Next Article in Journal
Nickel-Catalyzed Cyanation of Aryl Halides
Next Article in Special Issue
Synthesis, Clastogenic and Cytotoxic Potential, and In Vivo Antitumor Activity of a Novel N-Mustard Based on Indole-3-carboxylic Acid Derivative
Previous Article in Journal
NMR-Based Metabolomic and QMB-Based E-Nose Approaches to Evaluate the Quality and Sensory Features of Pasta Fortified with Alternative Protein Sources
Previous Article in Special Issue
Synthesis, Structure and Cytoprotective Activity of New Derivatives of 4-Aryl-3-Aminopyridin-2(1H)-One
 
 
Font Type:
Arial Georgia Verdana
Font Size:
Aa Aa Aa
Line Spacing:
Column Width:
Background:
Article

Photochemically Assisted Synthesis of Thienobenzotriazole-Based Dual Cholinesterase Inhibitors

1
Department of Organic Chemistry, University of Zagreb Faculty of Chemical Engineering and Technology, Trg Marka Marulića 19, HR-10 000 Zagreb, Croatia
2
Department of Chemistry, Faculty of Science and Education, University of Mostar, Matice Hrvatske bb, 88 000 Mostar, Bosnia and Herzegovina
3
Faculty of Biotechnology and Drug Development, University of Rijeka, Radmile Matejčić 2, HR-51 000 Rijeka, Croatia
*
Authors to whom correspondence should be addressed.
Current address: Pharmacology In Vitro, Selvita Ltd., Prilaz Baruna Filipovića 29, HR-10 000 Zagreb, Croatia.
Molecules 2025, 30(16), 3439; https://doi.org/10.3390/molecules30163439
Submission received: 25 July 2025 / Revised: 10 August 2025 / Accepted: 18 August 2025 / Published: 20 August 2025
(This article belongs to the Special Issue Synthesis of Bioactive Compounds, 3rd Edition)

Abstract

Background: It has been shown previously that thienobenzo-1,2,3-triazoles exhibit very good selective inhibition toward butyrylcholinesterase (BChE), while the same derivatives converted into salts also display inhibitory activity against acetylcholinesterase (AChE), enzymes relevant to Alzheimer’s disease therapy. They show even better BChE inhibition potential than neutral analogs. Methods: This study presents the synthesis and biological evaluation of a novel series of charged thienobenzo-1,2,3-triazolinium salts (117) as inhibitors of AChE and BChE. The basic skeleton of the targeted compounds was synthesized via a photochemical method and subsequently converted into corresponding bromide salts. Their structures were confirmed using NMR and HRMS analyses. Results: In vitro testing showed that all synthesized compounds exhibit moderate to strong BChE inhibition and, to a lesser extent, AChE inhibition. Compounds 8 and 11 emerged as the most potent AChE inhibitors (IC50 ~ 2.6–3.2 µM), while compounds 1, 2, and 8 demonstrated excellent and selective BChE inhibition (IC50 ~ 0.3–0.4 µM), outperforming the reference drug galantamine. Anti-inflammatory evaluation revealed limited activity, with compound 17 slightly reducing LPS-induced TNF-α production at the highest tested concentration. Conclusions: These findings highlight the role of the electric charge and substituent type in modulating biological activity and confirm the therapeutic potential of these molecules as dual cholinesterase inhibitors for further development in neurodegenerative disease treatment.

Graphical Abstract

1. Introduction

Cholinesterase enzymes are divided into two groups: acetylcholinesterase (AChE; EC 3.1.1.7) and butyrylcholinesterase (BChE; EC 3.1.1.8) [1]. AChE is primarily located at postsynaptic neuromuscular junctions, i.e., in muscles and nerves, and is also associated with erythrocytes in the blood [2,3]. On the other hand, BChE is synthesized in the liver and is found in blood plasma and various organs [4]. Both enzymes consist of 12 β-sheets surrounded by 14 α-helices. The active site gorge of cholinesterases is 20 Å deep and 5 Å wide. The volume of the active site cavity in BChE is 500 Å3, whereas in AChE, it is 300 Å3 (Figure 1). BChE has a larger volume because AChE contains 14 aromatic amino acids within its active site, 6 of which are replaced by aliphatic amino acids in BChE. This structural difference makes BChE a less specific enzyme. The variation in amino acids within the active site prevents some molecules from inhibiting both enzymes simultaneously [2,4].
AChE primarily functions to hydrolyze acetylcholine (ACh) into acetic acid and choline. Some of its additional roles include the modulation of cerebral blood flow, β-amyloid aggregation, activation and expression of the APP95 protein, τ protein phosphorylation, and the regulation of inflammatory processes. On the other hand, BChE can hydrolyze acetylcholine as well as other choline esters. However, the rate of acetylcholine hydrolysis by BChE is slower than that by AChE. The exact physiological role of BChE remains unclear, but its pharmacological and toxicological importance has been recognized [1,2,4]. Both enzymes play a key role in the cholinergic anti-inflammatory pathway, which links nerve endings with macrophages through the α7 nicotinic acetylcholine receptor (α7 nAChR) on their surface. The discovery of this pathway led to the understanding that the central nervous system regulates innate immunity. Erythrocyte-bound AChE acts as a switch for activating this pathway. The cholinergic anti-inflammatory pathway operates through the following mechanism: the vagus nerve releases ACh, which activates α7 nAChR, resulting in the opening of the central channel and the influx of Ca2+ ions into macrophages. The increased intracellular Ca2+ concentration activates the NF-κB factor, which subsequently inhibits the secretion of pro-inflammatory cytokines such as TNF-α and IL-6. AChE and BChE serve as regulators of this pathway by degrading acetylcholine [1].
High levels of BChE have been found to be associated with brain plaques and neurofibrillary tangles, which are neuropathological features of Alzheimer’s disease (AD) [6,7,8]. Therefore, both cholinesterases are pharmacologically relevant targets in neurodegenerative diseases, and current treatment includes cholinesterase inhibitors such as donepezil, galantamine, physostigmine, rivastigmine, etc. [9,10,11,12,13,14,15,16]. However, none of the approved drugs act on the pathophysiological factors of AD; they only alleviate its symptoms. Thus, many other molecules that act as cholinesterase enzyme inhibitors can also be considered potential therapeutic agents for AD [17,18,19,20,21,22].
Based on previously synthesized compounds, it has been shown that thienobenzo-1,2,3-triazoles exhibit very good selective inhibition toward BChE, while the same derivatives converted into salts also display inhibitory activity against AChE, showing even better BChE inhibition potential than neutral analogs [23,24,25,26,27]. This finding supported the importance of the electric charge in biological processes and compound activity [28]. The first reported triazolinium salts were synthesized using methyl iodide [27,29]. The most potent inhibitory effects were observed for compounds AD (Figure 2) with IC50 values better than the standard galantamine for BChE and somewhat weaker for AChE. The most important structural feature for thienobenzo-triazoles is the presence of the charge. In recent research [30], the most potent compound was thienobenzo-1,2,3-triazolinium salt E, which inhibited BChE with an IC50 of 98 nM, while bromide salt F also displayed significant anti-inflammatory activity by inhibiting LPS-induced TNF-α production (IC50 = 0.66 μM). Those promising in vitro and in silico results of thienobenzo-1,2,3-triazole-based salts AF (Figure 2) highlighted the importance of further structural charge modulation in optimizing cholinesterase inhibitors that will offer even better dual therapeutic functions. Motivated by this, the present study introduces a new series of triazolinium bromide salts.

