Pyridyl-Thiourea Ruthenium and Osmium Complexes: Coordination of Ligand and Application as FLP Hydrogenation Catalysts
Abstract
1. Introduction
2. Results and Discussion
2.1. Synthesis of the Ligand
2.2. Synthesis of the Chlorido Complexes [(Cym)MCl(κ2Npy,S-H2NNS)][SbF6] (M = Ru (1), Os (2))
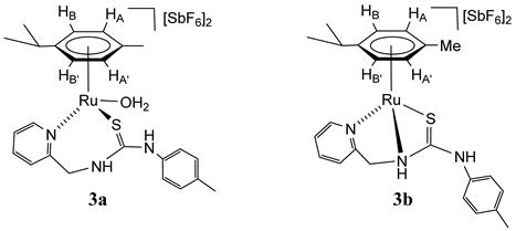
2.3. Synthesis of Dicationic Ruthenium Complexes 3
2.4. Synthesis of the Dicationic Complexes [(Cym)M(NCMe)(κ2Npy,S-H2NNS)][SbF6]2 (M = Ru (3f), Os (4a))
2.5. Synthesis of the Monocationic Ruthenium Complexes 5
2.6. Syntheses of the Monocationic Osmium Complexes 6
2.7. Catalytic Hydrogenation Assays
3. Conclusions
4. Materials and Methods
4.1. Preparation of H2NNS

4.2. Preparation of the Complexes [(Cym)MCl(κ2Npy,S-H2NNS)][SbF6] (M = Ru (1), Os (2)


4.3. Preparation of the Complexes 3


4.4. Preparation of the Complex [(Cym)Os(NCMe)(κ2Npy,S-H2NNS)][SbF6]2 (4a)

4.5. Preparation of the Complexes 5

4.6. Preparation of the Complexes 6

4.7. Preparation of the Complexes 6a–6c from 4a, and 4a from 6a–6c
4.8. General Procedure for the Catalytic Hydrogenation Reactions
4.9. Reaction of the Complexes 5 and 6c with H2 in the Presence of D2O
Supplementary Materials
Author Contributions
Funding
Institutional Review Board Statement
Informed Consent Statement
Data Availability Statement
Acknowledgments
Conflicts of Interest
References
- Welch, G.C.; Juan, R.R.S.; Masuda, J.D.; Stephan, D.W. Reversible, Metal-Free Hydrogen Activation. Science 2006, 314, 1124–1126. [Google Scholar] [CrossRef]
- Stephan, D.W. The Broadening Reach of Frustrated Lewis Pair Chemistry. Science 2016, 354, 1248–1256. [Google Scholar] [CrossRef]
- Stephan, D.W.; Erker, G. Frustrated Lewis Pair Chemistry: Development and Perspectives. Angew. Chem. Int. Ed. 2015, 54, 6400–6441. [Google Scholar] [CrossRef]
- Stephan, D.W. Frustrated Lewis Pair Catalysis: An Introduction. In Frustrated Lewis Pairs, 2nd ed.; Slootweg, J.C., Jupp, A.R., Eds.; Springer: Cham, Switzerland, 2021; Volume 3, pp. 1–28. [Google Scholar] [CrossRef]
- Jupp, A.R.; Stephan, D.W. New Directions for Frustrated Lewis Pair Chemistry. Trends Chem. 2019, 1, 35–48. [Google Scholar] [CrossRef]
- Paradies, J. From Structure to Novel Reactivity in Frustrated Lewis Pairs. Coord. Chem. Rev. 2019, 380, 170–183. [Google Scholar] [CrossRef]
- Scott, D.J.; Fuchter, M.J.; Ashley, A.E. Designing Effective ‘Frustrated Lewis Pair’ Hydrogenation Catalysts. Chem. Soc. Rev. 2017, 46, 5689–5700. [Google Scholar] [CrossRef] [PubMed]
- Stephan, D.W. Frustrated Lewis Pairs. J. Am. Chem. Soc. 2015, 137, 10018–10032. [Google Scholar] [CrossRef] [PubMed]
- Stephan, D.W. Frustrated Lewis Pairs: From Concept to Catalysis. Acc. Chem. Res. 2015, 48, 306–316. [Google Scholar] [CrossRef] [PubMed]
- Frustrated Lewis Pairs Beyond the Main Group: Transition Metal-Containing Systems. In Topics in Current Chemistry; Springer: Berlin/Heidelberg, Germany, 2013; pp. 261–280. [CrossRef]
- Frustrated Lewis Pairs I: Uncovering and Understanding; Springer: New York, NY, USA, 2013.
