Activated Biocarbons Based on Salvia officinalis L. Processing Residue as Adsorbents of Pollutants from Drinking Water
Abstract
1. Introduction
2. Results and Discussion
2.1. Effect of the Chemical Activation Procedure on Mass Yield and Ash Content
2.2. Elemental Composition and Surface Morphology of the Activated Biocarbons Obtained from Sage Stems
2.3. Textural Parameters of the Activated Biocarbons Derived from Sage Stems
2.4. Acid Base Properties of the Activated Biocarbons Derived from Sage Stems
2.5. Surface and Electrokinetic Properties of the Activated Biocarbons Derived from Sage Stems
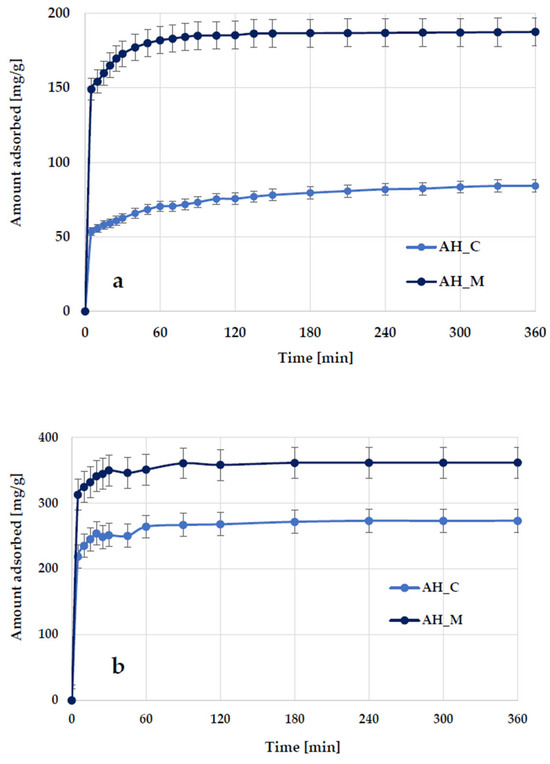
2.6. Adsorption Properties of the Activated Biocarbons Derived from Sage Stems
2.7. Thermodynamics of Organic Molecule Adsorption on the Activated Biocarbons’ Surface
2.8. Regeneration and Reusability Studies of Activated Biocarbons in the Systems Containing Triton X-100
3. Materials and Methods
3.1. Preparation of Activated Biocarbons
3.2. Analytical Procedures
3.3. Adsorption Experiments
4. Conclusions
Author Contributions
Funding
Institutional Review Board Statement
Informed Consent Statement
Data Availability Statement
Conflicts of Interest
References
- Gao, Y.; Yue, Q.; Gao, B.; Li, A. Insight into activated carbon from different kinds of chemical activating agents: A review. Sci. Total Environ. 2020, 746, 141094. [Google Scholar] [CrossRef] [PubMed]
- Heidarinejad, Z.; Dehghani, M.H.; Heidari, M.; Javedan, G.; Ali, I.; Sillanpää, M. Methods for preparation and activation of activated carbon: A review. Environ. Chem. Lett. 2020, 18, 393–415. [Google Scholar] [CrossRef]
- Sharma, G.; Sharma, S.; Kumar, A.; Lai, C.W.; Naushad, M.; Shehnaz; Iqbal, J.; Stadler, F.J. Activated carbon as superadsorbent and sustainable material for diverse applications. Adsorpt. Sci. Technol. 2022, 2022, e4184809. [Google Scholar] [CrossRef]
- Kim, D.H.; Kil, H.G.; Nakabayashi, K.; Yoon, S.H.; Miyawaki, J. Structural elucidation of physical and chemical activation mechanisms based on the microdomain structure model. Carbon 2017, 114, 98–105. [Google Scholar] [CrossRef]
- Ao, W.; Fu, J.; Mao, X.; Kang, Q.; Ran, C.; Liu, Y.; Zhang, H.; Gao, Z.; Li, J.; Liu, G.; et al. Microwave assisted preparation of activated carbon from biomass: A review. Renew. Sustain. Energy Rev. 2018, 92, 958–979. [Google Scholar] [CrossRef]
- Li, J.; Zhou, W.; Huang, Y.; Zhao, Y.; Li, X.; Xue, N.; Qu, Z.; Tang, Z.; Xie, L.; Li, J.; et al. Rapid preparation strategy of highly microporous activated carbons for gas adsorption, via tunable-energy-density microwave heating. Renew. Energy 2024, 225, 120260. [Google Scholar] [CrossRef]
- Demiral, İ.; Samdan, C.; Demiral, H. Enrichment of the surface functional groups of activated carbon by modification method. Surf. Interfaces 2021, 22, 100873. [Google Scholar] [CrossRef]
- Gayathiri, M.; Pulingam, T.; Lee, K.T.; Sudesh, K. Activated carbon from biomass waste precursors: Factors affecting production and adsorption mechanism. Chemosphere 2022, 294, 133764. [Google Scholar] [CrossRef] [PubMed]
