Green NADES-Based Pretreatment Combined with Microwave-Assisted Hydrodistillation for Enhanced Fennel Essential Oil Production
Abstract
1. Introduction
2. Results
2.1. Effects of NADES Components
2.2. Effects of Solid-to-NADES Ratio
2.3. Effect of Water Content in NADES
2.4. Effect of Pretreatment Power
2.5. Effect of Pretreatment Time
2.6. Antimicrobial Activities
2.7. Antioxidant Activity
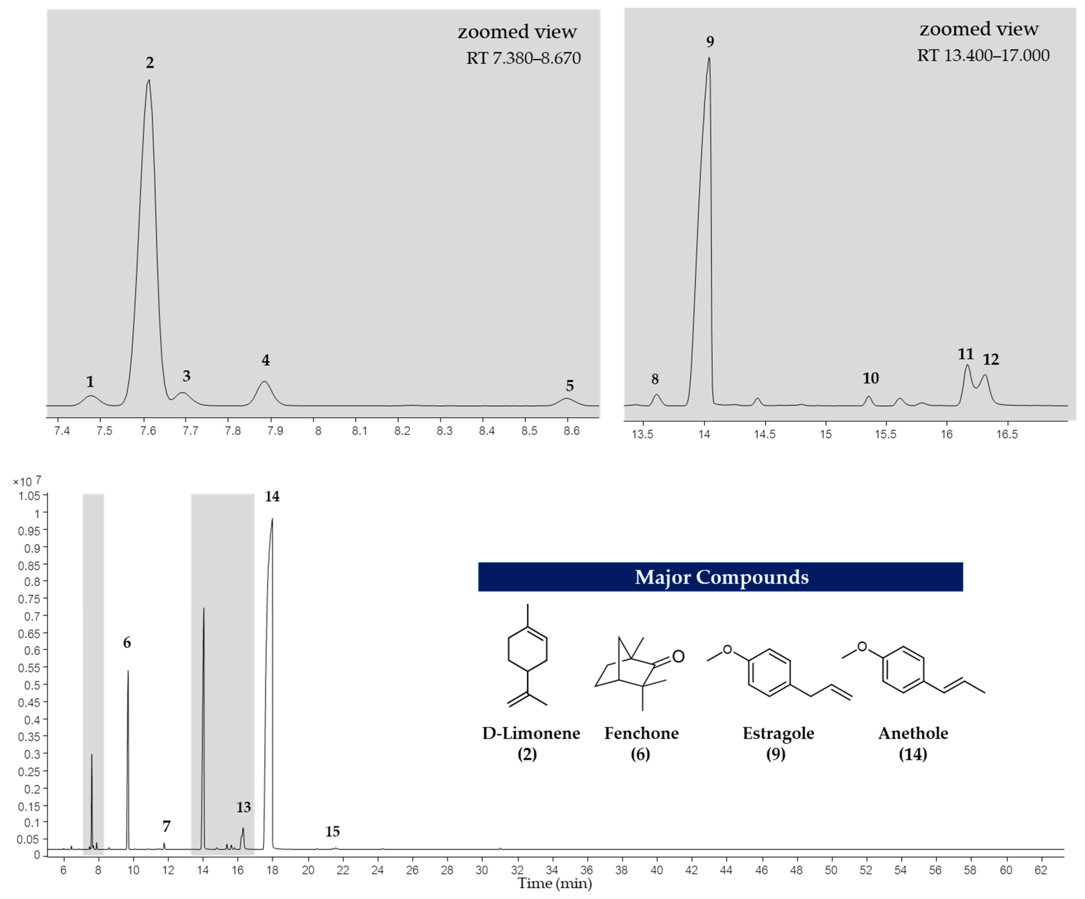
2.8. Volatile Phytochemical Compositions of Fennel Seed EOs
3. Discussion
4. Materials and Methods
4.1. Materials and Chemicals
4.2. Preparation of NADESs
4.3. NADES-MAHD for EO Extraction
4.4. Antimicrobial Assay
4.5. DPPH Radical Scavenging Assay
4.6. GC–MS-Based Analysis of Fennel Seed Phytochemicals
4.7. Statistica Analysis
5. Conclusions
Author Contributions
Funding
Institutional Review Board Statement
Informed Consent Statement
Data Availability Statement
Acknowledgments
Conflicts of Interest
Abbreviations
| NADES | Natural deep eutectic solvent |
| MAHD | Microwave-assisted hydrodistillation |
| HD | Hydrodistillation |
| EOs | Essential oils |
| S/N | Solid-to-NADES |
| Ch | Choline chloride |
| Gly | Glycerol |
| EG | Ethylene glycol |
| CA | Citric acid |
| OA | Oxalic acid |
| Glu | Glucose |
| Fru | Fructose |
| MHs | Monoterpene hydrocarbons |
| OMs | Oxygenated monoterpenes |
| PPs | Phenylpropanoids |
References
- Malo, C.; Gil, L.; Cano, R.; González, N.; Luño, V. Fennel (Foeniculum vulgare) provides antioxidant protection for boar semen cryopreservation. Andrologia 2012, 44, 710–715. [Google Scholar] [CrossRef]
- Salama, Z.A.; El Baz, F.K.; Gaafar, A.A.; Zaki, M.F. Antioxidant activities of phenolics, flavonoids and vitamin C in two cultivars of fennel (Foeniculum vulgare Mill.) in responses to organic and bio-organic fertilizers. J. Saudi Soc. Agric. Sci. 2015, 14, 91–99. [Google Scholar] [CrossRef]
- Ahmad, B.S.; Talou, T.; Saad, Z.; Hijazi, A.; Cerny, M.; Kanaan, H.; Merah, O. Fennel oil and by-products seed characterization and their potential applications. Ind. Crops Prod. 2018, 111, 92–98. [Google Scholar] [CrossRef]
- Jayaprakasha, G.K.; Jagan Mohan Rao, L.; Sakariah, K.K. Improved HPLC method for the determination of curcumin, demethoxycurcumin, and bisdemethoxycurcumin. J. Agric. Food Chem. 2002, 50, 3668–3672. [Google Scholar] [CrossRef]
- Ayati, Z.; Ramezani, M.; Amiri, M.S.; Moghadam, A.T.; Rahimi, H.; Abdollahzade, A.; Emami, S.A. Ethnobotany, phytochemistry and traditional uses of Curcuma spp. and pharmacological profile of two important species (C. longa and C. zedoaria): A review. Curr. Pharm. Des. 2019, 25, 871–935. [Google Scholar] [CrossRef] [PubMed]
