Abstract
The title compound was synthesized from sorbic acid by an eight step sequence. The key step was the stereospecific intramolecular Diels-Alder reaction of the acylnitroso derivative of N-sorbyl-L-proline (5). L-Proline served as a temporary tether which directed both the stereochemistry and the regiochemistry of the cycloaddition.
Introduction
The induction of asymmetry in cycloaddition reactions presents an interesting but difficult problem as all participating atoms are either sp2 carbons or heteroatoms and thus cannot be chiral. Most cycloadditions are also non-catalytic. These limitations impel the synthetic chemist to use the auxiliary approach. The chiral auxiliary, however, is usually remote in relation to the reactive centers and therefore, in order to completely obstruct the approach from one side it needs to be very bulky [1,2] and often even this is not good enough to impart high enantioselectivity. It is however well known that intramolecular cycloadditions proceed under a much higher stereocontrol and that even small chiral substituents on the chain connecting the two components can induce complete asymmetry [3,4,5].
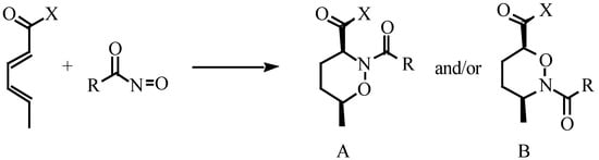
Previously we have reported the double use of proline as a removable chiral tether and a chiral auxiliary in hetero Diels-Alder reactions [6]. We now describe an extension of this methodology, which involves the Diels-Alder reaction of a sorbic acid derivative with an acylnitroso dienophile [7]. The proline bridge in this case not only induced asymmetry, but also reversed the regiochemistry as it led to product A whereas the corresponding intermolecular reaction gives exclusively the undesired product B (Figure 1) [8].
Figure 1:.
Two possible regiomers in the addition of an acylnitroso group to a diene.
Figure 1:.
Two possible regiomers in the addition of an acylnitroso group to a diene.

Product A is a cyclic α-amino acid which can undergo a selective cleavage at the N-O bond, leading to the target molecule named in the title.
Results and Discussions
An appropriate substrate which contains the structural elements necessary for this synthesis is the intermediate 5. Its preparation involved the conversion of N-sorbyl-L- proline, 2, to its N-hydroxy-succinimide ester 3. Reaction of this active ester with hydroxylamine under basic Schotten-Baumann like conditions gave the hydroxamic acid 4. This was followed by oxidation, using tetraethylammonium periodate to give 5 as an active intermediate in situ [9].
Due to the low dienic reactivity of the sorbic moiety in 5, the acylnitroso function did not undergo intramolecular cycloaddition, but rather acted as an acylating agent on unoxidized 4 still present in the system to produce only the diacylhydroxylamine 11. This result indicated that 5 had to be generated in a medium free of 4 and of other nucleophiles. This was achieved by trapping compound 5 as its cyclopentadiene adduct [9,10]. Oxidation of 4 in the presence of the highly reactive diene cyclopentadiene yielded solely the cycloadduct 6 which was purified by column chromatography.
Scheme 1.
Synthesis of the intermediate 6.
Scheme 1.
Synthesis of the intermediate 6.

Scheme 2.
The reaction to give the diacylhydroxylamine 11.
Scheme 2.
The reaction to give the diacylhydroxylamine 11.

Scheme 3.
The Synthesis of the chiral diketopiperazine 8.
Scheme 3.
The Synthesis of the chiral diketopiperazine 8.

Table 1.
Dimensional parameters for 8:
The remaining steps involved reductive cleavage of the N-O bond and hydrolytic removal of the auxiliary, L- proline. The harsh conditions needed for the hydrolysis of diketopiperazines caused the complete decomposition of 8. Thus by reductive cleavage with a Na/Hg amalgam [13], the N-O bond was severed, resulting in 9, a cyclic diamide of proline and a new chiral unnatural amino acid, in a 79% yield. This substance was then hydrolyzed into its components.
The hydrolysis of diketopiperazines usually requires harsh acidic conditions (6N HCl, 20 hrs reflux) which, however, do not cause racemization. Indeed such hydrolysis of 9 afforded a mixture which clearly exhibited two ninhydrin spots on a TLC plate, a yellow one for proline and a violet one for the new amino acid 10. Separation of the two components was attempted both directly (as hydrochlorides or free bases) or through derivitizations. Although we were able to recover proline in most cases, we have not yet acquired a pure sample of 10 and it appears that a large portion of it was decomposed during the hydrolysis.
