Natural Polyamine Spermidine Inhibits the In Vitro Oxidation of LDL
Abstract
1. Introduction
2. Results
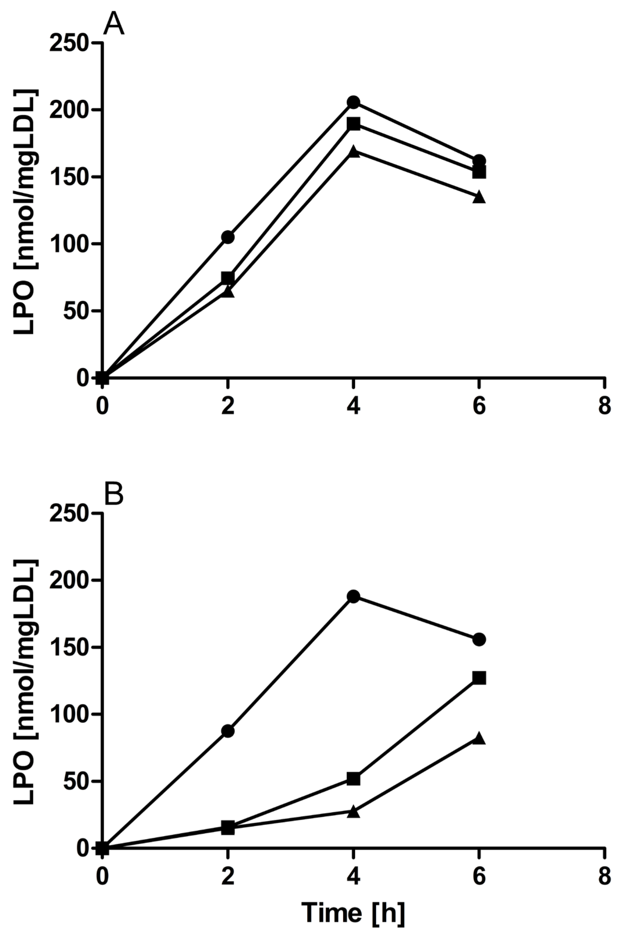
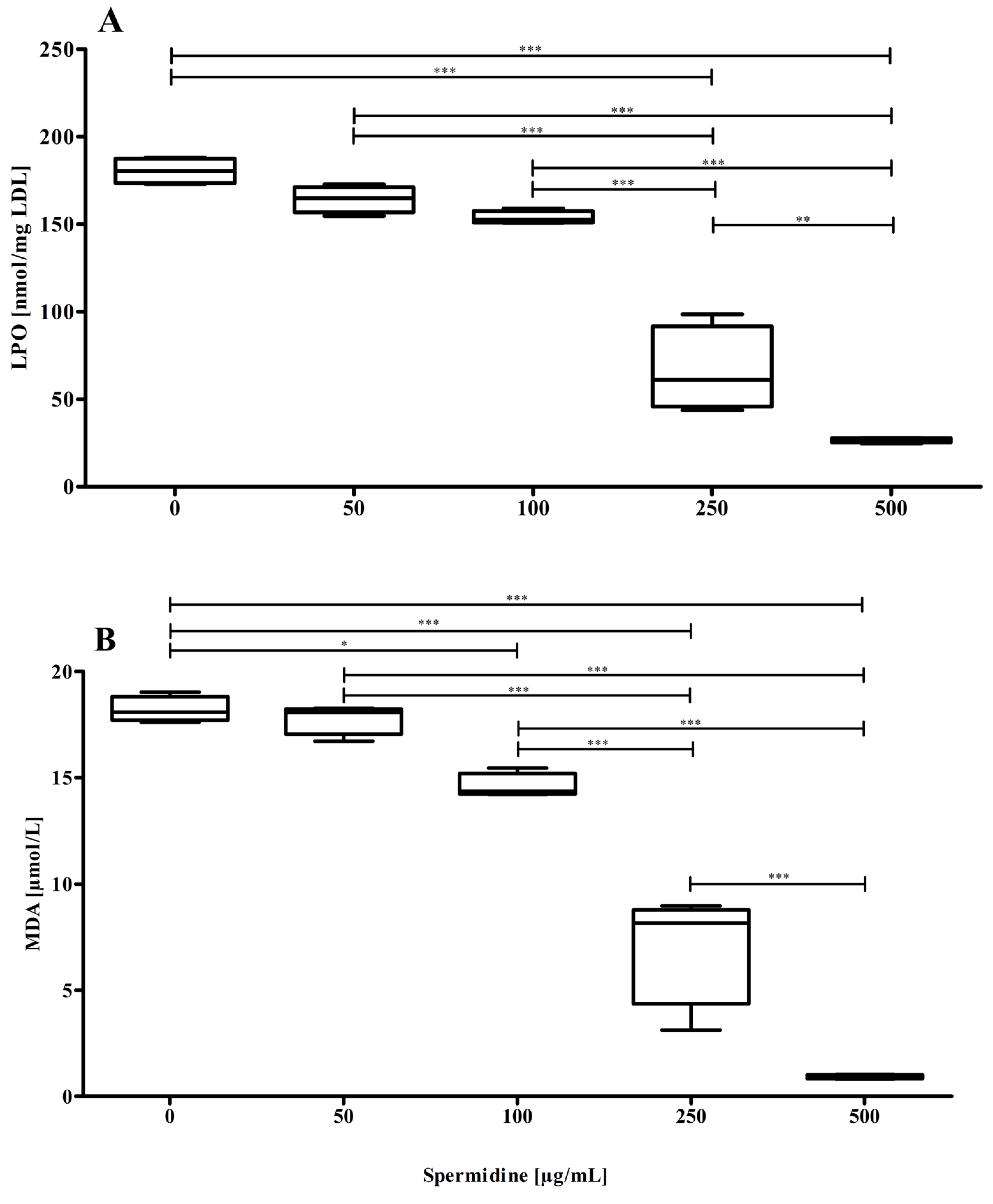
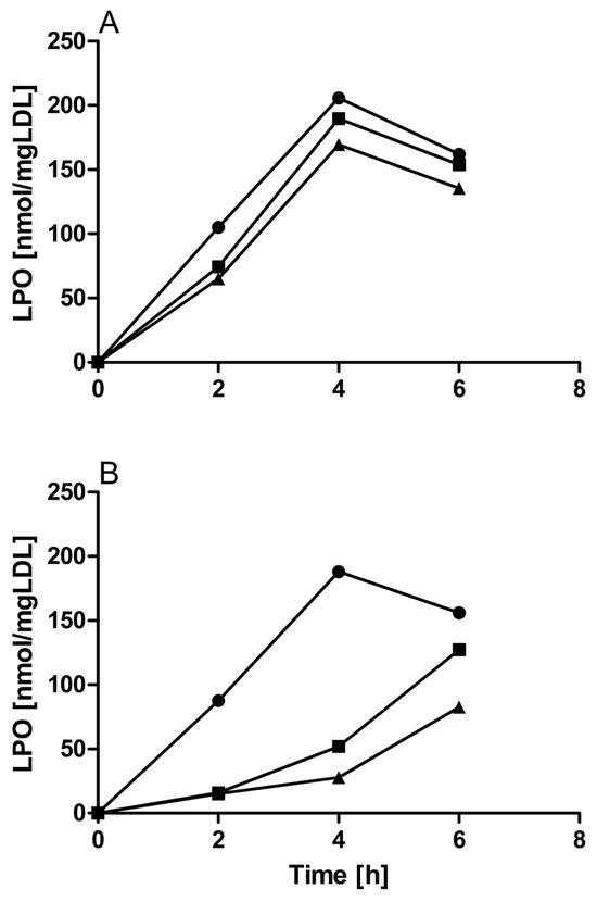
2.1. Effect of Spermidine on the Oxidizability of the Lipid Part of the LDL Particle
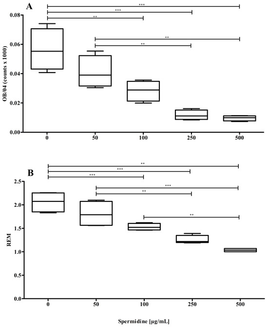
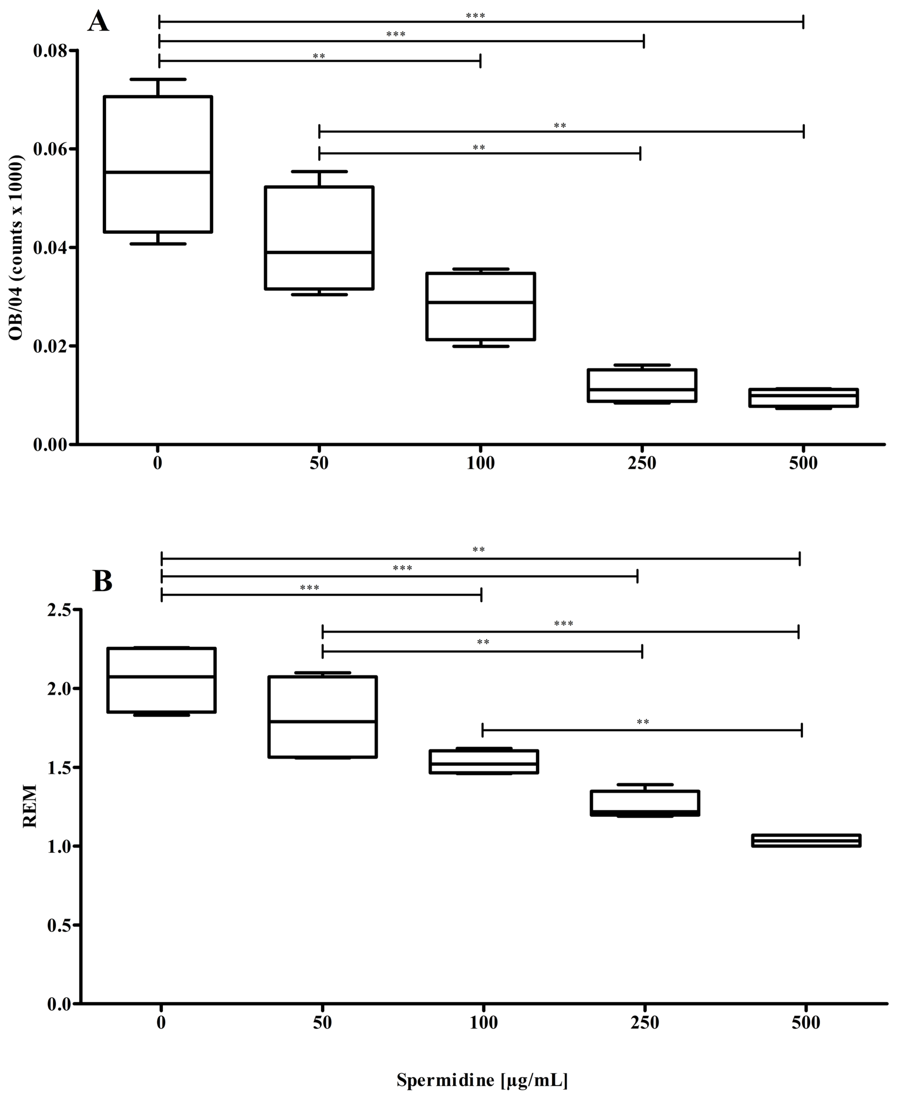
2.2. Effect of Spermidine on the Oxidizability of the Protein Part of the LDL Particle
2.3. Anti-Oxidative Action of Spermidine Compared to That of Alpha-Ketoglutarate (a-KG)
2.4. Cytotoxicity of oxLDL Formed Under Increasing Concentrations of Spermidine in EA.hy926 Cells
2.5. Reactions of Spermidine with Hydroxyl Radical, Hydroperoxyl Radical, or Superoxide Radical Anion
3. Discussion
4. Materials and Methods
4.1. Preparation of nLDL
4.2. nLDL Oxidation Using Cu2+ Ions
4.3. Determination of Lipid Hydroperoxides (LPOs)
4.4. Determination of MDA
4.5. Determination of Oxidation-Specific Immune Epitopes
4.6. Determination of REM
4.7. Cell Culture
4.8. Cell Viability (MTT Test)
4.9. Quantum Chemical Calculations
4.10. Statistics
5. Conclusions
Author Contributions
Funding
Institutional Review Board Statement
Informed Consent Statement
Data Availability Statement
Acknowledgments
Conflicts of Interest
References
- Madeo, F.; Eisenberg, T.; Pietrocola, F.; Kroemer, G. Spermidine in health and disease. Science 2018, 359, eaan2788. [Google Scholar] [CrossRef]
- Hofer, S.J.; Daskalaki, I.; Bergmann, M.; Friscic, J.; Zimmermann, A.; Mueller, M.I.; Abdellatif, M.; Nicastro, R.; Masser, S.; Durand, S.; et al. Spermidine is essential for fasting-mediated autophagy and longevity. Nat. Cell Biol. 2024, 26, 1571–1584. [Google Scholar] [CrossRef] [PubMed]
- Pegg, A.E. Functions of Polyamines in Mammals. J. Biol. Chem. 2016, 291, 14904–14912. [Google Scholar] [CrossRef] [PubMed]
