barbarossa, A.; Iacopetta, D.; Sinicropi, M.S.; Franchini, C.; Carocci, A. Recent Advances in the Development of Thalidomide-Related Compounds as Anticancer Drugs. Curr. Med. Chem. 2022, 29, 19–40. [Google Scholar] [CrossRef]
- Ito, T. Protein degraders—From thalidomide to new PROTACs. J. Biochem. 2024, 175, 507–519. [Google Scholar] [CrossRef] [PubMed]
- Gooding, S.; Ansari-Pour, N.; Towfic, F.; Ortiz Estévez, M.; Chamberlain, P.P.; Tsai, K.T.; Flynt, E.; Hirst, M.; Rozelle, D.; Dhiman, P.; et al. Multiple cereblon genetic changes are associated with acquired resistance to lenalidomide or pomalidomide in multiple myeloma. Blood 2021, 137, 232–237. [Google Scholar] [CrossRef]
- Lonial, S.; Jacobus, S.; Fonseca, R.; Weiss, M.; Kumar, S.; Orlowski, R.Z.; Kaufman, J.L.; Yacoub, A.M.; Buadi, F.K.; O’Brien, T.; et al. Randomized Trial of Lenalidomide Versus Observation in Smoldering Multiple Myeloma. J. Clin. Oncol. 2020, 38, 1126–1137. [Google Scholar] [CrossRef] [PubMed]
- Lopez-Millan, B.; Diaz de la Guardia, R.; Roca-Ho, H.; García-Herrero, C.M.; Lavoie, J.R.; Rosu-Myles, M.; Gonzalez-Rey, E.; O’Valle, F.; Criado, G.; Delgado, M.; et al. Therapeutic effect of the immunomodulatory drug lenalidomide, but not pomalidomide, in experimental models of rheumatoid arthritis and inflammatory bowel disease. Exp. Mol. Med. 2017, 49, e290. [Google Scholar] [CrossRef]
- Dimopoulos, M.A.; Terpos, E.; Boccadoro, M.; Delimpasi, S.; Beksac, M.; Katodritou, E.; Moreau, P.; Baldini, L.; Symeonidis, A.; Bila, J.; et al. Daratumumab plus pomalidomide and dexamethasone versus pomalidomide and dexamethasone alone in previously treated multiple myeloma (APOLLO): An open-label, randomised, phase 3 trial. Lancet Oncol. 2021, 22, 801–812. [Google Scholar] [CrossRef] [PubMed]
- Liao, B.; Hao, K. P131 Therapeutic effects of KPG-818 in a trinitrobenzene sulfonic acid—Induced mouse Crohn’s/Ulcerative Colitis model. J. Crohn’s Colitis 2024, 18, i421. [Google Scholar] [CrossRef]
- Jarusiewicz, J.A.; Yoshimura, S.; Mayasundari, A.; Actis, M.; Aggarwal, A.; McGowan, K.; Yang, L.; Li, Y.; Fu, X.; Mishra, V.; et al. Phenyl Dihydrouracil: An Alternative Cereblon Binder for PROTAC Design. ACS Med. Chem. Lett. 2023, 14, 141–145. [Google Scholar] [CrossRef]
- Xie, H.; Li, C.; Tang, H.; Tandon, I.; Liao, J.; Roberts, B.L.; Zhao, Y.; Tang, W. Development of Substituted Phenyl Dihydrouracil as the Novel Achiral Cereblon Ligands for Targeted Protein Degradation. J. Med. Chem. 2023, 66, 2904–2917. [Google Scholar] [CrossRef]
- Miljkovic, M.; Lozano, S.; Castellote, I.; de Cózar, C.; Villegas-Moreno, A.I.; Gamallo, P.; Jimenez-Alfaro Martinez, D.; Fernández-Álvaro, E.; Ballell, L.; Garcia, G.A. Novel inhibitors that target bacterial virulence identified via HTS against intra-macrophage survival of Shigella flexneri. mSphere 2023, 8, e0015423. [Google Scholar] [CrossRef]
- Yang, J.; König, A.; Park, S.; Jo, E.; Sung, P.S.; Yoon, S.K.; Zusinaite, E.; Kainov, D.; Shum, D.; Windisch, M.P. A new high-content screening assay of the entire hepatitis B virus life cycle identifies novel antivirals. JHEP Rep. 2021, 3, 100296. [Google Scholar] [CrossRef]
- Pierrat, O.A.; Liu, M.; Collie, G.W.; Shetty, K.; Rodrigues, M.J.; Le Bihan, Y.V.; Gunnell, E.A.; McAndrew, P.C.; Stubbs, M.; Rowlands, M.G.; et al. Discovering cell-active BCL6 inhibitors: Effectively combining biochemical HTS with multiple biophysical techniques, X-ray crystallography and cell-based assays. Sci. Rep. 2022, 12, 18633. [Google Scholar] [CrossRef] [PubMed]
- Laura, M.; Ronan, G.; Vy, L.B.; Valentin, G.; Omar, C.A.; Virgyl, C.; Piveteau, C.; Melissa, R.; Charlotte, F.; Sandrine, W.; et al. Modulators of hERAP2 discovered by high-throughput screening. Eur. J. Med. Chem. 2021, 211, 113053. [Google Scholar] [PubMed]
- St John-Campbell, S.; Bhalay, G. Target Engagement Assays in Early Drug Discovery. J. Med. Chem. 2025, 68, 12331–12368. [Google Scholar] [CrossRef] [PubMed]
- Peterson, A.A.; Liu, D.R. Small-molecule discovery through DNA-encoded libraries. Nat. Rev. Drug Discov. 2023, 22, 699–722. [Google Scholar] [CrossRef]
- Gao, Y.; Liu, J.; Huang, S.; Du, N.; Zhang, G.; Li, Y. Recent advances in DNA-encoded libraries. Chem. Commun. 2025, 61, 10952–10968. [Google Scholar] [CrossRef]
- Huang, Y.; Li, X. Recent Advances on the Selection Methods of DNA-Encoded Libraries. Chembiochem 2021, 22, 2384–2397. [Google Scholar] [CrossRef]
- Fan, Y.; Feng, R.; Zhang, X.; Wang, Z.L.; Xiong, F.; Zhang, S.; Zhong, Z.F.; Yu, H.; Zhang, Q.W.; Zhang, Z.; et al. Encoding and display technologies for combinatorial libraries in drug discovery: The coming of age from biology to therapy. Acta Pharm. Sin. B 2024, 14, 3362–3384. [Google Scholar] [CrossRef] [PubMed]
