g-C3N4 Modified with Metal Sulfides for Visible-Light-Driven Photocatalytic Degradation of Organic Pollutants
Abstract
1. Introduction
2. Results and Discussion
2.1. FTIR Analysis
2.2. XRD Analysis
2.3. SEM Analysis
2.4. TEM Analysis
2.5. BET Surface Analysis
2.6. XPS Analysis
2.7. Comparison of Atomic Weight % by XPS and EDX Analysis
2.8. UV–Vis Diffuse Reflectance Analysis
2.9. Photoactivity Results
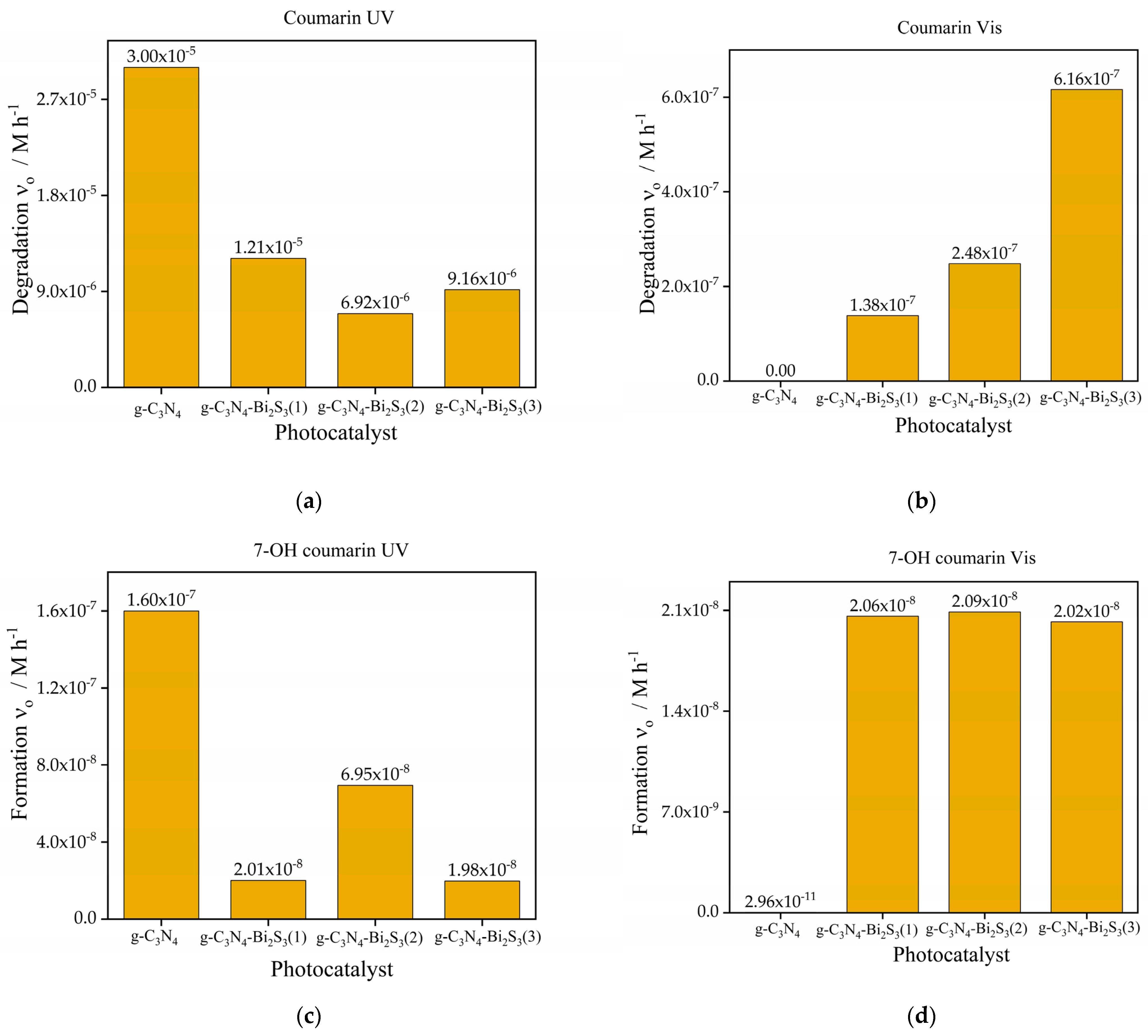
2.9.1. Photoactivity Results of g-C3N4-Bi2S3
2.9.2. Photoactivity Results of g-C3N4-ZnS
2.9.3. Combined Photocatalytic Effect of g-C3N4-Bi2S3 and g-C3N4-ZnS
2.9.4. Reusability
3. Materials and Methods
3.1. Materials
3.2. Synthesis of g-C3N4
3.3. Synthesis of Bismuth- and Zinc-Sulfide-Modified g-C3N4
3.4. ICP Measurements
3.4.1. Sample Preparation for ICP-OES Analysis
3.4.2. Analytical Analysis
3.5. Characterization of Catalyst
3.6. Investigation of Photocatalytic Activity
3.7. Model Compounds
4. Conclusions
Supplementary Materials
Author Contributions
Funding
Institutional Review Board Statement
Informed Consent Statement
Data Availability Statement
Acknowledgments
Conflicts of Interest
References
- Lin, L.; Yang, H.; Xu, X. Effects of Water Pollution on Human Health and Disease Heterogeneity: A Review. Front. Envrion. Sci. 2022, 10, 880246. [Google Scholar] [CrossRef]
- Montanaro, D.; Lavecchia, R.; Petrucci, E.; Zuorro, A. UV-Assisted Electrochemical Degradation of Coumarin on Boron-Doped Diamond Electrodes. Chem. Eng. J. 2017, 323, 512–519. [Google Scholar] [CrossRef]
- Eslami, A.; Mehdipour, F.; Feizi, R.; Ghanbari, F.; Lin, K.-Y.A.; Bagheri, A.; Madihi-Bidgoli, S. Periodate Activation by Concurrent Utilization of UV and US for the Degradation of Para-Nitrophenol in Water: A Synergistic Approach. Korean J. Chem. Eng. 2023, 40, 882–891. [Google Scholar] [CrossRef]
- Bairagi, S.H.; Salaskar, P.P.; Loke, S.D.; Surve, N.N.; Tandel, D.V.; Dusara, M.D. Medicinal Significance of Coumarins: A Review. Int. J. Pharm. Res. 2012, 4, 16–19. [Google Scholar]
- Arayesh, M.A.; Kianfar, A.H.; Mohammadnezhad, G. Synthesis of Fe3O4/ZrO2/ZnO Nanoparticle for Enhancing Visible Light Photocatalytic and Antibacterial Activity. J. Taiwan Inst. Chem. Eng. 2023, 153, 105213. [Google Scholar] [CrossRef]
- Shen, Y.; Jiang, B.; Xing, Y. Recent Advances in the Application of Magnetic Fe3O4 Nanomaterials for the Removal of Emerging Contaminants. Environ. Sci. Pollut. Res. 2021, 28, 7599–7620. [Google Scholar] [CrossRef]
- Gaur, N.; Dutta, D.; Singh, A.; Dubey, R.; Kamboj, D.V. Recent Advances in the Elimination of Persistent Organic Pollutants by Photocatalysis. Front. Envrion. Sci. 2022, 10, 872514. [Google Scholar] [CrossRef]