- Paluch, D.; Bazan-Wozniak, A.; Nosal-Wiercińska, A.; Pietrzak, R. Efficient dye removal by biocarbon obtained by chemical recycling of waste from the herbal industry. Ind. Crops Prod. 2024, 220, 119254. [Google Scholar] [CrossRef]
- Jedynak, K.; Charmas, B.; Wawrzaszek, B. Preparation of activated biocarbons from cones and their potential application for adsorption of antibiotics (tetracycline). ChemPhysChem 2024, 25, e202300777. [Google Scholar] [CrossRef] [PubMed]
- Streit, A.F.M.; Collazzo, G.C.; Druzian, S.P.; Verdi, R.S.; Foletto, E.L.; Oliveira, L.F.S.; Dotto, G.L. Adsorption of ibuprofen, ketoprofen, and paracetamol onto activated carbon prepared from effluent treatment plant sludge of the beverage industry. Chemosphere 2021, 262, 128322. [Google Scholar] [CrossRef] [PubMed]
- Trivedi, Y.; Sharma, M.; Mishra, R.K.; Sharma, A.; Joshi, J.; Gupta, A.B.; Achintya, B.; Shah, K.; Vuppaladadiyamd, A.K. Biochar potential for pollutant removal during wastewater treatment: A comprehensive review of separation mechanisms, technological integration, and process analysis. Desalination 2025, 600, 118509. [Google Scholar] [CrossRef]
- Bayar, J.; Ali, N.; Dong, Y.; Ahmad, U.; Anjum, M.M.; Khan, G.R.; Zaib, M.; Jalal, A.; Ali, R.; Ali, L. Biochar-based adsorption for heavy metal removal in water: A sustainable and cost-effective approach. Environ. Geochem. Health 2024, 46, 428. [Google Scholar] [CrossRef] [PubMed]
- Wang, B.; Lan, J.; Bo, C.; Gong, B.; Ou, J. Adsorption of heavy metal onto biomass-derived activated carbon: Review. RSC Adv. 2023, 13, 4275–4302. [Google Scholar] [CrossRef] [PubMed]
- Souza, T.F.; Ferreira, G.M.D. Biochars as Adsorbents of Pesticides: Laboratory-Scale Performances and Real-World Contexts, Challenges, and Prospects. ACS ES&T Water 2024, 4, 4264. [Google Scholar] [CrossRef]
- Jedynak, K.; Charmas, B. Activated biocarbons obtained from lignocellulosic precursors as potential adsorbents of ammonia. Physicochem. Probl. Miner. Process. 2023, 59, 169835. [Google Scholar] [CrossRef]
- Shi, X.; Cao, S.; Si, C.; Liu, Z.; Dong, Y.; Sun, J. Biocarbon nanoadsorbents derived from walnut shell and their excellent adsorption of trinitrotoluene from wastewater. Adv. Compos. Hybrid Mater. 2025, 8, 205. [Google Scholar] [CrossRef]
- Ramutshatsha-Makhwedzha, D.; Mavhungu, A.; Moropeng, M.L.; Mbaya, R. Activated carbon derived from waste orange and lemon peels for the adsorption of methyl orange and methylene blue dyes from wastewater. Heliyon 2022, 8, e09930. [Google Scholar] [CrossRef] [PubMed]
- Gęca, M.; Wiśniewska, M.; Nowicki, P. Biochars and activated carbons as adsorbents of inorganic and organic compounds from multicomponent systems—A review. Adv. Colloid Interface Sci. 2022, 305, 102687. [Google Scholar] [CrossRef] [PubMed]
- Skwarek, E.; Gładysz Płaska, A.; Bolbukh, Y. Adsorption of Uranyl Ions at the Nano-hydroxyapatite and Its Modification. Nanoscale Res. Lett. 2017, 12, 278. [Google Scholar] [CrossRef] [PubMed]
- Cano, F.J.; Sánchez-Albores, R.; Ashok, A.; Escorcia-García, J.; Cruz-Salomón, A.; Reyes−Vallejo, O.; Sebastian, P.J.; Velumani, S. Carica papaya seed- derived functionalized biochar: An environmentally friendly and efficient alternative for dye adsorption. J. Mater. Sci. Mater. Electron. 2025, 36, 663. [Google Scholar] [CrossRef]
