Conifer By-Products Extracted Using Hydrodynamic Cavitation as a Convenient Source of Phenolic Compounds and Free Amino Acids with Antioxidant and Antimicrobial Properties
Abstract
1. Introduction
2. Results and Discussion
2.1. Extraction of Conifer Resources
2.2. Total Extraction Yield
2.3. Phytochemical Composition of Conifer Extracts
2.4. Antioxidant Properties
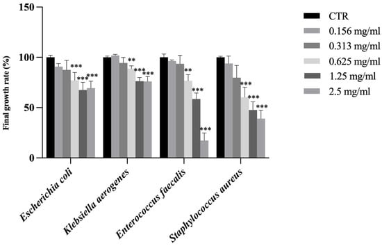
2.5. Antimicrobial Activity of the Extracts
2.6. Overall Rate of Results with Principal Component Analysis
3. Materials and Methods
3.1. Chemicals and Reagents
3.2. Origin, Nature and Extraction of Conifer Resources
3.3. Extraction Technique
3.4. Extraction Yield
3.5. Phytochemical Characterization of the Conifer Extracts
3.5.1. Extract Preparation
3.5.2. Determination of the Total Phenols, Flavonoids, Flavonols and Anthocyanins
3.5.3. Determination of Phenolic and Free Amino Acid Profiles of the Extracts
3.6. Evaluation of Biological Properties of Conifer Extracts
3.6.1. In Vitro Antioxidant Activity Assays
3.6.2. Ex Vivo Antioxidant Activity Assay
Animals
Thiobarbituric Acid-Reactive Substance (TBARS) Assay
3.6.3. Determination of the Antimicrobial Activity
3.7. Statistical Analysis
4. Conclusions
Author Contributions
Funding
Institutional Review Board Statement
Informed Consent Statement
Data Availability Statement
Conflicts of Interest
References
- Arias, A.; González-García, S.; Feijoo, G.; Moreira, M.T. Tannin-Based Bio-Adhesives for the Wood Panel Industry as Sustainable Alternatives to Petrochemical Resins. J. Ind. Ecol. 2022, 26, 627–642. [Google Scholar] [CrossRef]
- Aires, A.; Carvalho, R.; Saavedra, M.J. Valorization of Solid Wastes from Chestnut Industry Processing: Extraction and Optimization of Polyphenols, Tannins and Ellagitannins and Its Potential for Adhesives, Cosmetic and Pharmaceutical Industry. Waste Manag. 2016, 48, 457–464. [Google Scholar] [CrossRef]
- Fidelis, M.; Tienaho, J.; Meneguzzo, F.; Pihlava, J.-M.; Rudolfsson, M.; Järvenpää, E.; Imao, H.; Hellström, J.; Liimatainen, J.; Kilpeläinen, P.; et al. Spruce, pine and fir needles as sustainable ingredients for whole wheat bread fortification: Enhancing nutritional and functional properties. LWT 2024, 213, 117055. [Google Scholar] [CrossRef]
- Fraga-Corral, M.; Otero, P.; Echave, J.; Garcia-Oliveira, P.; Carpena, M.; Jarboui, A.; Nuñez-Estevez, B.; Simal-Gandara, J.; Prieto, M.A. By-Products of Agri-Food Industry as Tannin-Rich Sources: A Review of Tannins’ Biological Activities and Their Potential for Valorization. Foods 2021, 10, 137. [Google Scholar] [CrossRef]
- Bustos, M.C.; Perez, G.T.; Leon, A.E. Structure and quality of pasta enriched with functional ingredients. RSC Adv. 2015, 5, 30780–30792. [Google Scholar] [CrossRef]
- Park, J.H.; Kim, J.D.; Lee, T.-K.; Han, X.; Sim, H.; Kim, B.; Lee, J.-C.; Ahn, J.H.; Lee, C.-H.; Kim, D.W.; et al. Neuroprotective and Anti-Inflammatory Effects of Pinus densiflora Bark Extract in Gerbil Hippocampus Following Transient Forebrain Ischemia. Molecules 2021, 26, 4592. [Google Scholar] [CrossRef] [PubMed]
- Ohkita, M.; Kiso, Y.; Matsumura, Y. Pharmacology in Health Foods: Improvement of Vascular Endothelial Function by French Maritime Pine Bark Extract (Flavangenol). J. Pharmacol. Sci. 2011, 115, 461–465. [Google Scholar] [CrossRef]