2. Results and Discussion

2.1. Photochemically Assisted Synthesis of Charged Thienobenzo-1,2,3-Triazoles 117

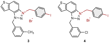
To obtain the charged thienobenzo-1,2,3-triazoles 117, a series of four consecutive reactions were carried out. The 1,4-disubstituted triazole aldehydes as starting reagents in this research were prepared according to the known procedure [31]. Aldehydes gave the corresponding triazolo-stilbenes in the Wittig reaction with the phosphonium salt. Thienobenzo-triazoles as starting compounds for the preparation of the targeted bromide salts 117 (Scheme 1) were synthesized by photochemical cyclization reactions from triazolo-stilbenes using a wavelength of 300 nm. Each triazole photoproduct (Scheme 1) was dissolved in dichloromethane and briefly purged with argon to maintain an inert atmosphere. Subsequently, 20 equivalents of the corresponding benzyl bromide were added. At the end, to the cooled reaction, diethyl ether was added to induce precipitation. The resulting mixture was centrifuged, the supernatant was decanted, and the remaining solid bromide salts 14, 711, and 1417 were dried using a rotary evaporator. Salts 5, 6, 12, and 13 did not precipitate from the reaction mixture, probably due to the nature of the starting bromide, the instability of the individual derivative, and/or the nature and position of the substituents.
All the synthesized thienobenzo-1,2,3-triazolinium salts 117 have been fully proven by NMR and HRMS analyses (Figure 3). In the 1H NMR spectra of triazolinium salts 117, a new signal of the second methylene group on the triazole nitrogen is visible between 6.1 and 6.4 ppm, undoubtedly confirming the formation of the targeted charged structures 8, 2, and 15 (Figure 3), beside the other signals.

2.2. Cholinesterase Inhibition Activity of Triazolinium Salts 117

Building on the previously promising in vitro results of thienobenzo-1,2,3-triazolinium salts against cholinesterases [29,30], research was extended to a series of structurally related bromide salts. The inhibitory effects of a new set of triazolinium salts (14, 711, 1417) on the activities of acetylcholinesterase (AChE) and butyrylcholinesterase (BChE) are summarized in Table 1. Their inhibitory activity was assessed using a modified Ellman method [32] over a wide concentration range (0.01–250 μM). The IC50 values listed in Table 1 are relative IC50 values, obtained directly from the nonlinear regression analysis of the inhibition curves under defined test conditions. For reference, the inhibitory effect at the highest tested concentration is also reported. The results were compared with galantamine, a well-known cholinesterase inhibitor used in the treatment of Alzheimer’s disease.
All tested trazolinium salts showed inhibitory effects on AChE in the micromolar (μM) range concentrations. Compounds 8 (IC50 = 2.6 μM) and 11 (IC50 = 3.2 μM) stand out as the most potent AChE inhibitors. These compounds share the same substituent (p-methylbenzyl) on the charged thienobenzo-1,2,3-triazole ring. After them, a slightly weaker inhibitory effect was achieved by the following compounds: 1, 2, 3, 9, 10, 14, and 16, with IC50 values for AChE from 4.1 to 6.5 μM. Their IC50 values are significantly lower compared to the remaining compounds (4, 7, 15, and 17). It is important to note that all the tested compounds are less potent than galantamine in inhibiting AChE (IC50 = 0.15 μM). All of the triazolinium salts that were evaluated can be classified as moderate AChE inhibitors, with the exception of compound 17, which is a weak AChE inhibitor. The structure of compound 17 with nitrobenzyl and propenyl groups on the triazole ring seems to reduce its ability to interact with AChE. Meanwhile, compounds 14, 15, and 16 with benzyl, methylbenzyl, and chlorobenzyl substituents show significantly stronger inhibitory effects.
It is interesting that all the tested triazolinium salts, except one, showed better BChE inhibition than the reference galantamine, with IC50 values from 0.3 to 3.5 μM (Table 1). Among the tested compounds, derivatives 1, 2, and 8, which have benzyl and methylbenzyl groups on the triazole ring, and compounds 3 and 4 with benzyl substituents (with –I, –Cl, or –CH3) stand out as the most potent and selective BChE inhibitors. A similar finding was confirmed in previous research [30]. Compound 17 also inhibits BChE, but it is significantly less potent compared to the other tested compounds, similar to its activity on AChE.
In conclusion, although the newly synthesized charged thienobenzo-1,2,3-triazolinium salts (117) can be considered as dual cholinesterase inhibitors, they all showed stronger inhibitory activity on BChE. The percentage of inhibition for most compounds is around 75–85% at certain concentrations, which indicates a significant decrease in enzyme activity. The strongest dual inhibitor is compound 8. The dose–response curves for AChE (a) and BChE (b) inhibition for compounds 8 and 1 are shown in Figure 4 and Figure 5 and of all other investigated compounds on Figures S1–S13.
The preferential inhibition of BChE by certain compounds makes them promising candidates for further investigation in the context of neurodegenerative diseases—particularly Alzheimer’s disease—where selective AChE inhibitors are sought for early stages and dual inhibitors for later stages.

2.3. Anti-Inflammatory Activity of Triazolinium Salts 117

The potential anti-inflammatory activity of compounds 14, 711, and 1417 was also evaluated in vitro by the measurement of TNFα production in LPS-stimulated PBMCs. Most of the tested compounds reduced cell viability at the highest tested concentrations. At lower concentrations that were not affecting cell viability, LPS-induced TNFα production was not changed. However, thienobenzo-1,2,3-triazolinium salt 17 had no effect on cell viability and it slightly inhibited LPS-stimulated TNFα production (Figure 6). Compound 17 was active only at the highest tested concentration.
A corticosteroid widely used for the treatment of inflammatory conditions (dexamethasone) was used as a reference compound in this assay. It inhibited LPS-stimulated TNFα production with an IC50 value of 3.5 nM in PBMCs from two donors. High potency of dexamethasone was expected and was in line with results previously obtained in this assay [25]. From this result, it is not possible to link the inhibitory activity of the salts 117 toward cholinesterases and their anti-inflammatory effect.

3. Materials and Methods

3.1. General Remarks

NMR spectra were recorded using either a Bruker AV300 or AV600 spectrometer (Bruker BioSpin GmbH, Rheinstetten, Germany) equipped with a 5 mm probe. Standard 1H and proton-decoupled 13C{1H} NMR spectra were collected at operating frequencies of 600.130 MHz for 1H and 75.432 or 150.903 MHz for 13C. Chemical shifts (δ, in ppm) were referenced to the signal from tetramethylsilane (TMS). All measurements were performed in deuterated chloroform (CD3OD) at 25 °C. Photochemical reactions were conducted in 50.0 mL solutions contained in quartz cuvettes that permitted light transmission. A Luzchem photoreactor equipped with 16 UV lamps (emitting at 300 nm) was used for irradiation. All solvents used were commercially sourced and purified by distillation. Phosphonium salts were synthesized in-house, and the compound 1-(4-nitrophenyl)-1H-1,2,3-triazole-4-carbaldehyde had also been previously prepared in our lab [31]. Reaction progress was monitored by thin-layer chromatography (TLC) using 0.2 mm silica gel-coated plates (60/Kieselguhr F254) and an appropriate solvent system in 10 mL volumes. After each reaction, the mixture was cooled to 0 °C and treated with diethyl ether to induce product precipitation. The suspension was centrifuged using a Centrifuge Eba 20 (Hettich, Tuttlingen, Germany), firstly at 2 × 3000 rpm for 10 min, then at 5 × 5000 rpm for another 10 min. The supernatant was decanted, and the remaining material was evaporated. High-resolution mass spectrometry (HRMS) was performed on a MALDI TOF/TOF instrument using an Nd:YAG laser (355 nm) operating at a repetition rate of 200 Hz.

