Photo-Enhanced Peroxymonosulfate Activation via Well-Dispersed Cobalt Nanoparticles Encapsulated on Carbon Nitride for 2,8-Dichlorodibenzo-p-dioxin Removal
Abstract
1. Introduction
2. Results and Discussion
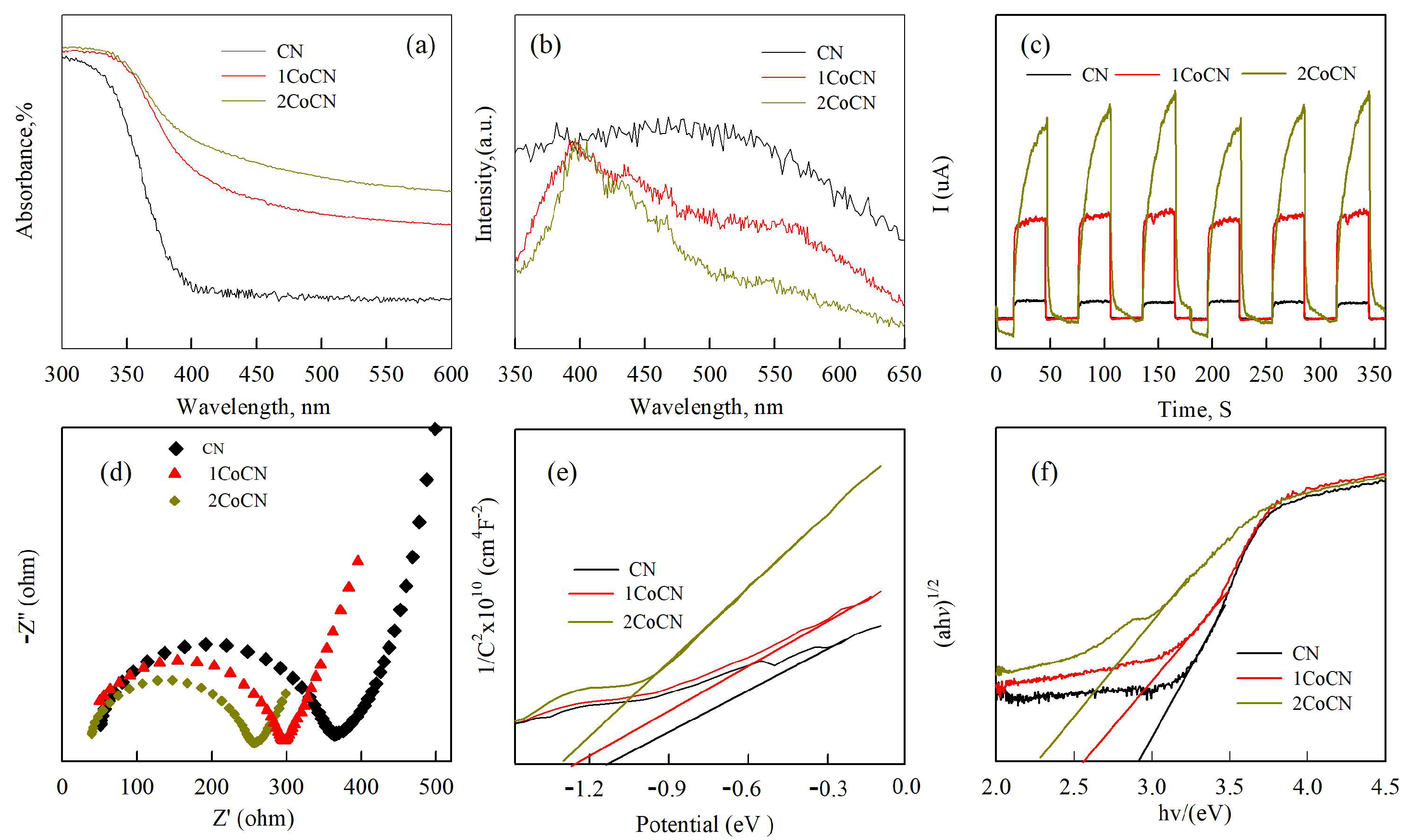
2.1. Analysis of the Characteristics of xCoCNs
2.2. Removal of 2,8-DCDD in the Vis+PMS+2CoCN System
2.3. Effects of Different Reaction Parameters
2.4. Photocatalytic Mechanism of xCoCNs
3. Materials and Methods
3.1. Materials
3.2. Synthesis of Catalysts
3.3. Characterization
3.4. Degradation Setup of 2,8-DCDD
3.5. Chemical Analysis
4. Conclusions
Author Contributions
Funding
Institutional Review Board Statement
Informed Consent Statement
Data Availability Statement
Acknowledgments
Conflicts of Interest
References
- Liu, G.; Jia, J.; Zhong, J.; Yang, Y.; Bao, Y.; Zhu, Q. TCDD-induced IL-24 secretion in human chorionic stromal cells inhibits placental trophoblast cell migration and invasion. Reprod. Toxicol. 2022, 108, 10–17. [Google Scholar] [CrossRef] [PubMed]
- Naile, J.E.; Khim, J.S.; Wang, T.; Wan, Y.; Luo, W.; Hu, W.; Jiao, W.; Park, J.; Ryu, J.; Hong, S.; et al. Sources and distribution of polychlorinated-dibenzo-p-dioxins and -dibenzofurans in soil and sediment from the Yellow Sea region of China and Korea. Environ. Pollut. 2011, 159, 907–917. [Google Scholar] [CrossRef] [PubMed]
- Zhang, L.; Yin, S.X.; Li, J.G.; Zhao, Y.F.; Wu, Y.N. Increase of polychlorinated dibenzo-dioxins and dibenzofurans and dioxin-like polychlorinated biphenyls in human milk from China in 2007–2011. Int. J. Hyg. Environ. Health 2016, 219, 843–849. [Google Scholar] [CrossRef] [PubMed]
- Sobek, A.; Arp, H.P.H.; Wiberg, K.; Hedman, J.; Cornelissen, G. Aerosol–water distribution of pcdd/fs and pcbs in the baltic sea region. Environ. Sci. Technol. 2013, 47, 781–789. [Google Scholar] [CrossRef]
- Lundin, L.; Aurell, J.; Marklund, S. The behavior of PCDD and PCDF during thermal treatment of waste incineration ash. Chemosphere 2011, 84, 305–310. [Google Scholar] [CrossRef]
- Godinho, M.; Marcilio, N.R.; Masotti, L.; Martins, C.B.; Ritter, D.E.; Wenzel, B.M. Formation of PCDD and PCDF in the thermal treatment of footwear leather wastes. J. Hazard. Mater. 2009, 167, 1100–1105. [Google Scholar] [CrossRef]
- Haffer, U.; Rotard, W.; Mailahn, W. Synthesis of polyfluorinated dibenzo-p-dioxins. Chemosphere 1994, 29, 1803–1809. [Google Scholar] [CrossRef]
- Hrabák, P.; Homolková, M.; Waclawek, S.; Cerník, M. Chemical Degradation of Pcdd/F in Contaminated Sediment. Ecol. Chem. Eng. 2016, 23, 473–482. [Google Scholar] [CrossRef][Green Version]
- Bunge, M.; Ballerstedt, H.; Lechner, U. Regiospecific dechlorination of spiked tetra-and trichlorodibenzo-p-dioxins by anaerobic bacteria from PCDD/F-contaminated Spittelwasser sediments. Chemosphere 2001, 43, 675–681. [Google Scholar] [CrossRef]
