Next Article in Journal
Astaxanthin Alleviates Inflammatory Mechanical Hyperalgesia by Reducing Hyperexcitability of Trigeminal Nociceptive Secondary Neurons: Potential as an NSAID Alternative
Previous Article in Journal
Effect of Relative Humidity on Quality and Metabolite Profiles of Perilla frutescens Seed Powder During Storage
 
 
Font Type:
Arial Georgia Verdana
Font Size:
Aa Aa Aa
Line Spacing:
Column Width:
Background:
Article

Depth-Dependent Molecular Composition of Peat Organic Matter Revealed by 13C NMR Spectroscopy in the Mukhrino Carbon Supersite (Khanty-Mansi Region, Russia)

by
Evgeny Abakumov
1,*,
Evgeny A. Zarov
2,
Evgenii V. Shevchenko
1,
Timur Nizamutdinov
1,
Vyacheslav Polyakov
1 and
Elena D. Lapshina
2
1
Department of Applied Ecology, Saint Petersburg State University, Saint Petersburg 199178, Russia
2
UNESCO CHAIR Department of Environmental Dynamic and Global Climate Changes, Yugra State University, Khanty-Mansiysk 628012, Russia
*
Author to whom correspondence should be addressed.
Molecules 2025, 30(18), 3663; https://doi.org/10.3390/molecules30183663
Submission received: 7 August 2025 / Revised: 2 September 2025 / Accepted: 7 September 2025 / Published: 9 September 2025
(This article belongs to the Special Issue Recent Progress in Environmental Analytical Chemistry)

Abstract

This study investigates the molecular composition of a Holocene oligotrophic sapric peat core from the Mukhrino Carbon Supersite in Western Siberia, with special reference to carbon pool stabilization mechanisms. Using 13C NMR spectroscopy and elemental analysis, we analyzed peat samples across depth gradients to assess organic matter transformation and stability. Results revealed distinct variations in aromaticity, hydrophobicity, and elemental composition with depth, indicating increasing organic matter stabilization in deeper layers. The study highlights the vulnerability of surface peat layers to mineralization under climate change, emphasizing the critical role of Siberian peatlands in global carbon balance. The findings provide insights into peatland carbon dynamics and underscore the need for conservation strategies to mitigate potential carbon emissions from these ecosystems

1. Introduction

The soils of Western Siberia (Russia) play a crucial role in stabilizing carbon pools, which is especially important under rapidly changing climate conditions. The approximate area occupied by peatlands is reported as 139,000,000 hectares [1], which constitutes about 8.14% of the total area of the Russian Federation. Up to 70–90% of peatland ecosystems are concentrated in Western Siberia. The West Siberian Lowland is the largest reservoir of carbon and peatland water. According to various estimates, the total carbon pool in Russian peatlands ranges from 100.9 to 118.9 billion Mg [1]. The gravimetric and volumetric contents of organic carbon in Siberian soils vary significantly across macrolandscapes [2] and within individual natural climatic subzones [3]. For instance, recent research demonstrates that the stocks of carbon were 50.2, 299.8, and 589.5 t/ha for podzol, histic cryosol, and oligotrophic histosols, respectively. Recently, it has been reported [4] that peat soils in Russia accumulate up to 29% of the organic carbon found in all Russian soils. Thus, the reserves of organic carbon in peat soils can exceed those in Podzols by 10–15 times and, when compared with thin leptosols, by tens or even hundreds of times.
There are many challenges in estimating organic matter reserves, most of which are related to field research methodologies and laboratory determinations [5]. However, this article focuses on analysis of the molecular aspects of organic matter stabilization in peat soils. Therefore, it is necessary to consider the molecular structural organization of organic matter. Molecular mechanisms of organic matter stabilization can be assessed using kinetic methods to study the emission and mineralization of organic matter in nature-like or laboratory experiments [3]. The use of spectroscopic methods for investigating both bulk peat material and humic acids (HAs) isolated from the same samples has been reported for peatlands in the northeastern part of the European region of Russia [6]. Detailed surveys of carbon species (groups of carbon atoms in organic molecules belonging to various chemical compounds) have been conducted for tundra soils in Alaska [7], the Yamal and Gydan peninsulas [8], permafrost-affected Chernozems in the southern part of Eastern Siberia [9], and even in Antarctica [10].
It has been shown that aromaticity negatively correlates with aliphaticity for various peat materials in Srednee Priobye (Khanty-Mansiysk region) [11], and aliphatic compounds prevail in the component composition of the peat. The author also suggested that the increased aliphaticity of HAs is caused by the woody origin of plant remnants. In contrast, grass peat materials may contain relatively higher proportions of aromatic carbon species [11]. On the other hand, the lignin of herbaceous plants may be more readily biodegradable due to its high cinnamic acid content, while the lignin of woody plants is characterized by a high guaiacyl/syringyl ratio, a property that contributes to its enhanced resistance to degradation.
However, the use of HA extracts to characterize the entire peat material is not always sufficiently informative, as different extractants can have varying effects on the molecular organization of HAs [12]. There are also studies on the use of nuclear magnetic resonance spectroscopy to identify peat in different zones of altitudinal mountain zonation. It has been established that peats at higher altitudes have a higher content of aliphatic fragments [13].
Solid-state 13C NMR spectroscopy has emerged as a powerful technique for characterizing intact peat organic matter, overcoming limitations associated with chemical extraction methods [14]. This approach provides quantitative data on carbon functional groups, while preserving the native molecular architecture—a critical advantage when studying complex, poorly decomposed peat matrices.
V.A. Kholodov et al. [15] reported 13C NMR spectra of HAs from an almost complete zonal sequence of soils on the Russian Plain, with the exception of polar soils. This work provided excellent confirmation at a molecular level of the theory of zonal humification by D.S. Orlov [16] and the zonal theory of soil-forming processes authored by V.V. Dokuchaev [17]. In this context, it should be emphasized that soils in the European part of Russia have been more intensively studied in terms of organic matter spectroscopy compared to Siberian soils. It should be noted that the extraction of humic substances with alkaline solutions can lead to alterations in their molecular organization. While HAs are highly representative of organic matter in mineral soils, they are not entirely representative of peats (histic materials). Therefore, proposals for recording spectra directly from entire soil samples [18] are also applicable to peats. The primary challenge lies in the high ash content of lowland peats, though this is less significant for oligotrophic peats. Another limitation of the investigation of organic matter in peat materials could arise due to their high iron or manganese contents, but in the case of oligotrophic histic materials this could have minimal effects.
While numerous studies have characterized bulk peat properties across Siberia [19], fundamental gaps remain in understanding the molecular-scale processes governing organic matter stabilization in these systems. In particular, the relationship between peat formation history (as recorded in stratigraphy) and its molecular signature remains poorly defined for ombrotrophic bogs of the West Siberian Lowland. The Holocene history of peat layer formation in Western Siberia has been investigated less than in the European part of Russia. That is why investigation of the molecular organization of the different age layers of histic soils may provide important information about the development of the organic matter system in a temporal sense.
Due to the limited knowledge about molecular mechanisms for stabilizing soil organic matter, particularly in the vast macro-area of Western Siberia, the objective of our work was to conduct 13C NMR spectroscopic studies of a peat bog core of varying ages at one of the most important monitoring sites in the region. To achieve this objective, we formulated the following aims: (1) to collect samples from a peat core, including dated samples from various depths, at a representative peatland plot, (2) to determine the C/N composition of the peat samples, and (3) to collect and interpret 13C NMR spectra of the peat materials.