- Cano, F.J.; Reyes-Vallejo, O.; Sánchez-Albores, R.M.; Sebastian, P.J.; Cruz-Salomón, A.; Hernández-Cruz, M.C.; Montejo-López, W.; González Reyes, M.; Serrano Ramirez, R.P.; Torres-Ventura, H.H. Activated Biochar from Pineapple Crown Biomass: A High-Efficiency Adsorbent for Organic Dye Removal. Sustainability 2025, 17, 99. [Google Scholar] [CrossRef]
- Dolas, H. Activated carbon synthesis and methylene blue adsorption from pepper stem using microwave assisted impregnation method: Isotherm and kinetics. J. King Saud Univ.—Sci. 2023, 35, 102559. [Google Scholar] [CrossRef]
- Jawad, A.H.; Abd Malek, N.N.; Khadiran, T.; Alothman, Z.A.; Yaseen, Z.M. Mesoporous high-surface-area activated carbon from biomass waste via microwave-assisted-H3PO4 activation for methylene blue dye adsorption: An optimized process. Diam. Relat. Mater. 2022, 128, 109288. [Google Scholar] [CrossRef]
- Azlan Zahari, K.F.; Sahu, U.K.; Khadiran, T.; Surip, S.N.; Alothman, Z.A.; Jawad, A.H. Mesoporous Activated Carbon from Bamboo Waste via Microwave-Assisted K2CO3 Activation: Adsorption Optimization and Mechanism for Methylene Blue Dye. Separations 2022, 9, 390. [Google Scholar] [CrossRef]
- Du, C.; Yang, H.; Wu, Z.; Ge, X.; Cravotto, G.; Ye, B.C.; Kaleem, I. Microwave-assisted preparation of almond shell-based activated carbon for methylene blue adsorption. Green Process. Synth. 2016, 5, 395. [Google Scholar] [CrossRef]
- Jawad, A.H.; Abdulhameed, A.S.; Bahrudin, N.N.; Hum, N.N.M.F.; Surip, S.N.; Syed-Hassan, S.S.A.; Yousif, E.; Sabar, S. Microporous activated carbon developed from KOH activated biomass waste: Surface mechanistic study of methylene blue dye adsorption. Water Sci. Technol. 2021, 84, 1858. [Google Scholar] [CrossRef] [PubMed]
- Wiśniewska, M.; Nowicki, P.; Szewczuk-Karpisz, K.; Gęca, M.; Jędruchniewicz, K.; Oleszczuk, P. Simultaneous removal of toxic Pb(II) ions, poly(acrylic acid) and Triton X-100 from their mixed solution using engineered biochars obtained from horsetail herb precursor—Impact of post-activation treatment. Sep. Purif. Technol. 2021, 276, 119297. [Google Scholar] [CrossRef]
- Wiśniewska, M.; Urban, T.; Tokarska, K.; Marciniak, P.; Giel, A.; Nowicki, P. Removal of organic dyes, polymers and surfac-tants using carbonaceous materials derived from walnut shells. Materials 2024, 17, 1987. [Google Scholar] [CrossRef] [PubMed]
- Nowicki, P.; Kaźmierczak, M.; Wiśniewska, M. Adsorption of organic pollutants on carbonaceous adsorbents prepared by direct activation of sweet cherry stones. ChemPhysChem 2024, 25, e202300859. [Google Scholar] [CrossRef] [PubMed]
- Reyes-Vallejo, O.; Sánchez-Albores, R.M.; Escorcia-García, J.; Cruz-Salomón, A.; Bartolo-Pérez, P.; Adhikari, A.; del Carmen Hernández-Cruz, M.; Torres-Ventura, H.H.; Esquinca-Avilés, H.A. Green synthesis of CaO-Fe3O4 composites for photocatalytic degradation and adsorption of synthetic dyes. Environ. Sci. Pollut. Res. 2025, 32, 9901. [Google Scholar] [CrossRef] [PubMed]
- PN ISO 1171:2002; Solid Mineral Fuels—Determination of Ash Content. Polish Committee for Standardization: Warsaw, Poland, 2002.