- Stephan, D.W.; Erker, G. Frustrated Lewis Pairs: Metal-free Hydrogen Activation and More. Angew. Chem. Int. Ed. 2010, 49, 46–76. [Google Scholar] [CrossRef]
- Flynn, S.R.; Wass, D.F. Transition Metal Frustrated Lewis Pairs. ACS Catal. 2013, 3, 2574–2581. [Google Scholar] [CrossRef]
- Xu, X.; Kehr, G.; Daniliuc, C.G.; Erker, G. 1,1-Carbozirconation: Unusual Reaction of an Alkyne with a Methyl Zirconocene Cation and Subsequent Frustrated Lewis Pair Like Reactivity. Angew. Chem. 2013, 125, 13874–13877. [Google Scholar] [CrossRef]
- Hidalgo, N.; Moreno, J.J.; Pérez-Jiménez, M.; Maya, C.; López-Serrano, J.; Campos, J. Evidence for Genuine Bimetallic Frustrated Lewis Pair Activation of Dihydrogen with Gold(I)/Platinum(0) Systems. Chem. A Eur. J. 2020, 26, 5982–5993. [Google Scholar] [CrossRef] [PubMed]
- Zwettler, N.; Mösch-Zanetti, N.C. Interaction of Metal Oxido Compounds with B(C6F5)3. Chem. A Eur. J. 2019, 25, 6064–6076. [Google Scholar] [CrossRef]
- Zhang, S.; Appel, A.M.; Bullock, R.M. Reversible Heterolytic Cleavage of the H–H Bond by Molybdenum Complexes: Controlling the Dynamics of Exchange Between Proton and Hydride. J. Am. Chem. Soc. 2017, 139, 7376–7387. [Google Scholar] [CrossRef]
- Carmona, M.; Ferrer, J.; Rodríguez, R.; Passarelli, V.; Lahoz, F.J.; García-Orduña, P.; Cañadillas-Delgado, L.; Carmona, D. Reversible Activation of Water by an Air- and Moisture-Stable Frustrated Rhodium Nitrogen Lewis Pair. Chem. A Eur. J. 2019, 25, 13665–13670. [Google Scholar] [CrossRef]
- Ferrer-Bru, C.; Ferrer, J.; Passarelli, V.; Lahoz, F.J.; García-Orduña, P.; Carmona, D. Molecular Dihydrogen Activation by (C5Me5)M/N (M=Rh, Ir) Transition Metal Frustrated Lewis Pairs: Reversible Proton Migration to, and Proton Abstraction from, the C5Me5 Ligand. Chem. A Eur. J. 2024, 30, e202304140. [Google Scholar] [CrossRef]
- Hamilton, H.B.; King, A.M.; Sparkes, H.A.; Pridmore, N.E.; Wass, D.F. Zirconium–Nitrogen Intermolecular Frustrated Lewis Pairs. Inorg. Chem. 2019, 58, 6399–6409. [Google Scholar] [CrossRef]
- Chapman, A.M.; Haddow, M.F.; Wass, D.F. Frustrated Lewis Pairs beyond the Main Group: Cationic Zirconocene–Phosphinoaryloxide Complexes and Their Application in Catalytic Dehydrogenation of Amine Boranes. J. Am. Chem. Soc. 2011, 133, 8826–8829. [Google Scholar] [CrossRef]
- Jian, Z.; Daniliuc, C.G.; Kehr, G.; Erker, G. Frustrated Lewis Pair vs Metal–Carbon σ-Bond Insertion Chemistry at an o-Phenylene-Bridged Cp2Zr+/PPh2 System. Organometallics 2017, 36, 424–434. [Google Scholar] [CrossRef]
- Normand, A.T.; Daniliuc, C.G.; Wibbeling, B.; Kehr, G.; Le Gendre, P.; Erker, G. Phosphido- and Amidozirconocene Cation-Based Frustrated Lewis Pair Chemistry. J. Am. Chem. Soc. 2015, 137, 10796–10808. [Google Scholar] [CrossRef] [PubMed]
