Chitosan as a Bio-Based Ligand for the Production of Hydrogenation Catalysts
Abstract
1. Introduction
2. Materials and Methods
2.1. General Remarks
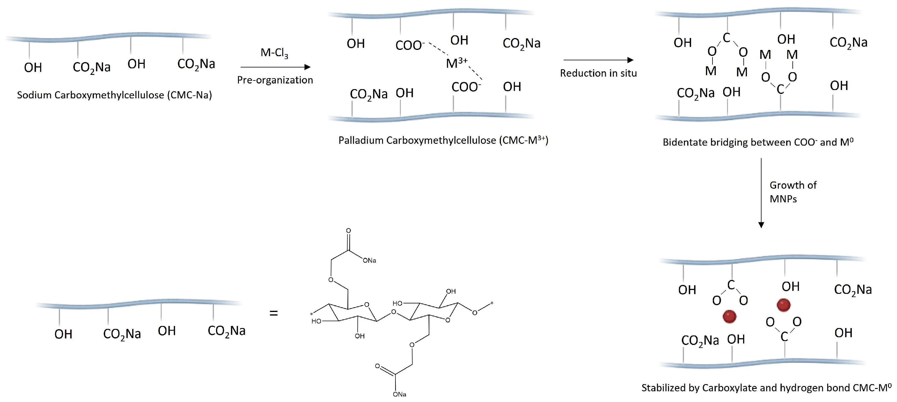
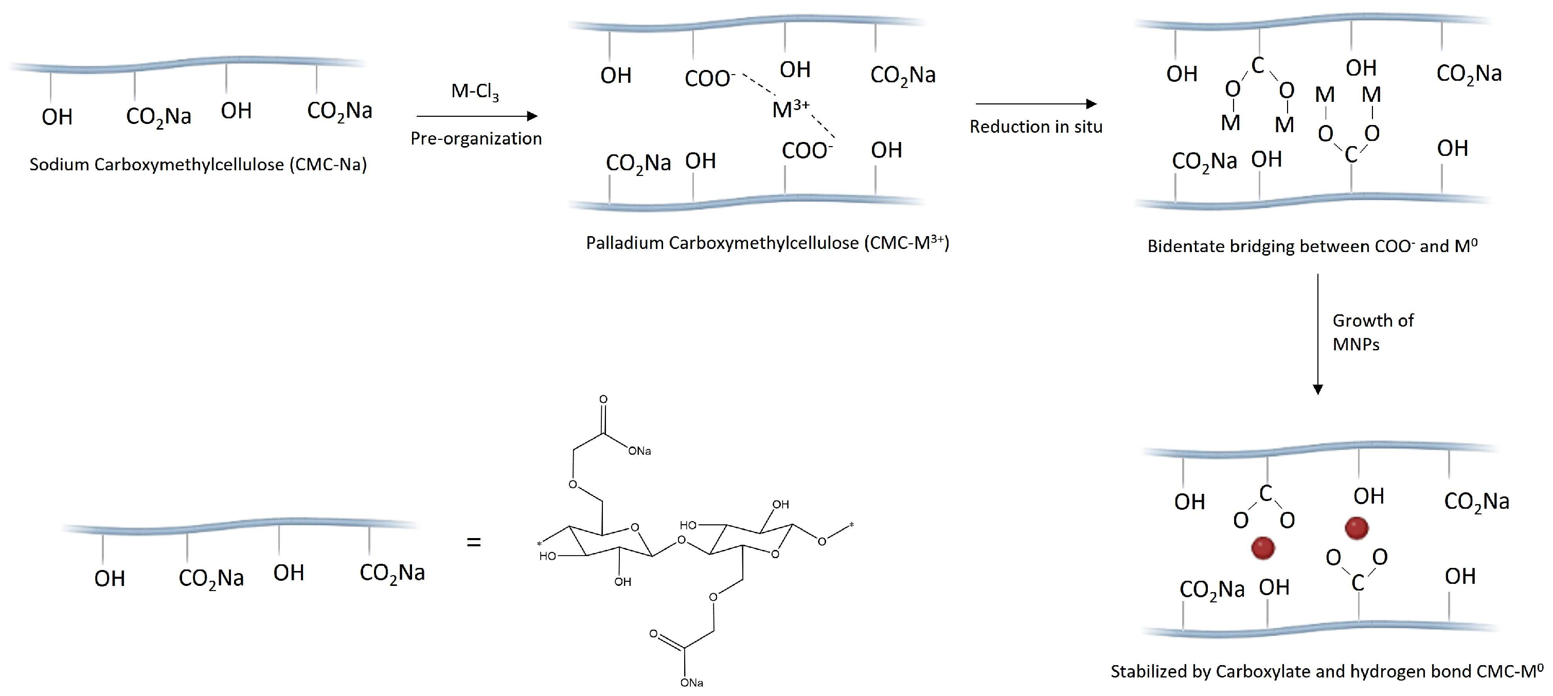
2.2. Preparation of M(0)NPs-CS
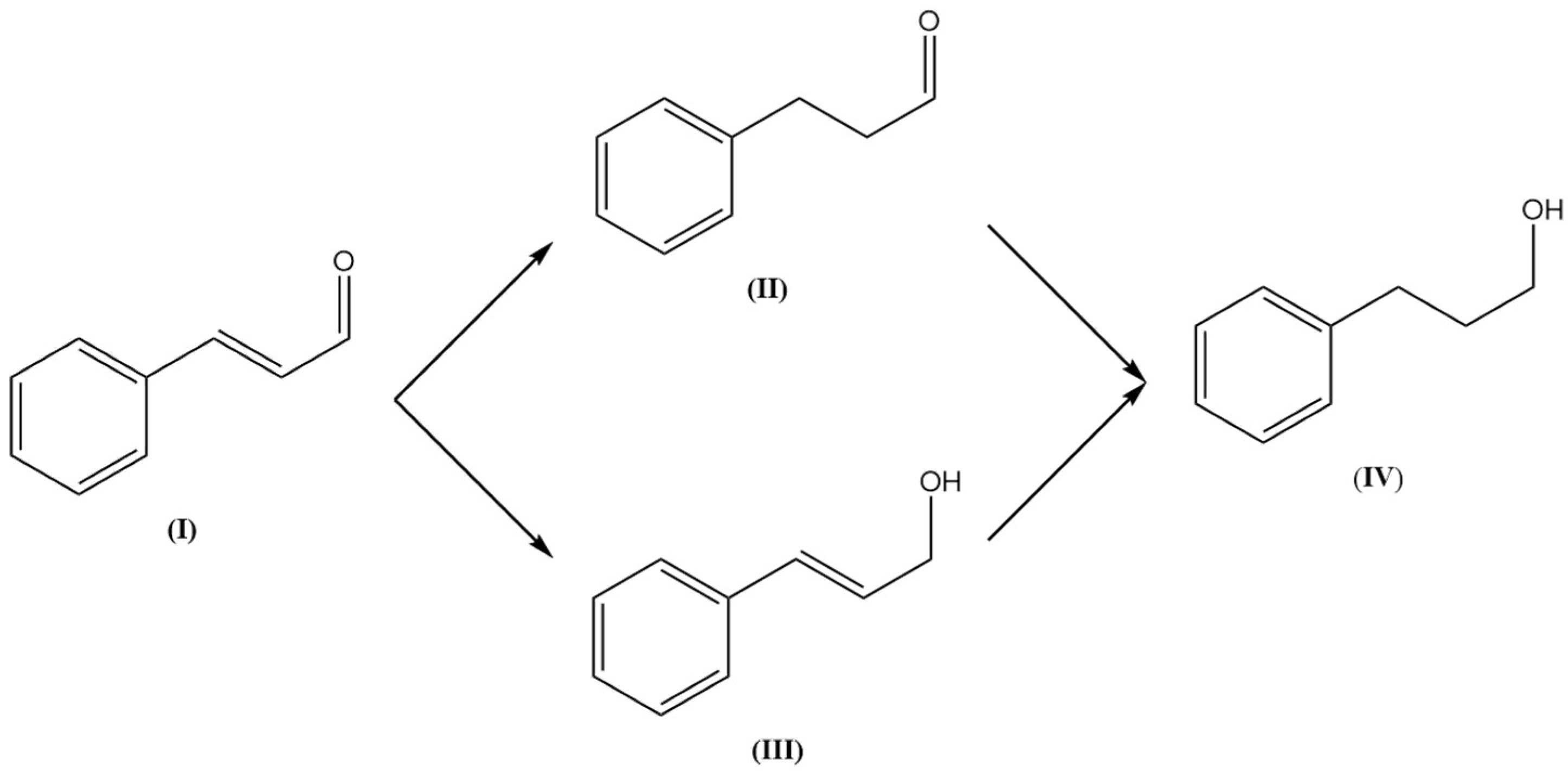
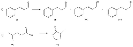
2.3. General Procedure for the Hydrogenation Reactions with M(0)NPs-CS
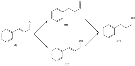
3. Results and Discussion
3.1. Preparation and Characterization of M(0)NPs-CS
3.1.1. Fourier Transform Infrared Spectroscopy (FT-IR) of MNP(0)-CS and Chitosan
3.1.2. Differential Scanning Calorimetry (DSC) and Thermal Gravimetric Analysis (TGA) of MNP(0)-CS and Chitosan
3.1.3. Scanning Electron Microscopy (SEM), Energy-Dispersive X-ray Analysis (EDX), Transmission Electron Microscopy (TEM) of MNP(0)-CS
3.1.4. X-ray Diffraction (XRD) of MNP(0)-CS
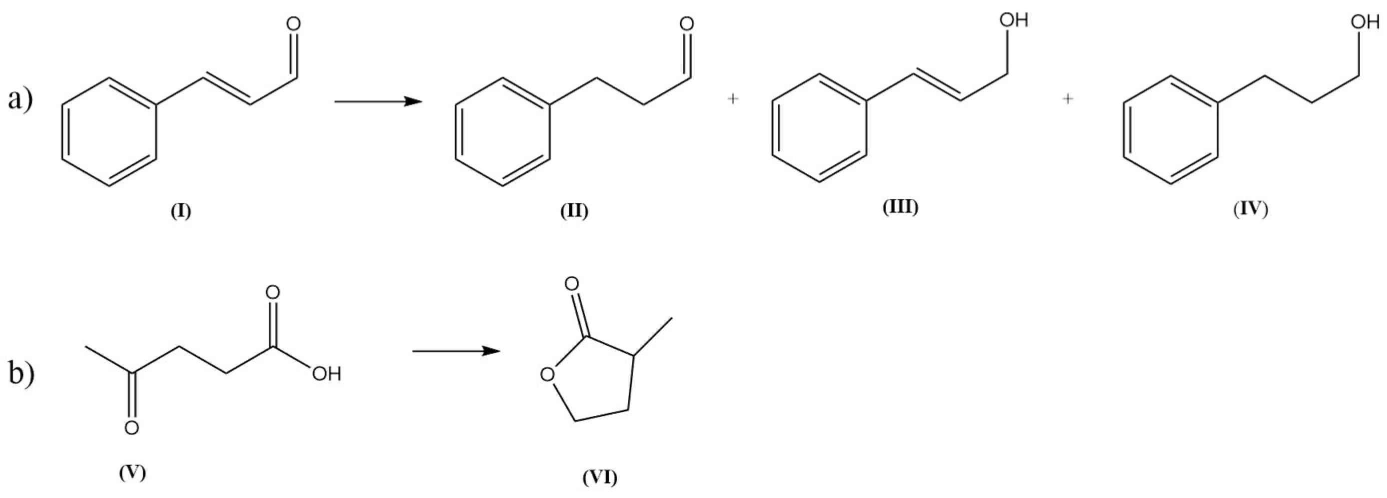
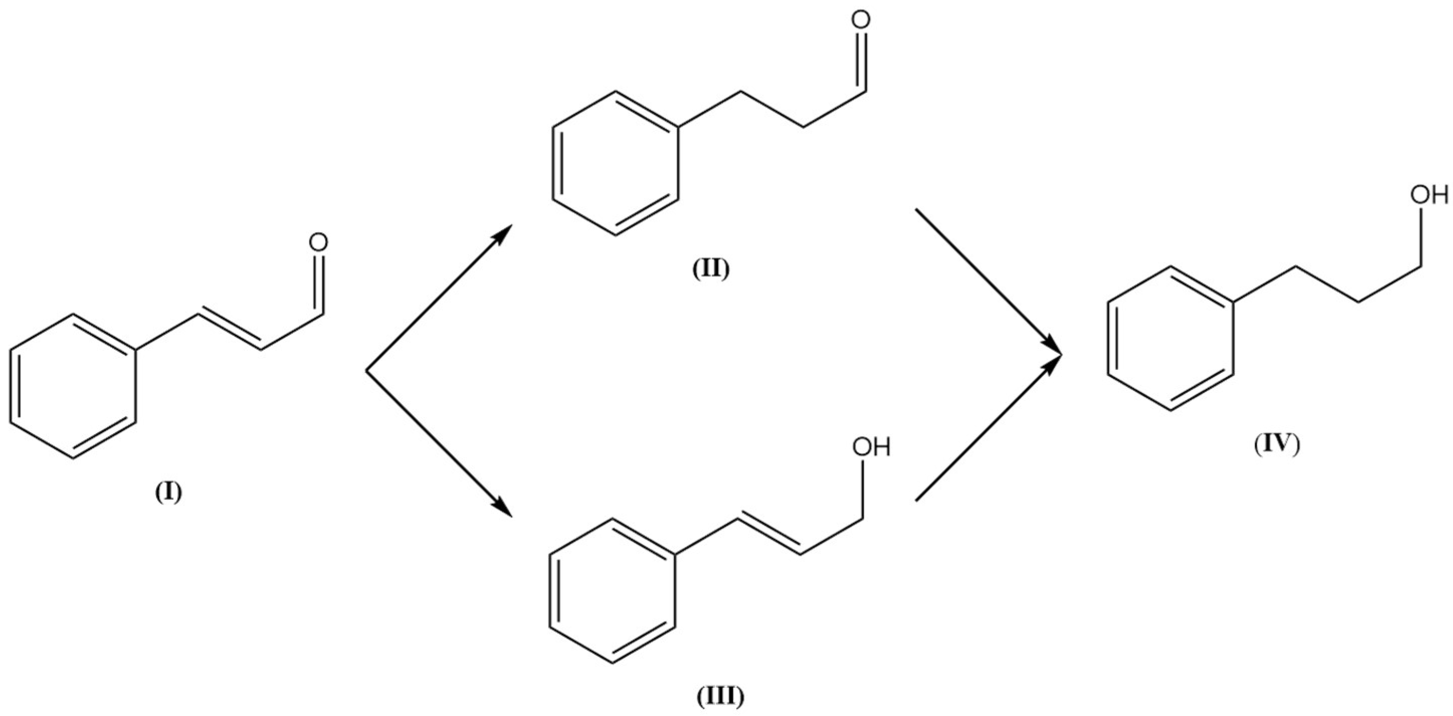
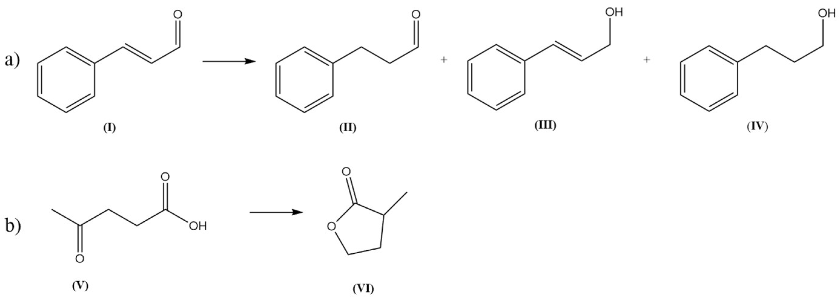
3.2. Catalytic Hydrogenation in the Presence of M(0)NPs-CS
4. Conclusions
Supplementary Materials
Author Contributions
Funding
Institutional Review Board Statement
Informed Consent Statement
Data Availability Statement
Conflicts of Interest
References
- RameshKumar, S.; Shaiju, P.; O’Connor, K.E.; Ramesh Babu, P. Bio-based and biodegradable polymers—State-of-the-art, challenges and emerging trends. Curr. Opin. Green Sustain. Chem. 2020, 21, 75–81. [Google Scholar] [CrossRef]
- Partanen, A.; Carus, M. Biocomposites, find the real alternative to plastic—An examination of biocomposites in the market. Reinf. Plast. 2019, 63, 317–321. [Google Scholar] [CrossRef]
- Pudełko, A.; Postawa, P.; Stachowiak, T.; Malińska, K.; Dróżdż, D. Waste derived biochar as an alternative filler in biocomposites—Mechanical, thermal and morphological properties of biochar added biocomposites. J. Clean. Prod. 2021, 278, 123850. [Google Scholar] [CrossRef]
- Savov, V.; Antov, P.; Zhou, Y.; Bekhta, P. Eco-Friendly Wood Composites: Design, Characterization and Applications. Polymers 2023, 15, 892. [Google Scholar] [CrossRef] [PubMed]
- Trivedi, A.K.; Gupta, M.; Singh, H. PLA based biocomposites for sustainable products: A review. Adv. Ind. Eng. Polym. Res. 2023, 6, 382–395. [Google Scholar] [CrossRef]
- Muiruri, J.K.; Yeo, J.C.C.; Soo, X.Y.D.; Wang, S.; Liu, H.; Kong, J.; Cao, J.; Tan, B.H.; Suwardi, A.; Li, Z.; et al. Recent advances of sustainable Short-chain length polyhydroxyalkanoates (Scl-PHAs)—Plant biomass composites. Eur. Polym. J. 2023, 187, 111882. [Google Scholar] [CrossRef]