2. Results and Discussion

2.1. Peat Macrofossil and Peat Properties Description

Previous studies have shown that the Mukhrino peatland was initiated by both terrestrialization and paludification approximately 10,000–11,000 calibrated years before present (cal. yr BP) [20]. The peat deposit at the study site exhibits clear stratification, reflecting shifts in plant communities and hydrological conditions throughout the Holocene. The bottom peat layer (400–500 cm) is formed by eutrophic plant remains, primarily Equisetum, sedges, and shrubs. The mesotrophic peat layer is thin, measuring only 10–20 cm, and consists of a mixture of Sphagnum mosses (Sph. angustifolium), grasses, and shrubs (Eriophorum and Ericaceae taxa). The upper layer of the peatland is composed of oligotrophic Sphagnum remains (dominated by Sphagnum fuscum) with an interlayer of oligo-mesotrophic peat, likely formed during droughts associated with the 4.2 kiloyear event [21,22]. The presented peat layer sequence reflects the natural succession of the peatland ecosystem from eutrophic to oligotrophic stages, consistent with data from other peatlands in Western Siberia [23]. Key characteristics of the peat material are presented in Figure 1.
In the studied profile, the upper layers, with a low 42% humification degree, exhibit high carbon lability due to their exposure to seasonal water level fluctuations and aeration. In contrast, the deeper horizons, maintained under permanent anaerobic conditions, preserve more stable forms of carbon despite their higher aromaticity. This underscores the importance of maintaining the natural hydrological regime of peatlands to minimize carbon emissions under climate change scenarios.