- Rhodes, C.H.; Hong, B.V.; Tang, X.; Weng, C.Y.; Kang, J.W.; Agus, J.K.; Lebrilla, C.B.; Zivkovic, A.M. Absorption, anti-inflammatory, antioxidant, and cardioprotective impacts of a novel fasting mimetic containing spermidine, nicotinamide, palmitoylethanolamide, and oleoylethanolamide: A pilot dose-escalation study in healthy young adult men. Nutr. Res. 2024, 132, 125–135. [Google Scholar] [CrossRef] [PubMed]
- Jurgens, G.; Hoff, H.F.; Chisolm, G.M., 3rd; Esterbauer, H. Modification of human serum low density lipoprotein by oxidation—Characterization and pathophysiological implications. Chem. Phys. Lipids 1987, 45, 315–336. [Google Scholar] [CrossRef] [PubMed]
- Hammer, A.; Kager, G.; Dohr, G.; Rabl, H.; Ghassempur, I.; Jurgens, G. Generation, characterization, and histochemical application of monoclonal antibodies selectively recognizing oxidatively modified apoB-containing serum lipoproteins. Arterioscler. Thromb. Vasc. Biol. 1995, 15, 704–713. [Google Scholar] [CrossRef]
- Rossmann, C.; Nusshold, C.; Paar, M.; Ledinski, G.; Tafeit, E.; Koestenberger, M.; Bernhart, E.M.; Sattler, W.; Cvirn, G.; Hallstrom, S. Ethyl pyruvate inhibits oxidation of LDL in vitro and attenuates oxLDL toxicity in EA.hy926 cells. PLoS ONE 2018, 13, e0191477. [Google Scholar] [CrossRef] [PubMed]
- Hamalainen-Laanaya, H.K.; Orloff, M.S. Analysis of cell viability using time-dependent increase in fluorescence intensity. Anal. Biochem. 2012, 429, 32–38. [Google Scholar] [CrossRef] [PubMed]
- Bagnati, M.; Bordone, R.; Perugini, C.; Cau, C.; Albano, E.; Bellomo, G. Cu(I) availability paradoxically antagonizes antioxidant consumption and lipid peroxidation during the initiation phase of copper-induced LDL oxidation. Biochem. Biophys. Res. Commun. 1998, 253, 235–240. [Google Scholar] [CrossRef] [PubMed]
- Rossmann, C.; Ranz, C.; Kager, G.; Ledinski, G.; Koestenberger, M.; Wonisch, W.; Wagner, T.; Schwaminger, S.P.; Di Geronimo, B.; Hrzenjak, A.; et al. Metformin Impedes Oxidation of LDL In Vitro. Pharmaceutics 2023, 15, 2111. [Google Scholar] [CrossRef] [PubMed]