- Geyer, R.; Jambeck, J.R.; Law, K.L. Production, use, and fate of all plastics ever made. Sci. Adv. 2017, 3, e1700782. [Google Scholar] [CrossRef] [PubMed]
- Beghetto, V.; Sole, R.; Buranello, C.; Al-Abkal, M.; Facchin, M. Recent Advancements in Plastic Packaging Recycling: A Mini-Review. Materials 2021, 14, 4782. [Google Scholar] [CrossRef] [PubMed]
- Chen, W.-Q.; Ciacci, L.; Sun, N.-N.; Yoshioka, T. Sustainable Cycles and Management of Plastics: A Brief Review of RCR Publications in 2019 and Early 2020. Resour. Conserv. Recycl. 2020, 159, 104822. [Google Scholar] [CrossRef]
- Beghetto, V.; Gatto, V.; Samiolo, R.; Scolaro, C.; Brahimi, S.; Facchin, M.; Visco, A. Plastics today: Key challenges and EU strategies towards carbon neutrality: A review. Environ. Pollut. 2023, 334, 122102. [Google Scholar] [CrossRef]
- Haider, T.P.; Völker, C.; Kramm, J.; Landfester, K.; Wurm, F.R. Plastics of the future? The impact of biodegradable polymers on the environment and on society. Angew. Chem. Int. Ed. 2019, 58, 50–62. [Google Scholar] [CrossRef] [PubMed]
- Kabir, E.; Kaur, R.; Lee, J.; Kim, K.-H.; Kwon, E.E. Prospects of biopolymer technology as an alternative option for non-degradable plastics and sustainable management of plastic wastes. J. Clean. Prod. 2020, 258, 120536. [Google Scholar] [CrossRef]
- Nesic, A.; Castillo, C.; Castaño, P.; Cabrera-Barjas, G.; Serrano, J. Bio-based packaging materials, in Biobased Products and Industries; Galanakis, C.M., Ed.; Elsevier: Amsterdam, The Netherlands, 2020; pp. 279–309. [Google Scholar] [CrossRef]
- Ferraro, V.; Sole, R.; Bortoluzzi, M.; Beghetto, V.; Castro, J. Tris-isocyanide copper(I) complex enabling copper azide-alkyne cycloaddition in neat conditions. Appl. Organomet. Chem. 2021, 35, 6401–6411. [Google Scholar] [CrossRef]
- Walker, S.; Rothman, R. Life cycle assessment of bio-based and fossil-based plastic: A review. J. Clean. Prod. 2020, 261, 121158. [Google Scholar] [CrossRef]
- Kumar, S.; Mukherjee, A.; Dutta, J. Chitosan based nanocomposite films and coatings: Emerging antimicrobial food packaging alternatives. Trends Food Sci. Technol. 2020, 97, 196–209. [Google Scholar] [CrossRef]
- Lan, W.; He, L.; Liu, Y. Preparation and properties of sodium carboxymethyl cellulose/sodium alginate/chitosan composite film. Coatings 2018, 8, 291. [Google Scholar] [CrossRef]
- Nataraj, D.; Sakkara, S.; Meghwal, M.; Reddy, N. Crosslinked chitosan films with controllable properties for commercial applications. Int. J. Biol. Macromol. 2018, 120, 1256–1264. [Google Scholar] [CrossRef] [PubMed]
