Liposomes for Magnetic Resonance Image-Guided Drug Delivery; Lipid Chain Length Affects Drug Release and MRI Relaxivity
Abstract
1. Introduction
2. Results and Discussion
2.1. Synthesis of LCA-1 and LCA-2
2.2. Thermosensitive Liposome Preparation and Characterisation
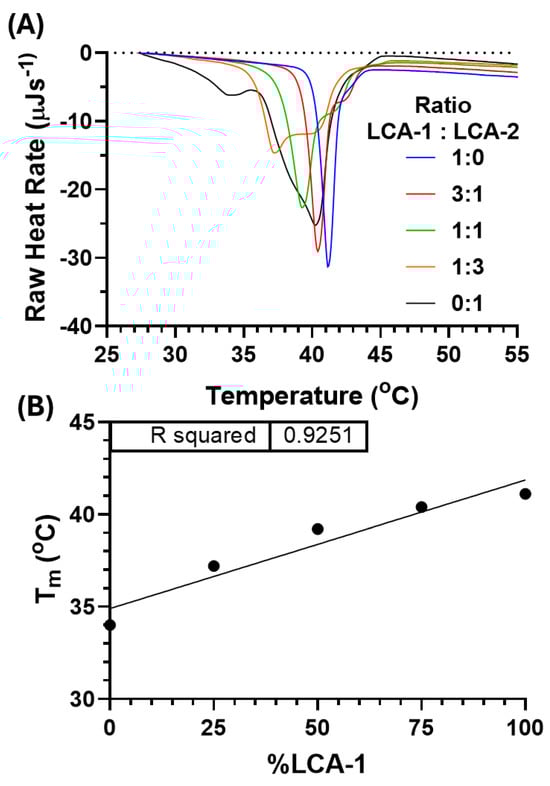
2.3. Lipid Phase-Transition Temperature Analysis of LCA-1:LCA-2 Liposomes
2.4. Topotecan Release Profile with Varied LCA-1:LCA-2 Ratios
2.5. Relaxometry of the Various LCA-1:LCA-2 Liposomes
3. Materials and Methods
3.1. Gadolinium MRI Contrast Lipid Synthesis
3.2. Liposome Preparation
3.3. DLS and ζ-Potential
3.4. Differential Scanning Calorimetry
3.5. Topotecan Release In Vitro
3.6. Relaxivity (r1) Measurements
4. Conclusions
Author Contributions
Funding
Institutional Review Board Statement
Informed Consent Statement
Data Availability Statement
Acknowledgments
Conflicts of Interest
References
- Paresishvili, T.; Kakabadze, Z. Challenges and Opportunities Associated With Drug Delivery for the Treatment of Solid Tumors. Oncol. Rev. 2023, 17, 10577. [Google Scholar] [CrossRef] [PubMed]
- Kim, S.M.; Faix, P.H.; Schnitzer, J.E. Overcoming Key Biological Barriers to Cancer Drug Delivery and Efficacy. J. Control. Release 2017, 267, 15. [Google Scholar] [CrossRef] [PubMed]
- Senapati, S.; Mahanta, A.K.; Kumar, S.; Maiti, P. Controlled Drug Delivery Vehicles for Cancer Treatment and Their Performance. Signal Transduct. Target. Ther. 2018, 3, 7. [Google Scholar] [CrossRef] [PubMed]
- Sriraman, S.K.; Aryasomayajula, B.; Torchilin, V.P. Barriers to Drug Delivery in Solid Tumors. Tissue Barriers 2014, 2, e29528. [Google Scholar] [CrossRef]
- Niu, M.; Lu, Y.; Hovgaard, L.; Guan, P.; Tan, Y.; Lian, R.; Qi, J.; Wu, W. Hypoglycemic Activity and Oral Bioavailability of Insulin-Loaded Liposomes Containing Bile Salts in Rats: The Effect of Cholate Type, Particle Size and Administered Dose. Eur. J. Pharm. Biopharm. 2012, 81, 265–272. [Google Scholar] [CrossRef]
- Wang, N.; Wang, T.; Li, T.; Deng, Y. Modulation of the Physicochemical State of Interior Agents to Prepare Controlled Release Liposomes. Colloids Surf. B Biointerfaces 2009, 69, 232–238. [Google Scholar] [CrossRef]
- Briuglia, M.L.; Rotella, C.; McFarlane, A.; Lamprou, D.A. Influence of Cholesterol on Liposome Stability and on in Vitro Drug Release. Drug Deliv. Transl. Res. 2015, 5, 231–242. [Google Scholar] [CrossRef]
- Steigenberger, J.; Verleysen, Y.; Geudens, N.; Martins, J.C.; Heerklotz, H. The Optimal Lipid Chain Length of a Membrane-Permeabilizing Lipopeptide Results From the Balance of Membrane Partitioning and Local Damage. Front. Microbiol. 2021, 12, 669709. [Google Scholar] [CrossRef]
- Zook, J.M.; Vreeland, W.N. Effects of Temperature, Acyl Chain Length, and Flow-Rate Ratio on Liposome Formation and Size in a Microfluidic Hydrodynamic Focusing Device. Soft Matter 2010, 6, 1352–1360. [Google Scholar] [CrossRef]
- LaMastro, V.; Campbell, K.M.; Gonzalez, P.; Meng-Saccoccio, T.; Shukla, A. Antifungal Liposomes: Lipid Saturation and Cholesterol Concentration Impact Interaction with Fungal and Mammalian Cells. J. Biomed. Mater. Res. A 2023, 111, 644–659. [Google Scholar] [CrossRef]