Table 2.
Positional parameters and B(eq) for non hydrogen atoms for 8. Estimated standard deviations in the least significant figure in parentheses.
| atom | x | y | z | B(eq) |
| O(1) | 0.2999(3) | 0.1010(1) | 0.5877(5) | 3.4(1) |
| O(2) | 0.0560(3) | 0.0643(1) | 0.7896(6) | 4.2(1) |
| O(3) | 0.2797(4) | 0.2422(1) | 1.191(1) | 7.1(2) |
| O(4) | 0.6924(3) | -0.0034(2) | 0.3352(7) | 6.0(2) |
| N(1) | 0.2349(3) | 0.1242(1) | 0.8077(7) | 2.9(1) |
| N(2) | 0.1141(4) | 0.1777(1) | 1.2110(7) | 3.4(1) |
| C(1) | 0.4349(4) | 0.0755(2) | 0.6691(8) | 3.6(2) |
| C(2) | 0.5329(5) | 0.1189(2) | 0.778(1) | 4.6(2) |
| C(3) | 0.4619(5) | 0.1503(2) | 0.995(1) | 4.2(2) |
| C(4) | 0.3142(4) | 0.1683(2) | 0.9114(9) | 3.5(2) |
| C(5) | 0.2343(5) | 0.1983(2) | 1.121(1) | 4.0(2) |
| C(6) | 0.0131(5) | 0.2056(2) | 1.382(1) | 4.5(2) |
| C(7) | -0.1222(6) | 0.1743(2) | 1.375(1) | 5.3(2) |
| C(8) | -0.1050(5) | 0.1344(2) | 1.151(1) | 4.5(2) |
| C(9) | 0.0572(4) | 0.1247(1) | 1.1457(8) | 3.0(2) |
| C(10) | 0.1147(4) | 0.1019(2) | 0.8962(8) | 2.9(2) |
| C(11) | 0.4079(5) | 0.0299(2) | 0.846(1) | 4.6(2) |
Figure 2.
The x-ray crystal structure of 8.
Figure 2.
The x-ray crystal structure of 8.

Scheme 4.
The separation of 10 from the chiral tether.
Scheme 4.
The separation of 10 from the chiral tether.

As we have encountered the same problem previously in the synthesis of 1,5-diaminohexanoic acid by the same methodology, work is now in progress on the replacement of the proline by other cyclic amino acids which allow milder hydrolysis conditions and easier separation.
Conclusion
In summary, we have demonstrated the synthetic use of an amino acid as a temporary tether which controls both the stereo and regiochemistry of a cycloaddition reaction and is then removed. Further applications of this approach are now under study.
Experimental Section
General
NMR spectra (1H, 13C and 2D experiments) were performed on Bruker AMX-400, AMX-300 or WP-200-SY FT-NMR spectrometers. The chemical shifts are reported in ppm on the δ scale relative to TMS (tetramethylsilane). IR spectra were recorder on either a Nicolet Impact 400 FT-IR spectrometer, on a Perkin-Elmer 1600 series FT-IR, or a Perkin-Elmer 157G grating IR spectrometer. The mass spectra were carried out on a Finnigan TSQ 70 mass spectrometer at the Hebrew University of Jerusalem. High resolution mass spectrometry (HRMS) was carried out on a Varian MAT model 711 at the mass spectrometry center at the Technion, Haifa. Melting points were determined on a Mel-Temp II apparatus and are uncorrected. Elemental analyses were performed by the Microanalysis Laboratory, the Hebrew University of Jerusalem. Column chromatography was conducted with silica gel, 200-400 mesh. TLC analysis was conducted on silica gel 60 plates with F254 indicator.
Materials
All reagents were purchased from either Aldrich, Sigma or Fluka. Solvents and solutions were purchased from Frutarom, Aldrich, BDH or Baker. Chromatography products were purchased from Merck.