- Riaz, A.; Lagnika, C.; Luo, H.; Nie, M.; Dai, Z.; Liu, C.; Abdin, M.; Hashim, M.M.; Li, D.; Song, J. Effect of Chinese chives (Allium tuberosum) addition to carboxymethyl cellulose based food packaging films. Carbohydr. Polym. 2020, 235, 115944. [Google Scholar] [CrossRef] [PubMed]
- Roy, S.; Rhim, J.-W. Carboxymethyl cellulose-based antioxidant and antimicrobial active packaging film incorporated with curcumin and zinc oxide. Int. J. Biol. Macromol. 2020, 148, 666–676. [Google Scholar] [CrossRef]
- Tongdeesoontorn, W.; Mauer, L.J.; Wongruong, S.; Sriburi, P.; Rachtanapun, P. Physical and Antioxidant Properties of Cassava Starch–Carboxymethyl Cellulose Incorporated with Quercetin and TBHQ as Active Food Packaging. Polymers 2020, 12, 366. [Google Scholar] [CrossRef]
- Sole, R.; Buranello, C.; Di Michele, A.; Beghetto, V. Boosting physical-mechanical properties of adipic acid/chitosan films by DMTMM cross-linking. Int. J. Biol. Macromol. 2022, 209, 2009–2019. [Google Scholar] [CrossRef] [PubMed]
- Beghetto, V.; Gatto, V.; Conca, S.; Bardella, N.; Buranello, C.; Gasparetto, G.; Sole, R. Development of 4-(4,6-dimethoxy-1,3,5-triazin-2-yl)-4-methyl-morpholinium chloride cross-linked carboxymethyl cellulose films. Carbohydr. Polym. 2020, 249, 116810. [Google Scholar] [CrossRef] [PubMed]
- Pellis, A.; Guebitz, G.M.; Nyanhongo, G.S. Chitosan: Sources, Processing and Modification Techniques. Gels 2022, 8, 393. [Google Scholar] [CrossRef]
- Szőllősi, G.; Kolcsár, V.J. Highly Enantioselective Transfer Hydrogenation of Prochiral Ketones Using Ru(II)-Chitosan Catalyst in Aqueous Media. ChemCatChem 2018, 11, 820–830. [Google Scholar] [CrossRef]
- Bhattarai, N.; Gunn, J.; Zhang, M. Chitosan-based hydrogels for controlled, localized drug delivery. Adv. Drug Deliv. Rev. 2010, 62, 83–99. [Google Scholar] [CrossRef] [PubMed]
- Shukla, S.K.; Mishra, A.K.; Arotiba, O.A.; Mamba, B.B. Chitosan-based nanomaterials: A state-of-the-art review. Int. J. Biol. Macromol. 2013, 59, 46–58. [Google Scholar] [CrossRef] [PubMed]
- Guibal, E.; Vincent, T.; Navarro, R. Metal ion biosorption on chitosan for the synthesis of advanced materials. J. Mater. Sci. 2014, 49, 5505–5518. [Google Scholar] [CrossRef]
- Desbrières, J.; Guibal, E. Chitosan for wastewater treatment. Polym. Int. 2018, 67, 7–14. [Google Scholar] [CrossRef]
- Aranaz, I.; Acosta, N.; Civera, C.; Elorza, B.; Mingo, J.; Castro, C.; de Los Llanos Gandía, M.; Caballero, A.H. Cosmetics and Cosmeceutical Applications of Chitin, Chitosan and Their Derivatives. Polymers 2018, 10, 213. [Google Scholar] [CrossRef]