2.2. Elemental Composition

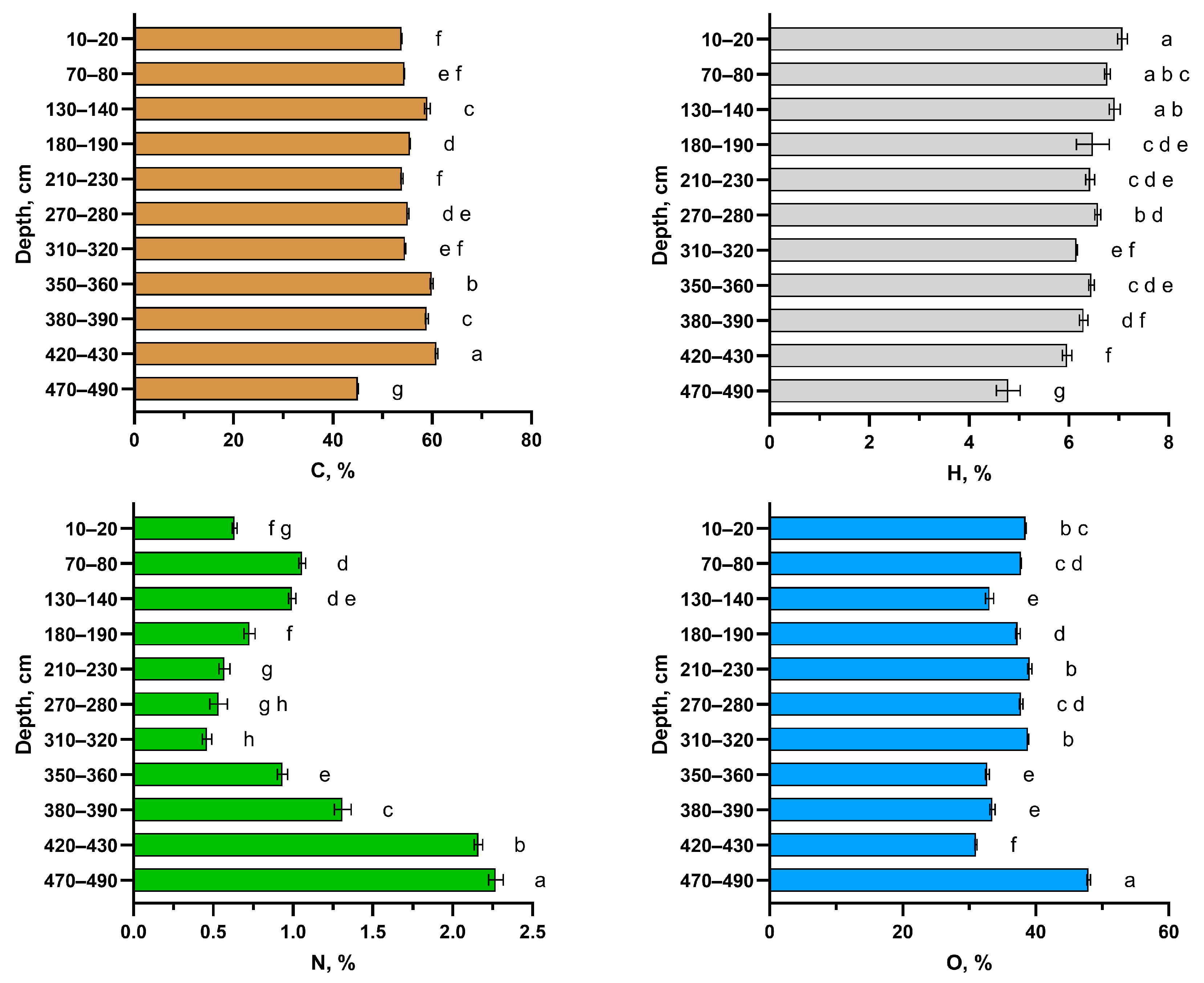
The percentages of key constitutional elements (C, H, N, and O) vary significantly with sampling depth, indicating differences in the origins of organic matter (Figure 2). The greatest variation in gravimetric concentration is observed for nitrogen. The first nitrogen peak occurs at depths of 70–80 cm and 130–140 cm, while a second, more pronounced peak is observed in the deepest layers of the column (420–430 cm and 470–490 cm). The lowest carbon content, approximately 42%, was found in the deepest layer of the soil section. Comparable low carbon contents have recently been reported for polygonal frozen bogs in Western Siberia [24].
The oligotrophic peat layers showed the lowest carbon (48.14 ± 1.86%) and nitrogen (0.64 ± 0.21%) concentrations, as well as the lowest bulk density (0.12 ± 0.03 g cm−3) and ash content (2.80 ± 2.27%). In comparison, mesotrophic peat exhibited the highest carbon content (53.27 ± 0.84%) and bulk density (0.24 ± 0.06 g cm−3), with intermediate nitrogen (1.09 ± 0.19%) and ash (2.80 ± 0.71%) concentrations. Eutrophic peat contained the highest nitrogen (2.29 ± 0.64%) and ash content (4.31 ± 3.74%), while showing intermediate values for carbon (52.15 ± 2.13%) and bulk density (0.22 ± 0.08 g cm−3).
The total carbon stock in the peat core reached 356.65 kg m−2, with oligotrophic peat contributing the largest proportion due to its dominance in the peatland profile. However, the highest carbon storage per 10 cm layer (14.02 kg m−2) occurred in mesotrophic peat, reflecting its greater bulk density and carbon content associated with abundant Eriophorum and Ericaceae remains. These values align with previous studies [22,24], though the total stock appears exceptionally high due to the core’s substantial depth. Total nitrogen storage amounted to 8.91 kg m−2, with maximum accumulation in mesotrophic (0.26 kg m−2 per 10 cm) and eutrophic peat (0.40 kg m−2 per 10 cm). The elevated nitrogen content in deeper layers likely reflects mineral admixture in these eutrophic deposits (Figure 2). In our peat cores, some horizons exhibit a maximum C/N ratio of up to 150, indicating that the organic matter is less enriched in nitrogen compared to the peat material investigated by Raudina and Loiko [24] in the permafrost-affected bogs of Western Siberia. C/N ratio, along with gravimetric carbon content, is considered an important predictor of CO2 emissions from peat soils affected by permafrost [25,26]. Thus, even within a single soil section (core), the quality of organic material can vary significantly, leading to different behaviors when exposed to surface conditions or changes in hydrological regime.
The H/C and O/C ratios (Figure 3 and Figure 4) are known indicators of the chemical composition and maturity of organic matter and are widely used in geochemistry and soil science [16]. The data in Figure 3 demonstrate that surface samples exhibit higher H/C values, consistent with a larger proportion of less transformed, aliphatic structural fragments. In contrast, the deepest layers are characterized by the lowest H/C and slightly elevated O/C ratios, which aligns with the 13C NMR data in showing an increase in aromatic carbon and a relative decrease in easily degradable alkyl chains. This evolution along the van Krevelen diagram is logical and expected for the humification and long-term diagenetic transformation of organic matter in peat deposits, reflecting processes such as dehydration, decarboxylation, and aromatization. The heterogeneity in the data points, both vertically and horizontally, is characteristic of peat soils in general [27]. This explains the significant variability in the chemical parameters of the soils studied. Additionally, fires, which regularly occur in both taiga and remote northern ecosystems, may have played a significant role in the content and stocks of organic carbon and nitrogen. In this context, layer-by-layer fluctuations in elemental composition may serve as indicators of changes in ecological and biogeochemical conditions [28].
Data on molecular ratios are provided in Figure 4. Although the data on elemental composition, particularly atomic ratios, are statistically significantly different for the peat layers, no correlation was found between these ratios and the type of vegetation composing the peat layers. Thus, the depth of the sample, the degree of organic matter transformation and the initial peat composition are the most important predictors of elementary composition in the peat core. At the same time, in the studied core, the C/N ratio is the most variable, ranging from 50 to 150, which is significantly higher than reported by Raudina and Loiko [24]. The observed decline in the C/N ratio in the deepest layers is a classic indicator of advanced organic matter decomposition, which is consistent with the presumed long-term anaerobic conditions (hydromorphism) in these horizons. Under such conditions, the preferential mineralization of nitrogen-poor carbon compounds (e.g., cellulose) over nitrogen-rich microbial biomass leads to a relative enrichment of nitrogen and a consequent decrease in C/N ratio. The increased enrichment by nitrogen in some horizons may result from the past wildfires and may have appeared during the development of the peatland ecosystem investigated. The observed decrease in oxygen content with depth, as reflected in the O/C ratios, can be explained by the preferential degradation of biomass constituents with the highest oxygen content, such as carbohydrates, compared to more recalcitrant, aromatic compounds like lignin or polyphenols. This selective preservation leads to a progressive decrease in the overall oxygen content of the organic material over time.