- Wu, H.; Lu, W.; Chen, Y.; Zhang, P.; Cheng, X. Application of Boehm Titration for the Quantitative Measurement of Soot Oxygen Functional Groups. Energy Fuels 2020, 34, 7363. [Google Scholar] [CrossRef]
- Janusz, W. Electrical double layer at the metal oxide–electrolyte interface. In Interfacial Forces and Fields: Theory and Applications; Hsu, J.-P., Ed.; Marcel Dekker: New York, NY, USA, 1999; Volume 85, Chapter 4. [Google Scholar]
- Oshima, H. A simple expansion for Henry’s function for the retardation effect in electrophoresis of spherical colloidal particles. J. Colloid Interface Sci. 1994, 168, 269–271. [Google Scholar] [CrossRef]
- ASTM D4607-94(2006); Test Method for Determination of Iodine Number of Activated Carbon. ASTM International: West Conshohocken, PA, USA, 2006.
- Goodarzi, M.; Goodarzi, T. Spectrophotometric Determination of Acidity Constants of Thiamine in Water, Water-Triton X-100 Micellar Media Solutions. Iran J. Chem. Chem. Eng. 2008, 27, 15–20. [Google Scholar] [CrossRef]
- Wawrzkiewicz, M.; Podkościelna, B.; Podkościelny, P.; Gilev, J.B. New Methyl Methacrylate Derived Adsorbents–Synthesis, Characterization and Adsorptive Removal of Toxic Organic Compounds. ChemPhysChem 2024, 25, e202300719. [Google Scholar] [CrossRef] [PubMed]
- Liu, Y. Is the free energy change of adsorption correctly calculated? J. Chem. Eng. Data 2009, 54, 1981–1985. [Google Scholar] [CrossRef]


















| Element | Content [mg/g] | ||||
|---|---|---|---|---|---|
| Sage Stems | AH_C | AH_M | AK_C | AK_M | |
| Si | 2.1 | 0.9 | 0.7 | 1.1 | 2.2 |
| P | 0.4 | 15.2 | 8.2 | 0.1 | 0.3 |
| S | 0.3 | 0.1 | 0.1 | 0.1 | 0.1 |
| Cl | 0.7 | 0.1 | 0.0 | 0.3 | 1.0 |
| K | 8.2 | 0.0 | 0.1 | 0.2 | 0.4 |
| Ca | 6.9 | 2.0 | 1.9 | 0.3 | 0.9 |
| Ti | 0.2 | 0.0 | 0.1 | 0.1 | 0.1 |
| Cr | 0.0 | 1.1 | 0.0 | 0.2 | 0.0 |
| Mn | 0.1 | 0.1 | 0.0 | 0.0 | 0.0 |
| Fe | 0.5 | 4.8 | 0.3 | 0.4 | 0.3 |
| Ni | 0.0 | 2.5 | 0.0 | 0.1 | 0.0 |
| Cu | 0.1 | 0.5 | 0.1 | 0.1 | 0.6 |
| Sample | Cdaf [wt.%] | Hdaf [wt.%] | Ndaf [wt.%] | Odiff [wt.%] |
|---|---|---|---|---|
| AH_C | 85.3 | 2.7 | 0.9 | 11.1 |
| AH_M | 71.9 | 2.6 | 1.3 | 24.2 |
| AK_C | 79.8 | 2.3 | 1.1 | 16.8 |
| AK_M | 78.2 | 2.2 | 1.1 | 18.5 |
| Sample | Total 1 | Micropore | Micropore Contribution [%] | Mean Pore Size [nm] | ||
|---|---|---|---|---|---|---|
| Surface Area [m2/g] | Pore Volume [cm3/g] | Area [m2/g] | Volume [cm3/g] | |||
| AH_C | 820 | 0.837 | 116 | 0.045 | 5.4 | 4.08 |
| AH_M | 1151 | 1.103 | 224 | 0.093 | 8.4 | 3.84 |
| AK_C | 228 | 0.144 | 157 | 0.073 | 50.7 | 2.53 |
| AK_M | 471 | 0.255 | 376 | 0.174 | 68.2 | 2.17 |
| Sample | pH of Water Extracts | Acidic Group Content [mmol/g] | Basic Group Content [mmol/g] | Total Content of Surface Groups [mmol/g] |
|---|---|---|---|---|
| Sage stems | 6.37 | 1.55 | 1.25 | 2.80 |