3.2. Synthesis of Bromide Salts 117

Triazole-based photoproducts (Scheme 1), previously developed by our research group [23,24,25,26], were used as precursors for the synthesis of triazolinium salts 117. Each triazole derivative was dissolved in 0.6 mL of dry dichloromethane (DCM) in a small reaction vial and briefly purged with argon to maintain an inert atmosphere. Subsequently, 20 equivalents of the corresponding benzyl bromide were added. The reaction mixture was stirred in an oil bath at 60 °C for 24 h. After completion, the reaction was cooled to 0 °C, and approximately 5 mL of diethyl ether was added to induce precipitation, mostly forming a white suspension. The resulting mixture was centrifuged at 2 × 3000 rpm for 10 min, followed by 5 × 5000 rpm for an additional 10 min. The supernatant was decanted, and the remaining solid was dried using a rotary evaporator. NMR analysis confirmed the successful synthesis of bromide salts 117.
Molecules 30 03439 i014
3-benzyl-1-(3-methylbenzyl)-1H-thieno[3′,2′:3.4]benzo[1.2-d][1.2,3]triazol-3-ium bromide(1): 6.2 mg (64% isolated), white powder; m.p. 113–114 °C; 1H NMR (CD3OD, 600 MHz) δ/ppm: 8.51 (d, J = 9.2 Hz, 1H), 8.21 (d, J = 5.4 Hz, 1H), 8.10 (d, J = 9.2 Hz, 1H), 8.07 (dd, J = 5.6 Hz, 1H), 7.49–7.41(m, 7H), 7.30 (t, J = 7.8 Hz, 1H), 7.20 (d, J = 7.8 Hz, 1H), 6.47 (s, 2H), 6.32 (s, 2H), 2.32 (s, 3H); 13C NMR (CD3OD, 75 MHz) δ/ppm: 144.4, 141.9, 140.8, 134.4, 133.6, 133.3, 131.2, 130.8, 130.53, 130.49, 130.46, 130.43, 129.9, 129.6, 129.3, 128.4, 125.9, 124.6, 122.0, 109.2, 57.5, 56.7, 21.3; HRMS (ESI) (m/z) za C23H20N3S+ Br: [M + H]+calcd = 370.1378, and [M + H]+measured = 370.1376.
1-(3-methylbenzyl)-3-(4-methylbenzyl)-1H-thieno[3′,2′:3.4]benzo[1.2-d][1.2,3]triazol-3-ium bromide (2): 3.4 mg (34% isolated), white powder; m.p. 116–117 °C; 1H NMR (CD3OD, 600 MHz) δ/ppm: 8.50 (dd, J = 9.3 Hz, 1H), 8.21 (d, J = 5.5 Hz, 1H), 8.09 (d, J = 9.3 Hz, 1H), 8.07 (d, J = 5.5 Hz, 1H), 7.47 (d, J = 8.2 Hz, 2H), 7.31–7.27 (m, 3H), 7.24–7.18 (m, 3H), 6.46 (s, 2H), 6.27 (s, 2H), 2.36 (s, 3H), 2.32 (s, 3H). 13C NMR (CD3OD, 75 MHz) δ/ppm: 144.3, 141.1, 140.7, 138.9, 138.7, 135.4, 134.4, 133.4, 132.3, 131.2, 131.1, 130.4, 130.0, 129.9, 129.3, 128.3, 125.8, 124.6, 122.0, 109.3, 57.5, 56.5, 21.4, 21.2; HRMS (ESI) (m/z) za C24H22N3S+ Br: [M + H]+calcd = 384.1534, and [M + H]+measured = 384.1531.
Molecules 30 03439 i015
3-(4-iodobenzyl)-1-(3-methylbenzyl)-1H-thieno[3′,2′:3.4]benzo[1.2-d][1.2,3]triazol-3-ium bromide (3): 1.8 mg (25% isolated), white powder; m.p. 122–124 °C; 1H NMR (CD3OD, 600 MHz) δ/ppm: 8.53 (dd, J = 9.2 Hz, 1H), 8.22 (d, J = 5.6 Hz, 1H), 8.11 (d, J = 9.2 Hz, 1H), 8.08 (d, J = 5.6 Hz, 1H), 7.58 (dt, J = 8.5, 1.8 Hz, 2H), 7.48 (dt, J = 8.5, 1.8 Hz, 2H), 7.31 (t, J = 7.8 Hz, 1H), 7.24 (s, 1H), 7.23 (s, 1H), 7.20 (d, J = 7.8 Hz, 1H), 6.46 (s, 2H), 6.31 (s, 2H), 2.32 (s, 3H); 13C NMR (CD3OD, 75 MHz) δ/ppm: 144.5, 138.9, 135.6, 134.5, 133.2, 132.3, 131.7, 131.2, 130.6, 130.4, 129.4, 128.5, 126.0, 124.6, 122.0, 109.1, 57.6, 55.8, 21.2 (signals for 4 quaternary C are missing); HRMS (ESI) (m/z) za C23H19IN3S+ Br: [M + H]+calcd = 497.0311, and [M + H]+measured = 497.0317.
1-(3-chlorobenzyl)-3-(4-iodobenzyl)-1H-thieno[3′,2′:3.4]benzo[1.2-d][1.2,3]triazol-3-ium bromide (4): 2.2 mg (22% isolated), yellowish powder; m.p. 117–118 °C; 1H NMR (CD3OD, 600 MHz) δ/ppm: 8.55 (d, J = 9.3 Hz, 1H), 8.26 (d, J = 8.3 Hz, 1H), 8.13–8.10 (m, 3H), 7.84 (t, J = 8.5, 1H), 7.82 (t, J = 8.5, 1H), 7.52 (t, J = 1.6 Hz, 1H), 7.43 (t, J = 8.0 Hz, 1H), 7.39–7.36 (m, 1H), 7.35 (t, J = 1.7 Hz, 1H), 7.34 (t, J = 1.7 Hz, 1H), 6.51 (s, 2H), 6.27 (s, 2H). 13C NMR (CD3OD, 75 MHz) δ/ppm: 144.6, 139.8, 136.8, 136.4, 135.6, 135.4, 135.3, 134.7, 132.4, 132.1, 131.9, 130.7, 130.6, 129.3, 129.2, 128.6, 127.6, 124.5, 121.8, 109.1 (signals for 2 quaternary C are missing); HRMS (ESI) (m/z) za C22H16ClIN3S+ Br: [M + H]+calcd = 515.9798, and [M + H]+measured = 515.9787.
Molecules 30 03439 i016
1-(3-chlorobenzyl)-3-(o-tolyl)-1H-thieno[3′,2′:3.4]benzo[1.2-d][1.2,3]triazol-3-ium bromide (5): with the addition of ether, no precipitate was formed. 1H NMR confirms that no product was formed, only the initial uncharged photoproduct is visible.
1-(3-chlorobenzyl)-3-(3-vinylphenyl)-1H-thieno[3′,2′:3.4]benzo[1.2-d][1.2,3]triazol-3-ium bromide (6): with the addition of ether, no precipitate was formed. 1H NMR confirms that no product was formed, only the initial uncharged photoproduct is visible.
Molecules 30 03439 i017
3-(4-chlorobenzyl)-1-(3-methoxybenzyl)-1H-thieno[3′,2′:3.4]benzo[1.2-d][1.2,3]triazol-3-ium bromide (7): 1.3 mg (15% isolated), orange powder; m.p. 125–126 °C; 1H NMR (CD3OD, 600 MHz) δ/ppm: 8.54 (dd, J = 9.2 Hz, 1H), 8.23 (d, J = 5.6 Hz, 1H), 8.12 (d, J = 9.2 Hz, 1H), 8.08 (d, J = 5.6 Hz, 1H), 7.58 (dt, J = 8.4 Hz, 2H), 7.48 (dt, J = 8.7 Hz, 2H), 7.35–7.31 (m, 1H), 6.99–6.96 (m, 2H), 6.94 (d, J = 7.7 Hz, 1H), 6.47 (s, 2H), 6.32 (s, 2H), 3.76 (s, 3H). 13C NMR (CD3OD, 150 MHz) δ/ppm: 160.5, 143.1, 135.4, 134.1, 133.3, 133.1, 130.8, 130.3, 129.2, 127.1, 123.2, 120.6, 119.3, 114.3, 113.3, 107.7, 56.0, 54.4, 54.3 (signals for 4 quaternary C are missing); HRMS (ESI) (m/z) za C23H19ClN3OS+ Br: [M + H]+calcd = 421.0121, and [M + H]+measured = 421.0117.
3-benzyl-1-(4-methylbenzyl)-1H-thieno[3′,2′:3.4]benzo[1.2-d][1.2,3]triazol-3-ium bromide (8): 11.7 mg (28% isolated) white powder; m.p. 107–108 °C; 1H NMR (CD3OD, 600 MHz) δ/ppm: 8.51 (d, J = 9.2 Hz, 1H), 8.21 (d, J = 5.6 Hz, 1H), 8.09 (d, J = 9.2 Hz, 1H), 8.08 (dd, J = 5.6 Hz, 1H), 7.57 (dd, J = 8.0 Hz, 2H), 7.48–7.44 (m, 3H), 7.32 (d, J = 8.1 Hz, 2H), 7.25 (d, J = 8.1 Hz, 2H), 6.46 (s, 2H), 6.32 (s, 2H), 2.34 (s, 3H). 13C NMR (CD3OD, 150 MHz) δ/ppm: 143.0, 139.4, 134.1, 133.0, 132.1, 130.9, 129.7, 129.4, 129.1, 128.9, 128.5, 127.5, 127.0, 123.2, 120.6, 107.8, 56.0, 55.3, 19.7 (signals for 4 quaternary C are missing); HRMS (ESI) (m/z) za C23H20N3S+ Br: [M + H]+calcd = 370.1378, and [M + H]+measured = 370.1373.