- Xu, X.; Kehr, G.; Daniliuc, C.G.; Erker, G. Reactions of a Cationic Geminal Zr+/P Pair with Small Molecules. J. Am. Chem. Soc. 2013, 135, 6465–6476. [Google Scholar] [CrossRef]
- Barnett, B.R.; Neville, M.L.; Moore, C.E.; Rheingold, A.L.; Figueroa, J.S. Oxidative-Insertion Reactivity Across a Geometrically Constrained Metal→Borane Interaction. Angew. Chem. Int. Ed. 2017, 56, 7195–7199. [Google Scholar] [CrossRef]
- Johnstone, T.C.; Wee, G.N.J.H.; Stephan, D.W. Accessing Frustrated Lewis Pair Chemistry from a Spectroscopically Stable and Classical Lewis Acid-Base Adduct. Angew. Chem. Int. Ed. 2018, 57, 5881–5884. [Google Scholar] [CrossRef]
- Roters, S.; Appelt, C.; Westenberg, H.; Hepp, A.; Slootweg, J.C.; Lammertsma, K.; Uhl, W. Dimeric Aluminum–Phosphorus Compounds as Masked Frustrated Lewis Pairs for Small Molecule Activation. Dalton Trans. 2012, 41, 9033. [Google Scholar] [CrossRef] [PubMed]
- Boudjelel, M.; Sosa Carrizo, E.D.; Mallet−Ladeira, S.; Massou, S.; Miqueu, K.; Bouhadir, G.; Bourissou, D. Catalytic Dehydrogenation of (Di)Amine-Boranes with a Geometrically Constrained Phosphine-Borane Lewis Pair. ACS Catal. 2018, 8, 4459–4464. [Google Scholar] [CrossRef]
- Sgro, M.J.; Stephan, D.W. Frustrated Lewis Pair Inspired Carbon Dioxide Reduction by a Ruthenium Tris(Aminophosphine) Complex. Angew. Chem. Int. Ed. 2012, 51, 11343–11345. [Google Scholar] [CrossRef] [PubMed]
- Carmona, M.; Pérez, R.; Ferrer, J.; Rodríguez, R.; Passarelli, V.; Lahoz, F.J.; García-Orduña, P.; Carmona, D. Activation of H–H, HO–H, C(sp2)–H, C(sp3)–H, and RO–H Bonds by Transition-Metal Frustrated Lewis Pairs Based on M/N (M = Rh, Ir) Couples. Inorg. Chem. 2022, 61, 13149–13164. [Google Scholar] [CrossRef]
- Ferrer, C.; Ferrer, J.; Passarelli, V.; Lahoz, F.J.; García-Orduña, P.; Carmona, D. Well-Stabilized but Strained Frustrated Lewis Pairs Based on Rh/N and Ir/N Couples. Organometallics 2022, 41, 1445–1453. [Google Scholar] [CrossRef]
- Beard, S.; Grasa, A.; Viguri, F.; Rodríguez, R.; López, J.A.; Lahoz, F.J.; García-Orduña, P.; Lamata, P.; Carmona, D. Molecular Hydrogen and Water Activation by Transition Metal Frustrated Lewis Pairs Containing Ruthenium or Osmium Components: Catalytic Hydrogenation Assays. Dalton Trans. 2023, 52, 13216–13228. [Google Scholar] [CrossRef]
- Wilkinson, E.; Viguri, F.; Rodríguez, R.; López, J.A.; García-Orduña, P.; Lahoz, F.J.; Lamata, P.; Carmona, D. Strained Ruthenium Complexes Bearing Tridentate Guanidine-Derived Ligands. Helv. Chim. Acta 2021, 104, 1–17. [Google Scholar] [CrossRef]
- Parker, A.; Lamata, P.; Viguri, F.; Rodríguez, R.; López, J.A.; Lahoz, F.J.; García-Orduña, P.; Carmona, D. Half-Sandwich Complexes of Osmium Containing Guanidine-Derived Ligands. Dalton Trans. 2020, 49, 13601–13617. [Google Scholar] [CrossRef] [PubMed]
