A Comprehensive Study of the Cobalt(II) Chelation Mechanism by an Iminodiacetate-Decorated Disaccharide Ligand
Abstract
1. Introduction
2. Results and Discussion
2.1. Synthesis of Ligand 9
2.2. Formation of Complexes Cobalt(II):9
2.3. Nuclear Magnetic ResonanceStudy (NMR) of Cobalt(II) Complexes
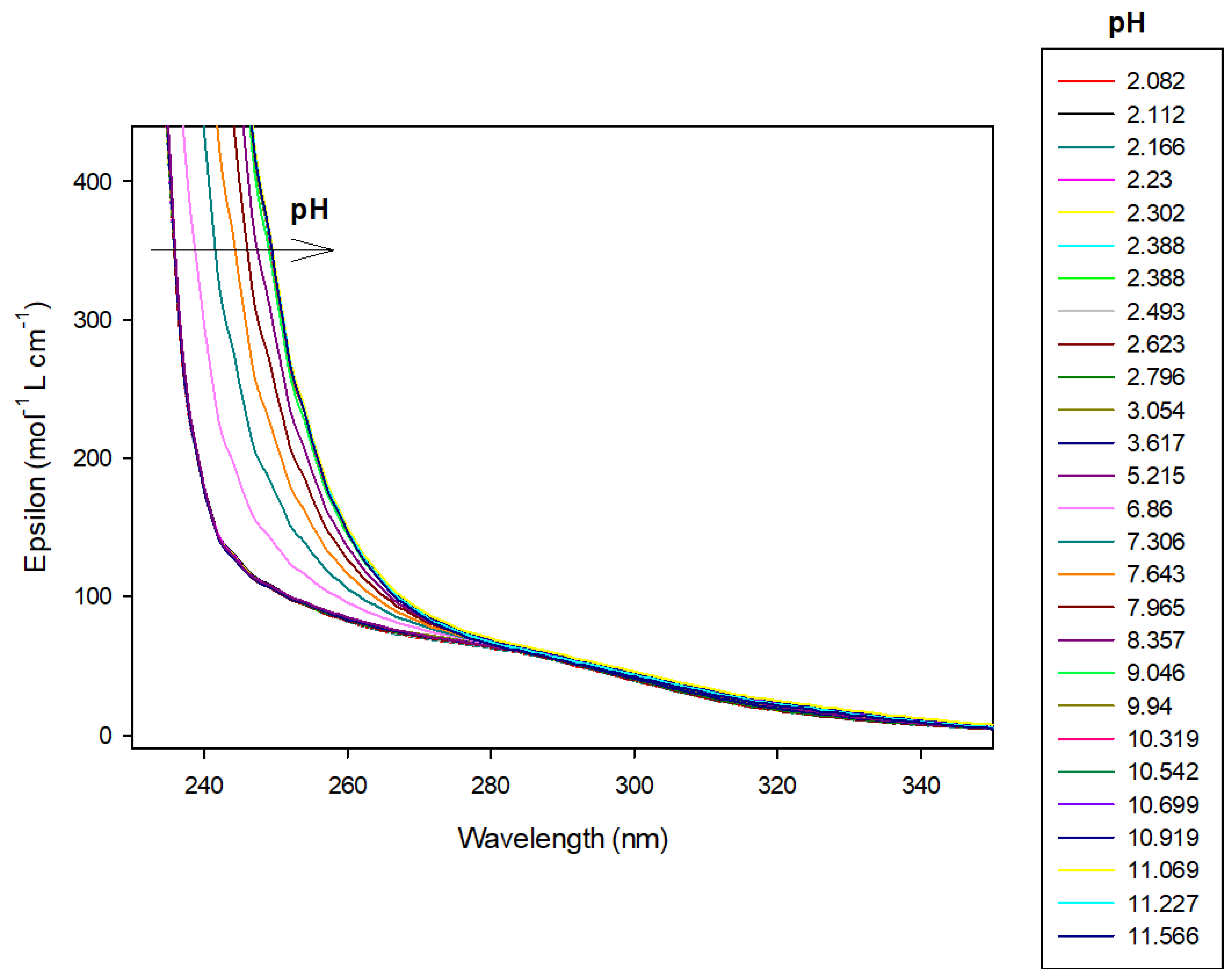
2.4. Protonation Studies of the Disaccharide Ligand 9
2.4.1. Protonation Studies of the Ligand 9 by Potentiometric Titration
2.4.2. Protonation Studies of the Ligand 9 by Spectrophotometric Titration
2.5. Complexation Studies of the Cobalt(II) with the Disaccharide Ligand 9
2.5.1. Complexation Studies of Cobalt(II) with the Ligand 9 by Potentiometric Titration
2.5.2. Complexation Studies of Cobalt(II) with the Ligand 9 by Spectrophotometric Titration
2.5.3. Complexation Studies of Cobalt(II) with the Ligand 9 by Isothermal Titration Calorimetry (ITC)
| Pipes | Mes | |
|---|---|---|
| Stoichiometry cobalt(II):9 | 1:1 2:1 | 1:1 2:1 |
| βITC/M−1 | 8.4 × 105 (1.105) − 5.1 × 109 (1.109) | 1.5 × 106 (6.105) − 9.9 × 109 (6.109) |
| ΔHITC/kcal mol−1 | −2.79 (0.04) − 1.13 (0.11) | −4.71 (0.09) – −1.02 (0.19) |
| TΔSITC/kcal mol−1 | 5.28 (0.11) − 14.36 (0.23) | 3.71 (0.34) − 12.60 (0.61) |
| ΔGITC/kcal mol−1 | −8.07 (0.7) – −13.23 (0.12) | −8.42 (0.25) – −13.62 (0.42) |


2.6. Capture and Release of Cobalt(II)
2.6.1. Capture of Cobalt(II)
2.6.2. Release of Cobalt(II)
3. Materials and Methods
3.1. NMR Study
3.2. Ligand 9 and Buffers Protonation Studies by Potentiometry
3.3. Stability Constant Measurement Between Cobalt(II) and Ligand 9 or Cobalt and Buffers by Potentiometry
3.4. Ligand 9 Protonation Studies by Spectrophotometry
3.5. Stability Constant Measurement Between Cobalt(II) and Ligand 9 by Spectrophotometry
3.6. Thermodynamic Parameters of Cobalt(II) Binding to Ligand 9 by Isothermal Titration Calorimetry
3.7. Complexes Co(II):9 and Samples Preparation and ICP-AES Study
3.8. Formation of Complexes Cobalt(II)+:9 and Analysis
3.8.1. Formation of Complex Co:9 1:1 and Analysis
3.8.2. Formation of Complex Co:9 2:1 and Analysis
3.9. Desorption Experiments
4. Conclusions
Supplementary Materials
Author Contributions
Funding