Molecules 30 03439 i018
1.3-bis(4-methylbenzyl)-1H-thieno[3′,2′:3.4]benzo[1.2-d][1.2,3]triazol-3-ium bromide (9): 4.2 mg (56% isolated), white powder; m.p. 105–107 °C; 1H NMR (CD3OD, 600 MHz) δ/ppm: 8.49 (d, J = 9.2 Hz, 1H), 8.20 (d, J = 5.6 Hz, 1H), 8.09–8.06 (m, 2H), 7.46 (d, J = 8.1 Hz, 2H), 7.31 (d, J = 8.1 Hz, 2H), 7.28 (d, J = 8.1 Hz, 2H), 7.25 (d, J = 8.1 Hz, 2H), 6.45 (s, 2H), 6.26 (s, 2H), 2.36 (s, 3H), 2.34 (s, 3H). 13C NMR (CD3OD, 75 MHz) δ/ppm: 144.4, 141.1, 140.8, 135.4, 134.3, 132.3, 131.11, 131.09, 130.5, 130.4, 129.9, 128.9, 128.3, 124.6, 122.0, 109.3, 57.4, 56.6, 21.2, 21.1 (signals for 4 quaternary C are missing); HRMS (ESI) (m/z) za C24H22N3S+ Br: [M + H]+calcd = 384.1534, and [M + H]+measured = 384.1531.
3-(4-chlorobenzyl)-1-(4-methylbenzyl)-1H-thieno[3′,2′:3.4]benzo[1.2-d][1.2,3]triazol-3-ium bromide (10): 2.8 mg (32% isolated), orange powder; m.p. 100–101 °C; 1H NMR (CD3OD, 600 MHz) δ/ppm: 8.53 (d, J = 9.2 Hz, 1H), 8.22 (d, J = 5.6 Hz, 1H), 8.10 (d, J = 9.2 Hz, 1H), 8.09 (dd, J = 5.4 Hz, 1H), 7.57 (dt, J = 8.6 Hz, 2H), 7.48 (dt, J = 8.6 Hz, 2H), 7.32 (d, J = 8.1 Hz, 2H), 7.25 (d, J = 8.1 Hz, 2H), 6.45 (s, 2H), 6.30 (s, 2H), 2.34 (s, 3H). 13C NMR (CD3OD, 75 MHz) δ/ppm: 144.4, 140.9, 136.8, 135.5, 134.4, 132.3, 132.2, 131.7, 131.1, 130.6, 130.3, 128.9, 128.5, 124.7, 122.0, 109.1, 57.5, 55.8, 21.1 (signals for 4 quaternary C are missing); HRMS (ESI) (m/z) za C23H19ClN3S+ Br: [M + H]+calcd = 404.0980, and [M + H]+measured = 404.0988.
Molecules 30 03439 i019
1-(4-methylbenzyl)-3-(4-nitrobenzyl)-1H-thieno[3′,2′:3.4]benzo[1.2-d][1.2,3]triazol-3-ium bromide (11): 3.0 mg (38% isolated), white powder; m.p. 120–121 °C; 1H NMR (CD3OD, 600 MHz) δ/ppm: 8.55 (d, J = 9.2 Hz, 1H), 8.32 (d, J = 8.6 Hz, 2H), 8.24 (d, J = 5.7 Hz, 1H), 8.13–8.10 (m, 2H), 7.79 (d, J = 8.6 Hz, 2H), 7.34 (d, J = 8.1 Hz, 2H), 7.25 (d, J = 8.1 Hz, 2H), 6.47 (s, 4H), 2.34 (s, 3H). 13C NMR (CD3OD, 150 MHz) δ/ppm: 148.6, 148.3, 143.2, 143.1, 139.5, 138.9, 134.4, 133.2, 131.0, 129.9, 129.7, 129.6, 128.7, 127.6, 127.3, 123.9, 123.4, 123.3, 120.6, 107.6, 56.2, 54.0, 19.7; HRMS (ESI) (m/z) za C23H19N4O2S+ Br: [M + H]+calcd = 415.1229, and [M + H]+measured = 415.1223.
1-(4-methoxybenzyl)-3-(4-nitrobenzyl)-1H-thieno[3′,2′:3.4]benzo[1.2-d][1.2,3]triazol-3-ium bromide (12): with the addition of ether, no precipitate was formed. 1H NMR confirms that no product was formed, only the initial uncharged photoproduct is visible.
Molecules 30 03439 i020
3-(4-chlorobenzyl)-1-(furan-2-ylmethyl)-1H-thieno[3′,2′:3.4]benzo[1.2-d][1.2,3]triazol-3-ium bromide (13): with the addition of ether, no precipitate was formed. 1H NMR confirms that no product was formed, only the initial uncharged photoproduct is visible.
3-benzyl-1-(prop-1-en-1-yl)-1H-thieno[3′,2′:3.4]benzo[1.2-d][1.2,3]triazol-3-ium bromide (14): 2.0 mg (27% isolated), white powder; mixture of cis- and trans-isomer (1H NMR, cis-:trans- = 1:7):
cis-14: 1H NMR (CD3OD, 600 MHz) δ/ppm: 8.54 (dd, J = 9.2 Hz, 1H), 8.27 (d, J = 5.6 Hz, 1H), 8.14 (d, J = 5.6 Hz, 1H), 8.12 (d, J = 9.2 Hz, 1H), 7.69 (dq, J = 8.4, 1.8 Hz, 1H), 7.63–7.59 (m, 2H), 7.49–7.43 (m, 3H), 6.71 (dq, J = 8.7 Hz, 1H), 6.34 (s, 2H), 1.91 (dd, J = 7, 1.8 Hz, 3H);
trans-14: 1H NMR (CD3OD, 600 MHz) δ/ppm: 8.50 (dd, J = 9.2 Hz, 1H), 8.28 (d, J = 5.6 Hz, 1H), 8.24 (d, J = 5.6 Hz, 1H), 8.06 (d, J = 9.2 Hz, 1H), 7.94 (dq, J = 13.5, 1.8 Hz, 1H), 7.63–7.59 (m, 2H), 7.49–7.43 (m, 3H), 7.05 (dq, J = 13.5, 7 Hz, 1H), 6.31 (s, 2H), 2.20 (dd, J = 7, 1.8 Hz, 3H);
HRMS (ESI) (m/z) za C18H16N3S+ Br: [M + H]+calcd = 306.1065, and [M + H]+measured = 306.1061.
Molecules 30 03439 i021
3-(4-methylbenzyl)-1-(prop-1-en-1-yl)-1H-thieno[3′,2′:3.4]benzo[1.2-d][1.2,3]triazol-3-ium (15): 11.7 mg (31% isolated), white powder; mixture of cis- and trans-isomer (1H NMR, cis-:trans- = 1:1.2). In the 1H NMR spectrum, key signals are visible in the expected regions, but due to significant overlap between cis- and trans-isomers, it is difficult to assign individual signals. HRMS (ESI) (m/z) za C19H18N3S+ Br: [M + H]+calcd = 320.1221, and [M + H]+measured = 320.1221.
3-(4-chlorobenzyl)-1-(prop-1-en-1-yl)-1H-thieno[3′,2′:3,4]benzo[1,2-d][1–3]triazol-3-ium (16): 5.2 mg (13% isolated), white powder; mixture of cis- and trans-isomer (1H NMR, cis-:trans- = 1:1.25):
cis-16 1H NMR (CD3OD, 600 MHz) δ/ppm: 8.56–8.49 (m, 1H), 8.30–8.23 (m, 1H), 8.15–8.05 (m, 2H), 7.70 (dq, J = 8.4, 1.8 Hz, 1H), 7.63–7.59 (m, 2H), 7.50–7.40 (m, 2H), 6.74–6.69 (dq, J = 8.4, 7.2 Hz, 1H), 6.35 (s, 2H), 1.91 (dd, J = 7.2, 1.8 Hz, 3H);
trans-16 1H NMR (CD3OD, 600 MHz) δ/ppm: 8.56–8.49 (m, 1H), 8.30–8.23 (m, 2H), 8.15–8.05 (m, 1H), 7.94 (dq, J = 13.5, 1.8 Hz, 1H), 7.63–7.59 (m, 2H), 7.50–7.40 (m, 2H), 7.09–7.02 (dq, J = 13.5, 7.2 Hz, 1H), 6.31 (s, 2H), 2.20 (dd, J = 7, 1.8 Hz, 3H);
HRMS (ESI) (m/z) za C18H15ClN3S+ Br: [M + H]+calcd = 340.0675, and [M + H]+measured = 340.0669.
3-(4-nitrobenzyl)-1-(prop-1-en-1-yl)-1H-thieno[3′,2′:3,4]benzo[1,2-d][1–3]triazol-3-ium (17): 2.0 mg (24% isolated), white powder; mixture of cis- and trans-isomer (1H NMR, cis-:trans- = 1:10):
cis-17 1H NMR (CD3OD, MHz) δ/ppm: 8.58 (d, J = 9.2 Hz, 1H), 8.35–8.29 (m, 3H), 8.17 (d, J = 5.6 Hz, 1H), 8.16–8.14 (m, 1H), 7.84–7.80 (m, 2H), 6.51 (s, 2H), 1.92 (dd, J = 7.2, 1.8 Hz, 3H), other signals are not visible (because of small amount of cis-17 isomer in the mixture);
trans-17 1H NMR (CD3OD, MHz) δ/ppm: 8.55 (d, J = 9.2 Hz, 1H), 8.35–8.29 (m, 3H), 8.27 (d, J = 5.6 Hz, 1H), 8.10–8.07 (m, 1H), 7.98–7.95 (dq, J = 13.5, 1.8 Hz, 1H), 7.84–7.80 (m, 2H), 7.09–7.03 (dq, J = 13.5, 7.2 Hz, 1H), 6.47 (s, 2H), 2.20 (dd, J = 7.2, 1.8 Hz, 3H);
HRMS (ESI) (m/z) za C18H15N4O2S+ Br: [M + H]+calcd = 352.0902, and [M + H]+measured = 352.0908.