- Buzzetti, L.; Crisenza, G.E.M.; Melchiorre, P. Mechanistic Studies in Photocatalysis. Angew. Chem. Int. Ed. 2019, 58, 3730–3747. [Google Scholar] [CrossRef] [PubMed]
- Wudil, Y.S.; Ahmad, U.F.; Gondal, M.A.; Al-Osta, M.A.; Almohammedi, A.; Sa’id, R.S.; Hrahsheh, F.; Haruna, K.; Mohamed, M.J.S. Tuning of Graphitic Carbon Nitride (g-C3N4) for Photocatalysis: A Critical Review. Arab. J. Chem. 2023, 16, 104542. [Google Scholar] [CrossRef]
- Khalid, A.; Akhtar, N.; He, K.; Liu, B.; Ahmad, M.; Ambreen, J.; Hasan, S.; Zhang, X.; Batool, S.S.; Li, C. Bismuth Sulfide Photocatalysis Water Treatment under Visible Irradiation. Res. Chem. Intermed. 2021, 47, 3395–3409. [Google Scholar] [CrossRef]
- Mahalingam, S.; Neelan, Y.D.; Bakthavatchalam, S.; Al-Humaid, L.A.; Al- Dahmash, N.D.; Santhanam, H.; Yang, T.-Y.; Hossain, N.; Park, S.H.; Kim, J. Effective Visible-Light-Driven Photocatalytic Degradation of Harmful Antibiotics Using Reduced Graphene Oxide-Zinc Sulfide-Copper Sulfide Nanocomposites as a Catalyst. ACS Omega 2023, 8, 32817–32827. [Google Scholar] [CrossRef] [PubMed]
- Wang, K.; Xing, Z.; Meng, D.; Zhang, S.; Li, Z.; Pan, K.; Zhou, W. Hollow MoSe2@Bi2S3/CdS Core-Shell Nanostructure as Dual Z-Scheme Heterojunctions with Enhanced Full Spectrum Photocatalytic-Photothermal Performance. Appl. Catal. B 2021, 281, 119482. [Google Scholar] [CrossRef]
- Murugadoss, G.; Jayavel, R.; Rajesh Kumar, M.; Thangamuthu, R. Synthesis, Optical, Photocatalytic, and Electrochemical Studies on Ag2S/ZnS and ZnS/Ag2S Nanocomposites. Appl. Nanosci. 2016, 6, 503–510. [Google Scholar] [CrossRef]
- Sarkar, A.; Ghosh, A.B.; Saha, N.; Dutta, A.K.; Srivastava, D.N.; Paul, P.; Adhikary, B. Enhanced Photocatalytic Activity of Eu-Doped Bi2S3 Nanoflowers for Degradation of Organic Pollutants under Visible Light Illumination. Catal. Sci. Technol. 2015, 5, 4055–4063. [Google Scholar] [CrossRef]
- Hao, L.-X.; Chen, G.; Yu, Y.-G.; Zhou, Y.-S.; Han, Z.-H.; Liu, Y. Sonochemistry Synthesis of Bi2S3/CdS Heterostructure with Enhanced Performance for Photocatalytic Hydrogen Evolution. Int. J. Hydrogen Energy 2014, 39, 14479–14486. [Google Scholar] [CrossRef]
- Ren, S.; Yang, H.; Zhang, D.; Gao, F.; Nan, C.; Li, Z.; Zhou, W.; Gao, N.; Liang, Z. Excellent Performance of the Photoelectrocatalytic CO2 Reduction to Formate by Bi2S3/ZIF-8 Composite. Appl. Surf. Sci. 2022, 579, 152206. [Google Scholar] [CrossRef]