Institutional Review Board Statement
Informed Consent Statement
Data Availability Statement
Acknowledgments
Conflicts of Interest
References
- Tong, Z.; Wang, M.; Bai, Z.; Li, H.; Wang, N. Advances in lithium-ion battery recycling: Strategies, pathways, and technologies. ChemPhysMater 2025, 4, 30–47. [Google Scholar] [CrossRef]
- Das, J.; Kleiman, A.; Rehman, A.U.; Verma, R.; Young, M.H. The Cobalt Supply Chain and Environmental Life Cycle Impacts of Lithium-Ion Battery Energy Storage Systems. Sustainability 2024, 16, 1910. [Google Scholar] [CrossRef]
- Golroudbary, S.R.; Farfan, J.; Lohrmann, A.; Kraslawski, A. Environmental benefits of circular economy approach to use of cobalt. Glob. Environ. Change 2022, 76, 102568–102579. [Google Scholar] [CrossRef]
- Suriyanarayanan, S.; Babu, M.P.; Murugan, R.; Muthuraj, D.; Ramanujam, K.; Nicholls, I.A. Highly Efficient Recovery and Recycling of Cobalt from Spent Lithium-Ion Batteries Using an N-Methylurea-Acetamide Nonionic Deep Eutectic Solvent. ACS Omega 2023, 8, 6959–6967. [Google Scholar] [CrossRef]
- Morina, R.; Merli, D.; Mustarelli, P.; Ferrara, C. Lithium and Cobalt Recovery from Lithium-Ion Battery Waste via Functional Ionic Liquid Extraction for Effective Battery Recycling. ChemElectroChem 2023, 10, e202201059–e202201065. [Google Scholar] [CrossRef]
- Nayaka, G.P.; Pai, K.V.; Manjanna, J.; Keny, S.J. Use of mild organic acid reagents to recover the Co and Li from spent Li-ion batteries. Waste Manag. 2016, 51, 234–238. [Google Scholar] [CrossRef]
- Anderegg, G.; Arnaud-Neu, F.; Delgado, R.; Felcman, J.; Popov, K. Critical evaluation of stability constants of metal complexes of complexones for biomedical and environmental applications. Pure Appl. Chem. 2005, 77, 1445–1495. [Google Scholar] [CrossRef]
- Smith, R.M.; Martell, A.E. Critical stability constants, enthalpies and entropies for the formation of metal complexes of aminopolycarboxylic acids and carboxylic acids. Sci. Total Environ. 1987, 64, 125–147. [Google Scholar] [CrossRef]
- De Stefano, C.; Gianguzza, A.; Piazzese, D.; Sammartano, S. Interaction of diethylenetriamine pentaacetic acid (dtpa) and triethylenetetraminehexaacetic acid (ttha) with major components of natural fluids. Anal. Bioanal. Chem. 2003, 375, 956–967. [Google Scholar] [CrossRef]