- Joseph, S.M.; Krishnamoorthy, S.; Paranthaman, R.; Moses, J.; Anandharamakrishnan, C. A review on source-specific chemistry, functionality, and applications of chitin and chitosan. Carbohydr. Polym. Technol. Appl. 2021, 2, 100036. [Google Scholar] [CrossRef]
- Dhillon, G.S.; Kaur, S.; Brar, S.K.; Verma, M. Green synthesis approach: Extraction of chitosan from fungus mycelia. Crit. Rev. Biotechnol. 2012, 33, 379–403. [Google Scholar] [CrossRef] [PubMed]
- Elyasi, Z.; Ghomi, J.S.; Najafi, G.R.; Sharif, M.A. Fabrication of uniform Pd nanoparticles immobilized on crosslinked ionic chitosan support as a super-active catalyst toward regioselective synthesis of pyrazole-fused heterocycles. Int. J. Biol. Macromol. 2023, 253, 126589. [Google Scholar] [CrossRef] [PubMed]
- Molnár, Á. The use of chitosan-based metal catalysts in organic transformations. Coord. Chem. Rev. 2019, 388, 126–171. [Google Scholar] [CrossRef]
- Devendrapandi, G.; Padmanaban, D.; Thanikasalam, R.; Panneerselvam, A.; Palraj, R.; Rajabathar, J.R.; Rajendiran, N.; Balu, R.; Oh, T.H.; Ramasundaram, S. Direct sunlight induced room temperature synthesis of anticancer and catalytic silver nanoparticles by shrimp shell waste derived chitosan. Int. J. Biol. Macromol. 2023, 252, 126205. [Google Scholar] [CrossRef] [PubMed]
- Bayat, A.; Lighvan, Z.M.; Sadjadi, S.; Bahri-Laleh, N.; Ghadimi, A. Pd on composite chitosan bead containing a star-like hybrid metal-organic framework: A promising catalyst for hydrogenation of lubricants. Inorg. Chem. Commun. 2023, 158, 111558. [Google Scholar] [CrossRef]
- Kolcsár, V.J.; Fülöp, F.; Szőllősi, G. Ruthenium(II)-Chitosan, an Enantioselective Catalyst for the Transfer Hydrogenation of N-Heterocyclic Ketones. ChemCatChem 2019, 11, 2725–2731. [Google Scholar] [CrossRef]
- Wu, L.-H.; Nordin, M.R.; Yaakob, Z.; Liew, K.-Y.; Li, J.-L. Effects of Fe on catalytic hydrogenation of palm oil in aqueous solution. Chem. Pap. 2017, 71, 119–126. [Google Scholar] [CrossRef]
- Cui, Q.; Zhao, H.; Luo, G.; Xu, J. An Efficient Chitosan/Silica Composite Core-Shell Microspheres-Supported Pd Catalyst for Aryl Iodides Sonogashira Coupling Reactions. Ind. Eng. Chem. Res. 2017, 56, 143–152. [Google Scholar] [CrossRef]
- Ahmadian, Z.; Kazeminava, F.; Afrouz, M.; Abbaszadeh, M.; Mehr, N.T.; Shiran, J.A.; Gouda, C.; Adeli, M.; Kafil, H.S. A review on the impacts of metal/metal nanoparticles on characteristics of hydrogels: Special focus on carbohydrate polymers. Int. J. Biol. Macromol. 2023, 253, 126535. [Google Scholar] [CrossRef]