- Ayodhya, D.; Veerabhadram, G. Ternary Semiconductor ZnxAg1−xS Nanocomposites for Efficient Photocatalytic Degradation of Organophosphorus Pesticides. Photochem. Photobiol. Sci. 2018, 17, 1429–1442. [Google Scholar] [CrossRef]
- Páll, B.; Mersel, M.-A.; Pekker, P.; Makó, É.; Vágvölgyi, V.; Németh, M.; Pap, J.S.; Fodor, L.; Horváth, O. Photocatalytic H2 Production by Visible Light on Cd0.5Zn0.5S Photocatalysts Modified with Ni(OH)2 by Impregnation Method. Int. J. Mol. Sci. 2023, 24, 9802. [Google Scholar] [CrossRef] [PubMed]
- Yang, K.; Yang, Y.; Jiang, Y.; Ye, B.; Li, L.; Liu, W.; Yan, T.; Li, W.; Liu, S. Controlled Synthesis of Bi2S3/g-C3N4 Nanosheets for Efficient Degradation of Rhodamine B and Reduction of Cr (VI) under Visible Light. Surf. Interfaces 2024, 52, 104885. [Google Scholar] [CrossRef]
- Ma, Y.; Li, J.; Cai, J.; Zhong, L.; Lang, Y.; Ma, Q. Z-Scheme g-C3N4/ZnS Heterojunction Photocatalyst: One-Pot Synthesis, Interfacial Structure Regulation, and Improved Photocatalysis Activity for Bisphenol A. Colloids Surf. A Physicochem. Eng. Asp. 2022, 653, 130027. [Google Scholar] [CrossRef]
- Wu, Q.; Lu, D.; Kumar Kondamareddy, K.; Ho, W.; Cao, D.; Zeng, Y.; Zhang, B.; Zhang, Y.; Xie, L.; Zhao, B.; et al. Highly Efficient Photocatalytic Degradation for Antibiotics and Mechanism Insight for Bi2S3/g-C3N4 with Fast Interfacial Charges Transfer and Excellent Stability. Arab. J. Chem. 2022, 15, 103689. [Google Scholar] [CrossRef]
- Uddin, I.; Abzal, S.M.; Kalyan, K.; Janga, S.; Rath, A.; Patel, R.; Gupta, D.K.; Ravindran, T.R.; Ateeq, H.; Khan, M.S.; et al. Starch-Assisted Synthesis of Bi2S3 Nanoparticles for Enhanced Dielectric and Antibacterial Applications. ACS Omega 2022, 7, 42438–42445. [Google Scholar] [CrossRef] [PubMed]
- Wang, Y.; Poirier, R.A. Factors That Influence the CN Stretching Frequency in Imines. J. Phys. Chem. A 1997, 101, 907–912. [Google Scholar] [CrossRef]
- Ben-Refael, A.; Benisti, I.; Paz, Y. Transient Photoinduced Phenomena in Graphitic Carbon Nitride as Measured at Nanoseconds Resolution by Step-Scan FTIR. Catal. Today 2020, 340, 97–105. [Google Scholar] [CrossRef]
- Boukaoud, A.; Chiba, Y.; Sebbar, D. A Periodic DFT Study of IR Spectra of Amino Acids: An Approach toward a Better Understanding of the N-H and O-H Stretching Regions. Vib. Spectrosc. 2021, 116, 103280. [Google Scholar] [CrossRef]
- Nguyen Xuan, T.; Nguyen Thi, D.; Tran Thuong, Q.; Nguyen Ngoc, T.; Dang Quoc, K.; Molnár, Z.; Mukhtar, S.; Szabó-Bárdos, E.; Horváth, O. Effect of Copper-Modification of g-C3N4 on the Visible-Light-Driven Photocatalytic Oxidation of Nitrophenols. Molecules 2023, 28, 7810. [Google Scholar] [CrossRef]
