Discovery of N-(2-Acetamidobenzo[d]thiazol-6-yl)-2-phenoxyacetamide Derivatives as Novel Potential BCR-ABL1 Inhibitors Through Structure-Based Virtual Screening
Abstract
1. Introduction
2. Results
2.1. Structured-Based Virtual Screening
2.2. Similarity Search
2.3. Molecular Design
2.4. SAR Study
3. Discussion
4. Experimental Section
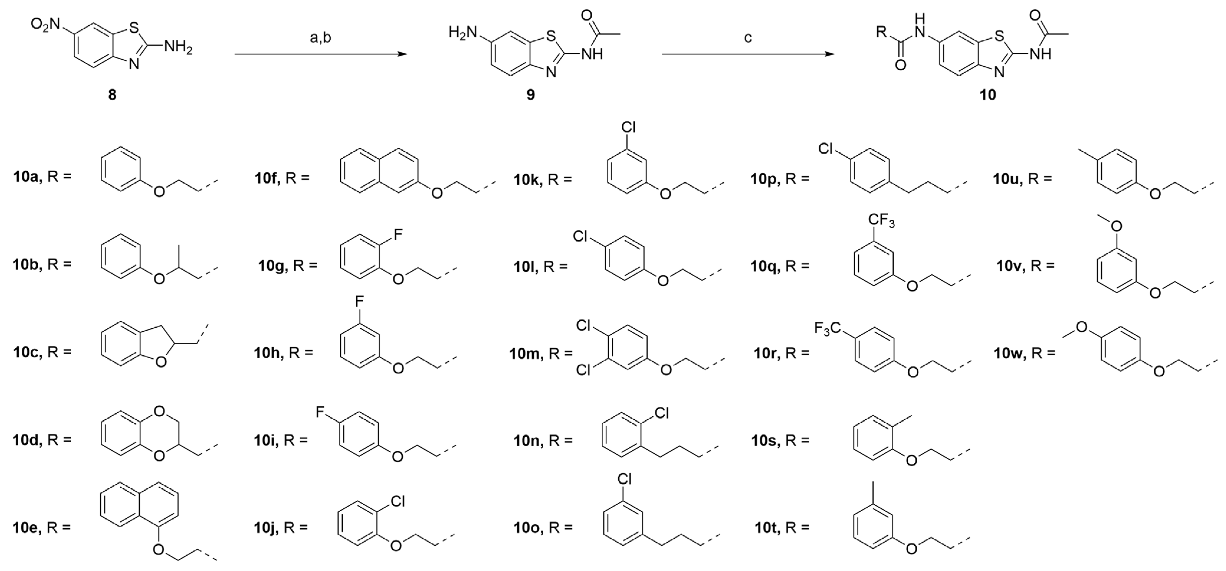
4.1. Chemistry
4.1.1. HPLC Method
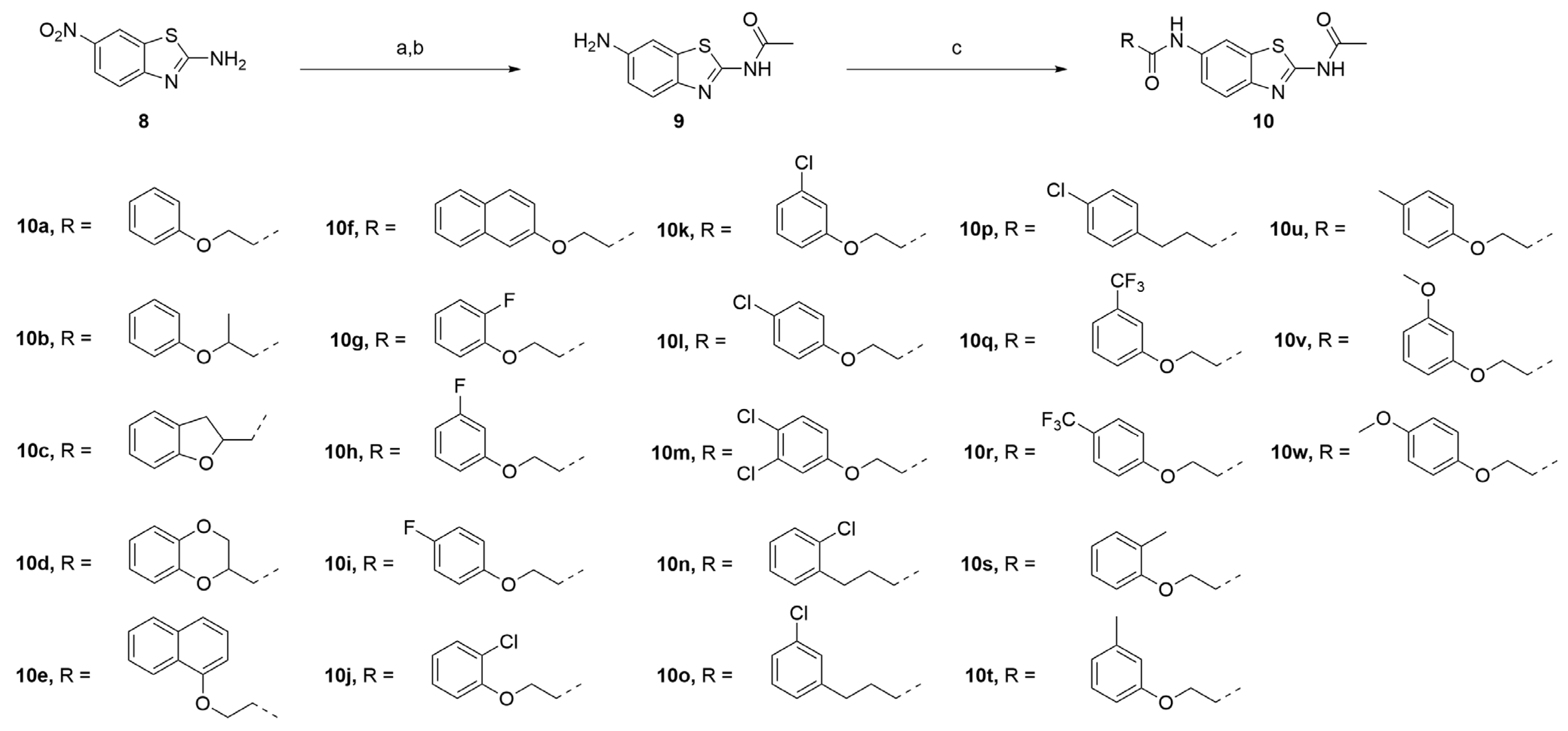
4.1.2. General Procedure for Synthesis of Compounds 10a–w
4.1.3. N-(6-Aminobenzo[d]thiazol-2-yl)acetamide (9)
4.1.4. N-(2-Acetamidobenzo[d]thiazol-6-yl)-2-phenoxyacetamide (10a)
4.1.5. N-(2-Acetamidobenzo[d]thiazol-6-yl)-2-phenoxypropanamide (10b)
4.1.6. N-(2-Acetamidobenzo[d]thiazol-6-yl)-2,3-dihydrobenzofuran-2-carboxamide (10c)
4.1.7. N-(2-Acetamidobenzo[d]thiazol-6-yl)-2,3-dihydrobenzo[b][1,4]dioxine-2-carboxamide (10d)
4.1.8. N-(2-Acetamidobenzo[d]thiazol-6-yl)-2-(naphthalen-1-yloxy)acetamide (10e)
4.1.9. N-(2-Acetamidobenzo[d]thiazol-6-yl)-2-(naphthalen-2-yloxy)acetamide (10f)
4.1.10. N-(2-Acetamidobenzo[d]thiazol-6-yl)-2-(2-fluorophenoxy)acetamide (10g)
4.1.11. N-(2-Acetamidobenzo[d]thiazol-6-yl)-2-(3-fluorophenoxy)acetamide (10h)
4.1.12. N-(2-Acetamidobenzo[d]thiazol-6-yl)-2-(4-fluorophenoxy)acetamide (10i)
4.1.13. N-(2-Acetamidobenzo[d]thiazol-6-yl)-2-(2-chlorophenoxy)acetamide (10j)
4.1.14. N-(2-Acetamidobenzo[d]thiazol-6-yl)-2-(3-chlorophenoxy)acetamide (10k)
4.1.15. N-(2-Acetamidobenzo[d]thiazol-6-yl)-2-(4-chlorophenoxy)acetamide (10l)
4.1.16. N-(2-Acetamidobenzo[d]thiazol-6-yl)-2-(3,4-dichlorophenoxy)acetamide (10m)
4.1.17. N-(2-Acetamidobenzo[d]thiazol-6-yl)-3-(2-chlorophenyl)propanamide (10n)
4.1.18. N-(2-Acetamidobenzo[d]thiazol-6-yl)-3-(3-chlorophenyl)propanamide (10o)
4.1.19. N-(2-Acetamidobenzo[d]thiazol-6-yl)-3-(4-chlorophenyl)propanamide (10p)
4.1.20. N-(2-Acetamidobenzo[d]thiazol-6-yl)-2-(3-(trifluoromethyl)phenoxy) acetamide (10q)
4.1.21. N-(2-Acetamidobenzo[d]thiazol-6-yl)-2-(4-(trifluoromethyl)phenoxy) acetamide (10r)
4.1.22. N-(2-Acetamidobenzo[d]thiazol-6-yl)-2-(o-tolyloxy)acetamide (10s)
4.1.23. N-(2-Acetamidobenzo[d]thiazol-6-yl)-2-(m-tolyloxy)acetamide (10t)