- Ma, L.; Su, Y.; Chen, J.; Xu, J. Silica/Chitosan Core-Shell Hybrid-Microsphere-Supported Pd Catalyst for Hydrogenation of Cyclohexene Reaction. Ind. Eng. Chem. Res. 2017, 56, 12655–12662. [Google Scholar] [CrossRef]
- Zhang, C.; Lu, D.; Jiang, P.; Li, J.; Leng, Y. Thiol Functionalized Cross-Linked Chitosan Polymer Supporting Palladium for Oxidative Heck Reaction and Reduction of p-Nitrophenol. Catal. Lett. 2017, 147, 2534–2541. [Google Scholar] [CrossRef]
- Barskiy, D.A.; Kovtunov, K.V.; Primo, A.; Corma, A.; Kaptein, R.; Koptyug, I.V. Selective Hydrogenation of 1,3-Butadiene and 1-Butyne over a Rh/Chitosan Catalyst Investigated by using Parahydrogen-Induced Polarization. ChemCatChem 2012, 4, 2031–2035. [Google Scholar] [CrossRef]
- Patil, R.D.; Shelte, A.R.; Biradar, A.V.; Pratihar, S. Sustainable and selective transfer hydrogenation using waste shrimp shell-based tetrazene-Ru (II) para-cymene catalyst with ethanol as a hydrogen source. Appl. Organomet. Chem. 2023, 37, e7221. [Google Scholar] [CrossRef]
- Liu, J.; Li, P.; Jiang, R.; Liu, P.; Zheng, X.-C. Ru Nanoparticles Immobilized on Chitosan as Effective Catalysts for Boosting NH3BH3 Hydrolysis. ChemCatChem 2021, 13, 4142–4150. [Google Scholar] [CrossRef]
- Mousavi, H. A comprehensive survey upon diverse and prolific applications of chitosan-based catalytic systems in one-pot multi-component synthesis of heterocyclic rings. Int. J. Biol. Macromol. 2021, 186, 1003–1166. [Google Scholar] [CrossRef] [PubMed]
- Paganelli, S.; Alam, M.; Beghetto, V.; Scrivanti, A.; Amadio, E.; Bertoldini, M.; Matteoli, U. A pyridyl-triazole ligand for ruthenium and iridium catalyzed CC and CO hydrogenations in water/organic solvent biphasic systems. Appl. Catal. A Gen. 2015, 503, 20–25. [Google Scholar] [CrossRef]
- Sole, R.; Buranello, C.; Bardella, N.; Di Michele, A.; Paganelli, S.; Beghetto, V. Recyclable Ir Nanoparticles for the Catalytic Hydrogenation of Biomass-Derived Carbonyl Compounds. Catalysts 2021, 11, 914. [Google Scholar] [CrossRef]
- Matteoli, U.; Beghetto, V.; Scrivanti, A.; Aversa, M.; Bertoldini, M.; Bovo, S. An alternative stereoselective synthesis of (R)- and (S)-Rosaphen® via asymmetric catalytic hydrogenation. Chirality 2011, 23, 779–783. [Google Scholar] [CrossRef] [PubMed]
- Piccolo, O.; Arčon, I.; Aquilante, G.; Prai, A.; Paganelli, S.; Facchin, M.; Beghetto, V. Synthesis of Helional by Hydrodechlorination Reaction in the Presence of Mono and Bi-metallic Catalysts Supported on Alumina. Catalysts 2024, 14, 255. [Google Scholar] [CrossRef]