- Ikeda, A.; Funada, R.; Sugikawa, K. Different Stabilities of Liposomes Containing Saturated and Unsaturated Lipids toward the Addition of Cyclodextrins. Org. Biomol. Chem. 2016, 14, 5065–5072. [Google Scholar] [CrossRef] [PubMed]
- Agiba, A.M.; Arreola-Ramírez, J.L.; Carbajal, V.; Segura-Medina, P. Light-Responsive and Dual-Targeting Liposomes: From Mechanisms to Targeting Strategies. Molecules 2024, 29, 636. [Google Scholar] [CrossRef] [PubMed]
- Kim, Y.S.; Ko, M.J.; Moon, H.; Sim, W.; Cho, A.S.; Gil, G.; Kim, H.R. Ultrasound-Responsive Liposomes for Targeted Drug Delivery Combined with Focused Ultrasound. Pharmaceutics 2022, 14, 1314. [Google Scholar] [CrossRef] [PubMed]
- Lin, X.; Qiu, Y.; Song, L.; Chen, S.; Chen, X.; Huang, G.; Song, J.; Chen, X.; Yang, H. Ultrasound Activation of Liposomes for Enhanced Ultrasound Imaging and Synergistic Gas and Sonodynamic Cancer Therapy. Nanoscale Horiz. 2019, 4, 747–756. [Google Scholar] [CrossRef]
- Jiang, Y.; Chen, H.; Lin, T.; Zhang, C.; Shen, J.; Chen, J.; Zhao, Y.; Xu, W.; Wang, G.; Huang, P. Ultrasound-Activated Prodrug-Loaded Liposome for Efficient Cancer Targeting Therapy without Chemotherapy-Induced Side Effects. J. Nanobiotechnology 2024, 22, 2. [Google Scholar] [CrossRef]
- Thanou, M.; Cressey, P.; Amrahli, M. Activatable Liposomes: Ultrasound-Activated Liposomes and Lipid Vesicles. In Liposomes in Drug Delivery: What, Where, How and When to Deliver; Elsevier: Amsterdam, The Netherlands, 2024; pp. 217–241. [Google Scholar] [CrossRef]
- Affram, K.; Udofot, O.; Singh, M.; Krishnan, S.; Reams, R.; Rosenberg, J.; Agyare, E. Smart Thermosensitive Liposomes for Effective Solid Tumor Therapy and in Vivo Imaging. PLoS ONE 2017, 12, e0185116. [Google Scholar] [CrossRef]
- Saito, R.; Krauze, M.T.; Bringas, J.R.; Noble, C.; McKnight, T.R.; Jackson, P.; Wendland, M.F.; Mamot, C.; Drummond, D.C.; Kirpotin, D.B.; et al. Gadolinium-Loaded Liposomes Allow for Real-Time Magnetic Resonance Imaging of Convection-Enhanced Delivery in the Primate Brain. Exp. Neurol. 2005, 196, 381–389. [Google Scholar] [CrossRef]
- Skupin-Mrugalska, P.; Sobotta, L.; Warowicka, A.; Wereszczynska, B.; Zalewski, T.; Gierlich, P.; Jarek, M.; Nowaczyk, G.; Kempka, M.; Gapinski, J.; et al. Theranostic Liposomes as a Bimodal Carrier for Magnetic Resonance Imaging Contrast Agent and Photosensitizer. J. Inorg. Biochem. 2018, 180, 1–14. [Google Scholar] [CrossRef]
- Kamaly, N.; Kalber, T.; Kenny, G.; Bell, J.; Jorgensen, M.; Miller, A. A Novel Bimodal Lipidic Contrast Agent for Cellular Labelling and Tumour MRI. Org. Biomol. Chem. 2009, 8, 201–211. [Google Scholar] [CrossRef]
- Lamichhane, N.; Udayakumar, T.S.; D’Souza, W.D.; Simone, C.B.; Raghavan, S.R.; Polf, J.; Mahmood, J. Liposomes: Clinical Applications and Potential for Image-Guided Drug Delivery. Molecules 2018, 23, 288. [Google Scholar] [CrossRef]
- Haemmerich, D.; Motamarry, A. Thermosensitive Liposomes for Image-Guided Drug Delivery. Adv. Cancer Res. 2018, 139, 121–146. [Google Scholar] [CrossRef] [PubMed]