4.1.24. N-(2-Acetamidobenzo[d]thiazol-6-yl)-2-(p-tolyloxy)acetamide (10u)
4.1.25. N-(2-Acetamidobenzo[d]thiazol-6-yl)-2-(3-methoxyphenoxy)acetamide (10v)
4.1.26. N-(2-Acetamidobenzo[d]thiazol-6-yl)-2-(4-methoxyphenoxy)acetamide (10w)
4.2. Viability Assay
4.3. Apoptosis Assays
4.4. Western Blot Analysis
4.5. Molecular Docking and MD Simulations
4.6. Synergy Study
4.7. Reagents and Compounds
5. Conclusions
Supplementary Materials
Author Contributions
Funding
Data Availability Statement
Conflicts of Interest
Abbreviations
| MD | Molecular dynamics |
| RMSD | Root mean square deviations |
| SAR | Structure activity relationship |
| SP | Standard precision |
| XP | Extra precision |
| 2D | Two-dimensional |
| TKIs | Tyrosine kinase inhibitors |
References
- Ren, R. Mechanisms of BCR-ABL in the pathogenesis of chronic myelogenous leukaemia. Nat. Rev. Cancer 2005, 5, 172–183. [Google Scholar] [CrossRef]
- Soverini, S.; Bassan, R.; Lion, T. Treatment and monitoring of Philadelphia chromosome-positive leukemia patients: Recent advances and remaining challenges. J. Hematol. Oncol. 2019, 12, 39. [Google Scholar] [CrossRef]
- Dong, Y.; Shi, O.; Zeng, Q.; Lu, X.; Wang, W.; Li, Y.; Wang, Q. Leukemia incidence trends at the global, regional, and national level between 1990 and 2017. Exp. Hematol. Oncol. 2020, 9, 14. [Google Scholar] [CrossRef] [PubMed]
- Quintás-Cardama, A.; Cortes, J. Molecular biology of bcr-abl1-positive chronic myeloid leukemia. Blood 2009, 113, 1619–1630. [Google Scholar] [CrossRef] [PubMed]
- Heinrich, M.C.; Griffith, D.J.; Druker, B.J.; Wait, C.L.; Ott, K.A.; Zigler, A.J. Inhibition of c-kit receptor tyrosine kinase activity by STI 571, a selective tyrosine kinase inhibitor. Blood 2000, 96, 925–932. [Google Scholar] [CrossRef] [PubMed]
- Druker, B.J.; Sawyers, C.L.; Kantarjian, H.; Resta, D.J.; Reese, S.F.; Ford, J.M.; Capdeville, R.; Talpaz, M. Activity of a specific inhibitor of the BCR-ABL tyrosine kinase in the blast crisis of chronic myeloid leukemia and acute lymphoblastic leukemia with the Philadelphia chromosome. N. Engl. J. Med. 2001, 344, 1038–1042. [Google Scholar] [CrossRef] [PubMed]