- Patil, K.N.; Manikanta, P.; Srinivasappa, P.M.; Jadhav, A.H.; Nagaraja, B.M. State-of-the-art and perspectives in transition metal-based heterogeneous catalysis for selective hydrogenation of cinnamaldehyde. J. Environ. Chem. Eng. 2023, 11, 109168. [Google Scholar] [CrossRef]
- Gallezot, P.; Richard, D. Selective Hydrogenation of α,β-Unsaturated Aldehydes. Catal. Rev. 1998, 40, 81–126. [Google Scholar] [CrossRef]
- Satagopan, V.; Chandalia, S.B. Selectivity aspects in the multi-phase hydrogenation of α,β-unsaturated aldehydes over supported noble metal catalysts: Part I. J. Chem. Technol. Biotechnol. 1994, 59, 257–263. [Google Scholar] [CrossRef]
- Claus, P. Selective hydrogenation of ά,β-unsaturated aldehydes and other C=O and C=C bonds containing compounds. Top. Catal. 1998, 5, 51–62. [Google Scholar] [CrossRef]
- Tan, J.; Jiang, M.; Yu, K.; Song, Y.; Zhang, W.; Gao, Q. Recent progress of Cu-based electrocatalysts for upgrading biomass-derived furanic compounds. Catal. Sci. Technol. 2023, 13, 2899–2921. [Google Scholar] [CrossRef]
- Zhang, J.; Wu, D. Aqueous phase catalytic hydrogenation of furfural to furfuryl alcohol over in-situ synthesized Cu–Zn/SiO2 catalysts. Mater. Chem. Phys. 2021, 260, 124152. [Google Scholar] [CrossRef]
- Zhao, M.; Yang, N.; Li, Z.; Xie, H. MOFs Derived Catalysts Prepared by Pyrolysis for Hydrogenation of Bio-Based Furfural: A Mini-Review. ChemistrySelect 2020, 5, 13681–13689. [Google Scholar] [CrossRef]
- Luneau, M.; Lim, J.S.; Patel, D.A.; Sykes, E.C.H.; Friend, C.M.; Sautet, P. Guidelines to Achieving High Selectivity for the Hydrogenation of α,β-Unsaturated Aldehydes with Bimetallic and Dilute Alloy Catalysts: A Review. Chem. Rev. 2020, 120, 12834–12872. [Google Scholar] [CrossRef]
- Wang, X.; Qi, X.; Qiu, M.; Shen, F.; Yang, J.; Shen, B. Bimetallic ordered mesoporous carbon from lignin for catalytic selective hydrogenation of levulinic acid to γ-valerolactone. Fuel 2023, 341, 127720. [Google Scholar] [CrossRef]
- Tang, Y.; Fu, J.; Wang, Y.; Guo, H.; Qi, X. Bimetallic Ni-Zn@OMC catalyst for selective hydrogenation of levulinic acid to γ-valerolactone in water. Fuel Process. Technol. 2023, 240, 107559. [Google Scholar] [CrossRef]
- García-Sancho, C.; Mérida-Robles, J.M.; Cecilia-Buenestado, J.A.; Moreno-Tost, R.; Maireles-Torres, P.J. The Role of Copper in the Hydrogenation of Furfural and Levulinic Acid. Int. J. Mol. Sci. 2023, 24, 2443. [Google Scholar] [CrossRef]
