[Tc(NO)Cl2(PPh3)2(CH3CN)] and Its Reactions with 2,2′-Dipyridyl Dichalcogenides
Abstract
1. Introduction
2. Results and Discussion
2.1. Structure and Reactivity of the Starting Complex [Tc(NO)Cl2(PPh3)2(CH3CN)]
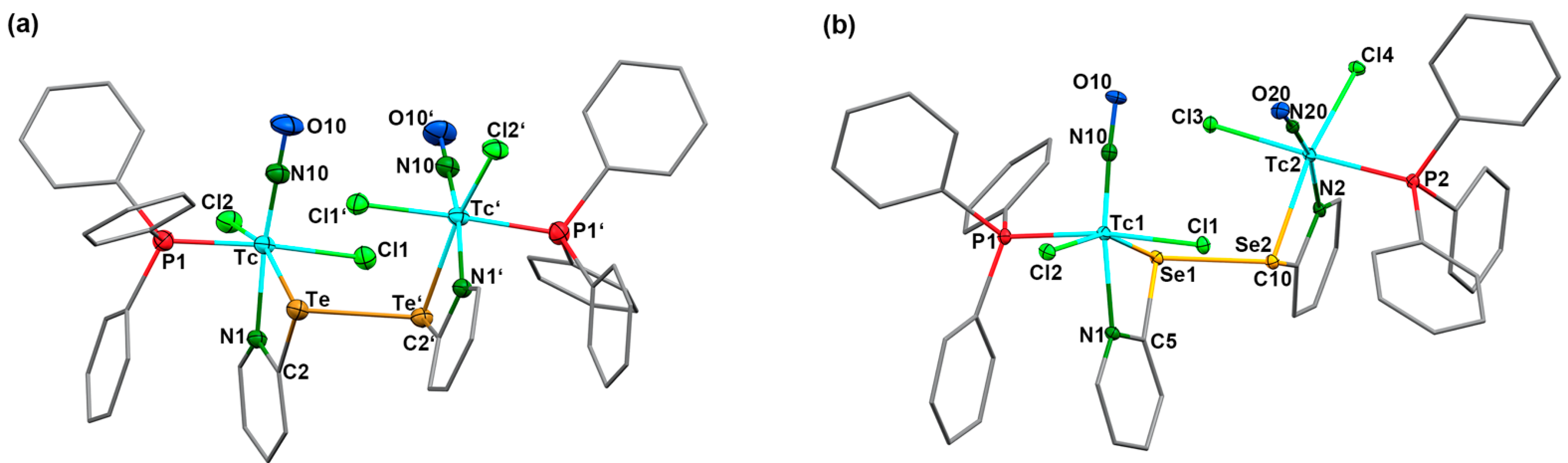
2.2. Reactions of [Tc(NO)Cl2(PPh3)2(CH3CN)] (1) with 2,2′-Dipyridyl Dichalcogenides
2.3. DFT Calculations
3. Materials and Methods
3.1. Radiation Precaution
3.2. Physical Measurements
3.3. Syntheses
- [Tc(NO)Cl3(OPPh3)2] (2). [Tc(NO)Cl2(PPh3)2(CH3CN)] (1) (76 mg, 0.1 mmol) was suspended in toluene (5 mL) and heated under reflux for 5 h in air. The insoluble starting material slowly dissolved and a dark solution was formed. A dark purple solid precipitated upon cooling and purple single crystals formed upon slow evaporation of the residual solution. Yield: 60% (47 mg). IR (KBr, cm−1): 3425(m), 3056(w), 2918(w), 1798(vs) νNO, 1589(w), 1437(s), 1319(m), 1175(m) νPO, 1159(m) νPO, 1123(vs) νPO, 1080(s), 1120(m), 1026(m), 997(m), 752(m), 727(vs), 692(s), 623(w), 536(s), 471(w). EPR (RT, CHCl3): g0 = 2.0291; a0Tc = 152 × 10−4 cm−1. EPR (77 K, CHCl3): g‖ = 1.9750, g⊥ = 2.0320; A‖Tc = 273 × 10−4 cm−1, A⊥Tc = 110 × 10−4 cm−1.
- [{Tc(NO)Cl2(PPh3)}2{µ-(2-pyTe)2}] (3). (a) (2-pyTe)2 (50 mg, 0.13 mmol) was dissolved in CH2Cl2 (3 mL) and added to a suspension of [Tc(NO)Cl2(PPh3)2(CH3CN)] (1) (76 mg, 0.1 mmol) in CH2Cl2 (3 mL). The mixture was stirred at room temperature for 3 h. A gradual dissolution of the starting material and the formation of a deep-blue solution was observed, from which a blue solid started to precipitate. The solution was filtered, and toluene (2 mL) was added to the filtrate. Slow evaporation of the solvents resulted in the formation of blue single crystals for X-ray diffraction. The crystalline product was identical to the blue powder, which separated from the reaction mixture in the first step, as could be proven by IR, NMR, and UV/vis measurements. Overall yield: 49 mg (74%). (b) (2-pyTe)2 (50 mg, 0.13 mmol) was dissolved in 2 mL toluene and added to a suspension of [Tc(NO)Cl2(PPh3)2(CH3CN)] (1) (76 mg, 0.1 mmol) in toluene (2 mL). The mixture was heated under reflux for 1 h. A deep-blue solid gradually precipitated from the reaction mixture during the reflux period. More product was obtained upon cooling. It was filtered off and recrystallized from CH2Cl2/toluene. Yield: 37 mg (55%). IR (KBr, cm−1): 3433(s), 3037(w), 2968(w), 2920(w), 1753(vs) νNO, 1561(w), 1497(w), 1436(s), 1271(m), 1157(w), 1091(m), 1041(w), 1026(w), 748(m), 696(s), 522(s). 1H-NMR (CD2Cl2, ppm): 8.24 (d, 2H, py), 7.62–7.75 (m, 2H, py), 7.48–7.45 (m, 2H, py), 7.30–7.26 (m, 6H, PPh3), 7.09–7.26 (m, 24H, PPh3) 6.96–6.93 (m, 2H, py). 99Tc-NMR (CD2Cl2, ppm): 716 (ν1/2 = 2200 Hz). UV/Vis (CH2Cl2, λmax, nm, ε): 444, 2863 cm−1mol−1.