| AH_C | 2.50 | 1.05 | 0.00 | 1.05 |
| AH_M | 2.32 | 2.76 | 0.00 | 2.76 |
| AK_C | 5.73 | 0.99 | 0.49 | 1.48 |
| AK_M | 5.45 | 1.08 | 0.33 | 1.41 |
| Sample | qexp [mg/g] | Langmuir Model | Freundlich Model | ||||
|---|---|---|---|---|---|---|---|
| qm [mg/g] | R2 | KL [dm3/mg] | 1/n | R2 | KF [mg/g (mg/dm3)1/n] | ||
| Methylene Blue | |||||||
| Sage stems | 5.9 | 6.2 | 0.985 | 0.15 | 0.305 | 0.904 | 2.65 |
| AH_C | 143.8 | 142.8 | 0.997 | 14.00 | 0.131 | 0.862 | 112.35 |
| AH_M | 289.6 | 285.7 | 0.999 | 35.00 | 0.085 | 0.980 | 257.22 |
| AK_C | 22.8 | 24.7 | 0.980 | 1.36 | 0.240 | 0.958 | 11.72 |
| AK_M | 56.3 | 55.9 | 0.999 | 29.83 | 0.069 | 0.964 | 49.70 |
| Triton X-100 | |||||||
| AH_C | 517.7 | 580.3 | 0.996 | 0.02 | 0.399 | 0.901 | 55.80 |
| AH_M | 644.3 | 708.1 | 0.996 | 0.03 | 0.303 | 0.879 | 116.32 |
| AK_C | 19.6 | 23.3 | 0.908 | 0.01 | 0.415 | 0.710 | 1.69 |
| AK_M | 38.8 | 54.7 | 0.970 | 0.01 | 0.452 | 0.886 | 3.12 |
| Sample | qexp [mg/g] | Pseudo-First-Order | Pseudo-Second-Order | ||||
|---|---|---|---|---|---|---|---|
| qcal [mg/g] | k1 [1/min] | R2 | qcal [mg/g] | k2 [1/min] | R2 | ||
| Methylene Blue | |||||||
| AH_C | 84.4 | 36.2 | 0.0135 | 0.897 | 86.0 | 0.0010 | 0.999 |
| AH_M | 187.9 | 19.0 | 0.0152 | 0.903 | 188.7 | 0.0023 | 0.999 |
| Triton X-100 | |||||||
| AH_C | 273.3 | 45.2 | 0.0221 | 0.924 | 275.2 | 0.0015 | 0.999 |
| AH_M | 361.9 | 31.5 | 0.0209 | 0.927 | 363.4 | 0.0020 | 0.999 |
| Sample | First Step | Second Step | Third Step | |||
|---|---|---|---|---|---|---|
| ki1 [mg/g min0.5] | R21 | ki2 [mg/g min0.5] | R22 | ki3 [mg/g min0.5] | R23 | |
| Methylene Blue | ||||||
| AH_C | 3.134 | 0.992 | 1.778 | 0.975 | 0.872 | 0.977 |
| AH_M | 7.540 | 0.990 | 3.520 | 0.969 | 0.284 | 0.843 |
| Triton X-100 | ||||||
| AH_C | 16.088 | 0.997 | 3.073 | 0.781 | 0.265 | 0.663 |
| AH_M | 11.667 | 0.993 | 2.293 | 0.685 | 0.068 | 0.996 |
| Activated Biocarbon Precursor | Preparation Procedure | Maximal Adsorbed Amount [mg/g] | Reference |
|---|---|---|---|
| Methylene Blue | |||
| Sage stems | Chemical activation with H3PO4 (conventional heating) | 157.9 | This study |
| Sage stems | Chemical activation with H3PO4 (microwave heating) | 298.4 | This study |
| Papaya seed, pineapple crown | Pyrolysis and functionalization with mixed acid solution (H2SO4 and H3PO4) | 470.2 | [21,22] |
| Pepper stalks | Chemical activation with H3PO4 (microwave heating) | 75.0 | [23] |
| Rubber seed pericarp | Chemical activation with H3PO4 (microwave heating) | 347.8 | [24] |
| Bamboo waste | Chemical activation with K2CO3 (microwave heating) | 85.6 | [25] |
| Almond shell | Chemical activation with ZnCl2 (microwave heating) | 314.2 | [26] |
| Sugarcane bagasse waste | Chemical activation with KOH (conventional heating) | 136.5 | [27] |