- Xu, Y.; Liang, Y.; Guo, H.; Qi, X. Catalytic hydrogenation of levulinic acid to γ-valerolactone over lignin-metal coordinated carbon nanospheres in water. Int. J. Biol. Macromol. 2023, 240, 124451. [Google Scholar] [CrossRef] [PubMed]
- Ftouni, J.; Genuino, H.C.; Muñoz-Murillo, A.; Bruijnincx, P.C.A.; Weckhuysen, B.M. Influence of Sulfuric Acid on the Performance of Ruthenium-based Catalysts in the Liquid-Phase Hydrogenation of Levulinic Acid to γ-Valerolactone. ChemSusChem 2017, 10, 2891–2896. [Google Scholar] [CrossRef]
- Harrad, M.A.; Boualy, B.; El Firdoussi, L.; Mehdi, A.; Santi, C.; Giovagnoli, S.; Nocchetti, M.; Ali, M.A. Colloidal nickel(0)-carboxymethyl cellulose particles: A biopolymer-inorganic catalyst for hydrogenation of nitro-aromatics and carbonyl compounds. Catal. Commun. 2013, 32, 92–100. [Google Scholar] [CrossRef]
- Lv, Y.; Han, M.; Gong, W.; Wang, D.; Chen, C.; Wang, G.; Zhang, H.; Zhao, H. Fe-Co Alloyed Nanoparticles Catalyzing Efficient Hydrogenation of Cinnamaldehyde to Cinnamyl Alcohol in Water. Angew. Chem. Int. Ed. 2020, 59, 23521–23526. [Google Scholar] [CrossRef]
- Zhou, X.; Feng, Z.; Guo, W.; Liu, J.; Li, R.; Chen, R.; Huang, J. Hydrogenation and Hydrolysis of Furfural to Furfuryl Alcohol, Cyclopentanone, and Cyclopentanol with a Heterogeneous Copper Catalyst in Water. Ind. Eng. Chem. Res. 2019, 58, 3988–3993. [Google Scholar] [CrossRef]
- Tan, J.; Cui, J.; Deng, T.; Cui, X.; Ding, G.; Zhu, Y.; Li, Y. Water-Promoted Hydrogenation of Levulinic Acid to γ-Valerolactone on Supported Ruthenium Catalyst. ChemCatChem 2015, 7, 508–512. [Google Scholar] [CrossRef]
- Stephan, M.; Panther, J.; Wilbert, F.; Ozog, P.; Müller, T.J.J. Heck Reactions of Acrolein or Enones and Aryl Bromides-Synthesis of 3-Aryl Propenals or Propenones and Consecutive Application in Multicomponent Pyrazole Syntheses. Eur. J. Org. Chem. 2020, 2020, 2086–2092. [Google Scholar] [CrossRef]
- Sole, R.; Gatto, V.; Conca, S.; Bardella, N.; Morandini, A.; Beghetto, V. Sustainable triazine-based dehydro-condensation agents for amide synthesis. Molecules 2021, 26, 191. [Google Scholar] [CrossRef] [PubMed]
- Beghetto, V.; Gatto, V.; Conca, S.; Bardella, N.; Scrivanti, A. Polyamidoamide dendrimers and cross-linking agents for stabilized bioenzymatic resistant metal-free bovine collagen. Molecules 2019, 24, 3611. [Google Scholar] [CrossRef]
- Scrivanti, A.; Bortoluzzi, M.; Sole, R.; Beghetto, V. Synthesis and characterization of yttrium, europium, terbium and dysprosium complexes containing a novel type of triazolyl–oxazoline ligand. Chem. Pap. 2018, 72, 799–808. [Google Scholar] [CrossRef]