- Weisberg, E.; Manley, P.W.; Breitenstein, W.; Brüggen, J.; Cowan-Jacob, S.W.; Ray, A.; Huntly, B.; Fabbro, D.; Fendrich, G.; Hall-Meyers, E.; et al. Characterization of AMN107, a selective inhibitor of native and mutant Bcr-Abl. Cancer Cell 2005, 7, 129–141. [Google Scholar] [CrossRef] [PubMed]
- Copland, M.; Hamilton, A.; Elrick, L.J.; Baird, J.W.; Allan, E.K.; Jordanides, N.; Barow, M.; Mountford, J.C.; Holyoake, T.L. Dasatinib (BMS-354825) targets an earlier progenitor population than imatinib in primary CML but does not eliminate the quiescent fraction. Blood 2006, 107, 4532–4539. [Google Scholar] [CrossRef] [PubMed]
- Puttini, M.; Coluccia, A.M.; Boschelli, F.; Cleris, L.; Marchesi, E.; Donella-Deana, A.; Ahmed, S.; Redaelli, S.; Piazza, R.; Magistroni, V.; et al. In vitro and in vivo activity of SKI-606, a novel Src-Abl inhibitor, against imatinib-resistant Bcr-Abl+ neoplastic cells. Cancer Res. 2006, 66, 11314–11322. [Google Scholar] [CrossRef]
- Jabbour, E.; Cortes, J.; Kantarjian, H. Treatment selection after imatinib resistance in chronic myeloid leukemia. Target. Oncol. 2009, 4, 3–10. [Google Scholar] [CrossRef] [PubMed]
- O’Hare, T.; Eide, C.A.; Deininger, M.W. Bcr-Abl kinase domain mutations and the unsettled problem of Bcr-AblT315I: Looking into the future of controlling drug resistance in chronic myeloid leukemia. Clin. Lymphoma Myeloma 2007, 7 (Suppl. 3), S120–S130. [Google Scholar] [CrossRef] [PubMed]
- O’Hare, T.; Shakespeare, W.C.; Zhu, X.; Eide, C.A.; Rivera, V.M.; Wang, F.; Adrian, L.T.; Zhou, T.; Huang, W.S.; Xu, Q.; et al. AP24534, a pan-BCR-ABL inhibitor for chronic myeloid leukemia, potently inhibits the T315I mutant and overcomes mutation-based resistance. Cancer Cell 2009, 16, 401–412. [Google Scholar] [CrossRef] [PubMed]
- Ren, X.; Pan, X.; Zhang, Z.; Wang, D.; Lu, X.; Li, Y.; Wen, D.; Long, H.; Luo, J.; Feng, Y.; et al. Identification of GZD824 as an orally bioavailable inhibitor that targets phosphorylated and nonphosphorylated breakpoint cluster region-Abelson (Bcr-Abl) kinase and overcomes clinically acquired mutation-induced resistance against imatinib. J. Med. Chem. 2013, 56, 879–894. [Google Scholar] [CrossRef]