Synthesis of the compounds
Sorbyl N-hydroxysuccinimide ester (1)
To a stirred solution of sorbic acid (1.15g, 10 mmoles) in 20 ml of ethyl acetate was added N-hydroxysuccinimide (1.12g, 10 mmoles). The mixture was cooled to 0°C. A solution of 1,3-dicyclohexyl carbodiimide (D.C.C.) (2.06g, 10 mmoles) in 15 ml of ethyl acetate was added slowly over 30 minutes. The mixture was stirred at room temperature for 4 hours and then left in the freezer overnight. The solution was repeatedly cooled and filtered until no dicyclohexyl urea precipitated. The solution can be evaporated and the crude product used without purification for the next step. The substance was recrystallized from ethyl acetate and petroleum ether, to give the pure compound 1 (1.85g, 8.9 mmol, 89%). M.P. 98°C.
1H NMR (200MHz, CDCl3, r.t.) ppm 1.8 (d, 3H, J=4.7 Hz), 2.8 (s, 4H), 5.9 (d, 1H, J=10.6), 6.2 (m, 2H), 7.4 (dd, 1H, J=10.6 Hz, J=4.4 Hz).
Anal. calcd for C10H11NO4 C:57.41, H:5.30, N:6.70. Found C:57.17, 5.42, N:6.69.
N-Sorbyl-L-proline (2)
To a stirred solution of L-Proline (5.7g, 50 mmoles) in 55 ml of water was added sodium bicarbonate (4.2g, 50 mmoles). A solution of 1 (7.3g, 35 mmoles) in 65 ml of dimethoxyethane was added over the course of an hour. The mixture was stirred for an additional 90 minutes. It was then diluted with 33 ml of water, and acidified with concentrated hydrochloric acid. Some precipitate formed on acidification. The mixture was extracted several times with chloroform and dried over magnesium sulfate. Evaporation of the solvent gave a viscous yellow oil, which solidified upon standing. This product proved pure enough for the next step. Alkali extraction gave the pure product as an oil, 2 (6.59g, 31.5 mmol, 90%) which solidifies at approximately 5°C.
1H NMR (200MHz, CDCl3, r.t.) ppm 1.85 (d, 3H, J=4.7 Hz), 1.9-2.3 (m, 4H), 3.5 (m, 2H), 3.75 (dd, 1H, J=9.2 Hz, J=5.4 Hz), 6.1 (d, 1H, J=10.4), 6.25 (m, 2H), 7.35 (dd, 1H, J=9.6 Hz, J=4.1 Hz).
13C NMR (100.62 MHz, CDCl3, r.t.) ppm 18.7, 24.6, 30.9, 77.2, 117.2, 140.6, 143.4, 145.5, 150.3, 169.4, 172.2.
Anal. calcd for C11H15NO3 C:63.14, H:7.23, N:6.69. Found C:63.51, 7.06, N:6.67.
[α]D20=-212.5 (c=0.5, CHCl3).
N-Sorbyl L-proline N-hydroxysuccinimide ester (3)
To a stirred solution of 2 (3.66g, 17 mmoles) in 40 ml of ethyl acetate was added N-hydroxysuccinimide (1.95g, 17 mmoles). The mixture was cooled in an ice bath. An equimolar solution of dicyclohexyl carbodiimide in 20 ml of ethyl acetate was added slowly. The mixture was stirred at room temperature for 8 hours and left in the freezer overnight. The solution was repeatedly cooled and filtered until the majority of the dicyclohexyl urea was accounted for. The solvent was then evaporated to give the crude product as an oil (4.37g, 14.3 mmol, 84%).
1H NMR (200MHz, CDCl3, r.t.) ppm 1.65 (d, 3H, J=4.6 Hz), 1.8-2.35 (m, 4H), 2.7 (s, 4H), 3.55 (m, 2H), 4.7 (dd, 1H, J=8.3 Hz, J=5.1 Hz), 5.9-6.2 (m, 3H), 7.15 (dd, 1H, J=10.4 Hz, J=4.4 Hz).
[α]D20=-198.0 (c=0.5, CHCl3).