- Bousbia, N.; Vian, M.A.; Ferhat, M.A.; Meklati, B.Y.; Chemat, F. A new process for extraction of essential oil from Citrus peels: Microwave hydrodiffusion and gravity. J. Food Eng. 2009, 90, 409–413. [Google Scholar] [CrossRef]
- Borotová, P.; Galovičová, L.; Valková, V.; Ďúranová, H.; Vuković, N.; Vukić, M.; Kačániová, M. Biological activity of essential oil from Foeniculum vulgare. Acta Hortic. Regiotect. 2021, 24, 148–152. [Google Scholar] [CrossRef]
- Boudraa, H.; Kadri, N.; Mouni, L.; Madani, K. Microwave-assisted hydrodistillation of essential oil from fennel seeds: Optimization using Plackett–Burman design and response surface methodology. J. Appl. Res. Med. Aromat. Plants 2021, 23, 100307. [Google Scholar] [CrossRef]
- Troter, D.Z.; Todorović, Z.B.; Đokić-Stojanović, D.R.; Stamenković, O.S.; Veljković, V.B. Application of ionic liquids and deep eutectic solvents in biodiesel production: A review. Renew. Sustain. Energy Rev. 2016, 61, 473–500. [Google Scholar] [CrossRef]
- Ratanasongtham, P.; Bunmusik, W.; Luangkamin, S.; Mahatheeranont, S.; Suttiarporn, P. Optimizing green approach to enhanced antioxidants from Thai pigmented rice bran using deep eutectic solvent-based ultrasonic-assisted extraction. Heliyon 2024, 10, e23525. [Google Scholar] [CrossRef]
- Gerçek, Y.C.; Kutlu, N.; Çelik, S.; Bayram, S.; Kırkıncı, S.; Bayram, N.E. Optimized ultrasonic-NaDES extraction of anthocyanins, polyphenolics, and organic acids from chokeberry fruit with blueness and antimicrobial evaluation. Microchem. J. 2025, 210, 113061. [Google Scholar] [CrossRef]
- Krgović, N.; Jovanović, M.S.; Nedeljković, S.K.; Šavikin, K.; Lješković, N.J.; Ilić, M.; Živković, J.Č.; Menković, N. Natural deep eutectic solvents extraction of anthocyanins–effective method for valorisation of black raspberry (Rubus occidentalis L.) pomace. Ind. Crops Prod. 2025, 223, 120237. [Google Scholar] [CrossRef]
- Obluchinskaya, E.D.; Pozharitskaya, O.N.; Zakharova, L.V.; Daurtseva, A.V.; Flisyuk, E.V.; Shikov, A.N. Efficacy of natural deep eutectic solvents for extraction of hydrophilic and lipophilic compounds from Fucus vesiculosus. Molecules 2021, 26, 4198. [Google Scholar] [CrossRef]
- Yin, Z.; Wang, N.; Li, Q. Ultrasonic assisted extraction of coumarins from Angelicae Pubescentis Radix by betaine-based natural deep eutectic solvents. Arab. J. Chem. 2024, 17, 105542. [Google Scholar] [CrossRef]
- Jovanović, J.; Jović, M.; Trifković, J.; Smiljanić, K.; Gašić, U.; Krstić Ristivojević, M.; Ristivojević, P. Green extraction of bioactives from Curcuma longa using natural deep eutectic solvents: Unlocking antioxidative, antimicrobial, antidiabetic, and skin depigmentation potentials. Plants 2025, 14, 163. [Google Scholar] [CrossRef] [PubMed]