- Daniele, P.G.; Rigano, C.; Sammartano, S. Ionic strength dependence of formation constants. Alkali metal complexes of Ethylenediamminetetraacetate, Nitriloacetate, Diphosphate, and Tripolyphosphate in aqueous Solution. Anal. Chem. 1985, 57, 2956–2960. [Google Scholar] [CrossRef]
- Arzik, S.; Ayan, E.M.; Celebi, A.S. Potentiometric Determination of the Stability Constants of Lanthanide Complexes with Iminodiacetic Acid in Water and Dioxane-Water Mixtures. Turk. J. Chem. 2008, 32, 721–729. Available online: https://journals.tubitak.gov.tr/chem/vol32/iss6/8 (accessed on 28 July 2025).
- Soucek, D.A.; Cheng, K.L.; Droll, H.A. Stability constants of some metal complexes of triethylenetetraminehexa-acetic acid and complexometric titration of rare earths and other metals. Talanta 1968, 15, 849–850. [Google Scholar] [CrossRef] [PubMed]
- Friedrich, S.; Sieber, C.; Drobot, B.; Tsushima, S.; Barkleit, A.; Schmeide, K.; Stumpf, T.; Kretzschmar, J. Eu(III) and Cm(III) Complexation by the Aminocarboxylates NTA, EDTA, and EGTA Studied with NMR, TRLFS, and ITC—An Improved Approach to More Robust Thermodynamics. Molecules 2023, 28, 4881. [Google Scholar] [CrossRef] [PubMed]
- Motekaitis, R.J.; Martell, A.E. The iron(III) and iron(II) complexes of nitrilotriacetic acid. J. Coord. Chem. 1994, 31, 67–78. [Google Scholar] [CrossRef]
- Choppin, G.R.; Goedken, M.P.; Gritmon, T.F. The complexation of lanthanides by aminocarboxylate ligands—II. Thermodynamic parameters. J. Inorg. Nucl. Chem. 1977, 39, 2025–2030. [Google Scholar] [CrossRef]
- Schwarzenbach, G.; Senn, H.; Anderegg, G. Komplexone XXIX. Ein grosser Chelateffekt besonderer Art. Helv. Chim. Acta 1957, 40, 1886–1900. [Google Scholar] [CrossRef]
- Martell, A.E.; Smith, R.M. NIST Standard Reference Database 46, version 8.0; NIST Critically Selected Stability Constants of Metal Complexes Database; US Department of Commerce, National Institute of Standards and Technology: Gaithersburg, MD, USA, 2004; Available online: https://searchworks.stanford.edu/view/7600995 (accessed on 28 July 2025).