- De Bartolo, A.; Angelone, T.; Rocca, C. Elucidating emerging signaling pathways driving endothelial dysfunction in cardiovascular aging. Vasc. Pharmacol. 2025, 158, 107462. [Google Scholar] [CrossRef]
- Iwasaki, H.; Yagyu, H.; Shimano, H. A Comprehensive Analysis of Diabetic Complications and Advances in Management Strategies. J. Atheroscler. Thromb. 2025, 32, 65551. [Google Scholar] [CrossRef] [PubMed]
- Esterbauer, H.; Jurgens, G.; Quehenberger, O.; Koller, E. Autoxidation of human low density lipoprotein: Loss of polyunsaturated fatty acids and vitamin E and generation of aldehydes. J. Lipid Res. 1987, 28, 495–509. [Google Scholar] [CrossRef] [PubMed]
- Esterbauer, H.; Gebicki, J.; Puhl, H.; Jurgens, G. The role of lipid peroxidation and antioxidants in oxidative modification of LDL. Free Radic. Biol. Med. 1992, 13, 341–390. [Google Scholar] [CrossRef] [PubMed]
- Burkitt, M.J. A critical overview of the chemistry of copper-dependent low density lipoprotein oxidation: Roles of lipid hydroperoxides, alpha-tocopherol, thiols, and ceruloplasmin. Arch. Biochem. Biophys. 2001, 394, 117–135. [Google Scholar] [CrossRef]
- Michiels, C.F.; Kurdi, A.; Timmermans, J.P.; De Meyer, G.R.Y.; Martinet, W. Spermidine reduces lipid accumulation and necrotic core formation in atherosclerotic plaques via induction of autophagy. Atherosclerosis 2016, 251, 319–327. [Google Scholar] [CrossRef] [PubMed]
- Rider, J.E.; Hacker, A.; Mackintosh, C.A.; Pegg, A.E.; Woster, P.M.; Casero, R.A., Jr. Spermine and spermidine mediate protection against oxidative damage caused by hydrogen peroxide. Amino Acids 2007, 33, 231–240. [Google Scholar] [CrossRef]
- Hofer, S.J.; Simon, A.K.; Bergmann, M.; Eisenberg, T.; Kroemer, G.; Madeo, F. Mechanisms of spermidine-induced autophagy and geroprotection. Nat. Aging 2022, 2, 1112–1129. [Google Scholar] [CrossRef] [PubMed]