- Zeng, X.; Qu, R.; Feng, M.; Chen, J.; Wang, L.; Wang, Z. Photodegradation of polyfluorinated dibenzo-p-dioxins in organic solvents: Experimental and theoretical studies. Environ. Sci. Technol. 2016, 50, 8128–8134. [Google Scholar] [CrossRef]
- Ma, X.; Li, S.; Hou, Y.; Lv, H.; Li, J.; Cheng, T.; Yang, L.; Wu, H. Adsorption of low-concentration organic pollutants from typical coal-fired power plants by activated carbon injection. Process Saf. Environ. Prot. 2022, 159, 1174–1183. [Google Scholar] [CrossRef]
- Ma, X.; Hou, Y.; Yang, L.; Lv, H. Adsorption behaviors of VOCs under coal-combustion flue gas environment using activated carbon injection coupled with bag filtering system. Colloids Surf. A Physicochem. Eng. Asp. 2021, 627, 127158. [Google Scholar] [CrossRef]
- Ding, J.; Lu, S.; Shen, L.; Yan, R.; Zhang, Y.; Zhang, H. Enhanced photocatalytic reduction for the dechlorination of 2-chlorodibenzo-p-dioxin by high-performance g-C3N4/NiO heterojunction composites under ultraviolet-visible light illumination. J. Hazard. Mater. 2020, 384, 121255. [Google Scholar] [CrossRef]
- Zhang, H.; Zhang, Y.; Zhong, Y.; Ding, J. Novel strategies for 2, 8-dichlorodibenzo-p-dioxin degradation using ternary Au-modified iron doped TiO2 catalysts under UV-vis light illumination. Chemosphere 2022, 291, 132826. [Google Scholar] [CrossRef]
- Armaković, S.J.; Savanović, M.M.; Armaković, S. Spray-Deposited TiO2 Layers on Aluminum Foil for Sustainable Water Remediation. Crystals 2024, 14, 875. [Google Scholar] [CrossRef]
- Srivastava, S.K. Recent advances in removal of pharmaceutical pollutants in wastewater using metal oxides and carbonaceous materials as photocatalysts: A review. Electronic supplementary information (ESI) available. RSC Appl. Interfaces 2024, 1, 340–429. [Google Scholar] [CrossRef]
- Chen, N.; Lee, D.; Kang, H.; Cha, D.; Lee, J.; Lee, C. Catalytic persulfate activation for oxidation of organic pollutants: A critical review on mechanisms and controversies. J. Environ. Chem. Eng. 2022, 10, 107654. [Google Scholar] [CrossRef]
- Lee, Y.; Cui, M.; Choi, J.; Kim, J.; Khim, J. Treatment of polychlorinated dibenzo-p-dioxins and dibenzofurans contaminated soil using S2O82− with ferrous ion and heat as activating methods. Chem. Eng. J. 2020, 384, 123299. [Google Scholar] [CrossRef]
- Zeng, X.; Wang, L.; Zhang, Y.; Zhou, S.; Yu, Z.; Liu, X.; Chen, C. Enhanced removal of organic pollutants by ball-milled FeS/ZVI activated persulfate process: Characterization, performance, and mechanisms. Surf. Interfaces 2022, 29, 101697. [Google Scholar] [CrossRef]
- Li, Y.; Wei, J.; Cui, N.; Li, J.; Xu, M.; Pan, G.; Jiang, Z.; Cui, X.; Niu, X.; Li, J. Recent advance of atomically dispersed dual-metal sites carbocatalysts: Properties, synthetic materials, catalytic mechanisms, and applications in persulfate-based advanced oxidation process. Adv. Funct. Mater. 2023, 33, 2301229. [Google Scholar] [CrossRef]