N-Sorbyl L-proline hydroxamic acid (4)
Sodium (1.61g, 70 mmoles) was reacted with 50 ml of ethanol. To this basic solution was added hydroxylamine hydrochloride (5.1g, 70 mmoles) and the mixture was stirred until all the reagent was dissolved. This solution of hydroxylamine was filtered and added drop-wise to a solution of 3 (21.4g, 70 mmoles) in 50 ml of methanol. The mixture was stirred for 48 hours at room temperature. Evaporation of the solvent gave a brown oil. This oil was chromatographed using first 3:1 chloroform:ethyl acetate to elute the impurities, and then methanol to remove the desired product. Evaporation of the proper fraction gave a yellow oil. This can be chromatographed again using 1:1 methanol:chloroform to give the product as a light yellow solid (15.7g, 64 mmol, 92%). M.P. 97°C.
1H NMR (200MHz, CDCl3, r.t.) ppm 1.75 (d, 3H, J=4.8 Hz), 1.8-2.1 (m, 4H), 3.55 (m, 2H), 4.4 (dd, 1H, J=7.2 Hz, J=2.1 Hz), 6.0-6.2 (m, 3H), 7.15 (dd, 1H, J=10.5 Hz, J=3.6 Hz).
M.S. m/e-=224.26.
H.R.M.S.: calcd: 224.11608, found: 224.1188.
[α]D20= -217.5 (c=1, CH3OH).
Tetraethylammonium periodate
Paraperiodic acid (2.28g, 10 mmoles) was dissolved in 50 ml of water. This was cooled in an ice bath, as tetraethylammonium hydroxide (5.65 ml, 1 equivalent from a 35% solution) was added in portions of half a milliliter. The mixture was stirred for 2 hours and then evaporated in vacuo, to leave a crude product. This product was purified by dissolving it in hot tert-butanol and precipitating in with isopropyl ether, giving the product (2.67g, 8.3 mmol, 83%). M.P. 177°C. The substance decomposes both in thermal and photochemical conditions and therefore, it is recommended to store it in a dark freezer.
2-N-Sorbyl-L-prolinyl-1-oxa-2-azatricyclo[2,2,1]hepta-4- ene (6)
A stirred solution of tetraethylammonium periodate (3.9g, 10.5 mmoles) and cyclopentadiene (1.74g, 21 mmoles, 2 equivalents) in 80 ml of dichloromethane was cooled in an ice bath. A solution of 4 (2.36g, 10.5 mmoles) in 80 ml of dichloromethane was added slowly over 15 minutes in a darkened hood. The mixture was stirred at 0°C for an additional 15 minutes and then for 45 minutes at room temperature. Ethyl acetate (230 ml) was added and the brown turbid solution was rinsed consecutively with a 1M solution of sodium carbonate containing 5% sodium thiosulfate or sodium sulfite, and then several times with brine. Evaporation of the solvent gave a brown oil. This oil was purified by column chromatography with an eluent of 1:1 ethyl acetate:chloroform. The second lowest peak according to thin layer chromatography was collected. Evaporation of the eluent gave the product as a yellow oil 6 (1.84g, 6.4 mmol, 61%).
1H NMR (400 MHz, CDCl3, r.t.) ppm 1.8 (d, 3H, J=5.8), 1.9-2.2 (m, 6H), 3.65 (m, 2H), 4.75 (dd, 1H, J=12.7 Hz, J=3.4 Hz), 5.35 (two m, 2H), 6.0-6.3 (m, 3H), 6.40 (dd, 1H, J=6.8 Hz, J=2.1 Hz), 6.60 (dd, 1H, J=6.8 Hz, J=2.1 Hz), 7.2 (dd, 1H, J=9.7 Hz, J=3.4 Hz).
13C NMR (100.62 MHz, CDCl3, r.t.) ppm 18.5, 33.85, 47.0, 47.1, 48.8, 58.6, 62.2, 84.3, 119.0, 130.1, 132.5, 136.3, 139.05, 142.15, 165.1, 165.5.
3,10-Diaza-5-methyl-4-oxatricyclo[8,4,03,7,0]deca-6-ene- 2,9-dione (7)
A solution of 6 (2.5g, 8.7 mmoles) in 200 ml of toluene was refluxed for 5 hours. The solution was filtered hot from the small amount of precipitate formed and evaporated to give a brown solid. This was purified by column chromatography using a 2:1 ethyl acetate:chloroform solution. This gave a solid which was further purified by recrystallization from chloroform and petroleum ether to give the pure product (0.77g, 3.5 mmol, 40%). M.P. 76°C.