- Liu, X.; Wei, J.; Tan, F.; Zhou, S.; Würthwein, G.; Rohdewald, P. Antidiabetic Effect of Pycnogenol® French Maritime Pine Bark Extract in Patients with Diabetes Type II. Life Sci. 2004, 75, 2505–2513. [Google Scholar] [CrossRef]
- Frevel, M.A.E.; Pipingas, A.; Grigsby, W.J.; Frampton, C.M.; Gilchrist, N.L. Production, Composition and Toxicology Studies of Enzogenol® Pinus Radiata Bark Extract. Food Chem. Toxicol. 2012, 50, 4316–4324. [Google Scholar] [CrossRef]
- Watson, R.R. Pycnogenol® and Cardiovascular Health. Evid.-Based Integr. Med. 2004, 1, 27–32. [Google Scholar] [CrossRef]
- Gabaston, J.; Richard, T.; Biais, B.; Waffo-Teguo, P.; Pedrot, E.; Jourdes, M.; Corio-Costet, M.F.; Mérillon, J.M. Stilbenes from common spruce (Picea abies) bark as natural antifungal agent against downy mildew (Plasmopara viticola). Ind. Crops Prod. 2017, 103, 267–273. [Google Scholar] [CrossRef]
- Jyske, T.; Laakso, T.; Latva-Mäenpää, H.; Tapanila, T.; Saranpää, P. Yield of Stilbene Glucosides from the Bark of Young and Old Norway Spruce Stems. Biomass Bioenergy 2014, 71, 216–227. [Google Scholar] [CrossRef]
- Li, S.H.; Niu, X.M.; Zahn, S.; Gershenzon, J.; Weston, J.; Schneider, B. Diastereomeric Stilbene Glucoside Dimers from the Bark of Norway Spruce (Picea abies). Phytochemistry 2008, 69, 772–782. [Google Scholar] [CrossRef] [PubMed]
- Rencoret, J.; Neiva, D.; Marques, G.; Gutiérrez, A.; Kim, H.; Gominho, J.; Pereira, H.; Ralph, J.; Del Río, J.C. Hydroxystilbene Glucosides Are Incorporated into Norway Spruce Bark Lignin. Plant Physiol. 2019, 180, 1310–1321. [Google Scholar] [CrossRef]
- Kiselev, K.V.; Grigorchuk, V.P.; Ogneva, Z.V.; Suprun, A.R.; Dubrovina, A.S. Stilbene biosynthesis in the needles of spruce Picea jezoensis. Phytochemistry 2016, 131, 57–67. [Google Scholar] [CrossRef]
- Salzano de Luna, M.; Vetrone, G.; Viggiano, S.; Panzella, L.; Marotta, A.; Filippone, G.; Ambrogi, V. Pine Needles as a Biomass Resource for Phenolic Compounds: Trade-Off between Efficiency and Sustainability of the Extraction Methods by Life Cycle Assessment. ACS Sustain. Chem. Eng. 2023, 11, 4670–4677. [Google Scholar] [CrossRef]
- Ferreira-Santos, P.; Zanuso, E.; Genisheva, Z.; Rocha, C.M.R.; Teixeira, J.A. Green and Sustainable Valorization of Bioactive Phenolic Compounds from Pinus By-Products. Molecules 2020, 25, 2931. [Google Scholar] [CrossRef]
- Xavier, L.; Freire, M.S.; Vidal-Tato, I.; González-Álvarez, J. Recovery of Phenolic Compounds from Eucalyptus Globulus Wood Wastes Using PEG/Phosphate Aqueous Two-Phase Systems. Waste Biomass Valorization 2017, 8, 443–452. [Google Scholar] [CrossRef]
- Spinelli, S.; Costa, C.; Conte, A.; La Porta, N.; Padalino, L.; Del Nobile, M.A. Bioactive Compounds from Norway Spruce Bark: Comparison Among Sustainable Extraction Techniques for Potential Food Applications. Foods 2019, 8, 524. [Google Scholar] [CrossRef]
- Ghitescu, R.E.; Volf, I.; Carausu, C.; Bühlmann, A.M.; Gilca, I.A.; Popa, V.I. Optimization of ultrasound-assisted extraction of polyphenols from spruce wood bark. Ultrason. Sonochemistry 2015, 22, 535–541. [Google Scholar] [CrossRef]
- Nisca, A.; Ștefănescu, R.; Stegăruș, D.I.; Mare, A.D.; Farczadi, L.; Tanase, C. Phytochemical Profile and Biological Effects of Spruce (Picea abies) Bark Subjected to Ultrasound Assisted and Microwave-Assisted Extractions. Plants 2021, 10, 870. [Google Scholar] [CrossRef] [PubMed]