- Zhang, Y.; He, Z.; Zhou, J.; Huang, Y.; Li, W.; Li, Y.; Li, Y.; Bi, H.; Chang, F.; Zhang, H. Amorphous Co@ TiO2 heterojunctions: A high-performance and stable catalyst for the efficient degradation of sulfamethazine via peroxymonosulfate activation. Chemosphere 2022, 307, 135681. [Google Scholar] [CrossRef] [PubMed]
- Zhang, Y.; Li, Y.; Bi, H.; Zhou, S.; Chen, J.; Zhang, S.; Huang, Y.; Chang, F.; Zhang, H.; Wågberg, T. Nanomanganese cobaltate-decorated halloysite nanotubes for the complete degradation of ornidazole via peroxymonosulfate activation. J. Colloid Interface Sci. 2023, 630, 855–866. [Google Scholar] [CrossRef] [PubMed]
- He, Z.; Wang, H.; Li, M.; Feng, L.; Niu, J.; Li, Z.; Jia, X.; Hu, G. Amorphous cobalt oxide decorated halloysite nanotubes for efficient sulfamethoxazole degradation activated by peroxymonosulfate. J. Colloid Interface Sci. 2022, 607, 857–868. [Google Scholar] [CrossRef]
- Zhang, C.; Qin, D.; Zhou, Y.; Qin, F.; Wang, H.; Wang, W.; Yang, Y.; Zeng, G. Dual optimization approach to Mo single atom dispersed g-C3N4 photocatalyst: Morphology and defect evolution. Appl. Catal. B Environ. 2022, 303, 120904. [Google Scholar] [CrossRef]
- Miao, H.; Zhang, X.; Zhang, X.; Zhang, W.; Wang, T.; Yang, Z.; Fan, Q.; Kong, C. Activation of peroxymonosulfate by cobalt doped carbon nitride for gaseous VOC degradation. Chem. Eng. J. 2024, 485, 149743. [Google Scholar] [CrossRef]
- Liu, N.; Lu, N.; Yu, H.; Chen, S.; Quan, X. Degradation of aqueous bisphenol A in the CoCN/Vis/PMS system: Catalyst design, reaction kinetic and mechanism analysis. Chem. Eng. J. 2021, 407, 127228. [Google Scholar] [CrossRef]
- Sun, P.; Yu, H.; Liu, T.; Li, Y.; Wang, Z.; Xiao, Y.; Dong, X. Efficiently photothermal conversion in a MnOx-based monolithic photothermocatalyst for gaseous formaldehyde elimination. Chin. Chem. Lett. 2022, 33, 2564–2568. [Google Scholar] [CrossRef]
- Yan, S.; Shi, Y.; Tao, Y.; Zhang, H. Enhanced persulfate-mediated photocatalytic oxidation of bisphenol A using bioelectricity and a g-C3N4/Fe2O3 heterojunction. Chem. Eng. J. 2019, 359, 933–943. [Google Scholar] [CrossRef]
- Tian, B.; Ho, D.; Qin, J.; Hu, J.; Chen, Z.; Voiry, D.; Wang, Q.; Zeng, Z. Framework structure engineering of polymeric carbon nitrides and its recent applications. Prog. Mater. Sci. 2023, 133, 101056. [Google Scholar] [CrossRef]
- Zhang, G.; Huang, C.; Wang, X. Dispersing molecular cobalt in graphitic carbon nitride frameworks for photocatalytic water oxidation. Small 2015, 11, 1215–1221. [Google Scholar] [CrossRef]
- Fu, Y.; Zhu, J.; Hu, C.; Wu, X.; Wang, X. Covalently coupled hybrid of graphitic carbon nitride with reduced graphene oxide as a superior performance lithium-ion battery anode. Nanoscale 2014, 6, 12555–12564. [Google Scholar] [CrossRef] [PubMed]