3.3. In Vitro Cholinesterase Inhibition Activity Measurements of Bromide Salts 117

The inhibitory effects of the new synthesized thiabenzo-1,2,3-triazolinium bromide salts, 14, 711, and 1417, on acetylcholinesterase (AChE) and butyrylcholinesterase (BChE) activity were evaluated using the modified Ellman’s method [32]. Ellman’s reagent (DTNB, 5,5’-dithiobis-(2-nitrobenzoic acid)), AChE (derived from electric eel, type VI-S), BChE (extracted from equine serum), acetylthiocholine iodide (ATChI), S-butyrylthiocholine iodide (BTChI), galantamine hydrobromide, Tris-HCl buffer, and 96% ethanol were acquired from Sigma-Aldrich (St. Louis, MO, USA).
DTNB, ATChI, and BTChI were prepared in 50 mM Tris buffer (pH 8.0), while the enzymes were made in 20 mM Tris buffer (pH 7.5). Using a 96-well microplate reader (Agilent, BioTek 800TS, Santa Clara, CA, USA), cholinesterase activity was assessed. Amounts of 180 μL of 50 mM Tris buffer, 10 μL of tested solutions with final concentrations ranging from 0.01 to 250 μM, and 10 μL of an enzyme with a final concentration of 0.03 U/mL were added to the microplate well, which was then left to incubate for 15 min at room temperature. Following incubation, 10 μL of DTNB (final concentration: 0.3 mM) and 10 mL of ATChI/BTChI (final concentration: 0.5 mM) were added to the reaction mixture. After four minutes, the absorbance was measured at 405 nm. Non-enzymatic hydrolysis was assessed as a blank for the control measurement in the absence of inhibitors and enzymes. The samples were tested using the non-enzymatic hydrolysis procedure with an additional inhibitor as a blank. The enzyme was swapped out for the same amount of buffer.
The inhibition % was determined using the following formula: Inhibition (%) = [(ACAT)/AC] × 100, where AC is the activity of the enzyme without a test sample and AT is the activity of the enzyme with a test sample. The mean values ± standard deviation are used to illustrate the results. Inhibitory activity of ethanol was deducted from each sample. A nonlinear fit of compound concentration values vs. response was used to determine the IC50 values. Each trazolinium salt was tested against both enzymes in triplicate.