- Petrochenko, A.A.; Orlova, A.; Frolova, N.; Serebryakov, E.B.; Soboleva, A.; Flisyuk, E.V.; Frolov, A.; Shikov, A.N. Natural deep eutectic solvents for the extraction of triterpene saponins from Aralia elata var. mandshurica (Rupr. & Maxim.) J. Wen. Molecules 2023, 28, 3614. [Google Scholar]
- Nitthiyah, J.; Nour, A.H.; Kantasamy, R.; Akindoyo, J.O. Microwave assisted hydrodistillation—An overview of mechanism and heating properties. Aust. J. Basic Appl. Sci. 2017, 11, 22–29. [Google Scholar]
- Crescente, G.; Cascone, G.; Sorrentino, A.; Volpe, M.G.; Boscaino, F.; Moccia, S. Influence of extraction techniques on chemical composition, antioxidant and antifungal activities of Mentha spicata L. essential oil: A comparative study of microwave-assisted hydrodistillation and steam distillation. Food Biosci. 2025, 69, 106939. [Google Scholar] [CrossRef]
- Popovic, B.M.; Micic, N.; Potkonjak, A.; Blagojevic, B.; Pavlovic, K.; Milanov, D.; Juric, T. Novel extraction of polyphenols from sour cherry pomace using natural deep eutectic solvents—Ultrafast microwave-assisted NADES preparation and extraction. Food Chem. 2022, 366, 130562. [Google Scholar] [CrossRef]
- Yu, G.W.; Cheng, Q.; Nie, J.; Wang, X.J.; Wang, P.; Li, Z.G.; Lee, M.R. Microwave hydrodistillation based on deep eutectic solvent for extraction and analysis of essential oil from three Amomum species using gas chromatography—Mass spectrometry. Chromatographia 2018, 81, 657–667. [Google Scholar] [CrossRef]
- Zhang, K.; Gao, H.; Yang, Y.; Ping, Y.; Tian, H.; Gu, H.; Yang, L. Natural acidic deep eutectic solvent-mediated microwave-assisted simultaneous hydrodistillation, hydrolysis, and extraction for obtaining essential oils, gallic acid and ellagic acid from Liquidambar formosana leaves and fruits. Sustain. Chem. Pharm. 2025, 43, 101870. [Google Scholar] [CrossRef]
- Xu, F.X.; Zhang, J.Y.; Jin, J.; Li, Z.G.; She, Y.B.; Lee, M.R. Microwave-assisted natural deep eutectic solvents pretreatment followed by hydrodistillation coupled with GC-MS for analysis of essential oil from turmeric (Curcuma longa L.). J. Oleo Sci. 2021, 70, 1481–1494. [Google Scholar] [CrossRef] [PubMed]
- Suttiarporn, P.; Taithaisong, T.; Namkhot, S.; Luangkamin, S. Enhanced eugenol composition in clove essential oil by deep eutectic solvent-based ultrasonic extraction and microwave-assisted hydrodistillation. Molecules 2025, 30, 504. [Google Scholar] [CrossRef] [PubMed]
- Guo, Y.; Li, Y.; Li, Z.; Jiang, L.; Cao, X.; Gao, W.; Chen, F. Deep eutectic solvent-homogenate based microwave-assisted hydrodistillation of essential oil from Litsea cubeba (Lour.) Pers. fruits and its chemical composition and biological activity. J. Chromatogr. A 2021, 1646, 462089. [Google Scholar] [CrossRef] [PubMed]
