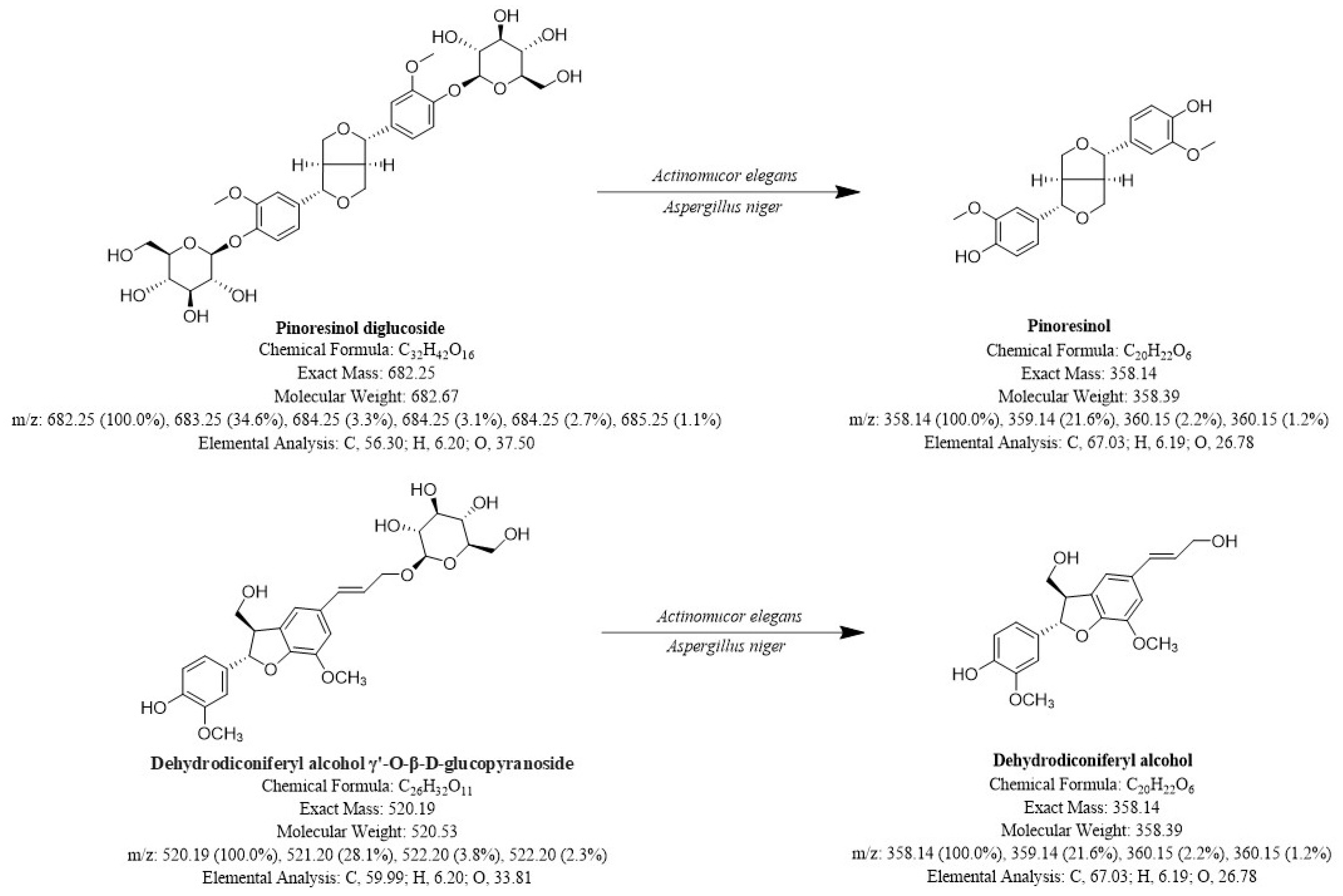
Correction: Jiang et al. Preparation of Pinoresinol and Dehydrodiconiferyl Alcohol from Eucommiae Cortex Extract by Fermentation with Traditional Mucor. Molecules 2024, 29, 2979
- Figure Legend
- 2.
- Error in Figure


- 3.
- Text Correction
- 4.
- References
Reference
- Jiang, W.; He, Z.; Yao, R.; Chen, Z.; Zeng, X.; Zheng, M.; Wang, J.; Li, J.; Jiang, Y. Preparation of Pinoresinol and Dehydrodiconiferyl Alcohol from Eucommiae Cortex Extract by Fermentation with Traditional Mucor. Molecules 2024, 29, 2979. [Google Scholar] [CrossRef] [PubMed]
Disclaimer/Publisher’s Note: The statements, opinions and data contained in all publications are solely those of the individual author(s) and contributor(s) and not of MDPI and/or the editor(s). MDPI and/or the editor(s) disclaim responsibility for any injury to people or property resulting from any ideas, methods, instructions or products referred to in the content. |
© 2025 by the authors. Licensee MDPI, Basel, Switzerland. This article is an open access article distributed under the terms and conditions of the Creative Commons Attribution (CC BY) license (https://creativecommons.org/licenses/by/4.0/).
Share and Cite
Jiang, W.; He, Z.; Yao, R.; Chen, Z.; Zeng, X.; Zheng, M.; Wang, J.; Li, J.; Jiang, Y. Correction: Jiang et al. Preparation of Pinoresinol and Dehydrodiconiferyl Alcohol from Eucommiae Cortex Extract by Fermentation with Traditional Mucor. Molecules 2024, 29, 2979. Molecules 2025, 30, 1081. https://doi.org/10.3390/molecules30051081
Jiang W, He Z, Yao R, Chen Z, Zeng X, Zheng M, Wang J, Li J, Jiang Y. Correction: Jiang et al. Preparation of Pinoresinol and Dehydrodiconiferyl Alcohol from Eucommiae Cortex Extract by Fermentation with Traditional Mucor. Molecules 2024, 29, 2979. Molecules. 2025; 30(5):1081. https://doi.org/10.3390/molecules30051081
Chicago/Turabian StyleJiang, Wenyi, Zhengyou He, Ruijiao Yao, Zhiyang Chen, Xia Zeng, Miao Zheng, Jing Wang, Jia Li, and Yong Jiang. 2025. "Correction: Jiang et al. Preparation of Pinoresinol and Dehydrodiconiferyl Alcohol from Eucommiae Cortex Extract by Fermentation with Traditional Mucor. Molecules 2024, 29, 2979" Molecules 30, no. 5: 1081. https://doi.org/10.3390/molecules30051081
APA StyleJiang, W., He, Z., Yao, R., Chen, Z., Zeng, X., Zheng, M., Wang, J., Li, J., & Jiang, Y. (2025). Correction: Jiang et al. Preparation of Pinoresinol and Dehydrodiconiferyl Alcohol from Eucommiae Cortex Extract by Fermentation with Traditional Mucor. Molecules 2024, 29, 2979. Molecules, 30(5), 1081. https://doi.org/10.3390/molecules30051081