- El-Ashgar, N.M.; El-Nahhal, I.M.; Chehimi, M.M.; Babonneau, F.; Livage, J. A new route synthesis of immobilized-polysiloxane iminodiacetic acid ligand system, its characterization and applications. Mater. Lett. 2007, 61, 4553–4558. [Google Scholar] [CrossRef]
- Dragan, E.S.; Dinu, M.V.; Lisa, G.; Trochimczuk, A.W. Study on metal complexes of chelating resins bearing iminodiacetate groups. Eur. Polym. J. 2009, 45, 2119–2130. [Google Scholar] [CrossRef]
- Anito, D.A.; Wanga, T.-X.; Liua, Z.-W.; Dinga, X.; Han, B.-H. Iminodiacetic acid-functionalized porous polymer for removal of toxic metal ions from water. J. Hazard. Mater. 2020, 400, 123188–123196. [Google Scholar] [CrossRef]
- Zainol, Z.; Nicol, M.J. Ion-exchange equilibria of Ni2+, Co2+, Mn2+ and Mg2+ with iminodiacetic acid chelating resin Amberlite IRC 748. Hydrometallurgy 2009, 99, 175–180. [Google Scholar] [CrossRef]
- Busche, B.; Wiacek, R.; Davidson, J.; Koonsiripaiboon, V.; Yantasee, W.; Addleman, R.S.; Fryxell, G.E. Synthesis of nanoporous iminodiacetic acid sorbents for binding transition metals. Inorg. Chem. Commun. 2009, 12, 312–315. [Google Scholar] [CrossRef][Green Version]
- Bakry, A.M.; Amri, N.; Adly, M.S.; Alamri, A.A.; Salama, R.S.; Jabbari, A.M.; El-Shall, F.M.; Awad, S. Remediation of water containing lead(II) using (3-iminodiacetic acid) propyltriethoxysilane graphene oxide. Sci. Rep. 2024, 14, 18848–18860. [Google Scholar] [CrossRef]
- Champagne, P.-L.; Barbot, C.; Zhang, P.; Han, X.; Gaamoussi, I.; Hubert-Roux, M.; Bertolesi, G.E.; Gouhier, G.; Ling, C.-C. Synthesis and Unprecedented Complexation Properties of β-Cyclodextrin-Based Ligand for Lanthanide Ions. Inorg. Chem. 2018, 57, 8964–8977. [Google Scholar] [CrossRef]
- Boland, N.E.; Stone, A.T. Ligand Steric Interactions Modulate Multidentate Ligand Exchange Pathways: Kinetics of Nickel(II) Ion Capture from N-Substituted IDA Complexes by CDTA. Inorg. Chem. 2022, 61, 13355–13368. [Google Scholar] [CrossRef]
- Drzezdzon, J.; Malinowski, J.; Sikorski, A.; Gawdzik, B.; Rybinski, P.; Chmurzynski, L.; Jacewicz, D. Iminodiacetate complex of cobalt(II)-Structure, physicochemical characteristics, biological properties and catalytic activity for 2-chloro-2-propen-1-ol oligomerization. Polyhedron 2020, 175, 114168–114178. [Google Scholar] [CrossRef]
- Lehr, M.; Paschelke, T.; Trumpf, E.; Vogt, A.-M.; Nather, C.; Sçnnichsen Frank, D.; McConnell, A.J. A Paramagnetic NMR Spectroscopy Toolbox for the Characterisation of Paramagnetic/Spin-Crossover Coordination Complexes and Metal–Organic Cages. Angew. Chem. Int. Ed. 2020, 59, 19344–19351. [Google Scholar] [CrossRef] [PubMed]
- Zhang, P.; Barbot, C.; Gandikota, R.; Li, C.; Gouriou, L.; Gouhier, G.; Ling, C.-C. Synthesis of an Ethylenediaminetetraacetic Acid-like Ligand Based on Sucrose Scaffold and Complexation and Proton Relaxivity Studies of Its Gadolinium(III) Complex in Solution. Molecules 2024, 29, 4688. [Google Scholar] [CrossRef] [PubMed]