- Kamaly, N.; Kalber, T.; Ahmad, A.; Oliver, M.H.; So, P.W.; Herlihy, A.H.; Bell, J.D.; Jorgensen, M.R.; Miller, A.D. Bimodal Paramagnetic and Fluorescent Liposomes for Cellular and Tumor Magnetic Resonance Imaging. Bioconjug Chem. 2008, 19, 118–129. [Google Scholar] [CrossRef]
- Hwang, J.Y.; Li, Z.; Loh, X.J. Small Molecule Therapeutic-Loaded Liposomes as Therapeutic Carriers: From Development to Clinical Applications. RSC Adv. 2016, 6, 70592–70615. [Google Scholar] [CrossRef]
- Cooke, I.R.; Deserno, M. Coupling between Lipid Shape and Membrane Curvature. Biophys. J. 2006, 91, 487–495. [Google Scholar] [CrossRef] [PubMed]
- Li, J.; Wang, X.; Zhang, T.; Wang, C.; Huang, Z.; Luo, X.; Deng, Y. A Review on Phospholipids and Their Main Applications in Drug Delivery Systems. Asian J. Pharm. Sci. 2014, 10, 81–98. [Google Scholar] [CrossRef]
- De Oliveira, M.C.; Rosilio, V.; Lesieur, P.; Bourgaux, C.; Couvreur, P.; Ollivon, M.; Dubernet, C. PH-Sensitive Liposomes as a Carrier for Oligonucleotides: A Physico-Chemical Study of the Interaction between DOPE and a 15-Mer Oligonucleotide in Excess Water. Biophys. Chem. 2000, 87, 127–137. [Google Scholar] [CrossRef]
- Ali, S.; Minchey, S.; Janoff, A.; Mayhew, E. A Differential Scanning Calorimetry Study of Phosphocholines Mixed with Paclitaxel and Its Bromoacylated Taxanes. Biophys. J. 2000, 78, 246–256. [Google Scholar] [CrossRef]
- Rosca, E.V.; Wright, M.; Gonitel, R.; Gedroyc, W.; Miller, A.D.; Thanou, M. Thermosensitive, near-Infrared-Labeled Nanoparticles for Topotecan Delivery to Tumors. Mol. Pharm. 2015, 12, 1335–1346. [Google Scholar] [CrossRef]
- Centelles, M.N.; Wright, M.; So, P.-W.; Amrahli, M.; Xu, X.Y.; Stebbing, J.; Miller, A.D.; Gedroyc, W.; Thanou, M. Image Guided Thermosensitive Liposomes for Focused Ultrasound Drug Delivery: Using NIRF Labelled Lipids and Topotecan to Visualise the Effects of Hyperthermia in Tumours. J. Control. Release 2018, 280, 87–98. [Google Scholar] [CrossRef]
- Amrahli, M.; Centelles, M.; Cressey, P.; Prusevicius, M.; Gedroyc, W.; Xu, X.Y.; So, P.W.; Wright, M.; Thanou, M. MR-Labelled Liposomes and Focused Ultrasound for Spatiotemporally Controlled Drug Release in Triple Negative Breast Cancers in Mice. Nanotheranostics 2021, 5, 125–142. [Google Scholar] [CrossRef]
- Cheng, Z.; Al Zaki, A.; Jones, I.W.; Hall, H.K.; Aspinwall, C.A.; Tsourkas, A. Stabilized Porous Liposomes with Encapsulated Gd-Labeled Dextran as Highly Efficient MRI Contrast Agents. Chem. Commun. 2014, 50, 2502. [Google Scholar] [CrossRef] [PubMed]
- Cittadino, E.; Botta, M.; Tei, L.; Kielar, F.; Stefania, R.; Chiavazza, E.; Aime, S.; Terreno, E. In Vivo Magnetic Resonance Imaging Detection of Paramagnetic Liposomes Loaded with Amphiphilic Gadolinium(III) Complexes: Impact of Molecular Structure on Relaxivity and Excretion Efficiency. Chempluschem 2013, 78, 712–722. [Google Scholar] [CrossRef] [PubMed][Green Version]
- Tóth, É.; Helm, L.; Merbach, A. Relaxivity of Gadolinium(III) Complexes: Theory and Mechanism, 1st ed.; Wiley: Hoboken, NJ, USA, 2013. [Google Scholar] [CrossRef]