- Liu, J.; Zhang, Y.; Huang, H.; Lei, X.; Tang, G.; Cao, X.; Peng, J. Recent advances in Bcr-Abl tyrosine kinase inhibitors for overriding T315I mutation. Chem. Biol. Drug Des. 2021, 97, 649–664. [Google Scholar] [CrossRef] [PubMed]
- Pavlovsky, C.; Chan, O.; Talati, C.; Pinilla-Ibarz, J. Ponatinib in the treatment of chronic myeloid leukemia and philadelphia chromosome positive acute lymphoblastic leukemia. Future Oncol. 2019, 15, 257–269. [Google Scholar] [CrossRef] [PubMed]
- Schoepfer, J.; Jahnke, W.; Berellini, G.; Buonamici, S.; Cotesta, S.; Cowan-Jacob, S.W.; Dodd, S.; Drueckes, P.; Fabbro, D.; Gabriel, T.; et al. Discovery of Asciminib (ABL001), an Allosteric Inhibitor of the Tyrosine Kinase Activity of BCR-ABL1. J. Med. Chem. 2018, 61, 8120–8135. [Google Scholar] [CrossRef] [PubMed]
- Wylie, A.A.; Schoepfer, J.; Jahnke, W.; Cowan-Jacob, S.W.; Loo, A.; Furet, P.; Marzinzik, A.L.; Pelle, X.; Donovan, J.; Zhu, W.; et al. The allosteric inhibitor ABL001 enables dual targeting of BCR-ABL1. Nature 2017, 543, 733–737. [Google Scholar] [CrossRef]
- Lindström, H.J.G.; Friedman, R. The effects of combination treatments on drug resistance in chronic myeloid leukaemia: An evaluation of the tyrosine kinase inhibitors axitinib and asciminib. BMC Cancer 2020, 20, 397. [Google Scholar] [CrossRef] [PubMed]
- Eide, C.A.; Zabriskie, M.S.; Savage Stevens, S.L.; Antelope, O.; Vellore, N.A.; Than, H.; Schultz, A.R.; Clair, P.; Bowler, A.D.; Pomicter, A.D.; et al. Combining the Allosteric Inhibitor Asciminib with Ponatinib Suppresses Emergence of and Restores Efficacy against Highly Resistant BCR-ABL1 Mutants. Cancer Cell 2019, 36, 431–443.e435. [Google Scholar] [CrossRef] [PubMed]
- Kim, C.; Ludewig, H.; Hadzipasic, A.; Kutter, S.; Nguyen, V.; Kern, D. A biophysical framework for double-drugging kinases. Proc. Natl. Acad. Sci. USA 2023, 120, e2304611120. [Google Scholar] [CrossRef]
- Ianevski, A.; Giri, A.K.; Aittokallio, T. SynergyFinder 3.0: An interactive analysis and consensus interpretation of multi-drug synergies across multiple samples. Nucleic Acids Res. 2022, 50, W739–W743. [Google Scholar] [CrossRef]