- Strižincová, P.; Ház, A.; Burčová, Z.; Feranc, J.; Kreps, F.; Šurina, I.; Jablonský, M. Spruce Bark—A Source of Polyphenolic Compounds: Optimizing the Operating Conditions of Supercritical Carbon Dioxide Extraction. Molecules 2019, 24, 4049. [Google Scholar] [CrossRef]
- Borrega, M.; Kalliola, A.; Määttänen, M.; Borisova, A.S.; Mikkelson, A.; Tamminen, T. Alkaline extraction of polyphenols for valorization of industrial spruce bark. Bioresour. Technol. Rep. 2022, 19, 101129. [Google Scholar] [CrossRef]
- Meneguzzo, F.; Zabini, F. Industrialization of hydrodynamic cavitation in plant resource extraction. Curr. Opin. Chem. Eng. 2025, 48, 101140. [Google Scholar] [CrossRef]
- Jinze, D.; Evgen, M.; Xinyue, D.; Lei, W.; Tapani, V. Valorization of long-neglected spruce bark and bark-press effluents through integrated utilization of stilbenoids and pectin. Chem. Eng. J. 2023, 470, 144122. [Google Scholar] [CrossRef]
- Tienaho, J.; Liimatainen, J.; Myllymäki, L.; Kaipanen, K.; Tagliavento, L.; Ruuttunen, K.; Rudolfsson, M.; Karonen, M.; Marjomäki, V.; Hagerman, A.E.; et al. Pilot scale hydrodynamic cavitation and hot-water extraction of Norway spruce bark yield antimicrobial and polyphenol-rich fractions. Sep. Purif. Technol. 2025, 360, 130925. [Google Scholar] [CrossRef]
- Albanese, L.; Ciriminna, R.; Meneguzzo, F.; Pagliaro, M. Beer-brewing powered by controlled hydrodynamic cavitation: Theory and real-scale experiments. J. Clean. Prod. 2017, 142, 1457–1470. [Google Scholar] [CrossRef]
- Flori, L.; Albanese, L.; Calderone, V.; Meneguzzo, F.; Pagliaro, M.; Ciriminna, R.; Zabini, F.; Testai, L. Cardioprotective Effects of Grapefruit IntegroPectin Extracted via Hydrodynamic Cavitation from By-Products of Citrus Fruits Industry: Role of Mitochondrial Potassium Channels. Foods 2022, 11, 2799. [Google Scholar] [CrossRef]
- Albanese, L.; Bonetti, A.; D’Acqui, L.P.; Meneguzzo, F.; Zabini, F. Affordable Production of Antioxidant Aqueous Solutions by Hydrodynamic Cavitation Processing of Silver Fir (Abies alba Mill.). Needles Foods 2019, 8, 65. [Google Scholar] [CrossRef]
- Meneguzzo, F.; Albanese, L.; Faraloni, C.; Meneguzzo, C.; Tagliavento, L.; Zabini, F. Pilot Scale Tannin Extraction from Chestnut Wood Waste Using Hydrodynamic Cavitation. In Towards a Smart, Resilient and Sustainable Industry; Borgianni, Y., Matt, D.T., Molinaro, M., Orzes, G., Eds.; Lecture Notes in Networks and Systems; Springer: Berlin/Heidelberg, Germany, 2023; Volume 745. [Google Scholar] [CrossRef]
- Benedetti, G.; Flori, L.; Spezzini, J.; Miragliotta, V.; Lazzarini, G.; Pirone, A.; Meneguzzo, C.; Tagliavento, L.; Martelli, A.; Antonelli, M.; et al. Improved Cardiovascular Effects of a Novel Pomegranate Byproduct Extract Obtained through Hydrodynamic Cavitation. Nutrients 2024, 16, 506. [Google Scholar] [CrossRef]
- Arya, S.S.; More, P.R.; Ladole, M.R.; Pegu, K.; Pandit, A.B. Non-thermal, energy efficient hydrodynamic cavitation for food processing, process intensification and extraction of natural bioactives: A review. Ultrason. Sonochem. 2023, 98, 106504. [Google Scholar] [CrossRef]
- Metsämuuronen, S.; Sirén, H. Bioactive phenolic compounds, metabolism and properties: A review on valuable chemical compounds in Scots pine and Norway spruce. Phytochem. Rev. 2019, 18, 623–664. [Google Scholar] [CrossRef]
- Kähkönen, M.P.; Hopia, A.I.; Vuorela, H.J.; Rauha, J.-P.; Pihlaja, K.; Kujala, T.S.; Heinonen, M. Antioxidant activity of plant extracts containing phenolic compounds. J. Agric. Food Chem. 1999, 47, 3954–3962. [Google Scholar] [CrossRef]