1H NMR (200MHz, CDCl3, r.t.) ppm 1.40 (d, 3H, J= 6.6 Hz), 1.8-2.1 (m, 4H), 3.6 (m, 2H), 4.25 (dq, 1H, J=6.6 Hz, J=2.4 Hz), 4.7 (dd, 1H, J=11.2 Hz, J=2.3 Hz), 5.1 (m, 1H), 5.8 (dd, 1H, J=5.8 Hz, J=2.4 Hz), 6.3 (d, 1H, J= 5.8 Hz).
IR: ν (Nujol) 1630, 1670, 1730 cm-1.
M.S. m/e-=222.24
Anal. calcd for C11H14N2O3 C:59.45, H:6.35, N:12.60. Found C:59.04, 6.10, N:12.16.
[α]D20= -114.3 (c=0.25, CHCl3).
3,10-Diaza-5-methyl-4-oxatricyclo[8,4,03,7,0]deca-2,9- dione (8)
A solution of 7 (1g, 4.5 mmoles) was dissolved in 50 ml of methanol. It was hydrogenated in the presence of 0.5g 5% Pd/C at 60 p.s.i. for 5 hours. Filtration and evaporation of the solvent afforded of the saturated substance 8 (0.98g, 4.4 mmol, 98%). This product recrystallized as needles from dichloromethane-hexane. M.P. 143°. A higher overall yield (68%) can be obtained by hydrogenation of the crude 7.
1H NMR (400 MHz, CDCl3, r.t.) ppm 1.4 (d, 3H, J= 6.6 Hz), 1.7 (m, 1H), 1.85-2.0 (m, 3H), 2.05 (m, 1H), 2.2 (m, 2H), 2.3 (m, 1H), 3.45 (ddq, J=9.1 Hz, J=6.6 Hz, J=3.4 Hz), 3.8 (m, 1H), 4.15 (dd, 1H, J=12.0 Hz, J=1.8 Hz),4.28 (dd, 1H, J=12.0 Hz, J=6.0 Hz), 4.5 (m, 1H).
13C NMR (100.62 MHz, CDCl3, r.t.) ppm 16.0, 19.3, 21.6, 22.8, 28.3, 29.4, 45.0, 58.0, 61.3, 76.2, 160.5, 163.1.
IR: ν (Nujol) 1630, 1670 cm-1.
M.S. m/e-=224.26.
Anal. calcd for C11H16N2O3 C:58.91, H:7.19, N:12.49. Found C:58.91, 7.03, N:12.21.
[α]D20= -87.5 (c=0.5, CHCl3).
3-(3-hydroxy-1-butyl)-pyrrolo[1,2-e]pyrazine-2,5-dione (9)
Compound 8 (0.3g, 1.3 mmoles) was dissolved in 20 ml of dry ethanol and cooled to 0°C. Under a static atmosphere of nitrogen, disodium hydrogen phosphate (0.89g, 4.7 equivalents) was added followed by 4.5g (x15 w/w) of a freshly prepared powdered 6% Na(Hg) amalgam. The mixture was stirred at 0° for 10 hours. The solution yellowed slightly with time. After diluting with 40 ml of THF the mixture was filtered, and the solids carefully disposed of. Evaporation of the solvent, gave the product as a yellow oil (0.24g, 1.1 mmol, 79%). Recrystallization in ethyl acetate/hexane gave the pure product as a colourless solid. M.P. 147°C.
1H NMR (200MHz, CDCl3, r.t.) ppm 1.15 (d, 3H, J=6.6 Hz), 1.5-2.3 (m, 8H), 3.4 (t, 1H, J=8.4), 3.6 (m, 2H), 3.85 (m, 1H), 4.1 (dd, 1H, J=10.5 Hz, J~1 Hz)
13C NMR (100.62 MHz, CDCl3, r.t.) ppm 16.0, 19.3, 21.6, 22.8, 28.3, 29.4, 47.2, 59.3, 60.4, 76.4, 160.5, 167.0.
IR.: ν (Nujol) 1625, 1640, 3260, 3560 cm-1
Anal. calcd for C11H18N2O3 C:58.34, H:8.02, N:12.38. Found C:58.89, 7.61, N:12.28.
[α]D20= -100.5 (c=0.25, CHCl3).