- Xie, T.; Saleh, T.; Rossi, P.; Miller, D.; Kalodimos, C.G. Imatinib can act as an Allosteric Activator of Abl Kinase. J. Mol. Biol. 2022, 434, 167349. [Google Scholar] [CrossRef]
- Kalmanti, L.; Saussele, S.; Lauseker, M.; Müller, M.C.; Dietz, C.T.; Heinrich, L.; Hanfstein, B.; Proetel, U.; Fabarius, A.; Krause, S.W.; et al. Safety and efficacy of imatinib in CML over a period of 10 years: Data from the randomized CML-study IV. Leukemia 2015, 29, 1123–1132. [Google Scholar] [CrossRef] [PubMed]
- Al-Kali, A.; Kantarjian, H.; Shan, J.; Bassett, R.; Quintás-Cardama, A.; Borthakur, G.; Jabbour, E.; Verstovsek, S.; O’Brien, S.; Cortes, J. Current event-free survival after sequential tyrosine kinase inhibitor therapy for chronic myeloid leukemia. Cancer 2011, 117, 327–335. [Google Scholar] [CrossRef][Green Version]
- Marin, D.; Ibrahim, A.R.; Lucas, C.; Gerrard, G.; Wang, L.; Szydlo, R.M.; Clark, R.E.; Apperley, J.F.; Milojkovic, D.; Bua, M.; et al. Assessment of BCR-ABL1 transcript levels at 3 months is the only requirement for predicting outcome for patients with chronic myeloid leukemia treated with tyrosine kinase inhibitors. J. Clin. Oncol. 2012, 30, 232–238. [Google Scholar] [CrossRef] [PubMed]






![]() | ||||
|---|---|---|---|---|
| Compound No. | R1 | R2 | Ba/F3 GI50 (μM) | |
| BCR-ABL1 | Parental Cells | |||
| A8 | Cl | ![]() | 6.4 ± 1.6 | >100 |
| A12 | H | ![]() | 10.7 ± 2.6 | >100 |
| A13 | H | ![]() | 19.5 ± 4.7 | >100 |
| A14 | H | ![]() | 1.2 ± 0.2 | 37.6 ± 5.7 |
| A15 | H | ![]() | 3.9 ± 0.5 | 42.9 ± 10.4 |
| Imatinib | / | / | 0.133 ± 0.005 | 38.8 ± 4.5 |
| Asciminib | / | / | 0.134 ± 0.001 | >100 |
![]() | ||
|---|---|---|
| Compound No. | R | Ba/F3 (BCR-ABL1) Inhibition (%) a |
| 10a | ![]() | 52 ± 5 |
| 10b | ![]() | NA b |
| 10c | ![]() | NA |
| 10d | ![]() | NA |
| 10e | ![]() | NA |
| 10f | ![]() | 88 ± 2 |
| 10g | ![]() | 65 ± 3 |
| 10h | ![]() | 61 ± 5 |
| 10i | ![]() | 58 ± 2 |
| 10j | ![]() | 68 ± 2 |
| 10k | ![]() | 60 ± 6 |
| 10l | ![]() | 71 ± 4 |
| 10m | ![]() | 93 ± 5 |
| 10n | ![]() | NA |
| 10o | ![]() | NA |
| 10p | ![]() | NA |
| 10q | ![]() | 75 ± 6 |
| 10r | ![]() | 36 ± 3 |
| 10s | ![]() | 22 ± 2 |
| 10t | ![]() | 28 ± 5 |
| 10u | ![]() | NA |
| 10v | ![]() | NA |
| 10w | ![]() | NA |