- Muley, P.D.; Mobley, J.K.; Tong, X.; Novak, B.; Stevens, J.; Moldovan, D.; Shi, J.; Boldor, D. Rapid microwave-assisted biomass delignification and lignin depolymerization in deep eutectic solvents. Energy Convers. Manag. 2019, 196, 1080–1088. [Google Scholar] [CrossRef]
- Chen, Y.; Xu, F.; Pang, M.; Jin, X.; Lv, H.; Li, Z.; Lee, M. Microwave-assisted hydrodistillation extraction based on microwave-assisted preparation of deep eutectic solvents coupled with GC-MS for analysis of essential oils from clove buds. Sustain. Chem. Pharm. 2022, 27, 100695. [Google Scholar] [CrossRef]
- Dai, Y.; Van Spronsen, J.; Witkamp, G.J.; Verpoorte, R.; Choi, Y.H. Natural deep eutectic solvents as new potential media for green technology. Anal. Chim. Acta 2013, 766, 61–68. [Google Scholar] [CrossRef]
- Coscarella, M.; Nardi, M.; Alipieva, K.; Bonacci, S.; Popova, M.; Procopio, A.; Scarpelli, R.; Simeonov, S. Alternative assisted extraction methods of phenolic compounds using NaDESs. Antioxidants 2023, 13, 62. [Google Scholar] [CrossRef]
- Stanojević, L.P.; Todorović, Z.B.; Stanojević, K.S.; Stanojević, J.S.; Troter, D.Z.; Nikolić, L.B.; Đorđević, B. The influence of natural deep eutectic solvent glyceline on the yield, chemical composition and antioxidative activity of essential oil from rosemary (Rosmarinus officinalis L.) leaves. J. Essent. Oil Res. 2021, 33, 247–255. [Google Scholar] [CrossRef]
- Bubalo, M.C.; Vidović, S.; Redovniković, I.R.; Jokić, S. New perspective in extraction of plant biologically active compounds by green solvents. Food Bioprod. Process. 2018, 109, 52–73. [Google Scholar] [CrossRef]
- Jeyaratnam, N.; Nour, A.H.; Akindoyo, J.O. Comparative study between hydrodistillation and microwave-assisted hydrodistillation for extraction of Cinnamomum cassia oil. ARPN J. Eng. Appl. Sci. 2016, 11, 2647–2652. [Google Scholar]
- Alanon, M.E.; Ivanovic, M.; Pimentel-Mora, S.; Borras-Linares, I.; Arraez-Roman, D.; Segura-Carretero, A. A novel sustainable approach for the extraction of value-added compounds from Hibiscus sabdariffa L. calyces by natural deep eutectic solvents. Food Res. Int. 2020, 137, 109716. [Google Scholar] [CrossRef] [PubMed]
- Dai, Y.; Witkamp, G.J.; Verpoorte, R.; Choi, Y.H. Tailoring properties of natural deep eutectic solvents with water to facilitate their applications. Food Chem. 2015, 187, 14–19. [Google Scholar] [CrossRef]
- Acosta-Vega, L.; Cifuentes, A.; Ibáñez, E.; Galeano Garcia, P. Exploring natural deep eutectic solvents (NADES) for enhanced essential oil extraction: Current insights and applications. Molecules 2025, 30, 284. [Google Scholar] [CrossRef] [PubMed]
- Kivela, H.; Salomaki, M.; Vainikka, P.; Makila, E.; Poletti, F.; Ruggeri, S.; Terzi, F.; Lukkari, J. Effect of water on a hydrophobic deep eutectic solvent. J. Phys. Chem. B 2022, 126, 513–527. [Google Scholar] [CrossRef]