- Schoss, K.; Benedetič, R.; Kreft, S. The Phenolic Content, Antioxidative Properties and Extractable Substances in Silver Fir (Abies alba Mill.) Branches Decrease with Distance from the Trunk. Plants 2022, 11, 333. [Google Scholar] [CrossRef] [PubMed]
- Willför, S.M.; Ahotupa, M.O.; Hemming, J.E.; Reunanen, M.H.; Eklund, P.C.; Sjöholm, R.E.; Eckerman, C.S.; Pohjamo, S.P.; Holmbom, B.R. Antioxidant activity of knotwood extractives and phenolic compounds of selected tree species. J. Agric. Food Chem. 2003, 51, 7600–7606. [Google Scholar] [CrossRef] [PubMed]
- Packer, L.; Rimbach, G.; Virgili, F. Antioxidant activity and biologic properties of a procyanidin-rich extract from pine (Pinus maritima) bark, pycnogenol. Free Radic. Biol. Med. 1999, 27, 704–724. [Google Scholar] [CrossRef]
- Cuyckens, F.; Claeys, M. Mass spectrometry in the structural analysis of flavonoids. J. Mass. Spectrom. 2004, 39, 1–15. [Google Scholar] [CrossRef]
- Jeandet, P.; Douillet-Breuil, A.C.; Bessis, R.; Debord, S.; Sbaghi, M.; Adrian, M. Phytoalexins from the Vitaceae: Biosynthesis, phytoalexin gene expression in transgenic plants, antifungal activity, and metabolism. J. Agric. Food Chem. 2002, 50, 2731–2741. [Google Scholar] [CrossRef]
- Hammerbacher, L.P.; Wright, J.; Gershenzon, J. The Spruce Genome; Springer: Cham, Switzerland, 2020; p. 193. [Google Scholar]
- Roffael, E. Volatile organic compounds and formaldehyde in nature, wood and wood based panels. Holz Als Roh-Und Werkst. 2006, 64, 144–149. [Google Scholar] [CrossRef]
- Piironen, V.; Lindsay, D.G.; Miettinen, T.A.; Toivo, J.; Lampi, A.M. Plant sterols: Biosynthesis, biological function and their importance to human nutrition. J. Sci. Food Agric. 2000, 80, 939–966. [Google Scholar] [CrossRef]
- Pereira, D.M.; Valentão, P.; Pereira, J.A.; Andrade, P.B. Phenolics: From Chemistry to Biology. Molecules 2009, 14, 2202–2211. [Google Scholar] [CrossRef]
- Fengel, D.; Wegener, G. Wood—Chemistry, Ultrastructure, Reactions; Walter de Gruyter: Berlin, Germany, 1989; p. 482. [Google Scholar]
- Rice-Evans, C.; Miller, N.; Paganga, G. Antioxidant properties of phenolic compounds. Trends Plant Sci. 1997, 2, 152–159. [Google Scholar] [CrossRef]
- Prior, R.L.; Wu, X.; Schaich, K. Standardized methods for the determination of antioxidant capacity and phenolics in foods and dietary supplements. J. Agric. Food Chem. 2005, 53, 4290–4302. [Google Scholar] [CrossRef]
- Gu, L.; House, S.E.; Wu, X.; Ou, B.; Prior, R.L. Procyanidin and catechin contents and antioxidant capacity of cocoa and chocolate products. J. Agric. Food Chem. 2006, 54, 4057–4061. [Google Scholar] [CrossRef] [PubMed]
- Itagaki, S.; Kurokawa, T.; Nakata, C.; Saito, Y.; Oikawa, S.; Kobayashi, M.; Hirano, T.; Iseki, K. In vitro and in vivo antioxidant properties of ferulic acid: A comparative study with other natural oxidation inhibitors. Food Chem. 2009, 114, 466–471. [Google Scholar] [CrossRef]
- Park, Y.S.; Jeon, M.H.; Hwang, H.J.; Park, M.R.; Lee, S.H.; Kim, S.G.; Kim, M. Antioxidant activity and analysis of proanthocyanidins from pine (Pinus densiflora) needles. Nutr. Res. Pract. 2011, 5, 281–287. [Google Scholar] [CrossRef] [PubMed]
- Chmelová, D.; Škulcová, D.; Legerská, B.; Horník, M.; Ondrejovič, M. Ultrasonic-assisted extraction of polyphenols and antioxidants from Picea abies bark. J. Biotechnol. 2020, 314–315, 25–33. [Google Scholar] [CrossRef]