- Abdel-Moniem, S.M.; El-Liethy, M.A.; Ibrahim, H.S.; Ali, M.E.M. Innovative Green/Non-Toxic Bi2S3@g-C3N4 Nanosheets for Dark Antimicrobial Activity and Photocatalytic Depollution: Turnover Assessment. Ecotoxicol. Envrion. Saf. 2021, 226, 112808. [Google Scholar] [CrossRef] [PubMed]
- Danish, M.; Muneer, M. Excellent Visible-Light-Driven Ni-ZnS/g-C3N4 Photocatalyst for Enhanced Pollutants Degradation Performance: Insight into the Photocatalytic Mechanism and Adsorption Isotherm. Appl. Surf. Sci. 2021, 563, 150262. [Google Scholar] [CrossRef]
- Suter, T.; Brázdová, V.; McColl, K.; Miller, T.S.; Nagashima, H.; Salvadori, E.; Sella, A.; Howard, C.A.; Kay, C.W.M.; Corà, F.; et al. Synthesis, Structure and Electronic Properties of Graphitic Carbon Nitride Films. J. Phys. Chem. C 2018, 122, 25183–25194. [Google Scholar] [CrossRef]
- Saah, S.A.; Boadi, N.O.; Awudza, J.A.M. Facile Synthesis of PbS, Bi2S3 and Bi-Doped PbS Nanoparticles from Metal Piperidine Dithiocarbamates Complexes. Results Chem. 2022, 4, 100618. [Google Scholar] [CrossRef]
- Sullivan, H.S.I.; Parish, J.D.; Thongchai, P.; Kociok-Köhn, G.; Hill, M.S.; Johnson, A.L. Aerosol-Assisted Chemical Vapor Deposition of ZnS from Thioureide Single Source Precursors. Inorg. Chem. 2019, 58, 2784–2797. [Google Scholar] [CrossRef] [PubMed]
- Ganesamurthi, J.; Shanmugam, R.; Chen, S.-M.; Veerakumar, P. Bismuth Sulfide/Zinc-Doped Graphitic Carbon Nitride Nanocomposite for Electrochemical Detection of Hazardous Nitric Oxide. J. Electroanal. Chem. 2022, 910, 116174. [Google Scholar] [CrossRef]
- Liu, K.; Song, W.; Xu, Y.; Li, J.; Wang, Z. Ceramic Processing Research Study on the Phase and Bath Electrochemical Properties in Electrodeposition of ZnS Film. J. Ceram. Process. Res. 2018, 19, 146–149. [Google Scholar]
- Rajendran, R.; Rojviroon, O.; Arumugam, P.; Natchimuthu, K.; Vasudevan, V.; Kannupaiyan, J.; Muangmora, R.; Phouheuanghong, P.; Rojviroon, T. Design and Fabrication of G-C3N4/Bi2S3 Heterojunction Photocatalysts for Efficient Organic Pollutant Degradation and Antibacterial Activity. J. Alloys Compd. 2024, 976, 173116. [Google Scholar] [CrossRef]
- Zhang, J.-R.; Ma, Y.; Wang, S.-Y.; Ding, J.; Gao, B.; Kan, E.; Hua, W. Accurate K-Edge X-Ray Photoelectron and Absorption Spectra of g-C3N4 Nanosheets by First-Principles Simulations and Reinterpretations. Phys. Chem. Chem. Phys. 2019, 21, 22819–22830. [Google Scholar] [CrossRef] [PubMed]
- Alwin, E.; Nowicki, W.; Wojcieszak, R.; Zieliński, M.; Pietrowski, M. Elucidating the Structure of the Graphitic Carbon Nitride Nanomaterials via X-Ray Photoelectron Spectroscopy and X-Ray Powder Diffraction Techniques. Dalton Trans. 2020, 49, 12805–12813. [Google Scholar] [CrossRef]