- Liao, C.Y.; Kummert, O.M.P.; Bair, A.M.; Alavi, N.; Alavi, J.; Miller, D.M.; Bagga, I.; Schempf, A.M.; Hsu, Y.M.; Woods, B.D.; et al. The Autophagy Inducer Spermidine Protects Against Metabolic Dysfunction During Overnutrition. J. Gerontol. Ser. A 2021, 76, 1714–1725. [Google Scholar] [CrossRef] [PubMed]
- Eisenberg, T.; Abdellatif, M.; Schroeder, S.; Primessnig, U.; Stekovic, S.; Pendl, T.; Harger, A.; Schipke, J.; Zimmermann, A.; Schmidt, A.; et al. Cardioprotection and lifespan extension by the natural polyamine spermidine. Nat. Med. 2016, 22, 1428–1438. [Google Scholar] [CrossRef] [PubMed]
- Stocker, R.; Keaney, J.F., Jr. Role of oxidative modifications in atherosclerosis. Physiol. Rev. 2004, 84, 1381–1478. [Google Scholar] [CrossRef]
- Haberland, M.E.; Olch, C.L.; Folgelman, A.M. Role of lysines in mediating interaction of modified low density lipoproteins with the scavenger receptor of human monocyte macrophages. J. Biol. Chem. 1984, 259, 11305–11311. [Google Scholar] [CrossRef] [PubMed]
- Qin, K.; Shi, D.; Zheng, Y.; Hu, W.; Kang, X.; Wu, P.; Hao, X.; Liu, H.; Gao, J.; Li, J.; et al. Synthesis and evaluation of a 68Ga-labeled spermine derivative for tumor PET imaging. Nucl. Med. Biol. 2024, 134–135, 108915. [Google Scholar] [CrossRef]
- Toursarkissian, B.; Endean, E.D.; Aziz, S.M. Characterization of polyamine transport in rat aortic smooth muscle cells. J. Surg. Res. 1994, 57, 401–407. [Google Scholar] [CrossRef] [PubMed]
- LaRocca, T.J.; Gioscia-Ryan, R.A.; Hearon, C.M., Jr.; Seals, D.R. The autophagy enhancer spermidine reverses arterial aging. Mech. Ageing Dev. 2013, 134, 314–320. [Google Scholar] [CrossRef] [PubMed]
- De Meyer, G.R.; Grootaert, M.O.; Michiels, C.F.; Kurdi, A.; Schrijvers, D.M.; Martinet, W. Autophagy in vascular disease. Circ. Res. 2015, 116, 468–479. [Google Scholar] [CrossRef] [PubMed]
- Batty, M.; Bennett, M.R.; Yu, E. The Role of Oxidative Stress in Atherosclerosis. Cells 2022, 11, 3824. [Google Scholar] [CrossRef]