- [{Tc(NO)Cl2(PPh3)}2{µ-(2-pySe)2}] (4). (2-pySe)2 (40 mg, 0.13 mmol) was dissolved in CH2Cl2 (3 mL) and added to a suspension of [Tc(NO)Cl2(PPh3)2(CH3CN)] (1) (76 mg, 0.1 mmol) in CH2Cl2 (3 mL). The mixture was stirred at room temperature for 3 h. A gradual dissolution of the starting material was observed. The solution was filtered, and toluene (2 mL) was added to the filtrate. Slow evaporation of the solvents resulted in the formation of red-brown single crystals, which were suitable for X-ray diffraction. Yield: 22 mg (35%). More product could be isolated from the mother liquor. This, however, contained significant amounts of the Tc(II) product 5. Analytical data have been determined for the crystalline product 4. IR (KBr, cm−1): 3428(s), 3049(w), 2968(w), 1722 (vs) νNO, 1562(m), 1497(w), 1436(s), 1414(s) 1186(m), 1117(m), 754(m), 721(m), 694(s), 542(s), 522(m). 1H-NMR (CD2Cl2, ppm): 8.24 (d, 2H, py), 7.62–7.75 (m, 2H, py), 7.48–7.45 (m, 2H,py), 7.30–7.26 (m, 6H, PPh3), 7.09–7.26 (m, 24H, PPh3) 6.96–6.93 (m, 2H, py). 99Tc-NMR (CD2Cl2, ppm): 885 (ν1/2 = 1940 Hz). UV/Vis (CH2Cl2, λmax, nm, ε): 476, 3002 cm−1mol−1, 768, 2442 cm−1mol−1.
- [Tc(NO)Cl2(PPh3)(2-pySe)] (5): [Tc(NO)Cl2(PPh3)2(CH3CN)] (76 mg, 0.1 mmol) was suspended in toluene (4 mL) and (2-pySe)2 (14 mg, 0.13 mmol) was added dissolved in 4 mL toluene. The mixture was heated under reflux for 90 min, filtered, and allowed to cool to room temperature. A small amount of a green powder was deposited upon slow evaporation of the dark brown solution. Yield: 15 mg (22%). More of compound 5 was contained in the remaining solution, as was confirmed by EPR and IR spectroscopy. This extra amount, however, could not be isolated in an analytically pure form due to impurities of 4 and a second paramagnetic Tc(II) product. Analytical data have been determined for the crystalline product 5. IR (KBr, cm−1): 3426(m), 3053(w), 2922(m), 2852(w), 1778(s) νNO, 1584(s), 1444(vs), 1416(vs), 1266(w), 1192(s), 1119(s), 754(s), 721(s), 688(s), 542(vs). EPR (RT, CHCl3): g0 = 2.0315; a0Tc = 119 × 10−4 cm−1. EPR (77 K, CHCl3): g‖ = 2.0850, g⊥ = 2.0265; A‖Tc = 199 × 10−4 cm−1, A⊥Tc = 86 × 10−4 cm−1, A‖P = 20 × 10−4 cm−1, A⊥P = 18 × 10−4 cm−1.
- [Tc(NO)Cl2(PPh3)(2-pyS)] (6): (a) (2-pyS)2 (28 mg, 0.13 mmol) was dissolved in CH2Cl2 (3 mL) and added to a suspension of [Tc(NO)Cl2(PPh3)2(CH3CN)] (1) (76 mg, 0.1 mmol) in CH2Cl2 (3 mL). The mixture was stirred at room temperature for 3 h. A gradual dissolution of the starting material and the formation of a green solution was observed. The solution was filtered and toluene (2 mL) was added to the filtrate. Slow evaporation of the solvents resulted in the formation of green single crystals for X-ray diffraction. Yield: 48 mg (85%). (b) The same product was obtained when the reaction was performed in refluxing toluene (1 h). Yield: 43 mg (75%). IR (KBr, cm−1): 3068(w), 1759(vs) νNO, 1585(w), 1481(w), 1433(s), 1271(m), 1134(w), 1097(m), 1090(w), 997(w), 764(m), 746(s), 729(s), 694(s), 525(m), 513(m), 497(m), 443(w). EPR (RT, CHCl3): g0 = 2.0225; a0Tc = 126 × 10−4 cm−1. EPR (77 K, CHCl3): g‖ = 2.0650, g⊥ = 2.0265; A‖Tc = 150 × 10−4 cm−1, A⊥Tc = 86 × 10−4 cm−1, A‖P = 15 × 10−4 cm−1, A⊥P = 9 × 10−4 cm−1. UV/Vis (CH2Cl2, λmax, nm, ε): 462, 2051 cm−1mol−1, 698, 3650 cm−1mol−1.
3.4. X-Ray Crystallography
3.5. Computational Chemistry
4. Conclusions
Supplementary Materials
Author Contributions
Funding
Institutional Review Board Statement
Informed Consent Statement
Data Availability Statement
Acknowledgments
Conflicts of Interest
References
- Lippolis, V.; Santi, C.; Lenardao, E.J.; Braga, A.L. Chalcogen Chemistry; RSC Publishing: Cambridge, UK, 2023; ISBN 978-1-83916-422-4. [Google Scholar]
- Lenardao, E.J.; Santi, C.; Perin, G.; Alves, D. Organochalcogen Compounds; Elsevier Science & Techn.: Amsterdam, The Netherlands, 2022; ISBN 9780128194508. [Google Scholar]
- Santoro, S.; Azeredo, J.B.; Nascimento, V.; Sancineto, L.; Braga, A.L.; Santi, C. The green side of the moon: Ecofriendly aspects of organoselenium chemistry. RSC Adv. 2014, 4, 31521–31535. [Google Scholar] [CrossRef]
- Jurinic, C.K.; Belladona, A.L.; Schumacher, R.F.; Godoi, B. Diorganyl Dichalcogenides and Copper/Iron Salts: Versatile Cyclization System to Achieve Carbo- and Heterocycles from Alkynes. Synthesis 2021, 53, 2445–2558. [Google Scholar]
- Wang, C.; Zhang, Y.; Sun, K.; Yu, T.; Liu, F.; Wang, X. Synthesis and Application Dichalcogenides as Radical Reagents with Photochemical Technology. Molecules 2023, 28, 1998. [Google Scholar] [CrossRef] [PubMed]
- Mugesh, G.; du Mont, W.-W.; Sies, H. Chemistry of biologically important synthetic organoselenium compounds. Chem. Rev. 2001, 101, 2125–2180. [Google Scholar] [CrossRef]
- Alvarez-Perez, M.; Ali, W.; Marc, M.M.; Hanzlik, J.; Dominguez-Alvarez, E. Selenides and Diselenides: A Review of Their Anticancer and Chemopreventive Activity. Molecules 2018, 23, 628. [Google Scholar] [CrossRef] [PubMed]
- Weiss, R.; Aubert, E.; Groslambert, L.; Pale, P.; Mamane, V. Chalcogen Bonding with Diaryl Ditellurides: Evidence from Solid State and Solution Studies. Chem. Eur. J. 2022, 25, e202200395. [Google Scholar] [CrossRef]
- Ivanova, A.; Arsenyan, P. Rise of diselenides: Recent advances in the synthesis of heteroarylselenides. Coord. Chem. Rev. 2018, 370, 55–68. [Google Scholar] [CrossRef]