- Pozharitskaya, O.N.; Obluchinskaya, E.D.; Shikova, V.A.; Flisyuk, E.V.; Vishnyakov, E.V.; Makarevich, E.V.; Shikov, A.N. Physicochemical and antimicrobial properties of lactic acid-based natural deep eutectic solvents as a function of water content. Appl. Sci. 2024, 14, 10409. [Google Scholar] [CrossRef]
- Noyraksa, S.; Wichianwat, K.; Punpuk, S.; Aiemyeesun, S.; Maitip, J.; Suttiarporn, P. Optimization of microwave-assisted hydrodistillation of essential oils from fennel seeds. Mater. Today Proc. 2023, 77, 1079–1085. [Google Scholar] [CrossRef]
- Yu, F.; Wan, N.; Zheng, Q.; Li, Y.; Yang, M.; Wu, Z. Effects of ultrasound and microwave pretreatments on hydrodistillation extraction of essential oils from Kumquat peel. Food Sci. Nutr. 2021, 9, 2372–2380. [Google Scholar] [CrossRef]
- Kwiatkowski, P.; Giedrys-Kalemba, S.; Mizielinska, M.; Bartkowiak, A.J.H.P. Antibacterial activity of rosemary, caraway and fennel essential oils. Herba Pol. 2015, 61, 31–39. [Google Scholar] [CrossRef]
- Naaz, S.; Ahmad, N.; Qureshi, M.I.; Hashmi, N.; Akhtar, M.S.; Khan, M.M.A. Antimicrobial and antioxidant activities of fennel oil. Bioinformation 2022, 18, 795. [Google Scholar] [CrossRef]
- Bassyouni, R.H.; Wali, I.E.; Kamel, Z.; Kassim, M.F. Fennel oil: A promising antifungal agent against biofilm forming fluconazole resistant Candida albicans causing vulvovaginal candidiasis. J. Herb. Med. 2019, 15, 100227. [Google Scholar] [CrossRef]
- Hou, G.W.; Huang, T. Essential oils as promising treatments for treating Candida albicans infections: Research progress, mechanisms, and clinical applications. Front. Pharmacol. 2024, 15, 1400105. [Google Scholar] [CrossRef] [PubMed]
- Sharopov, F.; Valiev, A.; Satyal, P.; Gulmurodov, I.; Yusufi, S.; Setzer, W.N.; Wink, M. Cytotoxicity of the essential oil of Foeniculum vulgare from Tajikistan. Foods 2017, 6, 73. [Google Scholar] [CrossRef] [PubMed]
- Sabzi Nojadeh, M.; Pouresmaeil, M.; Younessi-Hamzekhanlu, M.; Venditti, A. Phytochemical profile of fennel essential oils and possible applications for natural antioxidant and controlling Convolvulus arvensis L. Nat. Prod. Res. 2021, 35, 4164–4168. [Google Scholar]
- Amorati, R.; Foti, M.C.; Valgimigli, L. Antioxidant activity of essential oils. J. Agric. Food Chem. 2013, 61, 10835–10847. [Google Scholar] [CrossRef]
- Diao, W.R.; Hu, Q.P.; Zhang, H.; Xu, J.G. Chemical composition, antibacterial activity and mechanism of action of essential oil from seeds of fennel (Foeniculum vulgare Mill.). Food Control 2014, 35, 109–116. [Google Scholar] [CrossRef]
- Lin, H.; Li, Z.; Sun, Y.; Zhang, Y.; Wang, S.; Zhang, Q.; Tang, J. D-Limonene: Promising and sustainable natural bioactive compound. Appl. Sci. 2024, 14, 4605. [Google Scholar] [CrossRef]