2.3. 13C NMR Spectroscopy of Peat Organic Matter

Information on the component chemical composition of organic matter is most effectively obtained using spectroscopic methods [22]. In this study, we interpret the 13C-NMR spectroscopy data shown in Figure 5. The interpretation of the spectra is provided in Table 1. The first observation from the spectra is that the degree of aromaticity of organic matter increases with depth. This is likely the result of dehydrogenation of organic matter, as indicated by the elemental composition data, and is also a consequence of humification. In this case, aromatization appears to be driven by proton loss rather than intensive oxidation of organic matter. At the same time, the decrease in oxygen may be expected from the selective degradation of carbohydrates, which represents the majority of plant biomass.
In general, a low degree of humification is characteristic of peats due to low aeration and high moisture content [29,30]. Peat strata are typically divided into layers with different levels of aeration, which significantly influence their chemical composition [31], especially in lower parts which are altered by the processes of diagenesis. The content of alkyl groups decreases significantly with depth, which is logical, as an increase in alkyl groups is accompanied by a decrease in the fraction of aromatic groups, and vice versa. Consequently, the AR/AL ratio expands from the surface to deeper layers, indicating an increase in the degree of organic matter stabilization in the lower horizons.
The results of 13C-NMR spectroscopy confirm that the peat deposits of Western Siberia contain substantial reserves of poorly decomposed organic matter, making them vulnerable to anthropogenic and climatic disturbances. From a peat science perspective, these findings can inform strategies for managing peatland ecosystems to preserve their carbon sequestration function. Additionally, the observed trends in molecular composition with depth may serve as indicators of past climatic events, such as droughts or periods of increased fire activity, thereby enhancing the potential for paleoecological reconstruction.
In soil science and humic chemistry, there is ongoing debate about the nature of soil organic matter and HAs in particular [32,33]. It is clear that HA isolates are not fully representative of soil organic matter as a whole. Therefore, our data, obtained from bulk samples rather than HA isolates, are particularly interesting and confirm that humification exists and can be quantified without isolating HAs.
Data on peat hydrophobicity (Table 1), calculated as AL h,r + AR h,r, show that hydrophobicity varies across layers. In addition to the nature of the organic matter itself, peat hydrophobicity is influenced by the composition of alkaline and alkaline earth cations [28]. Thus, total ash content and the cation composition of ash can affect the hydrophobicity–hydrophilicity of peat. E. Lodygin [34] reported that hydrophobicity for southern tundra soils is about 45%, increasing to 50% in southern taiga soils. In comparison, the hydrophobicity of our peat samples is lower. However, it should be noted that Lodygin [34] evaluated the elemental composition of humic and fulvic acids, whereas our work analyzes bulk peat samples.
The ratio of C,H-alkyl to O,N-alkyl, which characterizes the degree of decomposition of organic matter, is relatively low in the studied peats. This places them closer to fulvic acids, which are enriched in aliphatic carbon, and further from HAs, based on comparisons with previous results published by [29].
In summary, the levels of stabilization of organic matter in the peat core, as indicated by aromaticity, are relatively low but increase with depth. At the same time, the studied organic matter is characterized by relatively low hydrophobicity and a low degree of decomposition. A notable feature of the 13C-NMR spectra is their significant differentiation in terms of carbon species groups, reflecting the high diversity of humification precursors typical of bog ecosystems located at the junction of polar and boreal belts. It has been previously shown [30] that the degree of peat aromaticity depends on the rate of humification, with peats from bare patches exhibiting more humified organic matter.
Most of the current research on the carbon issue at monitoring sites in Russia is focused on studying the content and reserves of organic matter. However, stocks are not as important as the quality of organic matter at the molecular level. Thus, for the most famous carbon monitoring site in Western Siberia, the characterization of the organic matter of the peat core at the molecular level was carried out for the first time without extraction of organic molecules, i.e., in situ.

3. Materials and Methods

3.1. Regional Settings

The Mukhrino field station is located in the middle taiga subzone of Western Siberia (Russian Federation) [35] on the left second terrace of the Irtysh river (Figure 6). The study area is characterized by vegetation typical of the subzone, including coniferous forests (dominated by Pinus sibirica, Picea obovata, Abies sibirica, and Populus tremula), and ombrotrophic bogs (dominated by Sphagnum mosses and sedges) are presented for the studied territory.
General features of the peat core are provided in Table 2. Meteorological data were obtained from an automatic weather station located at the site. The monthly air temperature in June varied between 13.8 and 17.4 °C, and in January varied between −27.8 and 17.3 °C. The annual air temperature was −1.0 °C, and annual precipitation was 470 ± 68 mm, of which a quarter was snow.
The studied site is situated at the boundary between ridge and hollow ecosystems (60.891719 N, 68.675906 E) to capture variations in peat composition with depth formed by vegetation typical of these ecosystems. A peat core was extracted using a Russian corer (half-cylindrical shape, 50 cm length, 5 cm width, Eijkelkamp, Giesbeek, The Netherlands). The core was transferred to a C-shaped foamed polyethylene cassette, wrapped in plastic film, and stored in a freezer at −25 °C within 8 h. In the laboratory, the core was defrosted, and each 50 cm section was divided into five 10 cm samples. Each sample was further subdivided into three equal-sized subsamples. The first subsample was used for physicochemical analysis, the second for macrofossil analysis, and the third was stored as a reserve.