| Compound | Ba/F3 | MV411 | HL60 | ||
|---|---|---|---|---|---|
| BCR-ABL1 | BCR-ABLT315I | Parental | |||
| 10f | 2.2 ± 0.5 | >100 | >100 | >100 | >100 |
| 10m | 0.63 ± 0.1 | 25.2 ± 1.1 | >100 | >100 | 54.2 ± 5.5 |
| Imatinib | 0.133 ± 0.005 | >100 | 38.8 ± 4.5 | 65.7 ± 6.5 | 29.1 ± 3.3 |
| Asciminib | 0.134 ± 0.001 | 0.21 | >100 | >100 | >100 |
Disclaimer/Publisher’s Note: The statements, opinions and data contained in all publications are solely those of the individual author(s) and contributor(s) and not of MDPI and/or the editor(s). MDPI and/or the editor(s) disclaim responsibility for any injury to people or property resulting from any ideas, methods, instructions or products referred to in the content. |
© 2025 by the authors. Licensee MDPI, Basel, Switzerland. This article is an open access article distributed under the terms and conditions of the Creative Commons Attribution (CC BY) license (https://creativecommons.org/licenses/by/4.0/).
Share and Cite
Wang, S.; Wang, M.; Li, Z.; Xu, G.; Wang, D. Discovery of N-(2-Acetamidobenzo[d]thiazol-6-yl)-2-phenoxyacetamide Derivatives as Novel Potential BCR-ABL1 Inhibitors Through Structure-Based Virtual Screening. Molecules 2025, 30, 1065. https://doi.org/10.3390/molecules30051065
Wang S, Wang M, Li Z, Xu G, Wang D. Discovery of N-(2-Acetamidobenzo[d]thiazol-6-yl)-2-phenoxyacetamide Derivatives as Novel Potential BCR-ABL1 Inhibitors Through Structure-Based Virtual Screening. Molecules. 2025; 30(5):1065. https://doi.org/10.3390/molecules30051065
Chicago/Turabian StyleWang, Shuaixing, Minyi Wang, Zi Li, Guofeng Xu, and Dayan Wang. 2025. "Discovery of N-(2-Acetamidobenzo[d]thiazol-6-yl)-2-phenoxyacetamide Derivatives as Novel Potential BCR-ABL1 Inhibitors Through Structure-Based Virtual Screening" Molecules 30, no. 5: 1065. https://doi.org/10.3390/molecules30051065
APA StyleWang, S., Wang, M., Li, Z., Xu, G., & Wang, D. (2025). Discovery of N-(2-Acetamidobenzo[d]thiazol-6-yl)-2-phenoxyacetamide Derivatives as Novel Potential BCR-ABL1 Inhibitors Through Structure-Based Virtual Screening. Molecules, 30(5), 1065. https://doi.org/10.3390/molecules30051065