- Liu, X.; Wang, W.; Liu, Y.; Huang, B.; Dai, Y.; Qin, X.; Zhang, X. In Situ Synthesis of Bi2S3/Bi2SiO5 Heterojunction Photocatalysts with Enhanced Visible Light Photocatalytic Activity. RSC Adv. 2015, 5, 55957–55963. [Google Scholar] [CrossRef]
- Shi, Y.; Xiong, X.; Ding, S.; Liu, X.; Jiang, Q.; Hu, J. In-Situ Topotactic Synthesis and Photocatalytic Activity of Plate-like BiOCl/2D Networks Bi2S3 Heterostructures. Appl. Catal. B 2018, 220, 570–580. [Google Scholar] [CrossRef]
- Lakshminarayana, G.; Baki, S.O.; Lira, A.; Sayyed, M.I.; Kityk, I.V.; Halimah, M.K.; Mahdi, M.A. X-Ray Photoelectron Spectroscopy (XPS) and Radiation Shielding Parameters Investigations for Zinc Molybdenum Borotellurite Glasses Containing Different Network Modifiers. J. Mater. Sci. 2017, 52, 7394–7414. [Google Scholar] [CrossRef]
- Mergen, Ö.B.; Arda, E. Determination of Optical Band Gap Energies of CS/MWCNT Bio-Nanocomposites by Tauc and ASF Methods. Synth. Met. 2020, 269, 116539. [Google Scholar] [CrossRef]
- Jin, Y.; Xing, Z.; Li, Y.; Han, J.; Lorenz, H.; Chen, J. Synthetic BiOBr/Bi2S3/CdS Crystalline Material and Its Degradation of Dye under Visible Light. Crystals 2021, 11, 899. [Google Scholar] [CrossRef]
- Yang, S.; Wang, K.; Chen, Q.; Wu, Y. Enhanced Photocatalytic Hydrogen Production of S-Scheme TiO2/g-C3N4 Heterojunction Loaded with Single-Atom Ni. J. Mater. Sci. Technol. 2024, 175, 104–114. [Google Scholar] [CrossRef]
- Li, J.; Jiang, M.; Zhou, H.; Jin, P.; Cheung, K.M.C.; Chu, P.K.; Yeung, K.W.K. Vanadium Dioxide Nanocoating Induces Tumor Cell Death through Mitochondrial Electron Transport Chain Interruption. Glob. Chall. 2019, 3, 1800058. [Google Scholar] [CrossRef] [PubMed]
- Navakoteswara Rao, V.; Preethi, V.; Bhargav, U.; Ravi, P.; Kumar, A.; Sathish, M.; Krishnan, V.; Venkatramu, V.; Mamatha Kumari, M.; Reddy, K.R.; et al. Gram-Scale Synthesis of ZnS/NiO Core-Shell Hierarchical Nanostructures and Their Enhanced H2 Production in Crude Glycerol and Sulphide Wastewater. Envrion. Res. 2021, 199, 111323. [Google Scholar] [CrossRef]
- Mukhtar, S.; Szabó-Bárdos, E.; Horváth, O.; Makó, É.; Juzsakova, T.; Molnár, Z. Bio-Inspired Synthesis of Ag-g-C3N4 Nanocomposites and Their Application for Photocatalytic Degradation of Para-Nitrophenol. Colloids Surf. A Physicochem. Eng. Asp. 2025, 705, 135739. [Google Scholar] [CrossRef]













| Catalyst | % Degrad. | k | R2 | |||
|---|---|---|---|---|---|---|
| (8 h) | (h−1) | |||||