- Chemat, F.; Abert-Vian, M.; Fabiano-Tixier, A.-S.; Strube, J.; Uhlenbrock, L.; Gunjevic, V.; Cravotto, G. Green extraction of natural products. Origins, current status, and future challenges. Trends Anal. Chem. 2019, 118, 248–263. [Google Scholar] [CrossRef]
- Choi, Y.H.; van Spronsen, J.; Dai, Y.; Verberne, M.; Hollmann, F.; Arends, I.W.C.E.; Witkamp, G.J.; Verpoorte, R. Are natural deep eutectic solvents the missing link in understanding cellular metabolism and physiology? Plant Physiol. 2011, 156, 1701–1705. [Google Scholar] [CrossRef]
- Affat, S. A review of deep eutectic solvents (DESs), preparation, classification, physicochemical properties, advantages and disadvantages. Univ. Thi-Qar J. Sci. 2024, 11, 167–175. [Google Scholar] [CrossRef]
- Vo, T.P.; Pham, T.V.; Tran, T.N.H.; Vo, L.T.V.; Vu, T.T.; Pham, N.D.; Nguyen, D.Q. Ultrasonic-assisted and microwave-assisted extraction of phenolics and terpenoids from Abelmoschus sagittifolius (Kurz) Merr roots using natural deep eutectic solvents. ACS Omega 2023, 8, 29704–29716. [Google Scholar] [CrossRef] [PubMed]
- Costa, F.S.; Moreira, L.S.; Silva, A.M.; Silva, R.J.; dos Santos, M.P.; da Silva, E.G.P.; Grassi, M.T.; Gonzalez, M.H.; Amaral, C.D.B. Natural deep eutectic solvent-based microwave-assisted extraction in the medicinal herb sample preparation and elemental determination by ICP OES. J. Food Compos. Anal. 2022, 109, 104510. [Google Scholar] [CrossRef]
- Masum, Z.; Mahfud, M.; Altway, A. Parameter for scale-up of extraction of Cymbopogon nardus dry leaf using microwave-assisted hydro-distillation. J. Appl. Eng. Sci. 2019, 17, 126–133. [Google Scholar]
- Lamberti, L.; Grillo, G.; Gallina, L.; Carnaroglio, D.; Chemat, F.; Cravotto, G. Microwave-assisted hydrodistillation of hop (Humulus lupulus L.) terpenes: A pilot-scale study. Foods 2021, 10, 2726. [Google Scholar] [CrossRef]
- Shikov, A.N.; Shikova, V.A.; Whaley, A.O.; Burakova, M.A.; Flisyuk, E.V.; Whaley, A.K.; Terninko, I.I.; Generalova, Y.E.; Gravel, I.V.; Pozharitskaya, O.N. The ability of acid-based natural deep eutectic solvents to co-extract elements from the roots of Glycyrrhiza glabra L. and associated health risks. Molecules 2022, 27, 7690. [Google Scholar] [CrossRef]
- Yu, G.W.; Cheng, Q.; Nie, J.; Wang, P.; Wang, X.J.; Li, Z.G.; Lee, M.R. DES-based microwave hydrodistillation coupled with GC-MS for analysis of essential oil from black pepper (Piper nigrum) and white pepper. Anal. Methods 2017, 9, 6777–6784. [Google Scholar] [CrossRef]







| Title 1 Microorganism | Inhibition Zone (mm) | |||||||
|---|---|---|---|---|---|---|---|---|
| Positive Control | Ch:Gly 1:2 | Ch:EG 1:4 | Ch:CA 1:2 | Ch:OA 2:1 | Ch:Glu 2:1 | Ch:Fru 2:1 | Water (W/O NADES) | |
| Bacteria | ||||||||