- Eisenberg, T.; Knauer, H.; Schauer, A.; Buttner, S.; Ruckenstuhl, C.; Carmona-Gutierrez, D.; Ring, J.; Schroeder, S.; Magnes, C.; Antonacci, L.; et al. Induction of autophagy by spermidine promotes longevity. Nat. Cell Biol. 2009, 11, 1305–1314. [Google Scholar] [CrossRef] [PubMed]
- Nowak, B.; Madej, M.; Luczak, A.; Malecki, R.; Wiland, P. Disease Activity, Oxidized-LDL Fraction and Anti-Oxidized LDL Antibodies Influence Cardiovascular Risk in Rheumatoid Arthritis. Adv. Clin. Exp. Med. 2016, 25, 43–50. [Google Scholar] [CrossRef]
- Griendling, K.K.; Sorescu, D.; Ushio-Fukai, M. NAD(P)H oxidase: Role in cardiovascular biology and disease. Circ. Res. 2000, 86, 494–501. [Google Scholar] [CrossRef]
- Milovic, V.; Faust, D.; Turchanowa, L.; Stein, J.; Caspary, W.F. Permeability characteristics of polyamines across intestinal epithelium using the Caco-2 monolayer system: Comparison between transepithelial flux and mitogen-stimulated uptake into epithelial cells. Nutrition 2001, 17, 462–466. [Google Scholar] [CrossRef] [PubMed]
- Milovic, V. Polyamines in the gut lumen: Bioavailability and biodistribution. Eur. J. Gastroenterol. Hepatol. 2001, 13, 1021–1025. [Google Scholar] [CrossRef] [PubMed]
- Kibe, R.; Kurihara, S.; Sakai, Y.; Suzuki, H.; Ooga, T.; Sawaki, E.; Muramatsu, K.; Nakamura, A.; Yamashita, A.; Kitada, Y.; et al. Upregulation of colonic luminal polyamines produced by intestinal microbiota delays senescence in mice. Sci. Rep. 2014, 4, 4548. [Google Scholar] [CrossRef]
- Matsumoto, M.; Kurihara, S.; Kibe, R.; Ashida, H.; Benno, Y. Longevity in mice is promoted by probiotic-induced suppression of colonic senescence dependent on upregulation of gut bacterial polyamine production. PLoS ONE 2011, 6, e23652. [Google Scholar] [CrossRef] [PubMed]
- Mozdzan, M.; Szemraj, J.; Rysz, J.; Stolarek, R.A.; Nowak, D. Anti-oxidant activity of spermine and spermidine re-evaluated with oxidizing systems involving iron and copper ions. Int. J. Biochem. Cell Biol. 2006, 38, 69–81. [Google Scholar] [CrossRef] [PubMed]