(2R,5R)-2-Amino-5-hydroxyhexanoic acid (10)
Compound 9 (0.3g, 1.33 mmoles) in 50 ml of a 6M hydrochloric acid solution containing 5% acetic acid was refluxed overnight. The solvent was rinsed with dichloromethane and then evaporated under reduced pressure to give a yellow oil. This oil gave an NMR spectrum consistent with the presence of proline and 10.
References and Notes
- Corey, E.J.; Ensley, H.E. Preparation of an Optically Active Prostaglandin Intermediate Via Asymmetric Induction. J. Am. Chem. Soc. 1975, 97, 6908–6909. [Google Scholar] [CrossRef] [PubMed]
- Oppolzer, W.; Chapuis, C.; Depuis, D.; Guo, M. Asymmetric Diels-Alder Reactions of Neopentyl- Ester-Shielded Acrylates and Allenic Esters: Syntheses of (-)-Norbornenone and (-)-β-Santalene. Helv. Chim. Acta 1985, 68, 2100–2114. [Google Scholar] [CrossRef]
- Stork, G; Nakamura, E. A Simplified Total Synthesis of Cytochalasins Via an Intramolecular Diels-Alder Reaction. J. Am. Chem. Soc. 1983, 105, 5510–5512. [Google Scholar] [CrossRef]
- Hirama, M.; Uei, M. Chiral Total Synthesis of Compactin. J. Am. Chem. Soc. 1982, 104, 4251–4253. [Google Scholar] [CrossRef]
- Nicolaou, K.C.; Papahadjis, D.P.; Claremon, D.A.; Dolle, R.E. Total Synthesis of Ionophore Antibiotic X-14547-A. 1. Enantioselective Synthesis of the Tetrahydropyran and Tetrahydroindan Building Blocks. J. Am. Chem. Soc. 1981, 103, 6967–6969. [Google Scholar] [CrossRef]
- Sheradsky, T.; Milvitskaya, J.; Pollak, I.E. Intramolecular Oxidative Diels-Alder Reaction of N- Sorbyl-L-proline Acylhydrazines. Tetrahedron Lett. 1991, 32, 133–136. [Google Scholar] [CrossRef]
- Kibayashi, C; Aoyagi, S. Nitrogenous Natural Products Synthesis Via N-Acylnitroso Diels-Alder Methodology. Synlett 1995, 873–879. [Google Scholar] [CrossRef]
- Martin, S.F.; Hartmann, M.; Josey, J.A. Diastereoselective [4+2] Cycloadditions of Acyl Nitroso Compounds. Tetrahedron Lett. 1992, 33, 3583–3586, and corrigendum: Tetrahedron Lett. 1993, 34, 2852. [Google Scholar] [CrossRef]
- Kirby, G.W.; MacKinnon, J.W.M. Cycloadducts of C-Nitrosocarbonyl Compounds and Ergosteryl Acetate; [3+3] Sigmatropic Rearrangements of N- Aroyl-3,6-dihydro-1,2-oxazines. J. Chem. Soc. Perkin 1 1985, 887–897. [Google Scholar] [CrossRef]
- Kirby, G.W.; McGuigan, H.; MacKinnon, J.W.M.; McLean, D.; Sharma, R.P. Formation and Reactions of C-Nitrosoformate Esters, a New Class of Transient Dienophiles. J. Chem. Soc. Perkin 1 1985, 1437–1442. [Google Scholar] [CrossRef]
- X-ray diffraction data was measured with either an ENRAF-NONIUS CAD-4 automatic diffractometer or a Phillips four circle computer controlled diffractometer. The crystallographic computing was done on a VAX 900 computer using TAXAN analysis software.
- Formula C11H16N2O3; M 224.26; space group P212121; a (Å) 9.317(2); b (Å) 25.216(5); c (Å) 5.122(2); V (Å3) 1203.4(7); z 4; ρ(g cm-3) 1.34; m MoKα(cm-1) 9.6; no. of unique reflections 1271; no. of reflections with I≥3σI 1046; R 0.050; Rw 0.067.
- Keck, G.E.; Fleming, S.; Nickell, D.; Weider, P. Mild and Efficient Methods for the Reductive Cleavage of Nitrogen-Oxygen Bonds. Synth. Commun. 1979, 9, 281–286. [Google Scholar] [CrossRef]
- Sample Availability: available from the authors.
© 1998 MDPI. All rights reserved. Molecules http://www.mdpi.org/molecules/