- Jia, G.; Hu, Y.; Qian, Q.; Yao, Y.; Zhang, S.; Li, Z.; Zou, Z. Formation of hierarchical structure composed of (Co/Ni) Mn-LDH nanosheets on MWCNT backbones for efficient electrocatalytic water oxidation. ACS Appl. Mater. Interfaces 2016, 8, 14527–14534. [Google Scholar] [CrossRef] [PubMed]
- Zhang, H.; Zong, R.; Zhu, Y. Photocorrosion inhibition and photoactivity enhancement for zinc oxide via hybridization with monolayer polyaniline. J. Phys. Chem. C 2009, 113, 4605–4611. [Google Scholar] [CrossRef]
- Li, X.B.; Xiong, J.; Xu, Y.; Feng, Z.J.; Huang, J.T. Defect-assisted surface modification enhances the visible light photocatalytic performance of g-CN@C-TiO direct Z-scheme heterojunctions. Chin. J. Catal. 2019, 40, 424–433. [Google Scholar] [CrossRef]
- Wang, L.; Huang, X.; Han, M.; Lyu, L.; Li, T.; Gao, Y.; Zeng, Q.; Hu, C. Efficient inhibition of photogenerated electron-hole recombination through persulfate activation and dual-pathway degradation of micropollutants over iron molybdate. Appl. Catal. B Environ. 2019, 257, 117904. [Google Scholar] [CrossRef]
- Zhou, Y.; Ding, J.; Yan, W.; Meng, Y.; Yu, B.; Wen, T.; Yue, Y.; Zhong, Y.; Zhang, H. Well-dispersed copper and molybdenum co-doped g-C3N4 as an excellent persulfate activator for highly efficient removal of bisphenol a in wastewater. Sep. Purif. Technol. 2024, 335, 126195. [Google Scholar] [CrossRef]
- Zeng, Z.; Yan, Y.; Chen, J.; Zan, P.; Tian, Q.; Chen, P. Boosting the photocatalytic ability of Cu2O nanowires for CO2 conversion by MXene quantum dots. Adv. Funct. Mater. 2019, 29, 1806500. [Google Scholar] [CrossRef]
- Wang, S.; Wang, J. Single atom cobalt catalyst derived from co-pyrolysis of vitamin B12 and graphitic carbon nitride for PMS activation to degrade emerging pollutants. Appl. Catal. B Environ. 2023, 321, 122051. [Google Scholar] [CrossRef]
- Shao, Y.; Wu, H.; Huang, W.; Jin, Q.; Wu, L.; Zhang, X.; Xu, H. Co-doped carbon nitride nanosheets supported on SMFs for peroxymonosulfate activation to degrade tetracycline. Process Saf. Environ. Prot. 2022, 168, 487–498. [Google Scholar] [CrossRef]
- Wang, J.; Wang, S. Effect of inorganic anions on the performance of advanced oxidation processes for degradation of organic contaminants. Chem. Eng. J. 2021, 411, 128392. [Google Scholar] [CrossRef]
- Liu, B.; Guo, W.; Wang, H.; Zheng, S.; Si, Q.; Zhao, Q.; Luo, H.; Ren, N. Peroxymonosulfate activation by cobalt(II) for degradation of organic contaminants via high-valent cobalt-oxo and radical species. J. Hazard. Mater. 2021, 416, 125679. [Google Scholar] [CrossRef] [PubMed]
- Yan, W.; Li, C.; Meng, Y.; Yue, Y.; Wen, T.; Ding, J.; Zhang, H. Cobalt-Doped Carbon Nitride for Efficient Removal of Microcystis aeruginosa via Peroxymonosulfate Activation. Toxins 2024, 16, 455. [Google Scholar] [CrossRef] [PubMed]