3.2. Basic Chemical Analyses

For physicochemical analysis, the subsample was oven-dried (48 h at 75 °C) and ground to a homogeneous state. Ash content was determined as the percentage loss of mass after combustion of approximately 1 g of dry peat at 525 °C for 8 h. Water holding capacity was measured gravimetrically after independent drainage of excess moisture in the laboratory. Carbon, nitrogen, and hydrogen content was measured using a CHN analyzer (EA3000 EuroVector, Pavia, PV, Italy). For this, 1–2 mg of a peat sample was combusted in a reactor filled with a catalyst (copper and chromium oxide) with an oxygen admixture in a helium flow. A chromatography column (EuroVector, Pavia, PV, Italy) was used for further separation, with detection conducted by a thermal conductivity detector (EuroVector, Pavia, PV, Italy).
The pH values were determined using a pH analyzer (Milwaukee Mi106 pH/Redox/Temp tester, Milwaukee Electronics, Milwaukee, WI, USA) via the potentiometric method. A van Krevelen diagram was constructed based on elemental analysis data, with oxygen content calculated using the difference between the three major elements. The results of elemental analyzes were corrected for ash content.

3.3. 13C-NMR Spectroscopy

For NMR, the peat samples were ground in a mechanical mill and sieved through a 1 mm mesh. They were then further ground in an agate mortar to achieve maximum homogenization. Deashing of peat samples was conducted in the laboratory by adding a hydrofluoric acid solution. Solid-state spectra of the peat material were obtained using CP/MAS 13C-NMR spectroscopy on a Bruker Avance 500 MHz NMR spectrometer (Bruker BioSpin GmbH, Rheinstetten, Germany) with a 3.2 mm ZrO2 rotor. The summarized data on the observed structural fragments within the peat materials are presented in Table 1. The chemical shifts were identified according to recommendations presented in paper [34]. Aromatic fragments were identified by the sum of chemical shifts at 105–144 ppm (unsubstituted aromatic carbon (H-Arom) and allyl-substituted aromatic carbon (C-Arom)), 145–183 ppm (O, N-substituted aromatic carbon (O, N-Arom)), and 184–190 ppm (quinone fragments (Arom=O)). Aliphatic fragments were identified by the sum of chemical shifts at 0–46 ppm (alkyl + α-amino (13 = methyl, 21 = acetate, 33 = polymethylene, 47–60 ppm (methoxy and ethoxy groups (O-CH3, O-CH2-CH3), O, N-substituted aliphatic fragments), 60–105 ppm (CH2OH groups of carbohydrate fragments, CHOH groups of polysaccharide rings, and esters (the signal of a carbon atom connected by a single bond to an oxygen atom in esters)), and 164–183 ppm (carboxyl groups, esters, and amides (COO-R)). Chemical shifts at 190–204 ppm were attributed to aldehyde and ketone fragments (C=O). The degree of hydrophobicity (AL h,r + AR h,r) was calculated as the sum of integrals at 0–47 ppm and 105–144 ppm. The degree of organic matter transformation (C, H-AL/O, N-AL) was determined by the ratio of integrals in the regions of 0–46 ppm and 46–110 ppm [34]. The spectra registration conditions were the following: contact time 2 ms, relaxation time 2 s, number of accumulations 3000–8000 scans.

3.4. Statistics

One-factor analysis of variance (ANOVA) was used for statistical data processing. Multiple comparisons were performed using the Tukey test with a single pooled variance (visualization of differences using compact letter displays). The confidence interval was set at 95% (α = 0.05). Data processing and visualization were performed using GraphPad Prism 10.3.1 (GraphPad Software, LLC, Boston, MA, USA).

4. Conclusions

This study analyzed vertical variations in organic matter structure across ten stratified peat layers from a key carbon supersite in Western Siberia’s peat deposits. Results demonstrate distinct elemental compositions correlated with layer age and origin, revealing a depth-dependent aromaticity gradient. Shallower carbon pools exhibit lower stability, indicating potential phased CO2 emission scenarios where surface layers mineralize before deeper, more recalcitrant fractions. Notable variations in hydrogenation/dehydrogenation degrees and oxidation reduction states of organic matter were observed across horizons. Bulk 13C-NMR spectroscopy confirmed low overall peat aromaticity, with a vertical increase in aromatic structures and reduced hydrophobicity compared to typical humic substances.
The bulk-sample NMR approach provides evidence that humification indices can be quantified directly in undifferentiated peat without extraction procedures, potentially offering a more representative assessment of native molecular architecture. Our findings suggest that the AR/AL ratio may serve as a useful indicator of decomposition states across trophic gradients in peat systems, though further comparative studies with other methods (for example pyrolysis gas chromatography/mass spectrometry of organic matter or Rock-Eval® thermal analysis) would strengthen this interpretation.
Critically, the low hydrophobicity and aromaticity of studied peats render them potentially susceptible to mineralization under mechanical disturbance or climate warming, posing risks for organic matter reserves in northern Western Siberia. Paleoclimate signatures, including a 4.2 kyr drought signal in oligo-mesotrophic layers, provide molecular evidence of Siberian peatlands’ sensitivity to hydroclimatic shifts. The research underscores the necessity of accounting for vertical/horizontal heterogeneity in peatlands and historical biogeochemical impacts (e.g., fires and droughts) on organic matter stability. Layer-specific chemical variability highlights the need for high-resolution analyses when predicting carbon dynamics under environmental change.

Author Contributions

E.A.—conceptualization, writing, and field research; E.A.Z.—field study, laboratory, and editing; E.V.S.—methodology and writing; T.N.—laboratory, writing, and data curation; V.P.—laboratory and data curation; E.D.L.—field work and writing. All authors have read and agreed to the published version of the manuscript.

Funding

This work was funded by Saint Petersburg State University, Project No. 123042000071-8.

Data Availability Statement

The data presented in this study are available upon the request from the corresponding author.

Conflicts of Interest

The authors declare no conflicts of interest.