- Cargnelutti, R.; Schumacher, R.F.; Belladonna, A.L.; Kazmierczak, J.C. Coordination chemistry and synthetic approaches of pyridyl-selenium ligands: A decade update. Coord. Chem. Rev. 2021, 426, 213537. [Google Scholar] [CrossRef]
- Singh, A.; Kaushik, A.; Dhau, J.S.; Kumar, R. Exploring coordination preferences and biological applications of pyridyl-based organochalcogen (Se, Te) ligands. Coord. Chem. Rev. 2022, 450, 214254. [Google Scholar] [CrossRef]
- Matsumoto, K.; Kitayama, N.; Hirao, Y.; Kurata, H.; Kubo, T. Synthesis of a cage-shaped Nickel(II) complex of bis(4-cyclohexylamino-3-pyridyl)disulfide with µ2-Cl bridging. Heterocycles 2016, 93, 406–410. [Google Scholar]
- Pal, M.K.; Karmakar, G.; Shah, A.Y.; Tyagi, A.; Bhuvanesh, N.; Dey, S. Accessing copper selenide nanostructures through a 1D coordination polymer of copper(ii) with 4,4′-dipyridyldiselenide as a molecular precursor. New J. Chem. 2023, 47, 16954–16963. [Google Scholar] [CrossRef]
- Chaudhari, K.R.; Kunwar, A.; Bhuvanesh, N.; Dey, S. Synthesis and anti-proliferative activities of amine capped Pd and Pt macrocycles of 4,4′-dipyridylselenides. New J. Chem. 2020, 44, 7329–7337. [Google Scholar] [CrossRef]
- Pal, M.K.; Wadawale, A.P.; Cauhan, N.; Majumdar, A.G.; Subramanian, M.; Bhuvanesh, N.; Dey, S. Anticancer potential of Pd and Pt metallo-macrocycles of phosphines and 4,4΄-dipyridyldiselenide. Polyhedron 2022, 211, 115547. [Google Scholar] [CrossRef]
- Chaudhari, K.R.; Paluru, D.K.; Wadawale, A.P.; Dey, S. Allylpalladium complexes of pyridylselenolates as precursors for palladium selenides. Inorg. Chim. Acta 2017, 467, 221–226. [Google Scholar] [CrossRef]
- Vivekananda, K.V.; Dey, S.; Wadawale, A.; Bhuvanesh, N.; Jain, V.K. Syntheses of Pd(II)/Pt(II) complexes with non-chelating 4-pyridylselenolate ligands ranging from mononuclear to macrocyclic structures and their utility as catalysts in Suzuki C-C coupling reaction. Dalton Trans. 2013, 42, 14158–14167. [Google Scholar] [CrossRef] [PubMed]
- Dey, S.; Vivekananda, K.V.; Bhuvanesh, N. Supramolecular Pt and Pd Complexes of 4,40-dipyridylditelluride/diselenide ligands through self-assembly. Eur. J. Inorg. Chem. 2018, 2018, 3579–3586. [Google Scholar] [CrossRef]
- Cargnelutti, R.; Delgado, C.P.; Cervo, R.; Tirloni, B.; Burrow, R.A.; Schulz Lang, E. Synthesis and structural chemistry of CoII, CuII, CuI and PdII complexes containing a flexible monoselenoether ligand. New J. Chem. 2018, 42, 17185–17189. [Google Scholar] [CrossRef]
- Santos dos Santos, S.; Cabral, B.N.; Abram, U.; Schulz Lang, E. Bis(4-pyridyl)ditelluride as starting material for the synthesis of zwitterionic compounds and metal complexes. J. Organomet. Chem. 2013, 723, 115–121. [Google Scholar] [CrossRef]
- For Almost 200 Disulfide Complexes See: Cambridge Crystallographic Database, Vers. 5.44. Available online: https://www.ccdc.cam.ac.uk/ (accessed on 25 December 2024).
- Raper, E.S. Complexes of heterocyclic thionates. Part 1. Complexes of monodentate and chelating ligands. Coord. Chem. Rev. 1996, 153, 199–255. [Google Scholar] [CrossRef]
- Raper, E.S. Complexes of heterocyclic thionates Part 2: Complexes of bridging ligands. Coord. Chem. Rev. 1997, 165, 475–567. [Google Scholar] [CrossRef]
- Peloquin, D.M.; Schmedake, T.A. Recent advances in hexacoordinate silicon with pyridine-containing ligands: Chemistry and emerging applications. Coord. Chem. Rev. 2016, 323, 107–119. [Google Scholar] [CrossRef]
- Kedarnath, G.; Jain, V.K. Pyridyl and pyrimidyl chalcogen (Se and Te) compounds: A family of multi utility molecules. Coord. Chem. Rev. 2013, 257, 1409–1435. [Google Scholar] [CrossRef]
- Jain, V.K. Pyridyl and pyrimidyl chalcogenolates of coinage metals and their utility as molecular precursors for the preparation of metal chalcogenides. New J. Chem. 2019, 43, 11034–11040. [Google Scholar] [CrossRef]
- Kienitz, C.O.; Thöne, C.; Jones, P.G. The Coordination Chemistry of 2,2′-Dipyridyldiselenide (PySeSePy), Part 2. Complexes with Manganese, Copper and Zinc. Z. Naturforsch. 2000, B55, 587–596. [Google Scholar] [CrossRef]
- Kienitz, C.O.; Thöne, C.; Jones, P.G. Coordination Chemistry of 2,2‘-Dipyridyl Diselenide: X-ray Crystal Structures of PySeSePy, [Zn(PySeSePy)Cl2], [(PySeSePy)Hg(C6F5)2], [Mo(SePy)2(CO)3], [W(SePy)2(CO)3], and [Fe(SePy)2(CO)2] (PySeSePy = C5H4NSeSeC5H4N; SePy = [C5H4N(2-Se)-N,Se]). Inorg. Chem. 1996, 35, 3990–3997. [Google Scholar] [CrossRef]
- Cargnelutti, R.; Hagenbach, A.; Abram, U.; Burrow, R.A.; Schulz Lang, E. Synthesis and structure of Au(I), Cu(I) and Cu(II) complexes with bis(2-pyridyl)diselenide: The copper complexes and its oxidation products. Polyhedron 2015, 96, 33–37. [Google Scholar] [CrossRef]
- de Sousa Dias, R.; Cervo, R.; dos Santos Siqueira, F.; Anraku de Campos, M.M.; Schulz Lang, E.; Tirloni, B.; Schumacher, R.F.; Cargnelutti, R. Synthesis and antimicrobial evaluation of coordination compounds containing 2,2′-bis(3-aminopyridyl) diselenide as ligand. Appl. Organomet. Chem. 2020, 34, e5750. [Google Scholar] [CrossRef]
- Dornelles da Silva, F.; Bortolotto, T.; Tirloni, B.; de Freitas Daudt, N.; Schulz Lang, E.; Cargnelutti, R. Bis(2-pyridyl)ditellane as a precursor to CoII, CuI and CuII complex formation: Structural characterization and photocatalytic studies. New. J. Chem. 2022, 46, 18165–18172. [Google Scholar] [CrossRef]