- Soriano, M.L.; Lenthall, J.T.; Anderson, K.M.; Smith, S.J.; Steed, J.W. Enhanced Anion Binding from Unusual Coordination Modes of Bis(Thiourea) Ligands in Platinum Group Metal Complexes. Chem. A Eur. J. 2010, 16, 10818–10831. [Google Scholar] [CrossRef] [PubMed]
- Sheeba, M.M.; Muthu Tamizh, M.; Farrugia, L.J.; Endo, A.; Karvembu, R. Chiral (η6-p-Cymene)Ruthenium(II) Complexes Containing Monodentate Acylthiourea Ligands for Efficient Asymmetric Transfer Hydrogenation of Ketones. Organometallics 2014, 33, 540–550. [Google Scholar] [CrossRef]
- Gatti, A.; Habtemariam, A.; Romero-Canelón, I.; Song, J.I.; Heer, B.; Clarkson, G.J.; Rogolino, D.; Sadler, P.J.; Carcelli, M. Half-Sandwich Arene Ruthenium(II) and Osmium(II) Thiosemicarbazone Complexes: Solution Behavior and Antiproliferative Activity. Organometallics 2018, 37, 891–899. [Google Scholar] [CrossRef]
- Adhikari, S.; Hussain, O.; Phillips, R.M.; Kaminsky, W.; Kollipara, M.R. Synthesis, Structural and Chemosensitivity Studies of Arene d6 Metal Complexes Having N-phenyl-N’-(Pyridyl/Pyrimidyl)Thiourea Derivatives. Appl. Organom. Chemis. 2018, 32, e4362. [Google Scholar] [CrossRef]
- Avila, A.; Chinchilla, R.; Gómez-Bengoa, E.; Nájera, C. Enantioselective Synthesis of Succinimides by Michael Addition of Aldehydes to Maleimides Organocatalyzed by Chiral Primary Amine-Guanidines. Eur. J. Org. Chem. 2013, 2013, 5085–5092. [Google Scholar] [CrossRef]
- Bennet, M.A.; Huang, T.N.; Matheson, T.W.; Smith, A.K. (η6-Hexamethylbenzene)Ruthenium Complexes. In Inorganic Syntheses; Fackler, J.P., Ed.; Wiley: New York, NY, USA, 1982; pp. 74–78. [Google Scholar] [CrossRef]
- Cabeza, J.A.; Maitlis, P.M. Mononuclear η6-p-Cymeneosmium(II) Complexes and Their Reactions with Al2Me6and Other Methylating Reagents. J. Chem. Soc., Dalton Trans. 1985, 3, 573–578. [Google Scholar] [CrossRef]
- Sun, T.; Wu, Z.; Wang, G.; Li, Z.; Li, C.; Wang, E. Efficient Promotional Effects of Mo on the Catalytic Hydrogenation of Methyl Acrylate over Ni-Based Catalysts under Mild Conditions. Ind. Eng. Chem. Res. 2022, 61, 152–163. [Google Scholar] [CrossRef]
- Sun, T.; Wang, G.; Guo, X.; Li, Z.; Wang, E.; Li, C. A Highly Active NiMoAl Catalyst Prepared by a Solvothermal Method for the Hydrogenation of Methyl Acrylate. Catalysts 2022, 12, 1118. [Google Scholar] [CrossRef]
- Seo, C.S.G.; Morris, R.H. Catalytic Homogeneous Asymmetric Hydrogenation: Successes and Opportunities. Organometallics 2019, 38, 47–65. [Google Scholar] [CrossRef]
- Noyori, R.; Ohkuma, T. Asymmetric Catalysis by Architectural and Functional Molecular Engineering: Practical Chemo- and Stereoselective Hydrogenation of Ketones. Angew. Chem. Int. Ed. 2001, 40, 40–73. [Google Scholar] [CrossRef]
- Clapham, S.E.; Hadzovic, A.; Morris, R.H. Mechanisms of the H2-Hydrogenation and Transfer Hydrogenation of Polar Bonds Catalyzed by Ruthenium Hydride Complexes. Coord. Chem. Rev. 2004, 248, 2201–2237. [Google Scholar] [CrossRef]