| Gram + | ||||||||
| S. aureus | 27.00 ± 1.0 a | 8.33 ± 0.58 b | 8.00 b | 8.33 ± 0.58 b | 8.00 b | 8.33 ± 0.58 b | 8.00 b | 8.00 b |
| S. pyogenes | 38.67 ± 0.5 a | 12.33 ± 0.5 b | 11.33 ± 0.5 bc | 12.33 ± 0.5 b | 11.67 ± 0.5 bc | 10.67 ± 0.5 c | 11.33 ± 0.5 bc | 11.67 ± 0.5 bc |
| B. cereus | 20.67 ± 0.5 a | 8.67 ± 0.58 b | 8.00 b | 8.67 ± 0.58 b | 8.67 ± 0.58 b | 8.33 ± 0.58 b | 8.33 ± 0.58 b | 8.67 ± 0.58 b |
| L. monocytogene | 30.00 ± 1.0 a | 9.33 ± 0.58 b | 9.00 b | 9.67 ± 0.58 b | 10.00 b | 9.00 b | 9.00 b | 9.33 ± 0.58 b |
| Gram − | ||||||||
| E. coli | 23.67 ± 0.5 a | 9.00 b | 8.33 ± 0.58 b | 8.67 ± 0.58 b | 9.00 b | 8.67 ± 0.58 b | 8.67 ± 0.58 b | 8.33 ± 0.58 b |
| Sal. Typhi | 25.33 ± 0.5 a | 9.67 ± 0.58 b | 9.00 b | 10.00 b | 9.67 ± 0.058 b | 9.67 ± 0.58 b | 9.33 ± 0.58 b | 9.33 ± 0.58 b |
| P. aeruginosa | 11.00 ± 1.0 a | NI b | NI b | NI b | NI b | NI b | NI b | NI b |
| E. aerogenes | 19.67 ± 0.5 a | 8.33 ± 0.58 b | 8.00 b | 8.33 ± 0.58 b | 8.00 b | 8.67 ± 0.58 b | 8.33 ± 0.58 b | 8.00 b |
| Fungi | ||||||||
| C. albicans | 7.08 ± 0.10 d | 10.68 ± 0.1 a–c | 9.97 ± 0.39 c | 11.35 ± 0.2 ab | 10.13 ± 0.7 bc | 10.42 ± 0.6 a–c | 11.40 ± 0.2 ab | 11.77 ± 0.6 a |
| Title 1 Bacteria | MIC (mg/mL) | |||||||
|---|---|---|---|---|---|---|---|---|
| Tetracycline | Ch:Gly 1:2 | Ch:EG 1:4 | Ch:CA 1:2 | Ch:OA 2:1 | Ch:Glu 2:1 | Ch:Fru 2:1 | Water (W/O NADES) | |
| Gram + | ||||||||
| S. aureus | 0.01 | 6.25 | 6.25 | 6.25 | 6.25 | 6.25 | 6.25 | 6.25 |
| S. pyogenes | 0.01 | 1.56 | 3.12 | 3.12 | 3.12 | 3.12 | 3.12 | 1.56 |
| B. cereus | 0.02 | 6.25 | 6.25 | 3.12 | 6.25 | 6.25 | 6.25 | 6.25 |
| L. monocytogene | 0.01 | 6.25 | 6.25 | 3.12 | 6.25 | 6.25 | 6.25 | 6.25 |
| Gram − | ||||||||
| E. coli | 0.01 | 6.25 | 6.25 | 6.25 | 6.25 | 6.25 | 6.25 | 6.25 |
| Sal. Typhi | 0.02 | 6.25 | 6.25 | 3.12 | 6.25 | 6.25 | 6.25 | 6.25 |
| P. aeruginosa | 0.06 | 25 | 12.5 | 12.5 | 12.5 | 25 | 25 | 25 |
| E. aerogenes | 0.02 | 6.25 | 6.25 | 6.25 | 6.25 | 6.25 | 6.25 | 6.25 |
| Ch:Gly | Ch:EG | Ch:CA | Ch:OA | Ch:Glu | Ch:Fru | Water | |
|---|---|---|---|---|---|---|---|
| 1:2 | 1:4 | 1:2 | 2:1 | 2:1 | 2:1 | W/O NADES | |
| % DPPH Radical Scavenging | 72.41 ± 1.18 a | 66.63 ± 1.34 ab | 60.81 ± 0.71 b | 65.95 ± 0.95 b | 65.67 ± 3.16 b | 66.06 ± 2.48 b | 66.51 ± 1.24 bc |
| Peak No. | RT a | Assignment Compounds b | RI c | RI Lit. d |
|---|---|---|---|---|
| 1 | 7.472 | m-Cymene | 1023 | 1023 |
| 2 | 7.603 | D-Limonene | 1027 | 1030 |
| 3 | 7.686 | Eucalyptol | 1030 | 1032 |
| 4 | 7.888 | trans-β-Ocimene | 1036 | 1049 |
| 5 | 8.596 | γ-Terpinene | 1057 | 1060 |
| 6 | 9.690 | Fenchone | 1089 | 1096 |
| 7 | 11.735 | (-)-Camphor | 1143 | 1142 |
| 8 | 13.608 | α-Terpineol | 1189 | 1189 |
| 9 | 14.042 | Estragole | 1201 | 1196 |