- Kedarnath, G.; Jain, V.K.; Wadawale, A.; Dey, G.K. Bis(3-methyl-2-pyridyl)ditelluride and pyridyl tellurolate complexes of zinc, cadmium, mercury: Synthesis, characterization and their conversion to metal telluride nanoparticles. Dalton Trans. 2009, 8378–8385. [Google Scholar] [CrossRef]
- Chauhan, R.S.; Kedarnath, G.; Rheingold, A.L.; Munoz-Castro, A.; Arratia-Perez, R.; Jain, V.K. Reactivity of Dipyridyl Ditellurides with (Diphosphine)Pt0 and 2-Pyridyltellurolates with (Diphosphine)PtCl2 and Isolation of Different Structural Motifs of Platinum(II) Complexes. Organometallics 2012, 31, 1743–1750. [Google Scholar] [CrossRef]
- da Silva, F.D.; Simoes, C.A.D.P.; dos Santos, S.S.; Lang, E.S. Versatility of Bis(2-pyridyl)ditellane. Chem. Select 2017, 2, 2708–2712. [Google Scholar] [CrossRef]
- Blanchard, S.S.; Nicholson, T.; Davison, A.; Davis, W.; Jones, A.G. The synthesis, characterization and substitution reactions of the mixed ligand technetium(I) nitrosyl complex trans-trans-[(NO)(NCCH3)Cl2(PPh3)2Tc]. Inorg. Chim. Acta 1996, 244, 121–130. [Google Scholar] [CrossRef]
- Nicholson, T.; Chun, E.; Mahmood, A.; Mueller, P.; Davison, A.; Jones, A.G. Synthesis, spectroscopy and structural analysis of Technetium and Rhenium nitrosyl complexes. Commun. Inorg. Chem. 2015, 3, 31–39. [Google Scholar]
- Blanchard, S.S.; Nicholson, T.; Davison, A.; Jones, A.G. Ligand substitution reactions of [Tc(NO)Cl2(PPh3)2(NCCH3)] with π-acceptor ligands. Inorg. Chim. Acta 1997, 254, 225–231. [Google Scholar] [CrossRef]
- Nicholson, T.; Hirsch-Kuchma, M.; Freiberg, E.; Davison, A.; Jones, A.G. The reaction chemistry of a technetium(I) nitrosyl complex with potentially chelating organohydrazines: The X-ray crystal structure of [TcCl2(NO)(HNNC5H4N)(PPh3)]. Inorg. Chim. Acta 1998, 279, 206–209. [Google Scholar] [CrossRef]
- DeVries, N.; Cook, J.; Davison, A.; Nicholson, T.; Jones, A.G. Synthesis and characterization of a technetium(III) nitrosyl compound: Tc(NO)(Cl)(SC10H13)3. Inorg. Chem. 1990, 29, 1062–1064. [Google Scholar] [CrossRef]
- Grunwald, A.C.; Scholtysik, C.; Hagenbach, A.; Abram, U. One Ligand, One Metal, Seven Oxidation States: Stable Technetium Complexes with the “Kläui Ligand”. Inorg. Chem. 2020, 59, 9396–9405. [Google Scholar] [CrossRef] [PubMed]
- Claude, G.; Salsi, F.; Hagenbach, A.; Gembicky, M.; Drance, M.J.; Neville, M.; Chan, C.; Figueroa, J.S.; Abram, U. Structural and Redox Variations in Technetium Complexes Supported by m-Terphenyl Isocyanides. Organometallics 2020, 39, 2287–2294. [Google Scholar] [CrossRef]
- Jacobsen, H.; Schmalle, H.W.; Messmer, A.; Berke, H. Remarkable low symmetry hydrogen bonding network in the structure of ReCl2(NCMe)(NO)(PMe3)2. Inorg. Chim. Acta 2000, 306, 153–159. [Google Scholar] [CrossRef]
- Jiang, Y.; Blacque, O.; Berke, H. Probing the catalytic potential of chloro nitrosyl rhenium(i) complexes. Dalton Trans. 2011, 40, 2578–2587. [Google Scholar] [CrossRef]
- Ackermann, J.; Hagenbach, A.; Abram, U. {Tc(NO)(Cp)(PPh3)}+—A novel technetium(I) core. Chem. Commun. 2016, 52, 10285–10288. [Google Scholar] [CrossRef] [PubMed]
- Abram, U.; Kirmse, R.; Köhler, K.; Lorenz, B.; Kaden, L. Tc(NX)Y3(Me2PhP)2 Complexes (X = O or S; Y = Cl or Br). Preparation, Characterization and EPR Studies. Inorg. Chim. Acta 1987, 129, 15–20. [Google Scholar] [CrossRef]
- Sawallisch, T.E.; Abdulkader, A.; Nowak, D.; Hagenbach, A.; Abram, U. Nitrosyl and Thionitrosyl Complexes of Technetium and Rhenium and Their Reactions with Hydrotris(pyrazolylborates). Molecules 2024, 29, 3865. [Google Scholar] [CrossRef]
- Kaden, L.; Lorenz, B.; Kirmse, R.; Stach, J.; Behm, H.; Beurskens, P.T.; Abram, U. Synthesis, characterization and x-ray molecular and crystal structure of Tc(NS)Cl3(Me2PhP)(Me2PhPO)-a first example of mixed phosphine/phosphine oxide coordination. Inorg. Chim. Acta 1990, 169, 43–48. [Google Scholar] [CrossRef]
- Abram, U.; Schulz Lang, E.; Abram, S.; Wegmann, J.; Dilworth, J.R.; Kirmse, R.; Woolins, J.D. Technetium(V) and rhenium(V) nitrido complexes with bis(diphenyl-thiophosphoryl)amide, N(SPPh2)2-. J. Chem. Soc. Dalton Trans. 1997, 623–630. [Google Scholar] [CrossRef]
- Kirmse, R.; Stach, J.; Lorenz, B.; Marov, I.N. EPR on tetra-n-butylammonium-(tetrabromo-nitrosyl-technetate(II)). Z. Chem. 1984, 24, 36–37. [Google Scholar] [CrossRef]
- Kirmse, R.; Stach, J.; Abram, U. EPR on tetrabutylammonium tetraiodo-nitrosyltechnetate(II), (Bu4N)[Tc(NO)I4]. Polyhedron 1985, 4, 1275–1277. [Google Scholar] [CrossRef]
- Kirmse, R.; Stach, J.; Abram, U.; Marov, I.N. Zu Struktur, Bindung und Ligandenaustauschverhalten von Nitrosyltechnetium(II)-Verbindungen. Eine EPR-Untersuchung. Z. Anorg. Allg. Chem. 1984, 518, 210–226. [Google Scholar] [CrossRef]
- Pickardt, J.; von Chrzanowski, L.; Steudel, R.; Borowski, M.; Beck, S. Metallkomplexe von 2,2′-Dipyridyldisulfid mit Quecksilber(II)-, Cadmium(II)- und Zink(II)-Halogeniden und mit Cadmium(II)- Trifluormethansulfonat / Metal Complexes of 2,2′-Dipyridyldisulfide with Mercury(II), Cadmium(II), and Zinc(II) Halides and with Cadmium(II) Trifluoromethanesulfonate. Z. Naturforsch. 2005, 60, 373–376. [Google Scholar]
- Thöne, C.; Narro, N.; Jones, P.G. Private Communication (QUWFOE) Submitted 2010 to Cambridge Crystallographic Database, Vers. 5.44. Available online: https://www.ccdc.cam.ac.uk (accessed on 25 December 2024).