- Rautenstrauch, V.; Hoang-Cong, X.; Churlaud, R.; Abdur-Rashid, K.; Morris, R.H. Hydrogenation versus Transfer Hydrogenation of Ketones: Two Established Ruthenium Systems Catalyze Both. Chem. A Eur. J. 2003, 9, 4954–4967. [Google Scholar] [CrossRef] [PubMed]
- Meemken, F.; Baiker, A. Recent Progress in Heterogeneous Asymmetric Hydrogenation of C═O and C═C Bonds on Supported Noble Metal Catalysts. Chem. Rev. 2017, 117, 11522–11569. [Google Scholar] [CrossRef] [PubMed]
- Abdur-Rashid, K.; Lough, A.J.; Morris, R.H. RuHCl(Diphosphine)(Diamine): Catalyst Precursors for the Stereoselective Hydrogenation of Ketones and Imines. Organometallics 2001, 20, 1047–1049. [Google Scholar] [CrossRef]













![]() | |||||
|---|---|---|---|---|---|
| Entry. | Catalyst | Substrate | Product | t (h) | Conv. (%) 2 |
| 1 | ![]() 5c | ![]() | ![]() | 115 | 97 |
2 | ![]() | ![]() | 60 | 97 | |
| 3 | ![]() | ![]() | 207 | 97 | |
| 4 | ![]() | ![]() | 190 | 53 | |
| 5 | ![]() 6c | ![]() | ![]() | 115 | 9 |
| 6 | ![]() | ![]() | 128 | 97 | |
| 7 | ![]() | ![]() | 190 | 22 | |
Disclaimer/Publisher’s Note: The statements, opinions and data contained in all publications are solely those of the individual author(s) and contributor(s) and not of MDPI and/or the editor(s). MDPI and/or the editor(s) disclaim responsibility for any injury to people or property resulting from any ideas, methods, instructions or products referred to in the content. |
© 2025 by the authors. Licensee MDPI, Basel, Switzerland. This article is an open access article distributed under the terms and conditions of the Creative Commons Attribution (CC BY) license (https://creativecommons.org/licenses/by/4.0/).
Share and Cite
Grasa, A.; Leavey, R.D.; Viguri, F.; Rodríguez, R.; Lamata, P. Pyridyl-Thiourea Ruthenium and Osmium Complexes: Coordination of Ligand and Application as FLP Hydrogenation Catalysts. Molecules 2025, 30, 3398. https://doi.org/10.3390/molecules30163398
Grasa A, Leavey RD, Viguri F, Rodríguez R, Lamata P. Pyridyl-Thiourea Ruthenium and Osmium Complexes: Coordination of Ligand and Application as FLP Hydrogenation Catalysts. Molecules. 2025; 30(16):3398. https://doi.org/10.3390/molecules30163398
Chicago/Turabian StyleGrasa, Alejandro, Roisin D. Leavey, Fernando Viguri, Ricardo Rodríguez, and Pilar Lamata. 2025. "Pyridyl-Thiourea Ruthenium and Osmium Complexes: Coordination of Ligand and Application as FLP Hydrogenation Catalysts" Molecules 30, no. 16: 3398. https://doi.org/10.3390/molecules30163398
APA StyleGrasa, A., Leavey, R. D., Viguri, F., Rodríguez, R., & Lamata, P. (2025). Pyridyl-Thiourea Ruthenium and Osmium Complexes: Coordination of Ligand and Application as FLP Hydrogenation Catalysts. Molecules, 30(16), 3398. https://doi.org/10.3390/molecules30163398


