Correction Statement

This article has been republished with a minor correction to the Data Availability Statement. This change does not affect the scientific content of the article.

References

  1. Inisheva, L.I.; Sergeeva, M.A.; Smirnov, O.N. Carbon deposition and emission by West Siberian bogs. Cyberleninka 2012, 7. Available online: https://cyberleninka.ru/article/n/deponirovanie-i-emissiya-ugleroda-bolotami-zapadnoy-sibiri (accessed on 6 July 2024).
  2. Zubrzycki, S.; Kutzbach, L.; Pfeiffer, E.-M. Permafrost affected soils and their carbon pools with a focus on the Russian Arctic. Solid Earth 2014, 5, 595–609. [Google Scholar] [CrossRef]
  3. Bobrik, A.A.; Ryzhova, I.M.; Goncharova, O.Y.; Matyshak, G.V.; Makarov, M.I.; Walker, D.A. CO2 Emission and Organic Carbon Pools in Soils of the Northern Taiga Ecosystems of Western Siberia under Different Geocryological Conditions. Euras. Soil Sci. 2018, 51, 628–636. [Google Scholar] [CrossRef]
  4. Chernova, O.V.; Golozubov, O.M.; Alyabina, I.O.; Schepaschenko, D.G. Integrated Approach to Spatial Assessment of Soil Organic Carbon in the Russian Federation. Euras. Soil Sci. 2021, 54, 325–336. [Google Scholar] [CrossRef]
  5. Polyakov, V.; Orlova, K.; Abakumov, E. Evaluation of carbon stocks in the soils of Lena River Delta on the basis of application of “dry combustion” and Tyurin’s methods of carbon determination. Biol. Commun. 2017, 62, 67–72. [Google Scholar] [CrossRef]
  6. Vasilevich, R.; Lodygin, E.; Beznosikov, V.; Abakumov, E. Molecular composition of raw peat and humic substances from permafrost peat soils of European Northeast Russia as climate change markers. Sci. Total Environ. 2018, 615, 1229–1238. [Google Scholar] [CrossRef]
  7. Dai, X.Y.; Ping, C.L.; Candler, R.; Haumaier, L.; Zech, W. Characterization of soil organic matter fractions of tundra soils in arctic Alaska by carbon-13 nuclear magnetic resonance spectroscopy. Soil Sci. Soc. Am. J. 2001, 65, 87–93. [Google Scholar]
  8. Ejarque, E.; Abakumov, E. Stability and biodegradability of organic matter from Arctic soils of Western Siberia: Insights from 13C-NMR spectroscopy and elemental analysis. Solid Earth 2016, 7, 153–165. [Google Scholar] [CrossRef]
  9. Chimitdorzhieva, E.O.; Tzybenov, Y.B. Lipids of permafrost-affected Chernozems. Adv. Curr. Nat. Sci. 2023, 10, 14–19. [Google Scholar]
  10. Beyer, L.; Bölter, M.; Seppelt, R.D. Soil organic matter composition and transformation in a swamp soil from algae of coastal continental Antarctica. Polarforschung 1998, 65, 117–122. [Google Scholar]
  11. Sartakov, M.P. 13C NMR spectroscopy of humic acids from peat of the Middle Ob region. Khim. Rastit. Syr’ya 2008, 3, 135–139. [Google Scholar]
  12. Maryganova, V.V.; Bambalov, N.N.; Strigutskii, V.P.; Parmon, S.V. Changes in the Composition of Humic Substances Depending on the Depth of Peat Occurrence. Solid Fuel Chem. 2013, 47, 153–164. [Google Scholar] [CrossRef]
  13. Larina, G.V.; Daibova, E.B.; Kaigorodov, E.V.; Kosova, N.I.; Andrienko, O.S. Chemical composition of humic acid preparations from peat of the Altai mountain region. Bull. Tomsk State Univ. Chem. 2016, 2, 24–34. [Google Scholar] [CrossRef]
  14. Logvinova, L.A.; Zykova, M.V.; Krivoschekov, S.V.; Kosova, N.I.; Andrienko, O.S. Comparative pharmacognostic study of lowland woody-herbaceous peat species of different origin to justify their use as promising sources of biologically active humic acids. Khim. Rastit. Syr’ya 2022, 1, 277–288. [Google Scholar]
  15. Kholodov, V.A.; Konstantinov, A.I.; Kudryavtsev, A.V.; Perminova, I.V. Structure of humic acids in zonal soils from 13C NMR data. Euras. Soil Sci. 2011, 44, 976–983. [Google Scholar] [CrossRef]
  16. Orlov, D.S. Soil Chemistry: Textbook [Khimiya Pochv]; Moscow State University Press: Moscow, Russia, 1985; p. 376. [Google Scholar]
  17. Dokuchaev, V.V. Russian Chernozem. Popular Essay [Russkiy chernozem. Populyarnyy ocherk]. Nov 1885, 18, 194–215. [Google Scholar]
  18. Prater, I.; Mißbach-Karmrodt, H.; König, K.; Friedrich, D.; Heim, C. Biogeochemical traces and microbe-mineral interactions in the hyperarid core of the Atacama Desert. Glob. Planet. Change 2024, 238, 104463. [Google Scholar] [CrossRef]
  19. Smith, L.C.; MacDonald, G.M.; Velichko, A.A.; Beilman, D.W.; Borisova, O.K.; Frey, K.E.; Kremenetski, K.V.; Sheng, Y. Siberian peatlands a net carbon sink and global methane source since the early Holocene. Science 2004, 303, 353–356. [Google Scholar] [CrossRef]
  20. Zarov, E.A.; Lapshina, E.D.; Kuhlmann, I.; Schulze, E.D. Carbon Accumulation and the Possibility of Carbon Losses by Vertical Movement of Dissolved Organic Carbon in Western Siberian Peatlands. Forests 2023, 14, 2393. [Google Scholar] [CrossRef]
  21. Railsback, L.B.; Liang, F.; Brook, G.; Voarintsoa, N.R.G.; Sletten, H.R.; Marais, E.; Hardt, B.; Cheng, H.; Edwards, R.L. The timing, two-pulsed nature, and variable climatic expression of the 4.2 ka event: A review and new high-resolution stalagmite data from Namibia. Quat. Sci. Rev. 2018, 186, 78–90. [Google Scholar] [CrossRef]
  22. Tsyganov, A.N.; Zarov, E.A.; Mazei, Y.A.; Kulkov, M.G.; Babeshko, K.V.; Yushkovets, S.Y.; Payne, R.J.; Ratcliffe, J.L.; Fatyunina, Y.A.; Zazovskaya, E.P.; et al. Key periods of peatland development and environmental changes in the middle taiga zone of Western Siberia during the Holocene. Ambio 2021, 50, 1896–1909. [Google Scholar] [CrossRef] [PubMed]
  23. Zarov, E.A.; Lapshina, E.D. Stratigraphy of peat deposits and mire development in the southern part of the forest zone of Western Siberia in Holocene. Environ. Dyn. Glob. Clim. Change 2023, 14, 70–101. [Google Scholar] [CrossRef]
  24. Raudina, T.V.; Loiko, S.V. Properties and major element concentrations in peat profiles of the polygonal frozen bog in Western Siberia. IOP Conf. Ser. Earth Environ. Sci. 2019, 400, 012009. [Google Scholar] [CrossRef]
  25. Maslov, M.N.; Makarov, M.I. Transformation of nitrogen compounds in the tundra soils of Northern Fennoscandia. Euras. Soil Sci. 2016, 49, 757–764. [Google Scholar] [CrossRef]
  26. Kuhry, P.; Bárta, J.; Blok, D.; Elberling, B.; Faucherre, S.; Hugelius, G.; Jørgensen, C.J.; Richter, A.; Šantrůčková, H.; Weiss, N. Lability classification of soil organic matter in the northern permafrost region. Biogeosciences 2020, 17, 361–379. [Google Scholar] [CrossRef]