3.4. Anti-Inflammatory Activity of 117

The effect of compounds on tumor necrosis factor alpha (TNFα) production in lipopolysaccharide (LPS)-stimulated peripheral blood mononuclear cells (PBMCs) was evaluated as described previously [25]. In short, PBMCs were isolated from buffy coats obtained from healthy adult volunteers and resuspended in RPMI1640 medium (Capricorn Scientific, Ebsdorfergrundu, Germany) supplemented with 10% heat-inactivated FBS (Biowest, Nuailléu, France), 1% GlutaMAX (Gibco, St. Louis, MO, USA), and 1% Antibiotic-Antimycotic (Gibco, St. Louis, MO, USA). PBMCs were seeded as 2 × 105 per well of a 96-well plate. Test compounds were first dissolved in dimethyl sulfoxide (DMSO, Sigma, St. Louis, MO, USA) and three-fold serial dilutions were prepared in DMSO. Compounds were added to cells with a starting concentration of 100 µM. Cells were pre-incubated with compounds for 1 h and then stimulated with 1 ng/mL LPS from E. coli 0111:B4 (Sigma). Upon LPS stimulation, cells were incubated for 24 h at 37° C, 5% CO2, followed by the collection of supernatants for the measurement of TNFα and cell viability assessment.
For cell viability evaluation, CellTiter-Glo reagent was used (Promega, Radoboj, Croatia) according to the manufacturer’s instructions. Signals obtained in compound-treated cells were compared with signals in LPS-stimulated vehicle-treated samples. TNFα concentration in supernatants was measured by ELISA using antibodies and recombinant human TNFα protein (standard) from R&D Systems. Lumitrac 600 384-well plates (Greiner Bio-One, Kremsmünster, Austria) were coated overnight at 4 °C with 1 µg/mL of TNFα capture antibody diluted in phosphate-buffered saline (PBS; Gibco, St. Louis, MO, USA). The next day, plates were blocked for 4 h at RT with 5% sucrose (Kemika, Zagreb, Croatia) in assay diluent (1% bovine serum albumin (BSA; Sigma, St. Louis, MO, USA) in PBS). After the blocking step, samples and standard were added to plates followed by overnight incubation at 4 °C. The next day, 250 ng/mL of TNFα detection antibody was added to wells and incubated for 2 h at RT. Finally, after the plates were incubated with streptavidin HRP (Invitrogen, Thermo Fisher Scientific, Waltham, MA, USA), chemiluminescence ELISA Substrate (Roche, Zagreb, Croatia) was added to the wells and luminescence was measured using EnVision 2105 multilabel reader (Revvity, Waltham, MA, USA). Concentrations of TNFα in the supernatants were calculated using measured luminescence by interpolation from standard curves. Percentages of inhibition (PIN) were calculated from obtained cytokine concentrations and IC50 values were determined using GraphPad Prism v9 software using nonlinear regression curve fit (four parameters with variable slope).

4. Conclusions

In this study, a new series of thienobenzo-1,2,3-triazolinium bromide salts was synthesized and evaluated as potential dual cholinesterase inhibitors (AChE and BChE). The compounds were obtained using a photochemically assisted synthetic pathway, confirmed by structural analyses, and tested for biological activity. Emphasis was placed on BChE inhibition due to its increasing clinical relevance in the later stages of Alzheimer’s disease, where BChE expression is elevated in neurofibrillary tangles and amyloid plaques. Newly synthesized thiabenzo-1,2,3-triazolinium salts 14, 711, and 1417 show potential as dual cholinesterase inhibitors, although most exhibit stronger inhibition of butyrylcholinesterase (BChE) compared to acetylcholinesterase (AChE). Compounds 8 and 11 stand out as the most potent AChE inhibitors, while compounds 1, 2, and 8, with benzyl and methylbenzyl groups on the triazole ring, show very good and selective inhibition of BChE. This indicates further structural optimization is needed for strong AChE selectivity. Compound 17, which showed the weakest cholinesterase inhibition, was the only one to exhibit mild anti-inflammatory activity by slightly suppressing TNF-α production in LPS-stimulated PBMCs. Most of the tested compounds showed no significant anti-inflammatory effects, suggesting that structural modification will be necessary to achieve multifunctional therapeutic profiles. A key contribution of this research is the demonstration that the electric charge of the triazolium core significantly influences cholinesterase inhibition. Additionally, the type and position of substituents play a critical role in determining selectivity and potency. Due to the selective and potent BChE inhibition shown by certain derivatives, these molecules hold promise as lead candidates in the development of new therapeutics for neurodegenerative disorders, especially Alzheimer’s disease, where BChE-targeting drugs are particularly relevant in the late stages. Future studies will be focused on optimizing anti-inflammatory properties, assessing pharmacokinetics and toxicology, and evaluating in vivo efficacy of the most active compounds.

Supplementary Materials

The following supporting information can be downloaded at: https://www.mdpi.com/article/10.3390/molecules30163439/s1, Figures S1–S13: dose–response curves for the inhibition of AChE (a) and BChE (b) by 117.

Author Contributions

Conceptualization, I.Š.; methodology, S.T. and I.O.; investigation, A.J., P.P., and D.Š.; resources, I.O., S.T., and I.Š.; writing—original draft preparation, I.Š., S.T., and A.J.; writing—review and editing, all authors; supervision, I.Š. All authors have read and agreed to the published version of the manuscript.

Funding

This research received no external funding.

Institutional Review Board Statement

Sample collection was approved by the Ethics Committee of the Croatian Institute of Transfusion Medicine (251-541-06/6-20-2, approval date 20 March 2020), and all donors provided written informed consent.

Informed Consent Statement

Informed consent was obtained from all subjects involved in the study.

Data Availability Statement

Dataset available on request from the authors.

Acknowledgments

This work was supported by grants from the University of Zagreb for short-term scientific support for 2024 under the title Synthesis and Biological Activity of New Heteropolycycle Systems and by the Federal Ministry of Education and Science, grant No. 03-35-4540-1/24, Evaluation of the potential of new 1,2,3-triazole derivatives as multifunctional therapeutics. We also acknowledge Martina Bosnar for supervision of the anti-inflammatory activity tests. The Pharmacology in vitro, Selvita Ltd. company’s support will also be acknowledged.

Conflicts of Interest

The authors Paula Pongrac and Dora Štefok were employed by the company Selvita Ltd. The remaining authors declare that the research was conducted in the absence of any commercial or financial relationships that could be construed as a potential conflict of interest.