- Ferioli, M.E.; Pinotti, O.; Pirona, L. Gender-related differences in polyamine oxidase activity in rat tissues. Amino Acids 1999, 17, 139–148. [Google Scholar] [CrossRef] [PubMed]
- Schibalski, R.S.; Shulha, A.S.; Tsao, B.P.; Palygin, O.; Ilatovskaya, D.V. The role of polyamine metabolism in cellular function and physiology. Am. J. Physiol. Cell Physiol. 2024, 327, C341–C356. [Google Scholar] [CrossRef]
- el-Saadani, M.; Esterbauer, H.; el-Sayed, M.; Goher, M.; Nassar, A.Y.; Jurgens, G. A spectrophotometric assay for lipid peroxides in serum lipoproteins using a commercially available reagent. J. Lipid Res. 1989, 30, 627–630. [Google Scholar] [CrossRef] [PubMed]
- Lowry, O.H.; Rosebrough, N.J.; Farr, A.L.; Randall, R.J. Protein measurement with the Folin phenol reagent. J. Biol. Chem. 1951, 193, 265–275. [Google Scholar] [CrossRef] [PubMed]
- Pilz, J.; Meineke, I.; Gleiter, C.H. Measurement of free and bound malondialdehyde in plasma by high-performance liquid chromatography as the 2,4-dinitrophenylhydrazine derivative. J. Chromatogr. B Biomed. Sci. Appl. 2000, 742, 315–325. [Google Scholar] [CrossRef]
- Turkmen, S.; Cekic Gonenc, O.; Karaca, Y.; Mentese, A.; Demir, S.; Beyhun, E.; Sahin, A.; Gunduz, A.; Yulug, E.; Turedi, S. The effect of ethyl pyruvate and N-acetylcysteine on ischemia-reperfusion injury in an experimental model of ischemic stroke. Am. J. Emerg. Med. 2016, 34, 1804–1807. [Google Scholar] [CrossRef] [PubMed]
- Hoerl, G.; Ledinski, G.; Kager, G.; Thalhammer, M.; Koestenberger, M.; Juergens, G.; Gary, T.; Cvirn, G. Virtually same oxidizability of LDL but higher Lp(a) levels in arterial compared to venous plasma. Chem. Phys. Lipids 2014, 184, 38–41. [Google Scholar] [CrossRef] [PubMed]