- Wang, J.; Wang, S. Activation of persulfate (PS) and peroxymonosulfate (PMS) and application for the degradation of emerging contaminants. Chem. Eng. J. 2018, 334, 1502–1517. [Google Scholar] [CrossRef]
- Ghanbari, F.; Moradi, M. Application of peroxymonosulfate and its activation methods for degradation of environmental organic pollutants. Chem. Eng. J. 2017, 310, 41–62. [Google Scholar] [CrossRef]
- Anipsitakis, G.P.; Dionysiou, D.D. Radical generation by the interaction of transition metals with common oxidants. Environ. Sci. Technol. 2004, 38, 3705–3712. [Google Scholar] [CrossRef]
- Zhou, T.; Li, Y.; Wong, F.-S.; Lu, X. Enhanced degradation of 2,4-dichlorophenol by ultrasound in a new Fenton like system (Fe/EDTA) at ambient circumstance. Ultrason Sonochem. 2008, 15, 782–790. [Google Scholar] [CrossRef]
- Wacławek, S.; Lutze, H.V.; Grübel, K.; Padil, V.V.T.; Černík, M.; Dionysiou, D.D. Chemistry of persulfates in water and wastewater treatment: A review. Chem. Eng. J. 2017, 330, 44–62. [Google Scholar] [CrossRef]









Disclaimer/Publisher’s Note: The statements, opinions and data contained in all publications are solely those of the individual author(s) and contributor(s) and not of MDPI and/or the editor(s). MDPI and/or the editor(s) disclaim responsibility for any injury to people or property resulting from any ideas, methods, instructions or products referred to in the content. |
© 2025 by the authors. Licensee MDPI, Basel, Switzerland. This article is an open access article distributed under the terms and conditions of the Creative Commons Attribution (CC BY) license (https://creativecommons.org/licenses/by/4.0/).
Share and Cite
Yue, Y.; Wen, T.; He, Y.; Qu, X.; Dou, J.; Zhong, Y.; Ding, J.; Zhang, H. Photo-Enhanced Peroxymonosulfate Activation via Well-Dispersed Cobalt Nanoparticles Encapsulated on Carbon Nitride for 2,8-Dichlorodibenzo-p-dioxin Removal. Molecules 2025, 30, 1917. https://doi.org/10.3390/molecules30091917
Yue Y, Wen T, He Y, Qu X, Dou J, Zhong Y, Ding J, Zhang H. Photo-Enhanced Peroxymonosulfate Activation via Well-Dispersed Cobalt Nanoparticles Encapsulated on Carbon Nitride for 2,8-Dichlorodibenzo-p-dioxin Removal. Molecules. 2025; 30(9):1917. https://doi.org/10.3390/molecules30091917
Chicago/Turabian StyleYue, Yao, Teer Wen, Yunfei He, Xuetong Qu, Jibo Dou, Yuchi Zhong, Jiafeng Ding, and Hangjun Zhang. 2025. "Photo-Enhanced Peroxymonosulfate Activation via Well-Dispersed Cobalt Nanoparticles Encapsulated on Carbon Nitride for 2,8-Dichlorodibenzo-p-dioxin Removal" Molecules 30, no. 9: 1917. https://doi.org/10.3390/molecules30091917
APA StyleYue, Y., Wen, T., He, Y., Qu, X., Dou, J., Zhong, Y., Ding, J., & Zhang, H. (2025). Photo-Enhanced Peroxymonosulfate Activation via Well-Dispersed Cobalt Nanoparticles Encapsulated on Carbon Nitride for 2,8-Dichlorodibenzo-p-dioxin Removal. Molecules, 30(9), 1917. https://doi.org/10.3390/molecules30091917