- Rajan, K.; Nelson, A.; Adams, J.P.; Carrie, D.J. Phytochemical Recovery for Valorization of Loblolly Pine and Sweetgum Bark Residues. ACS Sustain. Chem. Eng. 2017, 5, 4258–4266. [Google Scholar] [CrossRef]
- Xu, N.; Chen, G.; Liu, H. Antioxidative Categorization of Twenty Amino Acids Based on Experimental Evaluation. Molecules 2017, 22, 2066. [Google Scholar] [CrossRef]
- Aluko, R.E. Amino acids, peptides, and proteins as antioxidants for food preservation. In Woodhead Publishing Series in Food Science, Technology and Nutrition, Handbook of Antioxidants for Food Preservation; Shahidi, F., Ed.; Woodhead Publishing: Cambridge, UK, 2015; pp. 105–140. [Google Scholar] [CrossRef]
- Rezaeiroshan, A.; Saeedi, M.; Morteza-Semnani, K.; Akbarl, J.; Hedayatizadeh-Omran, A.; Goli, H.; Nokhodchi, A. Vesicular Formation of Trans-Ferulic Acid: An Efficient Approach to Improve the Radical Scavenging and Antimicrobial Properties. J. Pharmacol. Innov. 2022, 17, 652–661. [Google Scholar] [CrossRef]
- Borges, A.; Ferreira, C.; Saavedra, M.J.; Simões, M. Antibacterial activity and mode of action of ferulic and gallic acids against pathogenic bacteria. Microb. Drug Resist. 2013, 19, 256–265. [Google Scholar] [CrossRef] [PubMed]
- Vainio-Kaila, T.; Zhang, X.; Hänninen, T.; Kyyhkynen, A.; Johansson, L.S.; Willför, S.; Österberg, M.; Siitonen, A.; Rautkari, L. Antibacterial effects of wood structural components and extractives from Pinus sylvestris and Picea abies on methicillin-resistant Staphylococcus aureus and Escherichia coli O157:H7. BioResources 2017, 12, 7601–7614. [Google Scholar] [CrossRef]
- Bakkali, F.; Averbeck, S.; Averbeck, D.; Idaomar, M. Biological effects of essential oils–A review. Food Chem. Toxicol. 2008, 46, 446–475. [Google Scholar] [CrossRef]
- Silhavy, T.J.; Kahne, D.; Walker, S. The bacterial cell envelope. Cold Spring Harb. Perspect. Biol. 2010, 2, a000414. [Google Scholar] [CrossRef]
- Ayaz, M.; Ullah, F.; Sadiq, A.; Ullah, F.; Ovais, M.; Ahmed, J.; Devkota, H.P. Synergistic interactions of phytochemicals with antimicrobial agents: Potential strategy to counteract drug resistance. Chem. -Biol. Interact. 2019, 308, 294–303. [Google Scholar] [CrossRef]
- Bagal, M.V.; Gogate, P.R. Wastewater treatment using hybrid treatment schemes based on cavitation and Fenton chemistry: A review. Ultrason. Sonochemistry 2014, 21, 1–14. [Google Scholar] [CrossRef]
- Wu, Y.; Xiang, C.; Mou, J.; Qian, H.; Duan, Z.; Zhang, S.; Zhou, P. Numerical study of rotating cavitation and pressure pulsations in a centrifugal pump impeller. AIP Adv. 2024, 14, 105024. [Google Scholar] [CrossRef]
- Qasim, M.; Aziz, I.; Rasheed, M.; Gul, B.; Khan, M.A. Effect of Extraction Solvents on Polyphenols and Antioxidant Activity of Medicinal Halophytes. Pak. J. Bot. 2016, 48, 621–627. [Google Scholar]
- Singleton, V.L.; Orthofer, R.; Lamuela-Raventós, R.M. Oxidants and Antioxidants Part A.; Packer, L., Ed.; Academic Press: Cambridge, MA, USA, 1999; Volume 299, p. 152. [Google Scholar]
- Kim, D.O.; Chun, O.K.; Kim, Y.J.; Moon, H.Y.; Lee, C.Y. Quantification of polyphenolics and their antioxidant capacity in fresh plums. J. Agric. Food Chem. 2003, 51, 6509–6515. [Google Scholar] [CrossRef]