- Noschang-Cabral, B.; Kirsten, L.; Hagenbach, A.; Piquini, P.C.; Patzschke, M.; Abram, U. Technetium complexes with aryselenolato and aryltellurolato ligands. Dalton Trans. 2017, 46, 9280–9286. [Google Scholar] [CrossRef]
- Roca Jungfer, M.; Abram, U. [Tc(OH2)(CO)3(PPh3)2]+: A Synthon for Tc(I) Complexes and Its Reactions with Neutral Ligands. Inorg. Chem. 2021, 60, 16734–16753. [Google Scholar] [CrossRef]
- Bandoli, G.; Mazzi, U.; Abram, U.; Spies, H.; Münze, R. Synthesis and X-ray crystal structure of tetraethylammonium bis(1,1-dicyanoethene-2,2-diselenolato)oxotechnetate(V), [Et4N][TcO(Se2C=C(CN)2)2]. Polyhedron 1987, 6, 1547–1550. [Google Scholar] [CrossRef]
- Abram, U.; Abram, S.; Stach, J.; Dietzsch, W.; Hiller, W. Technetium Complexes with 1,1-Dicyanoethene-2,2-diselenolate, i-mns2-. The Crystal Structure of (Bu4N)2[TcN(i-mns)2]. Z. Naturforsch. 1991, B46, 1183–1187. [Google Scholar]
- Bhasin, K.K.; Arora, V.; Klapötke, T.M.; Crawford, M. One-Pot Synthesis of Pyridyltellurium Derivatives from a Reaction with Isopropylmagnesium Chloride and X-ray Crystal Structures of Various Pyridyl Ditellurides. Eur. J. Inorg Chem. 2004, 2004, 4781–4788. [Google Scholar] [CrossRef]
- Romero, J.; Duran, M.L.; Garcia-Vazquez, J.A.; Castineiras, A.; Sousa, A.; Christians, L.; Zubieta, J. Direct electrochemical synthesis and crystal structure of tris(pyridine-2-selenolato)indium(III). Inorg. Chim. Acta 1997, 255, 307–311. [Google Scholar] [CrossRef]
- Dunne, S.J.; von Nagy-Felobuki, E.I.; Machay, M.F. An Orthorhombic Polymorph of 2,2′-Dipyridyl Diselenide. Acta Cryst. 1998, C54, 887–889. [Google Scholar] [CrossRef]
- Nicholson, T.L.; Mahmood, A.; Muller, P.; Davison, A.; Storm-Blanchard, S.; Jones, A.G. The synthesis and structural characterization of the technetium nitrosyl complexes [TcCl(NO)(SC5H4N)(PPh3)2] and [Tc(NO)(SC5H4N)2(PPh3)]. Inorg. Chim. Acta 2011, 365, 484–486. [Google Scholar] [CrossRef] [PubMed][Green Version]
- Harris, R.K.; Becke, E.D.; Cabral de Menezes, S.M.; Goodfellow, R.; Granger, P. NMR nomenclature. nuclear spin properties and conventions for chemical shifts (IUPAC Recommendations 2001). Pure Appl. Chem. 2001, 73, 1795–1818. [Google Scholar] [CrossRef]
- Cargnelutti, R.; Lang, E.S.; Piquini, P.; Abram, U. Synthesis and structure of [ReOSe(2-Se-py)3]: A rhenium(V) complex with selenium(0) as a ligand. Inorg. Chem. Commun. 2014, 45, 48–50. [Google Scholar] [CrossRef]
- Roca Jungfer, M.; Hagenbach, A.; Lang, E.S.; Abram, U. Rhenium(V) Complexes with Selenolato- and Tellurolato-Substituted Schiff Bases—Released PPh3 as a Facile Reductant. Eur. J. Inorg. Chem. 2019, 47, 4974–4984. [Google Scholar] [CrossRef]
- Roca Jungfer, M.; Lang, E.S.; Abram, U. Reactions of Schiff Base-Substituted Diselenides and -tellurides with Ni(II), Pd(II) and Pt(II) Phosphine Complexes. Eur. J. Inorg. Chem. 2020, 45, 4303–4312. [Google Scholar] [CrossRef]
- Ernst, M.J.; Abdulkader, A.; Hagenbach, A.; Claude, G.; Roca Jungfer, M.; Abram, U. [Tc(NO)(Cp)(PPh3)Cl] and [Tc(NO)(Cp)(PPh3)(NCCH3)](PF6), and Their Reactions with Pyridine and Chalcogen Donors. Molecules 2024, 29, 1114. [Google Scholar] [CrossRef]
- Bhasin, K.K.; Singh, J. A novel and convenient synthesis towards 2-pyridylselenium compounds: X-ray crystal structure of 4,4′-dimethyl-2,2′-dipyridyl diselenide and tris(2-pyridylseleno)methane. Polyhedron 2002, 658, 71–76. [Google Scholar] [CrossRef]
- Stoll, S.; Schweiger, A. EasySpin, a comprehensive software package for spectral simulation and analysis in EPR. J. Magn. Res. 2006, 178, 42–55. [Google Scholar] [CrossRef]
- MATLAB, Version: 24.2.0 (R2024b); The MathWorks Inc.: Natick, MA, USA, 2024.
- Sheldrick, G. SADABS, Vers. 2014/5; University of Göttingen: Göttingen, Germany, 2014.