| 10 | 15.350 | Fenchyl acetate | 1233 | 1223 |
| 11 | 15.612 | Cuminal | 1239 | 1239 |
| 12 | 16.183 | cis-Anethole | 1253 | 1252 |
| 13 | 16.313 | p-Anisaldehyde | 1256 | 1270 |
| 14 | 18.008 | trans-Anethole | 1297 | 1286 |
| 15 | 21.611 | 1-(4-Methoxyphenyl)-2-propanone | 1384 | 1384 |
| Code | Type of NADES | Molar Ratio | Code | Type of NADES | Molar Ratio |
|---|---|---|---|---|---|
| ND1 | Ch:Gly | 1:1 | ND10 | Ch:OA | 3:1 |
| ND2 | Ch:Gly | 1:2 | ND11 | Ch:OA | 2:1 |
| ND3 | Ch:Gly | 1:3 | ND12 | Ch:OA | 1:1 |
| ND4 | Ch:EG | 1:2 | ND13 | Ch:Glu | 3:1 |
| ND5 | Ch:EG | 1:3 | ND14 | Ch:Glu | 2:1 |
| ND6 | Ch:EG | 1:4 | ND15 | Ch:Glu | 1:1 |
| ND7 | Ch:CA | 2:1 | ND16 | Ch:Fru | 2:1 |
| ND8 | Ch:CA | 1:1 | ND17 | Ch:Fru | 1:1 |
| ND9 | Ch:CA | 1:2 | ND18 | Ch:Fru | 1:2 |
Disclaimer/Publisher’s Note: The statements, opinions and data contained in all publications are solely those of the individual author(s) and contributor(s) and not of MDPI and/or the editor(s). MDPI and/or the editor(s) disclaim responsibility for any injury to people or property resulting from any ideas, methods, instructions or products referred to in the content. |
© 2025 by the authors. Licensee MDPI, Basel, Switzerland. This article is an open access article distributed under the terms and conditions of the Creative Commons Attribution (CC BY) license (https://creativecommons.org/licenses/by/4.0/).
Share and Cite
Planonth, S.; Chantarasiri, A.; Maitip, J.; Wongkattiya, N.; Noyraksa, S.; Luangkamin, S.; Tanruean, K.; Suttiarporn, P. Green NADES-Based Pretreatment Combined with Microwave-Assisted Hydrodistillation for Enhanced Fennel Essential Oil Production. Molecules 2025, 30, 3734. https://doi.org/10.3390/molecules30183734
Planonth S, Chantarasiri A, Maitip J, Wongkattiya N, Noyraksa S, Luangkamin S, Tanruean K, Suttiarporn P. Green NADES-Based Pretreatment Combined with Microwave-Assisted Hydrodistillation for Enhanced Fennel Essential Oil Production. Molecules. 2025; 30(18):3734. https://doi.org/10.3390/molecules30183734
Chicago/Turabian StylePlanonth, Songsak, Aiya Chantarasiri, Jakkrawut Maitip, Nalin Wongkattiya, Sirinat Noyraksa, Suwaporn Luangkamin, Keerati Tanruean, and Panawan Suttiarporn. 2025. "Green NADES-Based Pretreatment Combined with Microwave-Assisted Hydrodistillation for Enhanced Fennel Essential Oil Production" Molecules 30, no. 18: 3734. https://doi.org/10.3390/molecules30183734
APA StylePlanonth, S., Chantarasiri, A., Maitip, J., Wongkattiya, N., Noyraksa, S., Luangkamin, S., Tanruean, K., & Suttiarporn, P. (2025). Green NADES-Based Pretreatment Combined with Microwave-Assisted Hydrodistillation for Enhanced Fennel Essential Oil Production. Molecules, 30(18), 3734. https://doi.org/10.3390/molecules30183734