References

  1. Pohanka, M. Inhibitors of Acetylcholinesterase and Butyrylcholinesterase Meet Immunity. Int. J. Mol. Sci. 2014, 15, 9809–9825. [Google Scholar] [CrossRef]
  2. Bajda, M.; Więckowska, A.; Hebda, M.; Guzior, N.; Sotriffer, C.A.; Malawska, B. Structure-Based Search for New Inhibitors of Cholinesterases. Int. J. Mol. Sci. 2013, 14, 5608–5632. [Google Scholar] [CrossRef]
  3. Trang, A.; Khandhar, P.B. Physiology, Acetylcholinesterase. In StatPearls; StatPearls Publishing: Treasure Island, FL, USA, 2025. Available online: https://www.ncbi.nlm.nih.gov/books/NBK539735/ (accessed on 11 June 2025).
  4. Masson, P.; Shaihutdinova, Z.; Lockridge, O. Drug and Pro-Drug Substrates and Pseudo-Substrates of Human Butyrylcholinesterase. Biochem. Pharmacol. 2023, 218, 115910. [Google Scholar] [CrossRef] [PubMed]
  5. Mesulam, M.M.; Guillozet, A.; Shaw, P.; Levey, A.; Duysen, E.G.; Lockridge, O. Acetylcholinesterase Knockouts establish Central Cholinergic Pathways and can use Butyrylcholinesterase to Hydrolyze Acetylcholine. Neuroscience 2002, 110, 627–639. [Google Scholar] [CrossRef] [PubMed]
  6. Guillozet, A.L.; Smiley, J.F.; Mash, D.C. Butyrylcholinesterase in the Life Cvcle of Amyloid Plaques. Ann. Neurol. 1997, 42, 909–918. [Google Scholar] [CrossRef] [PubMed]
  7. Mesulam, M.M.; Geula, C. Butyrylcholinesterase Reactivity Dfierentiates the Amyloid Plaques of Aging from Those of Dementia. Ann. Neurol. 1994, 36, 722–727. [Google Scholar] [CrossRef]
  8. Darvesh, S.; Walsh, R.; Kumar, R.; Caines, A.; Roberts, S.; Magee, D.; Rockwood, K.; Martin, E. Inhibition of Human Cholinesterases by Drugs Used to Treat Alzheimer Disease. Alzheimer Dis. Assoc. Disord. 2003, 17, 117–126. [Google Scholar] [CrossRef]
  9. Cacabelos, R.; Martínez-Iglesias, O.; Cacabelos, N.; Carrera, I.; Corzo, L.; Naidoo, V. Therapeutic Options in Alzheimer’s Disease: From Classic Acetylcholinesterase Inhibitors to Multi-Target Drugs with Pleiotropic Activity. Life 2024, 14, 1555. [Google Scholar] [CrossRef]
  10. Anand, P.; Singh, B. A Review on Cholinesterase Inhibitors for Alzheimer’s Disease. Arch. Pharmacal Res. 2013, 36, 375–399. [Google Scholar] [CrossRef]
  11. Talesa, V.N. Acetylcholinesterase in Alzheimer’s disease. Curr. Drug Targets 2001, 2, 363–373. [Google Scholar] [CrossRef]
  12. Greig, N.H.; Utsuki, T.; Yu, Q.S.; Holloway, H.W. A New Therapeutic Target in Alzheimer’s Disease Treatment: Selective Butyrylcholinesterase Inhibition. Curr. Med. Chem. 2005, 12, 237–243. [Google Scholar]
  13. Mesulam, M.M.; Guillozet, A.; Shaw, P.; Levey, A. Acetylcholinesterase knockouts establish centrality of cholinergic networks. Ann. Neurol. 2002, 52, 253–256. [Google Scholar]
  14. Lane, R.M.; Potkin, S.G.; Enz, A. Targeting Acetylcholinesterase and Butyrylcholinesterase in Dementia. Int. J. Neuropsychopharmacol. 2006, 1, 101–124. [Google Scholar] [CrossRef] [PubMed]
  15. Singh, M.; Kaur, M.; Kukreja, H.; Chugh, R.; Silakari, O.; Singh, D. Acetylcholinesterase Inhibitors as Alzheimer therapy: From Nerve Toxins to Neuroprotection. Eur. J. Med. Chem. 2013, 70, 165–188. [Google Scholar] [CrossRef]
  16. Roth, B.L.; Driscol, J.; Glennon, R.A. Drugs with Anticholinergic Properties: Functional Roles and Side Effects. Pharmacol. Rev. 2002, 54, 364–385. [Google Scholar]
  17. Bosak, A.; Ramić, A.; Šmidlehner, T.; Hrenar, T.; Primožič, I.; Kovarik, Z. Design and Evaluation of Selective Butyrylcholinesterase Inhibitors based on Cinchona Alkaloid Scaffold. PLoS ONE 2018, 13, e0205193. [Google Scholar] [CrossRef]
  18. Bosak, A.; Opsenica, D.M.; Šinko, G.; Zlatar, M.; Kovarik, Z. Structural Aspects of 4-Aminoquinolines as Reversible Inhibitors of Human Acetylcholinesterase and Butyrylcholinesterase. Chem. Biol. Interact. 2019, 308, 101–109. [Google Scholar] [CrossRef]
  19. Mamedova, G.; Mahmudova, A.; Mamedov, S.; Erden, Y.; Taslimi, P.; Tüzün, B.; Tas, R.; Farzaliyev, V.; Sujayev, A.; Alwasel, S.H.; et al. Novel Tribenzylaminobenzolsulphonylimine based on their Pyrazine and Pyridazines: Synthesis, Characterization, Antidiabetic, Anticancer, Anticholinergic, and Molecular Docking Studies. Bioorg. Chem. 2019, 93, 103313. [Google Scholar] [CrossRef]
  20. El-Sayed, N.A.E.; El-Said Farag, A.; Ezzat, M.A.F.; Akincioglu, H.; Gulçin, I.; Abou-Seri, S.M. Design, Synthesis, In Vitro and In Vivo Evaluation of Novel Pyrrolizine-based Compounds with Potential Activity as Cholinesterase Inhibitors and Anti-Alzheimer’s Agents. Bioorg. Chem. 2019, 93, 103312. [Google Scholar] [CrossRef]
  21. Taslimi, P.; Türkan, F.; Cetin, A.; Burhan, H.; Karaman, M.; Bildirici, I.; Gulçin, I.; Şen, F. Pyrazole[3,4-d]pyridazine Derivatives: Molecular docking and Explore of Acetylcholinesterase and Carbonic Anhydrase Enzymes Inhibitors as Anticholinergics Potentials. Bioorg. Chem. 2019, 92, 103213. [Google Scholar] [CrossRef]
  22. Katalinić, M.; Bosak, A.; Kovarik, Z. Flavonoids as Inhibitors of Human Butyrylcholinesterase Variants. Food Technol. Biotechnol. 2014, 52, 64–67. [Google Scholar]
  23. Mlakić, M.; Odak, I.; Faraho, I.; Talić, S.; Bosnar, M.; Lasić, K.; Barić, D.; Škorić, I. New Naphtho/thienobenzo-triazoles with Interconnected Anti-inflammatory and Cholinesterase Inhibitory Activity. Eur. J. Med. Chem. 2022, 241, 114616. [Google Scholar] [CrossRef] [PubMed]
  24. Mlakić, M.; Selec, I.; Ćaleta, I.; Odak, I.; Barić, D.; Ratković, A.; Molčanov, K.; Škorić, I. New Thienobenzo/Naphtho-Triazoles as Butyrylcholinesterase Inhibitors: Design, Synthesis and Computational Study. Int. J. Mol. Sci. 2023, 24, 5879. [Google Scholar] [CrossRef] [PubMed]
  25. Mlakić, M.; Faraho, I.; Odak, I.; Kovačević, B.; Raspudić, A.; Šagud, I.; Bosnar, M.; Škorić, I.; Barić, D. Cholinesterase Inhibitory and Anti-Inflammatory Activity of the Naphtho- and Thienobenzo-Triazole Photoproducts: Experimental and Computational Study. Int. J. Mol. Sci. 2023, 24, 14676. [Google Scholar] [CrossRef] [PubMed]
  26. Mlakić, M.; Faraho, I.; Odak, I.; Talić, S.; Vukovinski, A.; Raspudić, A.; Bosnar, M.; Zadravec, R.; Ratković, A.; Lasić, K.; et al. Synthesis, Photochemistry and Computational Study of novel 1,2,3-Triazole Heterostilbenes: Expressed Biological Activity of their Electrocyclization Photoproducts. Bioorg. Chem. 2022, 121, 105701. [Google Scholar] [CrossRef]
  27. Mlakić, M.; Barić, D.; Ratković, A.; Šagud, I.; Čipor, I.; Piantanida, I.; Odak, I.; Škorić, I. New Charged Cholinesterase Inhibitors: Design, Synthesis, and Characterization. Molecules 2024, 29, 1622. [Google Scholar] [CrossRef]
  28. Krátký, M.; Vinšová, J.; Buchta, V.; Stolaříková, J. Quaternary Ammonium-based Cholinesterase Inhibitors: Synthesis and Biological Evaluation. Bioorganic Med. Chem. Lett. 2016, 26, 1125–1130. [Google Scholar]
  29. Mlakić, M.; Sviben, M.; Ratković, A.; Raspudić, A.; Barić, D.; Šagud, I.; Lasić, Z.; Odak, I.; Škorić, I. Efficient Access to New Thienobenzo-1,2,3-Triazolium Salts as Preferred Dual Cholinesterase Inhibitors. Biomolecules 2024, 14, 1391. [Google Scholar] [CrossRef]
  30. Jelčić, A.; Raspudić, A.; Barić, D.; Ratković, A.; Šagud, I.; Pongrac, P.; Štefok, D.; Bosnar, M.; Roca, S.; Lasić, Z.; et al. Charged Thienobenzo-1,2,3-Triazoles as Especially Potent Non-Selective Cholinesterase Inhibitors: Design, Anti-Inflammatory Activity, and Computational Study. Pharmaceuticals 2025, 18, 1032. [Google Scholar] [CrossRef]
  31. Ratković, A.; Mlakić, M.; Dehaen, W.; Opsomer, T.; Barić, D.; Škorić, I. Synthesis and Photochemistry of novel 1,2,3-Triazole di-Heterostilbenes. An Experimental and Computational Study. Spectrochim. Acta. Part A Mol. Biomol. Spectrosc. 2021, 261, 120056. [Google Scholar] [CrossRef]
  32. Ellman, G.L.; Courtnex, K.D.; Andres, V.; Featherstone, R.M. A new and rapid colorimetric determination of acetylcholinesterase activity. Biochem. Pharmacol. 1961, 7, 88–95. [Google Scholar] [CrossRef]
Figure 1. Crystal structure of the human AChE enzyme in complex with galantamine (crystal structure 4EY6.pdb [5]).
Figure 1. Crystal structure of the human AChE enzyme in complex with galantamine (crystal structure 4EY6.pdb [5]).
Molecules 30 03439 g001
Figure 2. Structures of proven dual cholinesterase inhibitors A–F based on the charged thienobenzo-1,2,3-triazole skeleton.
Figure 2. Structures of proven dual cholinesterase inhibitors A–F based on the charged thienobenzo-1,2,3-triazole skeleton.
Molecules 30 03439 g002
Scheme 1. Final synthetic step to charged triazolinium benzyl salts 117 from triazole photoproducts and their isolated yields are listed.
Scheme 1. Final synthetic step to charged triazolinium benzyl salts 117 from triazole photoproducts and their isolated yields are listed.
Molecules 30 03439 sch001
Figure 3. Crucial parts of the 1H NMR (CD3OD) spectra of the thienobenzo-1,2,3-triazolinium salts: 8 (a), 2 (b), and 15 (c).
Figure 3. Crucial parts of the 1H NMR (CD3OD) spectra of the thienobenzo-1,2,3-triazolinium salts: 8 (a), 2 (b), and 15 (c).
Molecules 30 03439 g003
Figure 4. Dose–response curve for the inhibition of AChE (a) and BChE (b) by thienobenzo-1,2,3-triazolinium salt 8.
Figure 4. Dose–response curve for the inhibition of AChE (a) and BChE (b) by thienobenzo-1,2,3-triazolinium salt 8.
Molecules 30 03439 g004
Figure 5. Dose-response curve for the inhibition of AChE (a) and BChE (b) by thienobenzo-1,2,3-triazolinium salt 1.
Figure 5. Dose-response curve for the inhibition of AChE (a) and BChE (b) by thienobenzo-1,2,3-triazolinium salt 1.
Molecules 30 03439 g005
Figure 6. Inhibition of LPS-stimulated TNFα production in PBMCs from two donors for charged triazolinium bromide salt 17.
Figure 6. Inhibition of LPS-stimulated TNFα production in PBMCs from two donors for charged triazolinium bromide salt 17.
Molecules 30 03439 g006
Table 1. Cholinesterase inhibition activity of triazolinium salts 117.
Table 1. Cholinesterase inhibition activity of triazolinium salts 117.
CompoundStructureAChEBChE
IC50/µMInhibition * (%)IC50/µMInhibition * (%)
1Molecules 30 03439 i0016.378.6 ± 0.5 (50)0.483.9 ± 0.2 (25)
2Molecules 30 03439 i0024.182.1 ± 4.2 (50) 0.377.6 ± 0.3 (2.5)
3Molecules 30 03439 i0035.976.7 ± 0.5 (50)0.784.9 ± 3.6 (50)
4Molecules 30 03439 i00414.274.6 ± 5.0 (50)0.883.2 ± 0.9 (25)
7Molecules 30 03439 i00511.879.4 ± 4.9 (100)1.078.2 ± 0.4 (10)
8Molecules 30 03439 i0062.680.7 ± 2.3 (50)0.483.6 ± 1.0 (10)
9Molecules 30 03439 i0075.778.7 ± 0.6 (50)3.576.6 ± 0.4 (25)
10Molecules 30 03439 i0086.581.9 ± 0.6 (100)1.579.9 ± 1.1 (25)
11Molecules 30 03439 i0093.283.6 ± 2.1 (50)2.781.1 ± 1.7 (25)
14Molecules 30 03439 i0104.384.2 ± 0.5 (100)1.080.4 ± 2.9 (25)
15Molecules 30 03439 i01114.482.3 ± 0.8 (250)0.984.0 ± 0.7 (50)
16Molecules 30 03439 i0125.482.6 ± 1.1 (250)2.384.8 ± 0.8 (100)
17Molecules 30 03439 i01363.862.6 ± 5.3 (100)11.485.5 ± 0.5 (100)
Galantamine [29]0.15-7.9-
* The numbers in parentheses represent the maximum concentrations tested in µM.
Disclaimer/Publisher’s Note: The statements, opinions and data contained in all publications are solely those of the individual author(s) and contributor(s) and not of MDPI and/or the editor(s). MDPI and/or the editor(s) disclaim responsibility for any injury to people or property resulting from any ideas, methods, instructions or products referred to in the content.