  27. Loiko, S.; Raudina, T.; Lim, A.; Kuzmina, D.; Kulizhskiy, S.; Pokrovsky, O. Microtopography Controls of Carbon and Related Elements Distribution in the West Siberian Frozen Bogs. Geosciences 2019, 9, 291. [Google Scholar] [CrossRef]
  28. Heim, R.J.; Yurtaev, A.; Bucharova, A.; Heim, W.; Kutskir, V.; Knorr, K.-H.; Lampei, C.; Pechkin, A.; Schilling, D.; Sulkarnaev, F.; et al. Fire in lichen-richsubarctic tundra changes carbon and nitrogen cycling between ecosystem compartments but has minor effects on stocks. Biogeosciences 2022, 19, 2729–2740. [Google Scholar] [CrossRef]
  29. Vasilevich, R.; Beznosikov, V.; Lodygin, E. Molecular structure of humic substances from frozen mound peatlands in forest tundra. Euras. Soil Sci. 2019, 52, 317–329. [Google Scholar]
  30. Naumova, L.B.; Gorlenko, N.P.; Kazarin, A.I. Exchange cations and their influence on peat hydrophilicity. Khim. Rastit. Syr’ya 2003, 3, 51–56. [Google Scholar]
  31. Zaccone, C.; Miano, T.M.; Shotyk, W. Qualitative comparison between raw peat and related humic acids in an ombrotrophic bog profile. Org. Geochem. 2007, 38, 151–160. [Google Scholar] [CrossRef]
  32. Zavarzina, A.G.; Danchenko, N.N.; Demin, V.V.; Artemyeva, Z.S.; Kogut, B.M. Humic Substances: Hypotheses and Reality (A Review). Euras. Soil Sci. 2021, 54, 1826–1854. [Google Scholar] [CrossRef]
  33. Lehmann, J.; Kleber, M. The contentious nature of soil organic matter. Nature 2015, 528, 60–68. [Google Scholar] [CrossRef] [PubMed]
  34. Lodygin, E.; Abakumov, E. The Use of Spectroscopic Methods to Study Organic Matter in Virgin and Arable Soils: A Scoping Review. Agronomy 2024, 14, 1003. [Google Scholar] [CrossRef]
  35. Dyukarev, E.; Filippova, N.; Karpov, D.; Shnyrev, N.; Zarov, E.; Filippov, I.; Voropay, N.; Avilov, V.; Artamonov, A.; Lapshina, E. Hydrometeorological dataset of West Siberian boreal peatland: A 10-year record from the Mukhrino field station. Earth Syst. Sci. Data Discuss. 2021, 2021, 2595–2605. [Google Scholar] [CrossRef]
Figure 1. The main physical–chemical properties over the peatland depth. BD—bulk density, g/cm3; AC—ash content, %; WC—water content, %; N—nitrogen content, %; C—carbon content, %; H—hydrogen content, %; O—oxygen content, %; pH_1—pH of water extract; pH_2—pH of KCl extract. Orange—oligotrophic peat layer; yellow—mesotrophic peat layer; green—eutrophic peat layer.
Figure 1. The main physical–chemical properties over the peatland depth. BD—bulk density, g/cm3; AC—ash content, %; WC—water content, %; N—nitrogen content, %; C—carbon content, %; H—hydrogen content, %; O—oxygen content, %; pH_1—pH of water extract; pH_2—pH of KCl extract. Orange—oligotrophic peat layer; yellow—mesotrophic peat layer; green—eutrophic peat layer.
Molecules 30 03663 g001
Figure 2. Elemental composition of HAs isolated from peat material calculated on ash content. a–h—compact letter display of ANOVA test, colors represents different elements content.
Figure 2. Elemental composition of HAs isolated from peat material calculated on ash content. a–h—compact letter display of ANOVA test, colors represents different elements content.
Molecules 30 03663 g002
Figure 3. Van Krevelen diagram of elementary composition of HAs isolated from peat materials.
Figure 3. Van Krevelen diagram of elementary composition of HAs isolated from peat materials.
Molecules 30 03663 g003
Figure 4. Atomic ratios in HAs isolated from peat material calculated on ash content. a–h—compact letter display of ANOVA test, colors represents different atomic ratios.
Figure 4. Atomic ratios in HAs isolated from peat material calculated on ash content. a–h—compact letter display of ANOVA test, colors represents different atomic ratios.
Molecules 30 03663 g004
Figure 5. 13C NMR spectra of HAs isolated from peat material with different sampling depths.
Figure 5. 13C NMR spectra of HAs isolated from peat material with different sampling depths.
Molecules 30 03663 g005
Figure 6. (A) Location of the core site; (B) Mukhrino field station (red point), Khanty-Mansi Autonomous Okrug-Yugra (area), and nearest major cities (blue points).
Figure 6. (A) Location of the core site; (B) Mukhrino field station (red point), Khanty-Mansi Autonomous Okrug-Yugra (area), and nearest major cities (blue points).
Molecules 30 03663 g006
Table 1. Content of structural fragments of HAs isolated from the peat materials.
Table 1. Content of structural fragments of HAs isolated from the peat materials.
Sample Depth, cm0–4647–6060–105105–144144–164164–183183–190190–204ALARAR/ALCH-AL/ON-ALAL h,r + AR h,r
Chemical shifts, % of 13C
0–1011.694.7561.7112.564.113.610.491.0682.817.10.210.1824.2
70–8016.803.8055.4013.604.464.210.720.9981.218.70.230.2830.4
130–14026.704.7944.3513.664.344.320.611.2081.318.60.230.5440.3
180–19016.5310.7246.4316.074.734.281.080.1378.121.80.280.2932.5
210–23014.682.4956.3617.134.753.250.740.5677.322.60.290.2531.3
270–28014.074.2154.0516.124.935.200.430.9778.521.40.270.2430.1
310–32013.001.6154.0721.074.054.290.981.9173.926.10.350.2334.1
350–36016.873.8952.0414.035.664.681.311.4979.021.00.270.3030.9
380–39018.394.3146.3318.526.954.340.520.6174.025.90.350.3636.9
420–43016.917.6037.9920.068.796.761.410.4669.730.20.430.3736.9
470–49023.0311.1933.7521.805.432.811.440.5271.328.60.400.5144.8
Table 2. The peat core features and compositions (average of three replications) of a single core column.
Table 2. The peat core features and compositions (average of three replications) of a single core column.
Peat Depth, cmPlant SpeciesAsh Content, %Water Holding Capacity, %
0–10Sphagnum fuscum4.91 ± 0.2395.3 ± 0.5
70–80Sphagnum fuscum2.52 ± 0.0888.6 ± 0.4
130–140Ericaceae shrubs and wood remains3.30 ± 0.1284.2 ± 0.7
180–190Sphagnum fuscum1.43 ± 0.0289.3 ± 0.6
210–230Sphagnum fuscum + Sphagnum angustifolium admixture1.00 ± 0.0591.1 ± 0.4
270–280Sphagnum fuscum1.4 ± 0.0790.4 ± 0.7
310–320Sphagnum fuscum1.80 ± 0.0891.6 ± 0.9
350–360Sphagnum fuscum6.92 ± 0.0788.0 ± 0.2
380–390Sphagnum angustifolium with Eriophorum and Ericaceae shrubs2.33 ± 0.0485.2 ± 0.3
420–490Horsetail and eutrophic mosses, sedges, and shrubs4.00 ± 0.0886.0 ± 0.3
Disclaimer/Publisher’s Note: The statements, opinions and data contained in all publications are solely those of the individual author(s) and contributor(s) and not of MDPI and/or the editor(s). MDPI and/or the editor(s) disclaim responsibility for any injury to people or property resulting from any ideas, methods, instructions or products referred to in the content.