- Souid, A.; Gabriele, M.; Longo, V.; Pucci, L.; Bellani, L.; Smaoui, A.; Abdelly, C.; Hamed, K.B. Salt tolerance of the halophyte Limonium delicatulum is more associated with antioxidant enzyme activities than phenolic compounds. Funct. Plant Biol. 2016, 43, 607–619. [Google Scholar] [CrossRef]
- Lee, J.; Durst, R.W.; Wrolstad, R.E. Determination of total monomeric anthocyanin pigment content of fruit juices, beverages, natural colorants, and wines by the pH differential method: Collaborative study. J. AOAC Int. 2005, 88, 1269–1278. [Google Scholar] [CrossRef] [PubMed]
- Vornoli, A.; Grande, T.; Lubrano, V.; Vizzarri, F.; Gorelli, C.; Raffaelli, A.; Della Croce, C.M.; Baca, S.Z.; Sandoval, C.; Longo, V.; et al. In Vitro Characterization of Antioxidant, Antibacterial and Antimutagenic Activities of the Green Microalga Ettlia pseudoalveolaris. Antioxidants 2023, 12, 1308. [Google Scholar] [CrossRef] [PubMed]
- Boudjou, S.; Oomah, B.D.; Zaidi, F.; Hosseinian, F. Phenolics content and antioxidant and anti-inflammatory activities of legume fractions. Food Chem. 2013, 138, 1543–1550. [Google Scholar] [CrossRef] [PubMed]
- Grande, T.; Souid, A.; Ciardi, M.; Della Croce, C.M.; Frassinetti, S.; Bramanti, E.; Longo, V.; Pozzo, L. Evaluation of antioxidant and antimicrobial activities of whole flours obtained from different species of Triticum genus. Eur. Food Res. Technol. 2023, 249, 1575–1587. [Google Scholar] [CrossRef]
- Ciccone, L.; Camodeca, C.; Tonali, N.; Barlettani, L.; Rossello, A.; Fruchart Gaillard, C.; Kaffy, J.; Petrarolo, G.; La Motta, C.; Nencetti, S.; et al. New Hybrid Compounds Incorporating Natural Products as Multifunctional Agents against Alzheimer’s Disease. Pharmaceutics 2023, 15, 2369. [Google Scholar] [CrossRef]
- Pozzo, L.; Grande, T.; Raffaelli, A.; Longo, L.; Weidner, S.; Amarowicz, R.; Karamać, M. Characterization of Antioxidant and Antimicrobial Activity and Phenolic Compound Profile of Extracts from Defatted Seeds of Different Vitis Species. Molecules 2023, 28, 4924. [Google Scholar] [CrossRef]





| Sample | Total Extraction Yield (mg/g dw) |
|---|---|
| SFT | 135.91 B ± 1.01 |
| RAR | 164.55 A ± 6.15 |
| CAR | 141.97 B ± 8.47 |
| Sample | Total Phenols (mg GAE/g) | Flavonoids (mg CE/g) | Flavonols (mg QE/g) | Anthocyanins (µg C3GE/g) |
|---|---|---|---|---|
| SFT | 108.11 A ± 7.82 | 89.18 A ± 5.60 | 6.08 A ± 0.84 | 8.23 A ± 0.92 |
| RAR | 75.71 B ± 5.96 | 59.43 B ± 1.56 | 4.16 B ± 0.48 | 0.35 B ± 0.12 |
| CAR | 98.65 A ± 8.55 | 87.52 A ± 3.23 | 6.84 A ± 0.37 | 2.10 B ± 0.94 |
| Compound Name | Acronym | SFT | RAR | CAR |
|---|---|---|---|---|
| Gallic acid | GA | 274.30 A ± 5.52 | 74.37 B ± 0.62 | 27.55 C ± 0.05 |
| Protocatechuic acid | PRA | 357.22 A ± 2.28 | 300.91 B ± 20.74 | 348.52 A ± 1.38 |
| 3-O-Caffeoylquinic acid (Chlorogenic acid) | 3CQA | 0.65 B ± 0.04 | 1.08 A ± 0.02 | 0.34 C ± 0.07 |
| Rosmarinic acid | RA | 0.14 A ± 0.01 | 0.07 B ± 0.03 | 0.02 C ± 0.01 |
| Caffeic acid | CA | 19.98 B ± 0.01 | 6.37 C ± 0.02 | 20.40 A ± 0.16 |
| Vanillic acid | VA | 82.09 A ± 1.87 | 40.44 C ± 1.04 | 70.25 B ± 2.88 |
| p-Coumaric acid | p CA | 142.21 A ± 2.96 | 36.23 B ± 0.66 | 13.15 C ± 0.36 |
| trans-Ferulic acid | tFA | 31.68 B ± 1.83 | 15.20 C ± 0.13 | 135.33 A ± 2.47 |
| 2,3-Dicaffeoyl-tartaric acid (Chicoric acid) | DCTA | 0.11 C ± 0.00 | 4.58 A ± 0.35 | 1.47 B ± 0.10 |
| 1,3-Dicaffeoylquinic acid (Cynarin) | DCQA | 0.01 B ± 0.01 | n.d. B | 0.03 A ± 0.01 |
| ∑ Phenolic Acids | 908.39 A ± 0.31 | 479.26 C ± 21.22 | 617.06 B ± 7.37 | |