- Gui, W.; Goss, A.; Kodadek, T. A Functional Assay for Mining Noninhibitory Enzyme Ligands from One Bead One Compound Libraries: Application to E3 Ubiquitin Ligases. J. Am. Chem. Soc. 2025, 147, 31630–31638. [Google Scholar] [CrossRef] [PubMed]
- Lazarewicz, N.; Le Dez, G.; Cerjani, R.; Runeshaw, L.; Meurer, M.; Knop, M.; Wysocki, R.; Rabut, G. Accurate and sensitive interactome profiling using a quantitative protein-fragment complementation assay. Cell Rep. Methods 2024, 4, 100880. [Google Scholar] [CrossRef]
- Liu, Y.L.; Guo, Z.Y. The NanoBiT-Based Homogenous Ligand-Receptor Binding Assay. Methods Mol. Biol. 2022, 2525, 139–153. [Google Scholar]
- Niles, A.L.; Dibble, M.R.C.; Machleidt, T.; Martino, K.; Swiatnicki, M.R.; Vu, E.H.; Schwinn, M.K. Bioluminescence-based assays for quantifying endogenous protein interactions in live cells. J. Biol. Chem. 2025, 301, 110454. [Google Scholar] [CrossRef]
- He, Q.; McCoy, M.R.; Yang, H.; Lin, M.; Cui, X.; Zhao, S.; Morisseau, C.; Li, D.; Hammock, B.D. Mix-and-Read Nanobody-Based Sandwich Homogeneous Split-Luciferase Assay for the Rapid Detection of Human Soluble Epoxide Hydrolase. Anal. Chem. 2023, 95, 6038–6045. [Google Scholar] [CrossRef]
- Dharmaiah, S.; Bonsor, D.A.; Mo, S.P.; Fernandez-Cabrera, A.; Chan, A.H.; Messing, S.; Drew, M.; Vega, M.; Nissley, D.V.; Esposito, D.; et al. Structural basis for LZTR1 recognition of RAS GTPases for degradation. Science 2025, 389, 1112–1117. [Google Scholar] [CrossRef] [PubMed]
- Piech, S.; Brüschweiler, S.; Westphalen, J.; Siess, K.M.; García Murias, J.; Konrat, R.; Bigenzahn, J.W.; Superti-Furga, G. Identification and Characterization of Novel Small-Molecule Enhancers of the CUL3(LZTR1) E3 Ligase KRAS Complex. ACS Chem. Biol. 2024, 19, 1942–1952. [Google Scholar] [CrossRef]
- Sylvain, A.; Stoehr, N.; Ma, F.; Cernijenko, A.; Schröder, M.; Khoshouei, M.; Vogelsanger, M.; Schoenboerner, M.; Burke, A.; Rao, P.; et al. A cereblon-based glue degrader of NEK7 regulates NLRP3 inflammasome in a context-dependent manner. Cell Chem. Biol. 2025, 32, 955–968.e13. [Google Scholar] [CrossRef]
- Duarte, J.G.; Blackburn, J.M. Advances in the development of human protein microarrays. Expert. Rev. Proteom. 2017, 14, 627–641. [Google Scholar] [CrossRef]
- Feng, F.; Ataca, S.T.; Ran, M.; Wang, Y.; Breen, M.; Kepler, T.B. Gain-Scanning for Protein Microarray Assays. J. Proteome Res. 2020, 19, 2664–2675. [Google Scholar] [CrossRef]
- Chen, S.; Cui, J.; Chen, H.; Yu, B.; Long, S. Recent progress in degradation of membrane proteins by PROTACs and alternative targeted protein degradation techniques. Eur. J. Med. Chem. 2023, 262, 115911. [Google Scholar] [CrossRef] [PubMed]
- Grist, E.; Dutey-Magni, P.; Parry, M.A.; Mendes, L.; Sachdeva, A.; Proudfoot, J.A.; Hamid, A.A.; Ismail, M.; Howlett, S.; Friedrich, S.; et al. Tumor transcriptome-wide expression classifiers predict treatment sensitivity in advanced prostate cancers. Cell 2025, 188, 5717–5734.e10. [Google Scholar] [CrossRef]
- Tutter, A.; Buckley, D.; Golosov, A.A.; Ma, X.; Shu, W.; McKay, D.J.J.; Darsigny, V.; Dovala, D.; Beckwith, R.; Solomon, J.; et al. A small-molecule VHL molecular glue degrader for cysteine dioxygenase 1. Nat. Chem. Biol. 2025, 21, 1688–1696. [Google Scholar] [CrossRef]
- Zong, H.; Wang, X.; Mu, X.; Wang, J.; Sun, M. Plasmon-Enhanced Fluorescence Resonance Energy Transfer. Chem. Rec. 2019, 19, 818–842. [Google Scholar] [CrossRef]
- Ha, T.; Fei, J.; Schmid, S.; Lee, N.K.; Gonzalez, R.L.; Paul, S.; Yeou, S. Fluorescence resonance energy transfer at the single-molecule level. Nat. Rev. Methods Primers 2024, 4, 21. [Google Scholar] [CrossRef]
- Hwang, E.; Song, J.; Zhang, J. Integration of Nanomaterials and Bioluminescence Resonance Energy Transfer Techniques for Sensing Biomolecules. Biosensors 2019, 9, 42. [Google Scholar] [CrossRef] [PubMed]
- Sun, S.; Yang, X.; Wang, Y.; Shen, X. In Vivo Analysis of Protein-Protein Interactions with Bioluminescence Resonance Energy Transfer (BRET): Progress and Prospects. Int. J. Mol. Sci. 2016, 17, 1704. [Google Scholar] [CrossRef]
- Wang, E.S.; Verano, A.L.; Nowak, R.P.; Yuan, J.C.; Donovan, K.A.; Eleuteri, N.A.; Yue, H.; Ngo, K.H.; Lizotte, P.H.; Gokhale, P.C.; et al. Acute pharmacological degradation of Helios destabilizes regulatory T cells. Nat. Chem. Biol. 2021, 17, 711–717. [Google Scholar] [CrossRef]