- Krause, L.; Herbst-Irmer, R.; Sheldrick, G.M.; Stalke, D. Comparison of silver and molybdenum microfocus X-ray sources for single-crystal structure determination. J. Appl. Cryst. 2015, 48, 3–10. [Google Scholar] [CrossRef] [PubMed]
- Sheldrick, G.M. Crystal structure refinement with SHELXL. Acta Crystallogr. 2015, C71, 3–8. [Google Scholar]
- Dolomanov, O.V.; Bourhis, L.J.; Gildea, R.J.; Howard, J.A.; Puschmann, H. OLEX2: A complete structure solution, refinement and analysis program. J. Appl. Crystallogr. 2009, 42, 339–341. [Google Scholar] [CrossRef]
- Macrae, C.F.; Sovago, I.; Cottrell, S.J.; Galek, P.T.A.; McCabe, P.; Pidcock, E.; Platings, M.; Shields, G.P.; Stevens, J.S.; Towler, M. Mercury 4.0: From visualization to analysis, design and prediction. J. Appl. Cryst. 2020, 53, 226–235. [Google Scholar] [CrossRef] [PubMed]
- Frisch, M.J.; Trucks, G.W.; Schlegel, H.B.; Scuseria, G.E.; Robb, M.A.; Cheeseman, J.R.; Scalmani, G.; Barone, V.; Petersson, G.A.; Nakatsuji, H.; et al. Gaussian 16, Revision B.01; Gaussian, Inc.: Wallingford, CT, USA, 2016. [Google Scholar]
- Dennington, R.; Keith, T.A.; Millam, J.M. GaussView, Version 6; Semichem Inc.: Shawnee Mission, KS, USA, 2016.
- Vosko, S.H.; Wilk, L.; Nusair, M. Accurate spin-dependent electron liquid correlation energies for local spin density calculations: A critical analysis. Can. J. Phys. 1980, 58, 1200–1211. [Google Scholar] [CrossRef]
- Becke, A.D. A new mixing of Hartree−Fock and local density functional theories. J. Chem. Phys. 1993, 98, 5648–5652. [Google Scholar] [CrossRef]
- Lee, C.; Yang, W.; Parr, R.G. Development of the Colle-Salvetti correlation-energy formula into a functional of the electron density. Phys. Rev. B Condens. Matter Mater. Phys. 1988, 37, 785–789. [Google Scholar] [CrossRef] [PubMed]
- Andrae, D.; Haußermann, U.; Dolg, M.; Stoll, H.; Preuß, H. Energy-adjustable initio pseudopotentials for the second and third row transition elements. Theor. Chim. Acta 1990, 77, 123–141. [Google Scholar] [CrossRef]
- Grimme, S.; Ehrlich, S.; Goerigk, L. Effect of the damping function in dispersion corrected density functional theory. J. Comp. Chem. 2011, 32, 1456–1465. [Google Scholar] [CrossRef] [PubMed]
- Martin, J.M.L.; Sundermann, A. Correlation consistent valence basis sets for use with the Stuttgart−Dresden−Bonn relativistic effective core potentials: The atoms Ga−Kr and In−Xe. J. Chem. Phys. 2001, 114, 3408–3420. [Google Scholar] [CrossRef]
- Bergner, A.; Dolg, M.; Küchle, W.; Stoll, H.; Preuß, H. Ab initio energy-adjusted pseudopotentials for elements of Groups 13-17. Mol. Phys. 1993, 80, 1431–1441. [Google Scholar] [CrossRef]
- Hehre, W.J.; Ditchfield, R.; Stewart, R.F.; Pople, J.A. Self-Consistent Molecular Orbital Methods. IV. Use of Gaussian Expansions of Slater-Type Orbitals. Extension to Second-Row Molecules. J. Chem. Phys. 1970, 52, 2769–2773. [Google Scholar] [CrossRef]
- Pietro, W.J.; Levi, B.A.; Hehre, W.J.; Stewart, R.F. Molecular orbital theory of the properties of inorganic and organometallic compounds. 1. STO-NG basis sets for third-row main-group Elements. Inorg. Chem. 1980, 19, 2225–2229. [Google Scholar] [CrossRef]
- Pietro, W.J.; Blurock, E.S.; Hout, R.F.; Hehre, W.J.; DeFrees, D.J.; Stewart, R.F. Molecular orbital theory of the properties of inorganic and organometallic compounds. 2. STO-NG basis sets for fourth-row main-group Elements. Inorg. Chem. 1981, 20, 3650–3654. [Google Scholar] [CrossRef]
- Francl, M.M.; Pietro, W.J.; Hehre, W.J.; Binkley, J.S.; Gordon, M.S.; DeFrees, D.J.; Pople, J.A. Self-consistent molecular orbital methods. XXIII. A polarization-type basis set for second-row elements. J. Chem. Phys. 1982, 77, 3654–3665. [Google Scholar] [CrossRef]
- Gordon, M.S.; Binkley, J.S.; Pople, J.A.; Pietro, W.J.; Hehre, W.J. Self-consistent molecular-orbital methods. 22. Small split-valence basis sets for second-row Elements. J. Am. Chem. Soc. 1982, 104, 2797–2803. [Google Scholar] [CrossRef]
- Hariharan, P.C.; Pople, J.A. The influence of polarization functions on molecular orbital hydrogenation Energies. Theor. Chim. Acta 1973, 28, 213–222. [Google Scholar] [CrossRef]
- Hehre, W.J.; Ditchfield, R.; Pople, J.A. Self-Consistent Molecular Orbital Methods. XII. Further Extensions of Gaussian-Type Basis Sets for Use in Molecular Orbital Studies of Organic Molecules. J. Chem. Phys. 1972, 56, 2257–2261. [Google Scholar] [CrossRef]
- Ditchfield, R.; Hehre, W.J.; Pople, J.A. Self-Consistent Molecular-Orbital Methods. IX. An Extended Gaussian-Type Basis for Molecular-Orbital Studies of Organic Molecules. J. Chem. Phys. 1971, 54, 724–728. [Google Scholar] [CrossRef]