Share and Cite

MDPI and ACS Style

Jelčić, A.; Talić, S.; Odak, I.; Pongrac, P.; Štefok, D.; Škorić, I. Photochemically Assisted Synthesis of Thienobenzotriazole-Based Dual Cholinesterase Inhibitors. Molecules 2025, 30, 3439. https://doi.org/10.3390/molecules30163439

AMA Style

Jelčić A, Talić S, Odak I, Pongrac P, Štefok D, Škorić I. Photochemically Assisted Synthesis of Thienobenzotriazole-Based Dual Cholinesterase Inhibitors. Molecules. 2025; 30(16):3439. https://doi.org/10.3390/molecules30163439

Chicago/Turabian Style

Jelčić, Antonija, Stanislava Talić, Ilijana Odak, Paula Pongrac, Dora Štefok, and Irena Škorić. 2025. "Photochemically Assisted Synthesis of Thienobenzotriazole-Based Dual Cholinesterase Inhibitors" Molecules 30, no. 16: 3439. https://doi.org/10.3390/molecules30163439

APA Style

Jelčić, A., Talić, S., Odak, I., Pongrac, P., Štefok, D., & Škorić, I. (2025). Photochemically Assisted Synthesis of Thienobenzotriazole-Based Dual Cholinesterase Inhibitors. Molecules, 30(16), 3439. https://doi.org/10.3390/molecules30163439

Article Metrics

Back to TopTop