- Gao, H.; Sun, X.; Rao, Y. PROTAC Technology: Opportunities and Challenges. ACS Med. Chem. Lett. 2020, 11, 237–240. [Google Scholar] [CrossRef] [PubMed]
- Gu, W.J.; Liu, X.X.; Shen, Y.W.; Gong, Y.T.; Chen, Y.L.; Lin, J.; Lu, D.; Zhang, L.J.; Chen, H.Z.; Jin, Y.; et al. TRIM4 enhances small-molecule-induced neddylated-degradation of CORO1A for triple negative breast cancer therapy. Theranostics 2024, 14, 7023–7041. [Google Scholar] [CrossRef]
- Li, J.; Li, C.; Zhang, Z.; Zhang, Z.; Wu, Z.; Liao, J.; Wang, Z.; McReynolds, M.; Xie, H.; Guo, L.; et al. A platform for the rapid synthesis of molecular glues (Rapid-Glue) under miniaturized conditions for direct biological screening. Eur. J. Med. Chem. 2023, 258, 115567. [Google Scholar] [CrossRef]
- Moffat, J.G.; Vincent, F.; Lee, J.A.; Eder, J.; Prunotto, M. Opportunities and challenges in phenotypic drug discovery: An industry perspective. Nat. Rev. Drug Discov. 2017, 16, 531–543. [Google Scholar] [CrossRef] [PubMed]
- Heilker, R.; Lessel, U.; Bischoff, D. The power of combining phenotypic and target-focused drug discovery. Drug Discov. Today 2019, 24, 526–532. [Google Scholar] [CrossRef] [PubMed]
- Wang, Z.; Hulikova, A.; Swietach, P. Innovating cancer drug discovery with refined phenotypic screens. Trends Pharmacol. Sci. 2024, 45, 723–738. [Google Scholar] [CrossRef]
- Nishiguchi, G.; Mascibroda, L.G.; Young, S.M.; Caine, E.A.; Abdelhamed, S.; Kooijman, J.J.; Miller, D.J.; Das, S.; McGowan, K.; Mayasundari, A.; et al. Selective CK1α degraders exert antiproliferative activity against a broad range of human cancer cell lines. Nat. Commun. 2024, 15, 482. [Google Scholar] [CrossRef]
- Mutlu, M.; Schmidt, I.; Morrison, A.I.; Goretzki, B.; Freuler, F.; Begue, D.; Simic, O.; Pythoud, N.; Ahrne, E.; Kapps, S.; et al. Small molecule induced STING degradation facilitated by the HECT ligase HERC4. Nat. Commun. 2024, 15, 4584. [Google Scholar] [CrossRef] [PubMed]
- Ting, P.Y.; Borikar, S.; Kerrigan, J.R.; Thomsen, N.M.; Aghania, E.; Hinman, A.E.; Reyes, A.; Pizzato, N.; Fodor, B.D.; Wu, F.; et al. A molecular glue degrader of the WIZ transcription factor for fetal hemoglobin induction. Science 2024, 385, 91–99. [Google Scholar] [CrossRef]
- Quinlan, C.; Jayasinghe, K. Bardoxolone Methyl for Alport Syndrome: Opportunities and Challenges. Clin. J. Am. Soc. Nephrol. 2022, 17, 1713–1715. [Google Scholar] [CrossRef]
- Wang, H.; Wang, H.; Wang, R.; Li, Y.; Wang, Z.; Zhou, W.; Deng, L.; Li, X.; Zou, L.; Yang, Q.; et al. Discovery of a molecular glue for EGFR degradation. Oncogene 2025, 44, 545–556. [Google Scholar] [CrossRef]
- Bosc, D.; Camberlein, V.; Gealageas, R.; Castillo-Aguilera, O.; Deprez, B.; Deprez-Poulain, R. Kinetic Target-Guided Synthesis: Reaching the Age of Maturity. J. Med. Chem. 2020, 63, 3817–3833. [Google Scholar] [CrossRef]
- Diehl, C.J.; Salerno, A.; Ciulli, A. Ternary Complex-Templated Dynamic Combinatorial Chemistry for the Selection and Identification of Homo-PROTACs. Angew. Chem. (Int. Ed. Engl.) 2024, 63, e202319456. [Google Scholar] [CrossRef]
- Nacheva, K.; Kulkarni, S.S.; Kassu, M.; Flanigan, D.; Monastyrskyi, A.; Iyamu, I.D.; Doi, K.; Barber, M.; Namelikonda, N.; Tipton, J.D.; et al. Going beyond Binary: Rapid Identification of Protein-Protein Interaction Modulators Using a Multifragment Kinetic Target-Guided Synthesis Approach. J. Med. Chem. 2023, 66, 5196–5207. [Google Scholar] [CrossRef]
- Holmqvist, A.; Kocaturk, N.M.; Duncan, C.; Riley, J.; Baginski, S.; Marsh, G.; Cresser-Brown, J.; Maple, H.; Juvonen, K.; Sathe, G.; et al. Discovery of a CNS active GSK3 degrader using orthogonally reactive linker screening. Nat. Commun. 2025, 16, 8857. [Google Scholar] [CrossRef]
- Forrest, I.; Conway, L.P.; Gathmann, C.; Jadhav, A.M.; Chiu, T.-Y.; Chaheine, C.M.; Estrada, M.; Shrestha, A.; Sarris, K.; Reitsma, J.M.; et al. Proteome-Wide Discovery of Degradable Proteins Using Bifunctional Molecules. ACS Cent. Sci. 2025, 11, 2240–2256. [Google Scholar] [CrossRef] [PubMed]
- Razumkov, H.; Jiang, Z.; Baek, K.; You, I.; Geng, Q.; Donovan, K.A.; Tang, M.T.; Metivier, R.J.; Mageed, N.; Seo, P.; et al. Discovery of CRBN-Dependent WEE1 Molecular Glue Degraders from a Multicomponent Combinatorial Library. J. Am. Chem. Soc. 2024, 146, 31433–31443. [Google Scholar] [CrossRef] [PubMed]
- Chu, Y.; Chen, S.; Yang, M.; Chen, Y.; Fang, H.; Huang, P.; Xie, Y.; Sun, C.; Chen, Y.; Zhang, B.; et al. A rapid imaging-based screen for induced-proximity degraders identifies a potent degrader of oncoprotein SKP2. Nat. Biotechnol. 2025; Online ahead of print. [Google Scholar] [CrossRef]