| at Irradiation with | at Irradiation with | at Irradiation with | ||||
| UV | Vis | UV | Vis | UV | Vis | |
| g-C3N4 | 59 | 0 | 1.1 × 10−1 | 0 | 0.98 | 0 |
| g-C3N4-Bi2S3(1) | 88.07 | 7.4 | 2.6 × 10−1 | 9.8 × 10−3 | 0.91 | 0.99 |
| g-C3N4-Bi2S3(2) | 90.86 | 11.7 | 2.9 × 10−1 | 1.6 × 10−2 | 0.92 | 0.99 |
| g-C3N4-Bi2S3(3) | 87.4 | 16.78 | 2.5 × 10−1 | 2.2 × 10−2 | 0.95 | 0.99 |
| Catalyst | % Degrad. | k | R2 | |||
|---|---|---|---|---|---|---|
| (8 h) | (h−1) | |||||
| at Irradiation with | at Irradition with | at Irradiation with | ||||
| UV | Vis | UV | Vis | UV | Vis | |
| g-C3N4 | 59 | 0 | 1.1 × 10−1 | 0 | 0.98 | 0 |
| g-C3N4-ZnS(1) | 95.5 | 12.7 | 3.7 × 10−1 | 1.6 × 10−2 | 0.92 | 0.93 |
| g-C3N4-ZnS(2) | 100 | 15.1 | 5.7 × 10−1 | 1.8 × 10−2 | 0.96 | 0.82 |
| g-C3N4-ZnS(3) | 94.5 | 9.9 | 3.7 × 10−1 | 1.3 × 10−2 | 0.97 | 0.98 |
Disclaimer/Publisher’s Note: The statements, opinions and data contained in all publications are solely those of the individual author(s) and contributor(s) and not of MDPI and/or the editor(s). MDPI and/or the editor(s) disclaim responsibility for any injury to people or property resulting from any ideas, methods, instructions or products referred to in the content. |
© 2025 by the authors. Licensee MDPI, Basel, Switzerland. This article is an open access article distributed under the terms and conditions of the Creative Commons Attribution (CC BY) license (https://creativecommons.org/licenses/by/4.0/).
Share and Cite
Mukhtar, S.; Szabó-Bárdos, E.; Őze, C.; Juzsakova, T.; Rácz, K.; Németh, M.; Horváth, O. g-C3N4 Modified with Metal Sulfides for Visible-Light-Driven Photocatalytic Degradation of Organic Pollutants. Molecules 2025, 30, 253. https://doi.org/10.3390/molecules30020253
Mukhtar S, Szabó-Bárdos E, Őze C, Juzsakova T, Rácz K, Németh M, Horváth O. g-C3N4 Modified with Metal Sulfides for Visible-Light-Driven Photocatalytic Degradation of Organic Pollutants. Molecules. 2025; 30(2):253. https://doi.org/10.3390/molecules30020253
Chicago/Turabian StyleMukhtar, Shoaib, Erzsébet Szabó-Bárdos, Csilla Őze, Tatjána Juzsakova, Kornél Rácz, Miklós Németh, and Ottó Horváth. 2025. "g-C3N4 Modified with Metal Sulfides for Visible-Light-Driven Photocatalytic Degradation of Organic Pollutants" Molecules 30, no. 2: 253. https://doi.org/10.3390/molecules30020253
APA StyleMukhtar, S., Szabó-Bárdos, E., Őze, C., Juzsakova, T., Rácz, K., Németh, M., & Horváth, O. (2025). g-C3N4 Modified with Metal Sulfides for Visible-Light-Driven Photocatalytic Degradation of Organic Pollutants. Molecules, 30(2), 253. https://doi.org/10.3390/molecules30020253