| Triton X-100 | |||
| Sage stems | Chemical activation with H3PO4 (conventional heating) | 517.7 | This study |
| Sage stems | Chemical activation with H3PO4 (microwave heating) | 644.3 | This study |
| Horsetail herb | Physical activation with steam (conventional heating) | 20.0 | [28] |
| Walnut shells | Chemical activation with H3PO4 (conventional heating) | 61.8 | [29] |
| Sweet cherry stones | Physical activation with carbon dioxide (microwave heating) | 86.5 | [30] |
| Sample | T [°C] | T [K] | Ka [dm3/g] | ΔG0 [kJ/mol] | ΔH0 [kJ/mol] | ΔS0 [kJ/mol K] |
|---|---|---|---|---|---|---|
| Methylene Blue | ||||||
| AH_C | 20 | 293 | 14.93 | −6.70 | −17.22 | −35.01 |
| 30 | 303 | 13.28 | −6.62 | |||
| 40 | 313 | 9.62 | −5.99 | |||
| AH_M | 20 | 293 | 43.55 | −9.35 | −30.81 | −72.76 |
| 30 | 303 | 22.05 | −7.92 | |||
| 40 | 313 | 20.04 | −7.93 | |||
| Triton X-100 | ||||||
| AH_C | 20 | 293 | 8.94 | −5.34 | 3.67 | 31.11 |
| 30 | 303 | 10.79 | −5.99 | |||
| 40 | 313 | 9.82 | −5.94 | |||
| AH_M | 20 | 293 | 15.55 | −6.68 | −2.65 | 13.54 |
| 30 | 303 | 13.82 | −6.62 | |||
| 40 | 313 | 14.53 | −6.96 | |||
Disclaimer/Publisher’s Note: The statements, opinions and data contained in all publications are solely those of the individual author(s) and contributor(s) and not of MDPI and/or the editor(s). MDPI and/or the editor(s) disclaim responsibility for any injury to people or property resulting from any ideas, methods, instructions or products referred to in the content. |
© 2025 by the authors. Licensee MDPI, Basel, Switzerland. This article is an open access article distributed under the terms and conditions of the Creative Commons Attribution (CC BY) license (https://creativecommons.org/licenses/by/4.0/).
Share and Cite
Koczenasz, J.; Nowicki, P.; Tokarska, K.; Wiśniewska, M. Activated Biocarbons Based on Salvia officinalis L. Processing Residue as Adsorbents of Pollutants from Drinking Water. Molecules 2025, 30, 3037. https://doi.org/10.3390/molecules30143037
Koczenasz J, Nowicki P, Tokarska K, Wiśniewska M. Activated Biocarbons Based on Salvia officinalis L. Processing Residue as Adsorbents of Pollutants from Drinking Water. Molecules. 2025; 30(14):3037. https://doi.org/10.3390/molecules30143037
Chicago/Turabian StyleKoczenasz, Joanna, Piotr Nowicki, Karina Tokarska, and Małgorzata Wiśniewska. 2025. "Activated Biocarbons Based on Salvia officinalis L. Processing Residue as Adsorbents of Pollutants from Drinking Water" Molecules 30, no. 14: 3037. https://doi.org/10.3390/molecules30143037
APA StyleKoczenasz, J., Nowicki, P., Tokarska, K., & Wiśniewska, M. (2025). Activated Biocarbons Based on Salvia officinalis L. Processing Residue as Adsorbents of Pollutants from Drinking Water. Molecules, 30(14), 3037. https://doi.org/10.3390/molecules30143037