- Ding, B.; Hu, J.; Shou, B.; Jiang, L.; Yang, B.; Cao, J.; Zhu, C.L. Phenotypic Screening for Targeted Protein Degradation: Strategies, Challenges, and Emerging Opportunities. J. Med. Chem. 2025, 68, 18024–18039. [Google Scholar] [CrossRef]
- Liu, C.; Peng, H.; Chen, P.; Li, Y.; Deng, Z.; Li, S.; Yang, T.; Liu, K.; Wang, Z.; Liu, L. GSPT1 degraders: Research progress, development strategies and challenges. Bioorg. Med. Chem. 2025, 131, 118390. [Google Scholar] [CrossRef] [PubMed]
- Sano, O.; Ito, M.; Saito, M.; Toita, A.; Tanaka, T.; Maezaki, H.; Araki, S.; Iwata, H. Novel quinazolin-4(3H)-one based Cyclin K degraders regulate alternative polyadenylation activity. Biochem. Biophys. Res. Commun. 2023, 676, 6–12. [Google Scholar] [CrossRef]
- Dann, G.P.; Liu, H.; Nowak, R.P.; Jones, L.H. Cereblon target validation using a covalent inhibitor of neosubstrate recruitment. Methods Enzymol. 2023, 681, 155–167. [Google Scholar]
- Yang, M.; Fehl, C.; Lees, K.V.; Lim, E.K.; Offen, W.A.; Davies, G.J.; Bowles, D.J.; Davidson, M.G.; Roberts, S.J.; Davis, B.G. Functional and informatics analysis enables glycosyltransferase activity prediction. Nat. Chem. Biol. 2018, 14, 1109–1117. [Google Scholar] [CrossRef]
- Laggner, C.; Kokel, D.; Setola, V.; Tolia, A.; Lin, H.; Irwin, J.J.; Keiser, M.J.; Cheung, C.Y.J.; Minor, D.L.; Roth, B.L.; et al. Chemical informatics and target identification in a zebrafish phenotypic screen. Nat. Chem. Biol. 2011, 8, 144–146. [Google Scholar] [CrossRef]
- Ge, Y.; Ma, Y.; Zhao, M.; Wei, J.; Wu, X.; Zhang, Z.; Yang, H.; Lei, H.; Wu, B. Exploring gabosine and chlorogentisyl alcohol derivatives from a marine-derived fungus as EcGUS inhibitors with informatic assisted approaches. Eur. J. Med. Chem. 2022, 242, 114699. [Google Scholar] [CrossRef] [PubMed]
- Borsari, C.; Jiménez-Antón, M.D.; Eick, J.; Bifeld, E.; Torrado, J.J.; Olías-Molero, A.I.; Corral, M.J.; Santarem, N.; Baptista, C.; Severi, L.; et al. Discovery of a benzothiophene-flavonol halting miltefosine and antimonial drug resistance in Leishmania parasites through the application of medicinal chemistry, screening and genomics. Eur. J. Med. Chem. 2019, 183, 111676. [Google Scholar] [CrossRef]
- Berger, B.; Yu, Y.W. Navigating bottlenecks and trade-offs in genomic data analysis. Nat. Rev. Genet. 2023, 24, 235–250. [Google Scholar] [CrossRef]
- Robinson, T.; Harkin, J.; Shukla, P. Hardware acceleration of genomics data analysis: Challenges and opportunities. Bioinformatics 2021, 37, 1785–1795. [Google Scholar] [CrossRef] [PubMed]
- Słabicki, M.; Kozicka, Z.; Petzold, G.; Li, Y.D.; Manojkumar, M.; Bunker, R.D.; Donovan, K.A.; Sievers, Q.L.; Koeppel, J.; Suchyta, D.; et al. The CDK inhibitor CR8 acts as a molecular glue degrader that depletes cyclin K. Nature 2020, 585, 293–297. [Google Scholar] [CrossRef]
- Kozicka, Z.; Suchyta, D.J.; Focht, V.; Kempf, G.; Petzold, G.; Jentzsch, M.; Zou, C.; Di Genua, C.; Donovan, K.A.; Coomar, S.; et al. Design principles for cyclin K molecular glue degraders. Nat. Chem. Biol. 2024, 20, 93–102. [Google Scholar] [CrossRef]
- Ghosh, P.; Schmitz, M.; Pandurangan, T.; Zeleke, S.T.; Chan, S.C.; Mosior, J.; Sun, L.; Palve, V.; Grassie, D.; Anand, K.; et al. Discovery and design of molecular glue enhancers of CDK12-DDB1 interactions for targeted degradation of cyclin K. RSC Chem. Biol. 2024, 6, 36–55. [Google Scholar] [CrossRef] [PubMed]
- Houles, T.; Boucher, J.; Lavoie, G.; MacLeod, G.; Lin, S.; Angers, S.; Roux, P.P. The CDK12 inhibitor SR-4835 functions as a molecular glue that promotes cyclin K degradation in melanoma. Cell Death Discov. 2023, 9, 459. [Google Scholar] [CrossRef]
- Cerullo, A.R. Structure-guided molecular glues. Nat. Struct. Mol. Biol. 2025, 32, 1129. [Google Scholar] [CrossRef]
- Walters, W.P.; Barzilay, R. Critical assessment of AI in drug discovery. Expert. Opin. Drug Discov. 2021, 16, 937–947. [Google Scholar] [CrossRef]
- Bajorath, J.; Kearnes, S.; Walters, W.P.; Georg, G.I.; Wang, S. The Future Is Now: Artificial Intelligence in Drug Discovery. J. Med. Chem. 2019, 62, 5249. [Google Scholar] [CrossRef]
- Delile, J.; Mukherjee, S.; Mueller, J.; Khalil, I.; Zhukov, L.; Meier, C. Foundation models in drug discovery: Phenomenal growth today, transformative potential tomorrow? Drug Discov. Today 2025, 30, 104518. [Google Scholar] [CrossRef] [PubMed]
- Lloyd, L. AI for drug discovery. Nat. Rev. Urol. 2024, 21, 517. [Google Scholar] [CrossRef] [PubMed]
- Petzold, G.; Gainza, P.; Annunziato, S.; Lamberto, I.; Trenh, P.; McAllister, L.A.; DeMarco, B.; Schwander, L.; Bunker, R.D.; Zlotosch, M.; et al. Mining the CRBN target space redefines rules for molecular glue-induced neosubstrate recognition. Science 2025, 389, eadt6736. [Google Scholar] [CrossRef]