- Ackermann, J.; Abdulkader, A.; Scholtysik, C.; Jungfer, M.R.; Hagenbach, A.; Abram, U. [TcI(NO)X(Cp)(PPh3)] Complexes (X− = I−, I3−, SCN−, CF3SO3−, or CF3COO−) and Their Reactions. Organometallics 2019, 38, 4471–4478. [Google Scholar] [CrossRef]
- Roca Jungfer, M.; Elsholz, L.; Abram, U. Technetium Hydrides Revisited: Syntheses, Structures and Reactions of [TcH3(PPh3)4] and [TcH(CO)(PPh3)2]. Organometallic 2021, 40, 3095–3112. [Google Scholar] [CrossRef]
- Roca Jungfer, M.; Elsholz, L.; Abram, U. Technetium(I) Carbonyl Chemistry with Small Inorganic Ligands. Inorg. Chem. 2022, 61, 2980–2997. [Google Scholar] [CrossRef]
- Ernst, M.J.; Roca Jungfer, M.; Abram, U. Reactions of TcI(NO) and TcVN Complexes with Alkynes and Alkynides. Organometallics 2022, 41, 2011–2021. [Google Scholar] [CrossRef]
- Perdew, J.P. Density-functional approximation for the correlation energy of the inhomogeneous electron gas. Phys. Rev. B 1986, 33, 8822–8824. [Google Scholar] [CrossRef] [PubMed]
- Franzke, Y.J.; Treß, R.; Pazdera, T.M.; Weigend, F. Error-consistent segmented contracted all-electron relativistic basis sets of double- and triple-zeta quality for NMR shielding constants. Phys. Chem. Chem. Phys. 2019, 21, 16658–16664. [Google Scholar] [CrossRef] [PubMed]
- Bühl, M.; Golubnychiy, V. Density-functional computation of (99)Tc NMR chemical shifts. Magn. Reson. Chem. 2008, 46, 36–44. [Google Scholar] [CrossRef]
- Chatterjee, S.; Holfeltz, V.E.; Hall, G.B.; Johnson, I.E.; Walter, E.D.; Lee, S.; Reinhart, B.; Lukens, W.W.; Machara, N.P.; Levitskaia, T.G. Dentification and Quantification of Technetium Species in Hanford Waste Tank AN-102. Anal. Chem. 2020, 92, 13961–13970. [Google Scholar] [CrossRef] [PubMed]
- de Andrade, T.F.C.B.; Dos Santos, H.F.; Fonseca Guerra, C.; Paschoal, D.F.S. Computational Prediction of Tc-99 NMR Chemical Shifts in Technetium Complexes with Radiopharmaceutical Applications. J. Phys. Chem. 2022, A126, 5434–5448. [Google Scholar] [CrossRef]
- Chatterjee, S.D.; Andersen, A.; Du, Y.; Engelhard, M.H.; Hall, G.B.; Levitskaia, T.G.; Lukens, W.W.; Shutthanandan, V.; Walter, E.D.; Washton, N.M. Characterization of Non-Pertechnetate Species Relevant to the Hanford Tank Waste; Tech. Report PNNL-26265; Pacific Northwest National Laboratory: Columbus, OH, USA, 2017. [Google Scholar]
- Hall, G.B.; Andersen, A.; Washton, N.M.; Chatterjee, S.; Levitskaia, T.G. Modelling of 99Tc NMR chemical shifts. Inorg. Chem. 2016, 55, 8341–8347. [Google Scholar] [CrossRef] [PubMed]
- Luksic, S.A.; Kim, D.; Levitskaia, T.; Chatterjee, S.; Lukens, W.; Kruger, A.A. Redox and volatility of Tc(CO)3+ compounds in waste glass melting. J. Nucl. Mat. 2019, 515, 199–205. [Google Scholar] [CrossRef]
- Kuznetsov, V.V.; Poineau, F.; German, K.E.; Filatova, E.A. Pivotal role of 99Tc NMR spectroscopy in solid-state and molecular chemistry. Commun. Chem. 2024, 7, 259. [Google Scholar] [CrossRef]
- Schuchardt, K.L.; Didier, B.T.; Elsethagen, T.; Sun, L.; Gurumoorthi, V.; Chase, J.; Li, J.; Windus, T.L. Basis Set Exchange: A Community Database for Computational Sciences. J. Chem. Inf. Model. 2007, 47, 1045–1052. [Google Scholar] [CrossRef] [PubMed]
- Grimme, S. Supramolecular Binding Thermodynamics by Dispersion-Corrected Density Functional Theory. Chem. Eur. J. 2012, 18, 9955–9964. [Google Scholar] [CrossRef] [PubMed]
- Li, Y.; Gomes, J.; Sharada, S.M.; Bell, A.T.; Head-Gordon, M. Improved Force-Field Parameters for QM/MM Simulations of the Energies of Adsorption for Molecules in Zeolites and a Free Rotor Correction to the Rigid Rotor Harmonic Oscillator Model for Adsorption Enthalpies. J. Phys. Chem. 2015, C119, 1840–1850. [Google Scholar] [CrossRef]
- Luchini, G.; Alegre-Requena, J.V.; Funes-Ardoiz, I.; Paton, R.S. GoodVibes: Automated Thermochemistry for Heterogeneous Computational Chemistry Data. F1000Research 2020, 9, 291. [Google Scholar] [CrossRef]
- Lu, T.; Chen, F. Multiwfn: A multifunctional wavefunction analyzer. J. Comput. Chem. 2012, 33, 580–592. [Google Scholar] [CrossRef] [PubMed]
- Hanwell, M.D.; Curtis, D.E.; Lonie, D.C.; Vandermeersch, T.; Zurek, E.; Hutchison, G.R. Avogadro: An advanced semantic chemical editor, visualization, and analysis platform. J. Cheminformatics 2012, 4, 1–17. [Google Scholar] [CrossRef] [PubMed]
- Sun, H.; Li, D.; Yue, X.; Hong, R.; Yang, W.; Liu, C.; Xu, H.; Lu, J.; Dong, L.; Wang, G.; et al. A Review of Transition Metal Dichalcogenides-Based Biosensors. Front. Bioeng. Biotechn. 2022, 10, 941135. [Google Scholar] [CrossRef] [PubMed]
- Banerjee, B.; Sharma, A.; Kaur, G.; Priya, A.; Kaur, M.; Singh, A. Latest developments on the synthesis of bioactive organotellurium scaffolds. Phys. Sci. Rev. 2023, 8, 4611–4629. [Google Scholar] [CrossRef]