- Ponce, A.M.; Viglianti, B.L.; Yu, D.; Yarmolenko, P.S.; Michelich, C.R.; Woo, J.; Bally, M.B.; Dewhirst, M.W. Magnetic Resonance Imaging of Temperature- Sensitive Liposome Release: Drug Dose Painting and Antitumor Effects. J. Natl. Cancer Inst. 2007, 99, 53–63. [Google Scholar] [CrossRef]
- Viglianti, B.L.; Abraham, S.A.; Michelich, C.R.; Yarmolenko, P.S.; MacFall, J.R.; Bally, M.B.; Dewhirst, M.W. In Vivo Monitoring of Tissue Pharmacokinetics of Liposome/Drug Using MRI: Illustration of Targeted Delivery. Magn. Reson. Med. 2004, 51, 1153–1162. [Google Scholar] [CrossRef] [PubMed]
- Kneepkens, E.; Fernandes, A.; Nicolay, K.; Grüll, H. Iron(III)-Based Magnetic Resonance-Imageable Liposomal T1 Contrast Agent for Monitoring Temperature-Induced Image-Guided Drug Delivery. Invest. Radiol. 2016, 51, 735–745. [Google Scholar] [CrossRef]
- De Smet, M.; Heijman, E.; Langereis, S.; Hijnen, N.M.; Grüll, H. Magnetic Resonance Imaging of High Intensity Focused Ultrasound Mediated Drug Delivery from Temperature-Sensitive Liposomes: An in Vivo Proof-of-Concept Study. J. Control. Release 2011, 150, 102–110. [Google Scholar] [CrossRef]
- Wu, H.L.; Sheng, Y.J.; Tsao, H.K. Phase Behaviors and Membrane Properties of Model Liposomes: Temperature Effect. J. Chem. Phys. 2014, 141, 124906. [Google Scholar] [CrossRef]
- Needham, D.; Park, J.Y.; Wright, A.M.; Tong, J. Materials Characterization of the Low Temperature Sensitive Liposome (LTSL): Effects of the Lipid Composition (Lysolipid and DSPE-PEG2000) on the Thermal Transition and Release of Doxorubicin. Faraday Discuss. 2012, 161, 515–534. [Google Scholar] [CrossRef]





Disclaimer/Publisher’s Note: The statements, opinions and data contained in all publications are solely those of the individual author(s) and contributor(s) and not of MDPI and/or the editor(s). MDPI and/or the editor(s) disclaim responsibility for any injury to people or property resulting from any ideas, methods, instructions or products referred to in the content. |
© 2025 by the authors. Licensee MDPI, Basel, Switzerland. This article is an open access article distributed under the terms and conditions of the Creative Commons Attribution (CC BY) license (https://creativecommons.org/licenses/by/4.0/).
Share and Cite
Cressey, P.; Wilson, J.C.; Amrahli, M.; Thanou, M. Liposomes for Magnetic Resonance Image-Guided Drug Delivery; Lipid Chain Length Affects Drug Release and MRI Relaxivity. Molecules 2025, 30, 1729. https://doi.org/10.3390/molecules30081729
Cressey P, Wilson JC, Amrahli M, Thanou M. Liposomes for Magnetic Resonance Image-Guided Drug Delivery; Lipid Chain Length Affects Drug Release and MRI Relaxivity. Molecules. 2025; 30(8):1729. https://doi.org/10.3390/molecules30081729
Chicago/Turabian StyleCressey, Paul, Jacob C. Wilson, Maral Amrahli, and Maya Thanou. 2025. "Liposomes for Magnetic Resonance Image-Guided Drug Delivery; Lipid Chain Length Affects Drug Release and MRI Relaxivity" Molecules 30, no. 8: 1729. https://doi.org/10.3390/molecules30081729
APA StyleCressey, P., Wilson, J. C., Amrahli, M., & Thanou, M. (2025). Liposomes for Magnetic Resonance Image-Guided Drug Delivery; Lipid Chain Length Affects Drug Release and MRI Relaxivity. Molecules, 30(8), 1729. https://doi.org/10.3390/molecules30081729