- Annunziato, S.; Quan, C.; Donckele, E.J.; Lamberto, I.; Bunker, R.D.; Zlotosch, M.; Schwander, L.; Murthy, A.; Wiedmer, L.; Staehly, C.; et al. Cereblon induces G3BP2 neosubstrate degradation using molecular surface mimicry. Nat. Struct. Mol. Biol. 2026; Online ahead of print. [Google Scholar] [CrossRef]
- Heim, C.; Spring, A.K.; Kirchgäßner, S.; Schwarzer, D.; Hartmann, M.D. Cereblon neo-substrate binding mimics the recognition of the cyclic imide degron. Biochem. Biophys. Res. Commun. 2023, 646, 30–35. [Google Scholar] [CrossRef]
- Watson, E.R.; Novick, S.; Matyskiela, M.E.; Chamberlain, P.P.; de la Peña, A.; Zhu, J.; Tran, E.; Griffin, P.R.; Wertz, I.E.; Lander, G.C. Molecular glue CELMoD compounds are regulators of cereblon conformation. Science 2022, 378, 549–553. [Google Scholar] [CrossRef] [PubMed]
- Dippon, V.N.; Rizvi, Z.; Choudhry, A.E.; Chung, C.-w.; Alkuraya, I.F.; Xu, W.; Tao, X.B.; Jurewicz, A.J.; Schneck, J.L.; Chen, W.; et al. Identification of an allosteric site on the E3 ligase adapter cereblon. Nature, 2026; Online ahead of print. [Google Scholar] [CrossRef]
- Zhu, J.; Liao, Y.; Lin, H.; Xie, J.; Deng, Z.; Han, J.; Zhang, Z.; Xiao, J.; Wang, Z.; Zhang, S.; et al. MGTbind: A comprehensive database of molecular glue ternary interactome. Nucleic Acids Res. 2025, 54, D1500–D1509. [Google Scholar] [CrossRef]
- Sun, Q.; Wang, H.; Xie, J.; Wang, L.; Mu, J.; Li, J.; Ren, Y.; Lai, L. Computer-Aided Drug Discovery for Undruggable Targets. Chem. Rev. 2025, 125, 6309–6365. [Google Scholar] [CrossRef]
- Liao, Y.; Zhu, J.; Xie, J.; Lai, L.; Pei, J. Benchmarking Cofolding Methods for Molecular Glue Ternary Structure Prediction. J. Chem. Inf. Model. 2025, 65, 11136–11148. [Google Scholar] [CrossRef]
- Spradlin, J.N.; Zhang, E.; Nomura, D.K. Reimagining Druggability Using Chemoproteomic Platforms. Acc. Chem. Res. 2021, 54, 1801–1813. [Google Scholar] [CrossRef]
- Luo, J.; Gao, Q.; Tan, K.; Zhang, S.; Shi, W.; Luo, L.; Li, Z.; Khedr, G.E.; Chen, J.; Xu, Y.; et al. Lysosome Targeting Chimaeras for Glut1-Facilitated Targeted Protein Degradation. J. Am. Chem. Soc. 2024, 146, 17728–17737. [Google Scholar] [CrossRef] [PubMed]
- Jiang, S.; Liu, K.; Jiang, T.; Li, H.; Wei, X.; Wan, X.; Zhong, C.; Gong, R.; Chen, Z.; Zou, C.; et al. Harnessing artificial intelligence to identify Bufalin as a molecular glue degrader of estrogen receptor alpha. Nat. Commun. 2025, 16, 7854. [Google Scholar] [CrossRef] [PubMed]
- Liu, T.T.; Yang, H.; Zhuo, F.F.; Yang, Z.; Zhao, M.M.; Guo, Q.; Liu, Y.; Liu, D.; Zeng, K.W.; Tu, P.F. Atypical E3 ligase ZFP91 promotes small-molecule-induced E2F2 transcription factor degradation for cancer therapy. EBioMedicine 2022, 86, 104353. [Google Scholar] [CrossRef]
- Li, Y.D.; Ma, M.W.; Hassan, M.M.; Hunkeler, M.; Teng, M.; Puvar, K.; Rutter, J.C.; Lumpkin, R.J.; Sandoval, B.; Jin, C.Y.; et al. Template-assisted covalent modification underlies activity of covalent molecular glues. Nat. Chem. Biol. 2024, 20, 1640–1649. [Google Scholar] [CrossRef]
- Lim, M.; Cong, T.D.; Orr, L.M.; Toriki, E.S.; Kile, A.C.; Papatzimas, J.W.; Lee, E.; Lin, Y.; Nomura, D.K. DCAF16-Based Covalent Handle for the Rational Design of Monovalent Degraders. ACS Cent. Sci. 2024, 10, 1318–1331. [Google Scholar] [CrossRef] [PubMed]
- Toriki, E.S.; Papatzimas, J.W.; Nishikawa, K.; Dovala, D.; Frank, A.O.; Hesse, M.J.; Dankova, D.; Song, J.G.; Bruce-Smythe, M.; Struble, H.; et al. Rational Chemical Design of Molecular Glue Degraders. ACS Cent. Sci. 2023, 9, 915–926. [Google Scholar] [CrossRef]
- Ouyang, X.; Chai, X.; Huang, L.; Chen, Y.; Li, S.; Huang, W.; Li, Y.; Ding, K.; Liu, T.; Tan, Y.; et al. Proteome-Wide Ligand and Target Discovery by Using β-Nitrostyrene Electrophiles: Supporting Targeted Protein Degradation. Angew. Chem. (Int. Ed. Engl.) 2025, 64, e202504813. [Google Scholar] [CrossRef]
- Hu, Y.; Yan, Y.; Wang, J.; Hou, J.; Lin, Q. Molecular glue degrader for tumor treatment. Front. Oncol. 2024, 14, 1512666. [Google Scholar] [CrossRef]
- Zhou, Y.; Garrigues, S.L.; Villemure, E.; Ishisoko, N.; Nguyen, H.Q.; Hamidi, N.K.; Vogt, R.; Wang, Y.; Blake, R.A.; Rudolph, J.; et al. Heteroaryl Glutarimides and Dihydrouracils as Cereblon Ligand Scaffolds for Molecular Glue Degrader Discovery. ACS Med. Chem. Lett. 2024, 15, 2158–2163. [Google Scholar] [CrossRef]
- Li, D.; Cheng, J.; Yuan, Z.; Deng, K. Evolution and impact of molecular glue research: A bibliometric analysis from 2000 to 2023. Front. Oncol. 2024, 14, 1401257. [Google Scholar] [CrossRef] [PubMed]