- Abboud, J.-L.M.; Foces-Foces, C.; Notario, R.; Trifonov, R.E.; Volovodenko, A.P.; Ostrovskii, V.A.; Alkorta, I.; Elguero, J. Basicity of N-H- and N-Methyl-1,2,3-Triazoles in the Gas Phase, in Solution, and in the Solid State—An Experimental and Theoretical Study. Eur. J. Org. Chem. 2001, 16, 3013–3024. [Google Scholar] [CrossRef]
- Gans, P.; Sabatini, A.; Vacca, A. Investigation of Equilibria in Solution. Determination of Equilibrium Constants with the HYPERQUAD Suite of Programs. Talanta 1996, 43, 1739–1753. [Google Scholar] [CrossRef] [PubMed]
- Alderighi, L.; Gans, P.; Ienco, A.; Peters, D.; Sabatini, A.; Vacca, A. Hyperquad Simulation and Speciation (HySS): A Utility Program for the Investigation of Equilibria Involving Soluble and Partially Soluble Species. Coord. Chem. Rev. 1999, 184, 311–318. [Google Scholar] [CrossRef]
- Wozniczka, M.; Vogt, A.; Kufelnicki, A. Equilibria in cobalt(II)-amino acid-imidazole system under oxygen-free conditions: Effect of side groups on mixed-ligand systems with selected L-α-amino acids. Chem. Cent. J. 2016, 10, 14–26. [Google Scholar] [CrossRef]
- Plyasumova, N.V.; Zhang, Y.; Muhammed, M. Critical evaluation of thermodynamics of complex formation of metal ions in aqueous solutions. V. Hydrolysis and hydroxo-complexes of Co2+ at 298.15 K. Hydrometallurgy 1998, 48, 153–169. [Google Scholar] [CrossRef]
- El Sherif, A.A. Synthesis, solution equilibria and antibacterial activity of Co2+ with 2-(aminomethyl)-benzimidazole and dicarboxylic acids. J. Solut. Chem. 2010, 39, 1562–1581. [Google Scholar] [CrossRef]
- Martins, J.G.; Gameiro, P.; Barros, T.; Soares, M.V.M. Potentiometric and UV-Visible spectroscopic studies of cobalt(II), copper (II) and nickel(II) complexes with N,N’-(S,S)-Bis[1-carboxy-2-(imidazole-4-yl)ethyl]ethylenediamine. J. Chem. Eng. Data 2010, 55, 3410–3417. [Google Scholar] [CrossRef]
- Ohsaka, T.; Oyama, N.; Matsuda, H. Potentiometric Study on the Complex Formation of Cobalt(II) Ion with Ethylenediamine-N-acetic Acid, Diethylenetriamine, and Iminodiacetic Acid. Bull. Chem. Soc. Jpn. 1980, 53, 3601–3604. [Google Scholar] [CrossRef]
- Nörtemann, B. Biodegradation of Chelating Agents: EDTA, DTPA, PDTA, NTA, and EDDS. ACS Symp. Ser. 2005, 910, 150–170. [Google Scholar] [CrossRef]
- Yin, F.; Li, J.; Wang, Y.; Yang, Z. Biodegradable chelating agents for enhancing phytoremediation: Mechanisms, market feasibility, and future studies. Ecotoxicol. Environ. Saf. 2024, 272, 116113–116128. [Google Scholar] [CrossRef]
- Lever, A.B.P. Inorganic Electronic Spectroscopy, 2nd ed.; Elsevier: Amsterdam, The Netherlands, 1984; 863p. [Google Scholar]
- Falconer, R.; Penkova, A.; Jelesarov, I.; Collins, B. Survey of the year 2008: Applications of isothermal titration calorimetry. J. Mol. Recognit. 2010, 23, 395–413. [Google Scholar] [CrossRef]
- Cavalcanti, I.D.L.; Junior, F.H.X.; Magalhaes, N.S.S.; Nogueira, M.C.B.L. Isothermal titration calorimetry (ITC) as a promising tool in pharmaceutical nanotechnology. Int. J. Pharm. 2023, 641, 123063–123084. [Google Scholar] [CrossRef]
- Grossoehme, N.E.; Spuches, A.M.; Wilcox, D.E. Application of isothermal titration calorimetry in bioinorganic chemistry. J. Biol. Inorg. Chem. 2010, 15, 1183–1191. [Google Scholar] [CrossRef]