| Quercetin | Q | 0.06 B ± 0.03 | 0.58 A ± 0.00 | 0.11 B ± 0.03 |
| Quercetin 3-O-glucoside | Q3G | 0.83 B ± 0.07 | 4.33 A ± 0.23 | 0.49 B ± 0.01 |
| Quercetin 3-O-rutinoside (Rutin) | Q3R | 0.03 B ± 0.01 | 16.49 A ± 0.57 | 0.07 B ± 0.00 |
| Quercetin 3,4-O-diglucoside | QDG | 1.23 B ± 0.02 | 16.30 A ± 1.19 | 0.12 B ± 0.00 |
| Quercetagetin 3-O-glucoside | QA3G | 0.49 B ± 0.06 | 5.59 A ± 0.24 | 0.93 B ± 0.07 |
| Kaempferol 7-O-glucoside | K7G | 0.13 B ± 0.01 | 17.69 A ± 0.23 | 0.05 B ± 0.01 |
| Kaempferol 3-O-glucoside | K3G | 0.12 B ± 0.00 | 107.28 A ± 1.38 | 0.13 B ± 0.01 |
| Kaempferol 3-O-β-D-(6″-O-(E)-p-coumaroyl)glucopyranoside (Tiliroside) | K3OβDG | 0.07 B ± 0.01 | 1.24 A ± 0.10 | 0.06 B ± 0.01 |
| Kaempferol 4-O-glucoside | K4G | 1.50 B ± 0.05 | 34.91 A ± 1.45 | 0.03 B ± 0.01 |
| ∑ Flavonols | 4.45 B ± 0.15 | 204.41 A ± 1.23 | 1.97 C ± 0.13 | |
| (+)-Catechin | C | 97.14 A ± 1.45 | 91.57 B ± 0.52 | 12.67 C ± 0.23 |
| (−)-Epicatechin | EC | 7.13 A ± 0.10 | 3.81 B ± 0.11 | 1.96 C ± 0.04 |
| ∑ Flavan-3-ols | 104.27 A ± 1.56 | 95.39 B ± 0.63 | 14.63 C ± 0.27 | |
| Hesperidin | HSPD | 0.23 A ± 0.01 | 0.17 B ± 0.01 | 0.09 C ± 0.00 |
| Hesperetin | HSPT | 0.02 B ± 0.00 | 0.00 B ± 0.00 | 0.12 A ± 0.02 |
| Naringin | NGIN | 0.12 B ± 0.00 | 0.29 A ± 0.00 | 0.08 C ± 0.01 |
| Naringenin | NGENIN | 3.42 A ± 0.56 | 1.00 B± 0.19 | 0.38 B ± 0.04 |
| Eriodictyol | ERI | 1.09 A ± 0.05 | 0.45 B ± 0.05 | 0.32 C ± 0.05 |
| ∑ Flavanones | 4.88 A ± 0.61 | 1.91 B ± 0.25 | 0.98 B ± 0.10 | |
| Procyanidin B1 | PCB1 | 54.65 B ± 0.11 | 78.15 A ± 0.54 | 14.15 C ± 0.41 |
| Procyanidin B2 | PCB2 | 10.92 B ± 0.86 | 35.69 A ± 5.20 | 4.60 B ± 0.91 |
| Procyanidin B3 | PCB3 | 4.31 B ± 0.27 | 14.96 A ± 1.26 | 1.98 C ± 0.37 |
| ∑ Procyanidins | 69.88 B ± 1.24 | 128.80 A ± 6.99 | 20.73 C ± 1.69 | |
| Resveratrol 3-O-glucoside (Piceid) | R3G | 0.10 B ± 0.01 | 68.06 A ± 2.04 | 0.02 B ± 0.00 |
| Resveratrol | RES | 0.17 C ± 0.04 | 0.56 A ± 0.05 | 0.40 B ± 0.04 |
| ∑ Stilbenoids | 0.27 C ± 0.05 | 68.62 A ± 2.09 | 0.42 B ± 0.03 | |
| Hydroxytyrosol | HYT | 4.91 A ± 0.13 | 3.20 B ± 0.00 | 1.41 C ± 0.04 |
| Hydroxytyrosol a-acetate | HYTaAC | 0.03 B ± 0.00 | 0.01 B ± 0.00 | 0.63 A ± 0.02 |
| Verbascoside | VER | 0.33 A ± 0.03 | 0.06 B ± 0.01 | 0.07 B ± 0.02 |
| Oleuropein | OLE | 0.08 B ± 0.01 | 0.13 A ± 0.00 | 0.08 B ± 0.00 |
| Ligstroside | LIG | 0.01 B ± 0.00 | 0.12 A ± 0.00 | 0.02 B ± 0.00 |
| Pinosterol | PIN | 37.76 A ± 0.65 | 28.78 B ± 2.39 | 39.06 A ± 3.78 |
| Phloridzin | PHZ | 0.02 B ± 0.00 | 1.56 A ± 0.00 | 0.03 B± 0.01 |
| Phloretin | PHL | 0.20 A± 0.02 | 0.01 B ± 0.01 | 0.04 B ± 0.01 |
| Luteolin | LUT | 0.02 B ± 0.00 | 0.06 A ± 0.00 | 0.08 A ± 0.03 |
| Apigenin | AP | 0.01 C ± 0.00 | 0.05 A ± 0.00 | 0.02 B ± 0.01 |
| ∑ Others | 43.35 A ± 0.47 | 33.95 B ± 2.38 | 41.44 A ± 3.64 |
| Amino Acid | SFT | RAR | CAR |
|---|---|---|---|
| Essential Amino Acids | |||
| Valine | 112.51 A ± 0.62 | 9.38 C ± 0.12 | 99.66 B ± 0.61 |
| Threonine | 141.49 A ± 6.07 | 11.83 C ± 0.19 | 26.38 B ± 0.55 |
| Leucine | 9013.71 A ± 381.10 | 37.30 C ± 0.82 | 624.03 B ± 38.24 |
| Isoleucine | 141.90 A ± 2.70 | 8.14 C ± 0.05 | 36.47 B ± 1.14 |
| Leucine/Isoleucine | 63.50 A ± 1.48 | 4.58 C ± 0.07 | 17.10 B ± 0.51 |
| Lysine | 40.99 A ± 0.89 | 10.01 B ± 0.30 | 4.27 C ± 0.03 |
| Methionine + Cystine | 15.95 A ± 0.43 | 0.43 B ± 0.03 | 1.03 B ± 0.05 |