- Park, J.; Joo, M.S.; Kim, M.J.; Oh, S.; Tran, P.T.; Kwon, M.; Choi, Y.J.; Lee, J.; Kim, E.J.; Ki, D.H.; et al. High cereblon expression in neuroendocrine cancer confers vulnerability to GSPT1 molecular glue degrader. Exp. Hematol. Oncol. 2025, 14, 89. [Google Scholar] [CrossRef] [PubMed]
- Park, S.; Takwale, A.D.; Lee, J.E.; Yu, N.; Kim, Y.H.; Lee, J.Y.; Cho, Y.H.; Cho, J.H.; Moon, J.H.; Lee, G.; et al. Discovery of a novel molecular glue degrader targeting GSPT1/2 with a non-IMiD-based CRBN binder. Eur. J. Med. Chem. 2025, 291, 117642. [Google Scholar] [CrossRef]
- Geng, Q.; Jiang, Z.; Byun, W.S.; Donovan, K.A.; Zhuang, Z.; Jiang, F.; Jones, H.M.; Razumkov, H.; Tang, M.T.; Sarott, R.C.; et al. Development of Potent and Selective CK1α Molecular Glue Degraders. J. Med. Chem. 2025, 68, 3180–3196. [Google Scholar] [CrossRef]
- Byun, W.S.; Zhuang, Z.; Hnatiuk, A.P.; Jin, C.; Jiang, Z.; Baek, K.; Chao, E.; Donovan, K.A.; Fischer, E.S.; Mercola, M.; et al. Discovery of BRD9 Molecular Glue Degraders That Spare Cardiomyocytes. J. Am. Chem. Soc. 2025, 147, 35481–35492. [Google Scholar] [CrossRef] [PubMed]
- Xu, Y.; Zhao, W.; Nie, H.J.; Wang, J.; Fu, J.; Hu, H.; Liu, Z.; Tao, S.; Zhang, M.; Zhou, Y.; et al. Cross-Linking Profiling of Molecular Glue Degrader-Induced E3 Ligase Interactome to Expand Target Space. Angew. Chem. (Int. Ed. Engl.) 2025, 64, e202505053. [Google Scholar] [CrossRef]
- Zhuang, Z.; Byun, W.S.; Kozicka, Z.; Donovan, K.A.; Dwyer, B.G.; Thornhill, A.M.; Jones, H.M.; Jiang, Z.; Zhu, X.; Fischer, E.S.; et al. Rational Design of CDK12/13 and BRD4 Molecular Glue Degraders. Angew. Chem. (Int. Ed. Engl.) 2025, 64, e202508427. [Google Scholar] [CrossRef]
- Chen, Z.; Dhruv, H.; Zhang, X.; Rej, R.K.; Bai, L.; McEachern, D.; Kirchhoff, P.; Nagilla, R.; Jolivette, L.J.; Rice, C.T.; et al. Development of PVTX-405 as a potent and highly selective molecular glue degrader of IKZF2 for cancer immunotherapy. Nat. Commun. 2025, 16, 4095. [Google Scholar] [CrossRef]
- Zhu, Z.; Zhou, X.; Xu, M.; Chen, J.; Robertson, K.C.; Atassi, G.N.; Woodcock, M.G.; Mills, A.C.; Herring, L.E.; Dotti, G.; et al. Molecular glue degrader function of SPOP enhances STING-dependent immunotherapy efficacy in melanoma models. J. Clin. Investig. 2025, 135, e191772. [Google Scholar] [CrossRef]
- An, J.; Zhang, X. Crbn-based molecular Glues: Breakthroughs and perspectives. Bioorg. Med. Chem. 2024, 104, 117683. [Google Scholar] [CrossRef]
- Labhade, S.; Bhole, R.; Karwa, P.; Kapare, H.; Singh, S. Mapping the global landscape of molecular glues in drug discovery: A bibliometric analysis from 2010 to 2024. Naunyn-Schmiedeberg’s Arch. Pharmacol. 2025; Online ahead of print. [Google Scholar] [CrossRef]
- Lin, Q.; Liu, W.; Lu, W.; Zhao, M.; Cao, L.; Li, Z.; Wang, J.; Xu, X.; Wu, H. Cancer Biology of GSPT1: Mechanisms and Targeted Therapy Opportunities of Molecular Glue Degraders. Adv. Sci. 2025, 12, e11789. [Google Scholar] [CrossRef]
- Ito, T.; Handa, H. Cereblon as a primary target of IMiDs. Jpn. J. Clin. Hematol. 2019, 60, 1013–1019. [Google Scholar]
- Ito, T.; Handa, H. Molecular mechanisms of thalidomide and its derivatives. Proc. Jpn. Acad. Ser. B Phys. Biol. Sci. 2020, 96, 189–203. [Google Scholar] [CrossRef]
- Loberg, L.I.; Proctor, W.R.; Burdick, A.D.; Cauvin, A.; DeLise, A.M.; Hemkens, M.; Hohlbaum, A.M.; Hukkanen, R.; Sedgwick, A.E.; Shuey, D.; et al. Nonclinical teratogenicity safety assessment of CRBN-engaging targeted protein degraders: Points to consider. Regul. Toxicol. Pharmacol. RTP 2025, 158, 105793. [Google Scholar] [CrossRef]
- Zhou, L.; Xu, G. The Ubiquitination-Dependent and -Independent Functions of Cereblon in Cancer and Neurological Diseases. J. Mol. Biol. 2022, 434, 167457. [Google Scholar] [CrossRef] [PubMed]
- Enerson, B.E.; Cappon, G.; Shi, Y.; Walther, D.M.; Campbell, V.; Chen, D.; Kuhn, E.; Massa, G.; Ho, C.; Zheng, X.; et al. Developmental Toxicology Profile of the IRAK4 Degrader KT-474. Toxicol. Sci. Off. J. Soc. Toxicol. 2025, kfaf170. [Google Scholar] [CrossRef] [PubMed]
- Zheng, X.; Ji, N.; Campbell, V.; Slavin, A.; Zhu, X.; Chen, D.; Rong, H.; Enerson, B.; Mayo, M.; Sharma, K.; et al. Discovery of KT-474—A Potent, Selective, and Orally Bioavailable IRAK4 Degrader for the Treatment of Autoimmune Diseases. J. Med. Chem. 2024, 67, 18022–18037. [Google Scholar] [CrossRef]
- Huang, K.; Luo, P.; Li, C.H.; Huang, N.; Yao, K.; Lan, X.X.; Du, L.F.; Miao, Y.; Tang, Q.; Xu, Y.; et al. Design, synthesis, and biological evaluation of novel PROTACs based on unnatural dipeptide CRBN ligands. Eur. J. Med. Chem. 2026, 303, 118387. [Google Scholar] [CrossRef] [PubMed]