- Edgell, C.J.; McDonald, C.C.; Graham, J.B. Permanent cell line expressing human factor VIII-related antigen established by hybridization. Proc. Natl. Acad. Sci. USA 1983, 80, 3734–3737. [Google Scholar] [CrossRef] [PubMed]
- Emeis, J.J.; Edgell, C.J. Fibrinolytic properties of a human endothelial hybrid cell line (Ea.hy 926). Blood 1988, 71, 1669–1675. [Google Scholar] [CrossRef] [PubMed]
- Bauer, J.; Margolis, M.; Schreiner, C.; Edgell, C.J.; Azizkhan, J.; Lazarowski, E.; Juliano, R.L. In vitro model of angiogenesis using a human endothelium-derived permanent cell line: Contributions of induced gene expression, G-proteins, and integrins. J. Cell Physiol. 1992, 153, 437–449. [Google Scholar] [CrossRef] [PubMed]
- Riesbeck, K.; Billstrom, A.; Tordsson, J.; Brodin, T.; Kristensson, K.; Dohlsten, M. Endothelial cells expressing an inflammatory phenotype are lysed by superantigen-targeted cytotoxic T cells. Clin. Diagn. Lab. Immunol. 1998, 5, 675–682. [Google Scholar] [CrossRef] [PubMed]
- Marenich, A.V.; Cramer, C.J.; Truhlar, D.G. Universal solvation model based on solute electron density and on a continuum model of the solvent defined by the bulk dielectric constant and atomic surface tensions. J. Phys. Chem. B 2009, 113, 6378–6396. [Google Scholar] [CrossRef] [PubMed]





| Radical | Position of H-Abstraction | Gibbs Free Energy (kcal/mol) | |
|---|---|---|---|
| Water | Benzene | ||
| 1 | −25.01 | −20.17 | |
| 2 | −29.29 | −28.69 | |
| Hydroxyl radical | 3 | −24.42 | −22.20 |
| 4 | −25.25 | −22.65 | |
| 5 | −30.79 | −29.24 | |
| 6 | −32.12 | −31.09 | |
| 7 | −31.04 | −29.99 | |
| 8 | −24.49 | −21.78 | |
| 9 | −29.42 | −28.85 | |
| 10 | −25.58 | −21.48 | |
| 1 | 08.48 | 13.30 | |
| Hydroperoxyl radical | 2 | 04.19 | 04.79 |
| 3 | 09.07 | 11.28 | |
| 4 | 08.24 | 10.83 | |
| 5 | 02.69 | 04.24 | |
| 6 | 01.36 | 02.38 | |
| 7 | 02.44 | 03.49 | |
| 8 | 09.00 | 11.70 | |
| 9 | 04.07 | 04.63 | |
| 10 | 07.90 | 12.00 | |
| 1 | 24.25 | 34.99 | |
| 2 | 19.96 | 26.48 | |