Share and Cite

MDPI and ACS Style

Abakumov, E.; Zarov, E.A.; Shevchenko, E.V.; Nizamutdinov, T.; Polyakov, V.; Lapshina, E.D. Depth-Dependent Molecular Composition of Peat Organic Matter Revealed by 13C NMR Spectroscopy in the Mukhrino Carbon Supersite (Khanty-Mansi Region, Russia). Molecules 2025, 30, 3663. https://doi.org/10.3390/molecules30183663

AMA Style

Abakumov E, Zarov EA, Shevchenko EV, Nizamutdinov T, Polyakov V, Lapshina ED. Depth-Dependent Molecular Composition of Peat Organic Matter Revealed by 13C NMR Spectroscopy in the Mukhrino Carbon Supersite (Khanty-Mansi Region, Russia). Molecules. 2025; 30(18):3663. https://doi.org/10.3390/molecules30183663

Chicago/Turabian Style

Abakumov, Evgeny, Evgeny A. Zarov, Evgenii V. Shevchenko, Timur Nizamutdinov, Vyacheslav Polyakov, and Elena D. Lapshina. 2025. "Depth-Dependent Molecular Composition of Peat Organic Matter Revealed by 13C NMR Spectroscopy in the Mukhrino Carbon Supersite (Khanty-Mansi Region, Russia)" Molecules 30, no. 18: 3663. https://doi.org/10.3390/molecules30183663

APA Style

Abakumov, E., Zarov, E. A., Shevchenko, E. V., Nizamutdinov, T., Polyakov, V., & Lapshina, E. D. (2025). Depth-Dependent Molecular Composition of Peat Organic Matter Revealed by 13C NMR Spectroscopy in the Mukhrino Carbon Supersite (Khanty-Mansi Region, Russia). Molecules, 30(18), 3663. https://doi.org/10.3390/molecules30183663

Article Metrics

Back to TopTop