- Federspiel, J.D.; Catlin, N.R.; Nowland, W.S.; Stethem, C.M.; Mathialagan, N.; Fernandez Ocaña, M.; Bowman, C.J. Differential Analysis of Cereblon Neosubstrates in Rabbit Embryos Using Targeted Proteomics. Mol. Cell. Proteom. MCP 2024, 23, 100797. [Google Scholar] [CrossRef]
- Hatakeyama, K.; Kikushige, Y.; Ishihara, D.; Yamamoto, S.; Kawano, G.; Tochigi, T.; Miyamoto, T.; Sakoda, T.; Christoforou, A.; Kunisaki, Y.; et al. Thrombospondin-1 is an endogenous substrate of cereblon responsible for immunomodulatory drug-induced thromboembolism. Blood Adv. 2024, 8, 785–796. [Google Scholar] [CrossRef]
- Patil, A.; Manzano, M.; Gottwein, E. CK1α and IRF4 are essential and independent effectors of immunomodulatory drugs in primary effusion lymphoma. Blood 2018, 132, 577–586. [Google Scholar] [CrossRef]
- Tao, Y.; Lu, Y.; Yu, B.; Wang, Y. Molecular glue meets antibody: Next-generation antibody-drug conjugates. Trends Pharmacol. Sci. 2025, 46, 520–534. [Google Scholar] [CrossRef]
- Chase, D.H.; Stein, A.; Grinshpun, D.E.; Krone, M.W.; Crews, C.M. Design and Application of Cereblon-Recruiting Prodegraders. J. Am. Chem. Soc. 2025, 147, 24527–24537. [Google Scholar] [CrossRef]
- Croitoru, A.; Orr, A.A.; MacKerell, A.D., Jr. Harnessing computational technologies to facilitate antibody-drug conjugate development. Nat. Chem. Biol. 2025, 21, 1138–1147. [Google Scholar] [CrossRef] [PubMed]
- Ashman, N.; Bargh, J.D.; Spring, D.R. Non-internalising antibody-drug conjugates. Chem. Soc. Rev. 2022, 51, 9182–9202. [Google Scholar] [CrossRef] [PubMed]
- Dragovich, P.S. Degrader-antibody conjugates. Chem. Soc. Rev. 2022, 51, 3886–3897. [Google Scholar] [CrossRef]
- Poudel, Y.B.; Thakore, R.R.; Chekler, E.P. The New Frontier: Merging Molecular Glue Degrader and Antibody-Drug Conjugate Modalities To Overcome Strategic Challenges. J. Med. Chem. 2024, 67, 15996–16001. [Google Scholar] [CrossRef] [PubMed]
- Hong, K.B.; An, H. Degrader-Antibody Conjugates: Emerging New Modality. J. Med. Chem. 2023, 66, 140–148. [Google Scholar] [CrossRef]
- Gosavi, P.M.; Ngan, K.C.; Yeo, M.J.R.; Su, C.; Li, J.; Lue, N.Z.; Hoenig, S.M.; Liau, B.B. Profiling the Landscape of Drug Resistance Mutations in Neosubstrates to Molecular Glue Degraders. ACS Cent. Sci. 2022, 8, 417–429. [Google Scholar] [CrossRef]
- Jiang, B.; Gao, Y.; Che, J.; Lu, W.; Kaltheuner, I.H.; Dries, R.; Kalocsay, M.; Berberich, M.J.; Jiang, J.; You, I.; et al. Discovery and resistance mechanism of a selective CDK12 degrader. Nat. Chem. Biol. 2021, 17, 675–683. [Google Scholar] [CrossRef] [PubMed]
- Schröder, M.; Renatus, M.; Liang, X.; Meili, F.; Zoller, T.; Ferrand, S.; Gauter, F.; Li, X.; Sigoillot, F.; Gleim, S.; et al. DCAF1-based PROTACs with activity against clinically validated targets overcoming intrinsic- and acquired-degrader resistance. Nat. Commun. 2024, 15, 275. [Google Scholar] [CrossRef] [PubMed]
- Kuemper, S.; Cairns, A.G.; Birchall, K.; Yao, Z.; Large, J.M. Targeted protein degradation in CNS disorders: A promising route to novel therapeutics? Front. Mol. Neurosci. 2024, 17, 1370509. [Google Scholar] [CrossRef] [PubMed]
- Lewis, T.A.; Ellermann, M.; Kopitz, C.; Lange, M.; de Waal, L.; Wu, X.; Tersteegen, A.; Denner, K.; Lienau, P.; Kaulfuss, S.; et al. Discovery of BAY 2666605, a Molecular Glue for PDE3A and SLFN12. ACS Med. Chem. Lett. 2024, 15, 1662–1667. [Google Scholar] [CrossRef]
- Aquilanti, E.; Goldoni, S.; Baker, A.; Kotynkova, K.; Andersen, S.; Bozinov, V.; Gao, G.F.; Cherniack, A.D.; Lange, M.; Lesche, R.; et al. Velcrin molecular glues induce apoptosis in glioblastomas with high PDE3A and SLFN12 expression. Neurooncol. Adv. 2024, 6, vdae115. [Google Scholar] [CrossRef]
- Bond, A.G.; Muñoz, I.O.M.; Bisbach, C.M.; Craigon, C.; Makukhin, N.; Caine, E.A.; Nagala, M.; Urh, M.; Winter, G.E.; Riching, K.M.; et al. Leveraging Dual-Ligase Recruitment to Enhance Protein Degradation via a Heterotrivalent Proteolysis Targeting Chimera. J. Am. Chem. Soc. 2024, 146, 33675–33711. [Google Scholar] [CrossRef]
- Spiteri, V.A.; Segal, D.; Correa-Sáez, A.; Iso, K.; Casement, R.; Muñoz i Ordoño, M.; Nakasone, M.A.; Sathe, G.; Schätz, C.; Peters, H.E.; et al. Dual E3 ligase recruitment by monovalent degraders enables redundant and tuneable degradation of SMARCA2/4. bioRxiv 2025. bioRxiv:2025.08.04.668513. [Google Scholar] [CrossRef]