- Tesmar, A.; Wyrzykowski, D.; Jacewicz, D.; Zamojc, K.; Pranczk, J.; Chmurzynski, L. Buffer contribution to formation enthalpy of copper(II)-bicine complex determined by isothermal titration calorimetry method. J. Therm. Anal. Calorim. 2016, 126, 97–102. [Google Scholar] [CrossRef]
- Ferreira, C.M.H.; Isabel, S.S.; Pinto, I.S.S.; Soares, E.V. (Un)suitability of the use of pH buffers in biological,biochemical and environmental studies and their interaction with metal ions—A review. RSC Adv. 2015, 5, 30989–31003. [Google Scholar] [CrossRef]
- Good, N.E.; Winget, G.D.; Winter, W.; Connoly, T.N.; Izawa, S.; Singh, R.M.M. Hydrogen ion buffers for biological research. Biochemistry 1966, 4, 467–477. [Google Scholar] [CrossRef] [PubMed]
- Wyrzykowski, D.; Chmurzinski, L. Thermodynamics of citrate complexation with Mn2+, Co2+, Ni2+ and Zn2+ ions. J. Therm. Anal. Calorim. 2010, 102, 61–64. [Google Scholar] [CrossRef]
- Wyrzykowski, D.; Zarzeczanska, D.; Jacewicz, D.; Chmurzynski, L. Investigation of copper(II) complexation by glycylglycine using isothermal titration calorimetry. J. Therm. Anal. Calorim. 2011, 105, 1043–1047. [Google Scholar] [CrossRef]
- Wyrzykowski, D.; Tesmar, A.; Jacewicz, D.; Pranczk, J.; Chmurzynski, L. Zinc(II) complexation by some biologically relevant pH buffers. J. Mol. Recognit. 2014, 27, 722–726. [Google Scholar] [CrossRef]
- Tesmar, A.; Wyrzykowski, D.; Munoz, E.; Pilarski, B.; Pranckz, J.; Jacewicz, D.; Chmurzynski, L. Simultaneous determination of thermodynamic and kinetic parameters of aminopolycarbonte complexes of cobalt(II) and nickel (II) based on isothermal titration calorimetry data. J. Mol. Recognit. 2017, 30, e2589–e2598. [Google Scholar] [CrossRef]
- Tesmar, A.; Chmurzynski, L. Crystal structure and isothermal titration calorimetry studies of new cobalt(II) complex with 2-methylnitrilotriacetate ion. Inorganica Chim. Acta 2018, 482, 554–560. [Google Scholar] [CrossRef]
- Dolev, N.; Katz, Z.; Ludmer, Z.; Ullmann, A.; Brauner, N.; Goikhman, R. New insights into chelator recycling by a chelating resin: From molecular mechanisms to applicability. Chemosphere 2019, 215, 800–806. [Google Scholar] [CrossRef]





















| log βmlh | |||
|---|---|---|---|
| Equilibrium Reaction | mlh | Potentiometry | Spectrophotometry |
| 013 | 18.51 | 18.16 | |
| 012 | 16.04 | 16.01 | |
| 011 | 8.44 | 8.49 | |
| log Kmlh | |||
| Equilibrium reaction | mlh | Potentiometry | Spectrophotometry |
| 013 | 2.47 | 2.15 | |
| 012 | 7.60 | 7.52 | |
| 011 | 8.44 | 8.49 |
| λ = 250 nm | ||
|---|---|---|
| Species | mlh | ε (mol−1 L cm−1) |
| 010 | 333.6 | |
| 011 | 278.4 | |
| 012 | 104.4 | |
| 013 | 105.5 |
| log βmlh | |||||
|---|---|---|---|---|---|
| Equilibrium reaction | mlh | Potentiometry | Spectrophotometry | ||
| 1:1 | 1.5:1 | 2:1 | |||
| 112 | 19.17 | 20.08 | 19.08 | 19.09 | |
| 111 | 16.53 | 16.90 | 16.29 | 16.15 | |
| 110 | 12.28 | 12.34 | 11.49 | 11.75 | |
| 11− | 4.48 | 4.60 | 4.50 | 4.46 | |
| 11−2 | −6.18 | −6.23 | −5.99 | −5.53 | |
| 212 | 22.23 | 22.00 | 22.08 | 21.89 | |
| 211 | 19.18 | 18.99 | 19.04 | 18.79 | |