| Phenylalanine + Tyrosine | 328.87 A ± 5.16 | 23.62 C ± 0.50 | 81.99 B ± 2.44 |
| Histidine | 7.96 A ± 1.65 | 5.75 A,B ± 0.22 | 5.15 B ± 0.23 |
| Dispensable Amino Acids | |||
| Glycine | 12.24 A ± 0.03 | 5.30 C ± 0.18 | 10.64 B ± 0.38 |
| Alanine | 86.33 B ± 2.76 | 23.54 C ± 0.04 | 95.20 A ± 0.79 |
| Serine | 22.08 A ± 0.48 | 5.90 B ± 0.04 | 3.17 C ± 0.00 |
| Proline | 50.15 B ± 0.07 | 37.17 C ± 0.38 | 77.27 A ± 0.42 |
| Aspartic acid | 27.21 C ± 0.26 | 39.67 A ± 1.02 | 37.03 B ± 1.16 |
| Glutamic acid | 165.84 A ± 0.31 | 51.05 C ± 0.66 | 118.52 B ± 0.48 |
| Arginine | 29.39 B ± 0.35 | 83.40 A ± 0.14 | 0.52 C ± 0.05 |
| Sample | FRAP (mg TE/g) | DPPH (mg TE/g) | ORAC (mg TE/g) |
|---|---|---|---|
| SFT | 175.65 A ± 11.70 | 121.49 ± 5.51 | 687.57 A ± 71.34 |
| RAR | 104.71 C ± 3.11 | 127.23 ± 3.66 | 507.26 B ± 5.47 |
| CAR | 130.27 B ± 6.35 | 123.51 ± 5.37 | 683.31 A ± 16.43 |
| Sample | IC50 ± SEM (µg/mL) |
|---|---|
| SFT | 10.20 B ± 0.86 |
| RAR | 12.34 B ± 0.92 |
| CAR | 34.11 A ± 1.31 |
| Test ID | Resource | Fresh Biomass (kg) | Dry Biomass (kg) | Concentration (Dry Biomass to Water) a | Time (min) | Temperature (°C) |
|---|---|---|---|---|---|---|
| SFT | Silver fir twigs | 5.6 | 4.4 | 1:34 | 53 | 22.0–52.0 |
| RAR | Spruce twigs | 20.1 | 16.1 | 1:9 | 54 | 20.0–52.5 |
| CAR | Spruce bark | 23.7 | 19.0 | 1:8 | 58 | 20.0–55.5 |
Disclaimer/Publisher’s Note: The statements, opinions and data contained in all publications are solely those of the individual author(s) and contributor(s) and not of MDPI and/or the editor(s). MDPI and/or the editor(s) disclaim responsibility for any injury to people or property resulting from any ideas, methods, instructions or products referred to in the content. |
© 2025 by the authors. Licensee MDPI, Basel, Switzerland. This article is an open access article distributed under the terms and conditions of the Creative Commons Attribution (CC BY) license (https://creativecommons.org/licenses/by/4.0/).
Share and Cite
Pozzo, L.; Raffaelli, A.; Ciccone, L.; Zabini, F.; Vornoli, A.; Calderone, V.; Testai, L.; Meneguzzo, F. Conifer By-Products Extracted Using Hydrodynamic Cavitation as a Convenient Source of Phenolic Compounds and Free Amino Acids with Antioxidant and Antimicrobial Properties. Molecules 2025, 30, 2722. https://doi.org/10.3390/molecules30132722
Pozzo L, Raffaelli A, Ciccone L, Zabini F, Vornoli A, Calderone V, Testai L, Meneguzzo F. Conifer By-Products Extracted Using Hydrodynamic Cavitation as a Convenient Source of Phenolic Compounds and Free Amino Acids with Antioxidant and Antimicrobial Properties. Molecules. 2025; 30(13):2722. https://doi.org/10.3390/molecules30132722
Chicago/Turabian StylePozzo, Luisa, Andrea Raffaelli, Lidia Ciccone, Federica Zabini, Andrea Vornoli, Vincenzo Calderone, Lara Testai, and Francesco Meneguzzo. 2025. "Conifer By-Products Extracted Using Hydrodynamic Cavitation as a Convenient Source of Phenolic Compounds and Free Amino Acids with Antioxidant and Antimicrobial Properties" Molecules 30, no. 13: 2722. https://doi.org/10.3390/molecules30132722
APA StylePozzo, L., Raffaelli, A., Ciccone, L., Zabini, F., Vornoli, A., Calderone, V., Testai, L., & Meneguzzo, F. (2025). Conifer By-Products Extracted Using Hydrodynamic Cavitation as a Convenient Source of Phenolic Compounds and Free Amino Acids with Antioxidant and Antimicrobial Properties. Molecules, 30(13), 2722. https://doi.org/10.3390/molecules30132722