| Superoxide radical anion | 3 | 24.84 | 32.96 |
| 4 | 24.01 | 32.52 | |
| 5 | 18.46 | 25.92 | |
| 6 | 17.13 | 24.07 | |
| 7 | 18.21 | 25.18 | |
| 8 | 24.77 | 33.39 | |
| 9 | 19.84 | 26.32 | |
| 10 | 23.67 | 33.69 | |
Disclaimer/Publisher’s Note: The statements, opinions and data contained in all publications are solely those of the individual author(s) and contributor(s) and not of MDPI and/or the editor(s). MDPI and/or the editor(s) disclaim responsibility for any injury to people or property resulting from any ideas, methods, instructions or products referred to in the content. |
© 2025 by the authors. Licensee MDPI, Basel, Switzerland. This article is an open access article distributed under the terms and conditions of the Creative Commons Attribution (CC BY) license (https://creativecommons.org/licenses/by/4.0/).
Share and Cite
Rossmann, C.; Darko, A.; Kager, G.; Ledinski, G.; Wonisch, W.; Wagner, T.; Hallström, S.; Reibnegger, G.; Paar, M.; Cvirn, G. Natural Polyamine Spermidine Inhibits the In Vitro Oxidation of LDL. Molecules 2025, 30, 955. https://doi.org/10.3390/molecules30040955
Rossmann C, Darko A, Kager G, Ledinski G, Wonisch W, Wagner T, Hallström S, Reibnegger G, Paar M, Cvirn G. Natural Polyamine Spermidine Inhibits the In Vitro Oxidation of LDL. Molecules. 2025; 30(4):955. https://doi.org/10.3390/molecules30040955
Chicago/Turabian StyleRossmann, Christine, Azra Darko, Gerd Kager, Gerhard Ledinski, Willibald Wonisch, Thomas Wagner, Seth Hallström, Gilbert Reibnegger, Margret Paar, and Gerhard Cvirn. 2025. "Natural Polyamine Spermidine Inhibits the In Vitro Oxidation of LDL" Molecules 30, no. 4: 955. https://doi.org/10.3390/molecules30040955
APA StyleRossmann, C., Darko, A., Kager, G., Ledinski, G., Wonisch, W., Wagner, T., Hallström, S., Reibnegger, G., Paar, M., & Cvirn, G. (2025). Natural Polyamine Spermidine Inhibits the In Vitro Oxidation of LDL. Molecules, 30(4), 955. https://doi.org/10.3390/molecules30040955