- Nobre, P.C.; Vargas, H.A.; Jacoby, C.G.; Schneider, P.H.; Casaril, A.M.; Savegnago, L.; Schumacher, R.F.; Lenardao, E.J.; Avila, D.S.; Rodrigues, L.B.L., Jr.; et al. Synthesis of enantiomerically pure glycerol derivatives containing an organovhacogen unit: In vitro and in vivo antioxidant activity. Arab. J. Chem. 2020, 13, 883–899. [Google Scholar] [CrossRef]
- Benelli, J.L.; Poester, V.R.; Munhoz, L.S.; Melo, A.M.; Trápaga, M.R.; Stevens, D.A.; Xavier, M.O. Ebselen and diphenyl diselenide against fungal pathogens: A systematic review. Me.d Mycol. 2021, 59, 409–421. [Google Scholar] [CrossRef]
- Nogueira, C.W.; Barbosa, N.V.; Rocha, J.B.T. Toxicology and pharmacology of synthetic organoselenium compounds: An update. Arch. Toxicol. 2021, 95, 1179–1226. [Google Scholar]









| Tc–N10 | 1.753(6) 1.842(6) | N10–O10 | 1.109(6) 0.932(7) | Tc–Cl1 | 2.370(2) 2.357(2) | Tc–Cl2 | 2.335(2) 2.265(3) | Tc–Cl3 | 2.349(2) 2.366(2) |
| Tc–O1 | 2.070(4) 2.082(4) | O1–P1 | 1.490(4) 1.492(4) | Tc–O2 | 2.086(4) 2.073(4) | O2–P2 | 1.487(4) 1.507(4) | Tc–N10–O10 | 177.7(6) 177.2(10) |
| Tc–O1–P1 | 143.9(3) 146.7(3) | Tc–O2–P2 | 159.8(3) 148.3(2) |
| Compound | g0 | a0Tc | g‖ | g⊥ | A‖Tc | A⊥Tc | A‖P | Ref. | |
|---|---|---|---|---|---|---|---|---|---|
| [Tc(NO)Cl3(OPPh3)2] (2) | (Cl3O) (a) | 2.0291 | 152 | 1.9750 | 2.0320 | 273 | 110 | - | This work |
| [Tc(NO)Br3(OPPh3)2] | (Br3O) (a) | 2.056 | 148 | 2.042 | 2.059 | 237 | 100 | - | [44] |
| [Tc(NO)Cl3(PMe2Ph)2] | (Cl2P2) (a) | 2.045 | 125 | 2.034 | 2.053 | 215 | 88 | 19 (b) | [45] |
| [Tc(NO)Br3(PMe2Ph)2] | (Br2P2) (a) | 2.108 | 111 | 2.119 | 2.100 | 184 | 79 | - | [45] |
| [Tc(NS)Cl3(PPh3)2] | (Cl2P2) (a) | 2.011 | 164 | 1.955 | 2.0455 | 270 | 128 | - | [46] |
| [Tc(NS)Cl3(PPh3)(OPPh3)] | (Cl3P) (a) | 2.009 | 166 | 1.978 | 1.999 | 290 | 134 | - | [46] |
| [Tc(NS)Cl3(PMe2Ph)2] | (Cl2P2) (a) | 2.045 | 133 | 2.027 | 2.038 | 219 | 101 | 19 (b) | [47] |
| [Tc(NS)Cl3(PMe2Ph)(OPMe2Ph)] | (Cl3P) (a) | 2.032 | 149 | 2.027 | 2.039 | 237 | 106 | 24 (c) | [48] |
| Compound 3 (a) | |||||||
| Tc–N10 | 1.734(4) | N10–O10 | 1.184(5) | Tc–Cl1 | 2.463(1) | Tc–Cl2 | 2.416(1) |
| Tc–P1 | 2.390(1) | Tc–Te | 2.6587(5) | Tc–N1 | 2.181(3) | Te–Te’ | 2.8319(6) |
| Tc…Tc’ | 5.199(2) | Tc–N10–O10 | 179.5(5) | Te–Tc–N1 | 70.72(8) | N1–C2–Te | 105.8(3) |
| Compound 4 | |||||||
| Tc1–N10 | 1.742(4) | N10–O10 | 1.197(5) | Tc1–Cl1 | 2.443(1) | Tc1–Cl2 | 2.410(1) |
| Tc1–P1 | 2.404(1) | Tc1–Se1 | 2.4730(6) | Tc2–N20 | 1.743(4) | N20–O20 | 1.189(5) |
| Tc2–Cl3 | 2.446(1) | Tc2–Cl4 | 2.409(1) | Tc2–P2 | 2.395(1) | Tc2–Se2 | 2.4663(6) |
| Tc2–N2 | 2.195(4) | Se1–Se2 | 2.5491(7) | Tc1…Tc2 | 5.109(2) | Tc1–N10–O10 | 176.5(4) |
| Se1–Tc1–N1 | 69.9(1) | Tc1–N10–O10 | 176.7(4) | Se2–Tc2–N2 | 69.8(1) | N1–C5–Se1 | 108.0(3) |
| N2–C10–Se2 | 107.8(4) | ||||||
| Tc–N10 | 1.754(2) | N10–O10 | 1.176(3) | Tc–Cl1 | 2.4129(7) |
| Tc–Cl2 | 2.390(1) | Tc–P | 2.4642(7) | Tc–S | 2.345(2) |
| Tc–N1 | 2.140(2) | Tc–N10–O10 | 177.0(2) | S–Tc–N1 | 68.94(7) |
Disclaimer/Publisher’s Note: The statements, opinions and data contained in all publications are solely those of the individual author(s) and contributor(s) and not of MDPI and/or the editor(s). MDPI and/or the editor(s) disclaim responsibility for any injury to people or property resulting from any ideas, methods, instructions or products referred to in the content. |
© 2025 by the authors. Licensee MDPI, Basel, Switzerland. This article is an open access article distributed under the terms and conditions of the Creative Commons Attribution (CC BY) license (https://creativecommons.org/licenses/by/4.0/).
Share and Cite
Sawallisch, T.E.; Rupf, S.M.; Abdulkader, A.; Ernst, M.J.; Roca Jungfer, M.; Abram, U. [Tc(NO)Cl2(PPh3)2(CH3CN)] and Its Reactions with 2,2′-Dipyridyl Dichalcogenides. Molecules 2025, 30, 793. https://doi.org/10.3390/molecules30040793
Sawallisch TE, Rupf SM, Abdulkader A, Ernst MJ, Roca Jungfer M, Abram U. [Tc(NO)Cl2(PPh3)2(CH3CN)] and Its Reactions with 2,2′-Dipyridyl Dichalcogenides. Molecules. 2025; 30(4):793. https://doi.org/10.3390/molecules30040793
Chicago/Turabian StyleSawallisch, Till Erik, Susanne Margot Rupf, Abdullah Abdulkader, Moritz Johannes Ernst, Maximilian Roca Jungfer, and Ulrich Abram. 2025. "[Tc(NO)Cl2(PPh3)2(CH3CN)] and Its Reactions with 2,2′-Dipyridyl Dichalcogenides" Molecules 30, no. 4: 793. https://doi.org/10.3390/molecules30040793
APA StyleSawallisch, T. E., Rupf, S. M., Abdulkader, A., Ernst, M. J., Roca Jungfer, M., & Abram, U. (2025). [Tc(NO)Cl2(PPh3)2(CH3CN)] and Its Reactions with 2,2′-Dipyridyl Dichalcogenides. Molecules, 30(4), 793. https://doi.org/10.3390/molecules30040793