- Sevilla-Carrillo, I.; Hermida-Merino, C.; Posadas, I.; Kreuzer, M.; Noblejas-López, M.D.M.; Ocaña, A.; Valcárcel, J.; Hermida-Merino, D.; Piñeiro, M.M.; Alonso-Moreno, C.; et al. Tuna Collagen-Based hydrogels for the targeted delivery of BET inhibitors and BET-PROTACs in breast cancer therapy. Eur. J. Pharm. Biopharm. 2025, 217, 114898. [Google Scholar] [CrossRef]
- Shramova, E.I.; Shilova, M.V.; Ryabova, A.V.; Dzhalilova, D.S.; Zolotova, N.A.; Telegin, G.B.; Deyev, S.M.; Proshkina, G.M. Barnase* Barstar-guided two-step targeting approach for drug delivery to tumor cells in vivo. J. Control. Release 2021, 340, 200–208. [Google Scholar] [CrossRef]
- Torres, C.; Dumas, S.; Palacio-Castañeda, V.; Descroix, S.; Brock, R.; Verdurmen, W.P.R. A Computational Investigation of In Vivo Cytosolic Protein Delivery for Cancer Therapy. Pharmaceutics 2021, 13, 562. [Google Scholar] [CrossRef]
- Li, T.; Hogenhout, S.A.; Huang, W. Ubiquitin-Independent Degradation: An Emerging PROTAC Approach? Bioessays 2025, 47, e202400161. [Google Scholar] [CrossRef] [PubMed]
- Li, S.; Krüger, J.; Liu, G.; Ma, H.; Hughes, M.S.; Chakraborty, R.; Bhutani, D.; Mapara, M.Y.; Marcireau, C.; Lentzsch, S.; et al. GCK inhibition enhances iberdomide antimyeloma effects by promoting IKZF1 degradation via a CRBN-independent mechanism. Blood Neoplasia 2025, 2, 100130. [Google Scholar] [CrossRef] [PubMed]
- Lo, D.; Dai, M.S.; Sun, X.X.; Zeng, S.X.; Lu, H. Ubiquitin- and MDM2 E3 ligase-independent proteasomal turnover of nucleostemin in response to GTP depletion. J. Biol. Chem. 2012, 287, 10013–10020. [Google Scholar] [CrossRef] [PubMed]
- Lu, P.; Cheng, Y.; Xue, L.; Ren, X.; Xu, X.; Chen, C.; Cao, L.; Li, J.; Wu, Q.; Sun, S.; et al. Selective degradation of multimeric proteins by TRIM21-based molecular glue and PROTAC degraders. Cell 2024, 187, 7126–7142.e20. [Google Scholar] [CrossRef]
- Sun, X.; Saha, D.; Wang, X.; Mörman, C.; Sternke-Hoffmann, R.; Gerez, J.A.; Herranz-Trillo, F.; Riek, R.; Zheng, W.; Luo, J. Spermine modulation of Alzheimer’s Tau and Parkinson’s α-synuclein: Implications for biomolecular condensation and neurodegeneration. Nat. Commun. 2025, 16, 10239. [Google Scholar] [CrossRef]
- Ge, R.X.; Chen, M.; Li, Q.C.; Liu, M.; Zhou, J.; Xie, S.B. Targeting neurodegenerative disease-associated protein aggregation with proximity-inducing modalities. Acta Pharmacol. Sin. 2025, 46, 2337–2346. [Google Scholar] [CrossRef]
- Katz, L.S.; Visser, E.J.; Plitzko, K.F.; Pennings, M.A.M.; Cossar, P.J.; Tse, I.L.; Kaiser, M.; Brunsveld, L.; Ottmann, C.; Scott, D.K. Molecular glues of the regulatory ChREBP/14-3-3 complex protect beta cells from glucolipotoxicity. Nat. Commun. 2025, 16, 2110. [Google Scholar] [CrossRef]
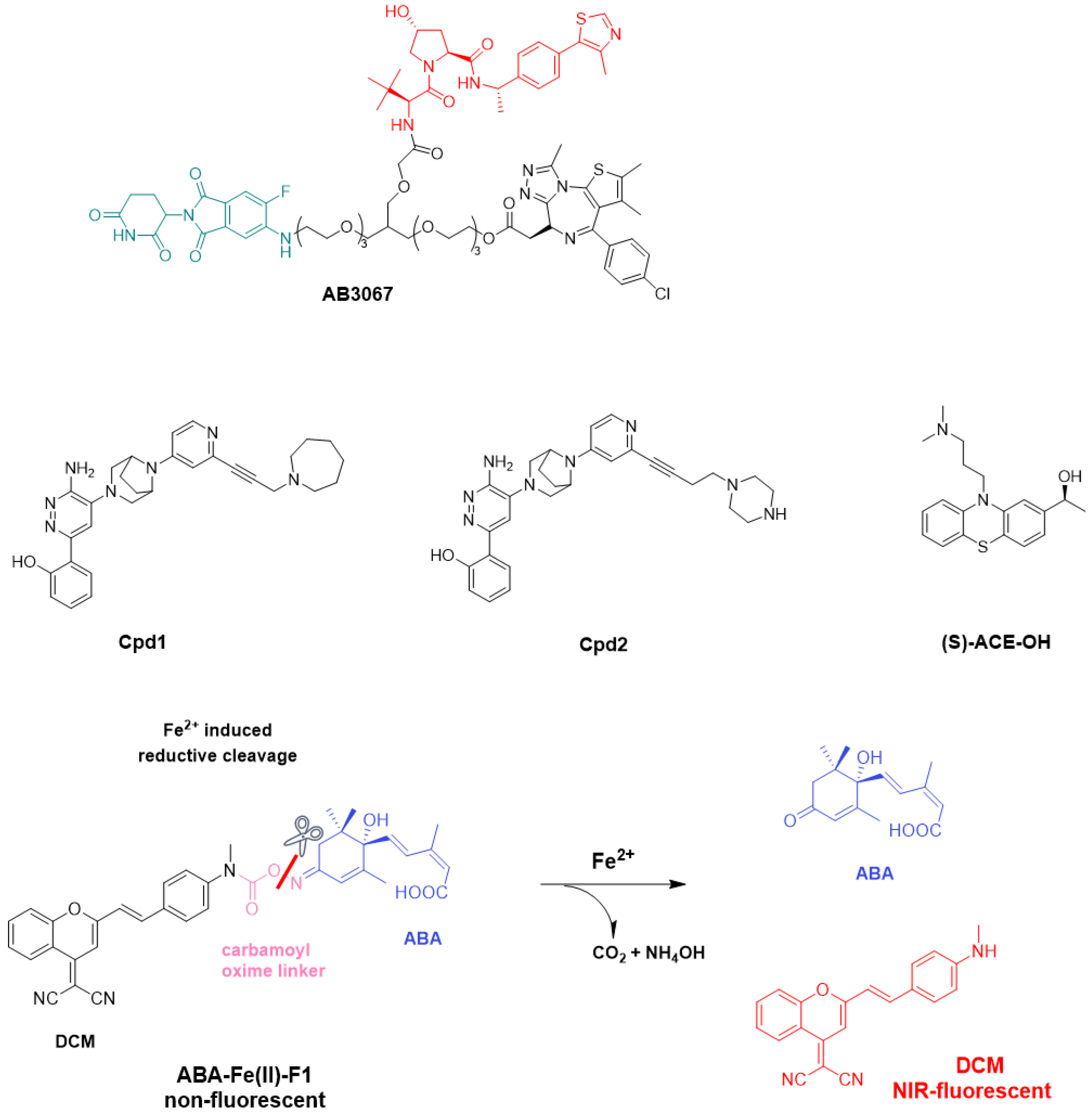
- Chen, J.; Nguyen, H.T.X.; Yang, M.; Zeng, F.; Xu, H.; Liang, F.S.; Wang, W. A theranostic abscisic acid-based molecular glue. Chem. Sci. 2023, 14, 3377–3384. [Google Scholar] [CrossRef]















Disclaimer/Publisher’s Note: The statements, opinions and data contained in all publications are solely those of the individual author(s) and contributor(s) and not of MDPI and/or the editor(s). MDPI and/or the editor(s) disclaim responsibility for any injury to people or property resulting from any ideas, methods, instructions or products referred to in the content. |
© 2026 by the authors. Licensee MDPI, Basel, Switzerland. This article is an open access article distributed under the terms and conditions of the Creative Commons Attribution (CC BY) license.
Share and Cite
Zhang, Y.; Li, L.; Xu, J.; Che, C.; Jia, J.; Lu, H.; You, Q.; Xu, X. A Novel Paradigm for Targeting Challenging Targets: Advancing Technologies and Future Directions of Molecular Glue Degraders. Molecules 2026, 31, 459. https://doi.org/10.3390/molecules31030459
Zhang Y, Li L, Xu J, Che C, Jia J, Lu H, You Q, Xu X. A Novel Paradigm for Targeting Challenging Targets: Advancing Technologies and Future Directions of Molecular Glue Degraders. Molecules. 2026; 31(3):459. https://doi.org/10.3390/molecules31030459
Chicago/Turabian StyleZhang, Yifan, Linlin Li, Jiajia Xu, Chunchen Che, Jiaqing Jia, Haohao Lu, Qidong You, and Xiaoli Xu. 2026. "A Novel Paradigm for Targeting Challenging Targets: Advancing Technologies and Future Directions of Molecular Glue Degraders" Molecules 31, no. 3: 459. https://doi.org/10.3390/molecules31030459
APA StyleZhang, Y., Li, L., Xu, J., Che, C., Jia, J., Lu, H., You, Q., & Xu, X. (2026). A Novel Paradigm for Targeting Challenging Targets: Advancing Technologies and Future Directions of Molecular Glue Degraders. Molecules, 31(3), 459. https://doi.org/10.3390/molecules31030459