| 210 | 16.53 | 15.79 | 15.81 | 15.21 | |
| 21−1 | 12.28 | 12.44 | 11.78 | 11.52 | |
| 21−2 | 4.43 | 4.19 | 2.03 | 3.07 | |
| 10−1 | −8.43 † | ||||
| 10−2 | −16.88 † | ||||
| 10−3 | −21.9 † | ||||
| log Kmlh | |||||
| Equilibrium reaction | mlh | Potentiometry | Spectrophotometry | ||
| 1:1 | 1.5:1 | 2:1 | |||
| 112 | 2.64 | 3.18 | 2.79 | 2.94 | |
| 111 | 4.25 | 4.56 | 4.8 | 4.41 | |
| 110 | 12.28 | 12.34 | 11.49 | 11.75 | |
| 11−1 | −7.8 | −7.74 | −6.99 | −7.29 | |
| 11−2 | −10.66 | −10.83 | −10.49 | −9.99 | |
| 212 | 3.05 | 3.01 | 3.04 | 3.1 | |
| 211 | 2.65 | 3.20 | 3.23 | 3.58 | |
| 210 | 16.53 | 15.79 | 15.81 | 15.21 | |
| 21−1 | −4.25 | −3.35 | −4.03 | −3.69 | |
| 21−2 | −7.85 | −8.25 | −9.75 | −8.45 | |
| λ = 250 nm | ||
|---|---|---|
| Species | mlh | ε (mol−1 L cm−1) |
| 012 | 273.9 | |
| 011 | 1158.6 | |
| 010 | 700.4 | |
| 01−1 | 662.6 | |
| 01−2 | 645.2 | |
| 21−1 | 309.7 |
| log Kmlh | |||||
|---|---|---|---|---|---|
| Pipes | mlh | Mes | mlh | ||
| 012 | 2.55 | ||||
| 011 | 6.62 | 011 | 5.98 | ||
| log βmlh | |||||
log βCoPipes | 110 | 2.2 | log βCoMes | 110 | 1.9 |
log βCoPipesH-2 | 11-2 * | * −14.5 | log βCoMesH-2 | 11-2 * | * −15.2 |
log βCoPipes(OH)2 | 11-2 | 12.9 | log βCoMes(OH)2 | 11-2 | 12.1 |
log KCoPipes(OH)2 | 11-2 | 10.7 | log KCoMes(OH)2 | 11-2 | 10.2 |
Disclaimer/Publisher’s Note: The statements, opinions and data contained in all publications are solely those of the individual author(s) and contributor(s) and not of MDPI and/or the editor(s). MDPI and/or the editor(s) disclaim responsibility for any injury to people or property resulting from any ideas, methods, instructions or products referred to in the content. |
© 2025 by the authors. Licensee MDPI, Basel, Switzerland. This article is an open access article distributed under the terms and conditions of the Creative Commons Attribution (CC BY) license (https://creativecommons.org/licenses/by/4.0/).
Share and Cite
Barbot, C.; Gouriou, L.; Mignot, M.; Sebban, M.; Zhang, P.; Landy, D.; Ling, C.-C.; Gouhier, G. A Comprehensive Study of the Cobalt(II) Chelation Mechanism by an Iminodiacetate-Decorated Disaccharide Ligand. Molecules 2025, 30, 3263. https://doi.org/10.3390/molecules30153263
Barbot C, Gouriou L, Mignot M, Sebban M, Zhang P, Landy D, Ling C-C, Gouhier G. A Comprehensive Study of the Cobalt(II) Chelation Mechanism by an Iminodiacetate-Decorated Disaccharide Ligand. Molecules. 2025; 30(15):3263. https://doi.org/10.3390/molecules30153263
Chicago/Turabian StyleBarbot, Cécile, Laura Gouriou, Mélanie Mignot, Muriel Sebban, Ping Zhang, David Landy, Chang-Chun Ling, and Géraldine Gouhier. 2025. "A Comprehensive Study of the Cobalt(II) Chelation Mechanism by an Iminodiacetate-Decorated Disaccharide Ligand" Molecules 30, no. 15: 3263. https://doi.org/10.3390/molecules30153263
APA StyleBarbot, C., Gouriou, L., Mignot, M., Sebban, M., Zhang, P., Landy, D., Ling, C.-C., & Gouhier, G. (2025). A Comprehensive Study of the Cobalt(II) Chelation Mechanism by an Iminodiacetate-Decorated Disaccharide Ligand. Molecules, 30(15), 3263. https://doi.org/10.3390/molecules30153263