- Harrad, M.A.; Valerga, P.; Puerta, M.C.; Houssini, I.; Ali, M.A.; El Firdoussi, L.; Karim, A. Ni(0)-CMC-Na Nickel Colloids in Sodium Carboxymethyl-Cellulose: Catalytic Evaluation in Hydrogenation Reactions. Molecules 2011, 16, 367–372. [Google Scholar] [CrossRef] [PubMed]
- Xiao, J.; Lu, Z.; Li, Y. Carboxymethylcellulose-Supported Palladium Nanoparticles Generated in Situ from Palladium(II) Carboxymethylcellulose: An Efficient and Reusable Catalyst for Suzuki-Miyaura and Mizoroki-Heck Reactions. Ind. Eng. Chem. Res. 2015, 54, 790–797. [Google Scholar] [CrossRef]
- Qu, L.; Yu, H.; Yu, F.; Yuan, B.; Xie, C.; Yu, S. Catalytic reduction of α-pinene using Ru nanoparticles stabilized by modified carboxymethyl cellulose. Appl. Surf. Sci. 2018, 453, 271–279. [Google Scholar] [CrossRef]
- Ziegler-Borowska, M.; Chełminiak, D.; Kaczmarek, H. Thermal stability of magnetic nanoparticles coated by blends of modified chitosan and poly(quaternary ammonium) salt. J. Therm. Anal. Calorim. 2014, 119, 499–506. [Google Scholar] [CrossRef]
- Corazzari, I.; Nisticò, R.; Turci, F.; Faga, M.G.; Franzoso, F.; Tabasso, S.; Magnacca, G. Advanced physico-chemical characterization of chitosan by means of TGA coupled on-line with FTIR and GCMS: Thermal degradation and water adsorption capacity. Polym. Degrad. Stab. 2015, 112, 1–9. [Google Scholar] [CrossRef]
- Anan, N.A.; Hassan, S.M.; Saad, E.M.; Butler, I.S.; Mostafa, S.I. Preparation, characterization and pH-metric measurements of 4-hydroxysalicylidenechitosan Schiff-base complexes of Fe(III), Co(II), Ni(II), Cu(II), Zn(II), Ru(III), Rh(III), Pd(II) and Au(III). Carbohydr. Res. 2011, 346, 775–793. [Google Scholar] [CrossRef] [PubMed]
- Gniewek, A.; Trzeciak, A.M. Rh(0) Nanoparticles: Synthesis, Structure and Catalytic Application in Suzuki-Miyaura Reaction and Hydrogenation of Benzene. Top. Catal. 2013, 56, 1239–1245. [Google Scholar] [CrossRef][Green Version]
- Ghosh, S.; Ghosh, M.; Rao, C.N.R. Nanocrystals, Nanorods and other Nanostructures of Nickel, Ruthenium, Rhodium and Iridium prepared by a Simple Solvothermal Procedure. J. Clust. Sci. 2007, 18, 97–111. [Google Scholar] [CrossRef]
- Hao, J.; Zhang, Y.; Zhang, T.; Zhou, H.; Liu, Q.; Zhi, K.; Li, N.; He, R. A novel and highly efficient Zr-containing catalyst supported by biomass-derived sodium carboxymethyl cellulose for hydrogenation of furfural. Front. Chem. 2022, 10, 966270. [Google Scholar] [CrossRef]
- Gatto, V.; Conca, S.; Bardella, N.; Beghetto, V. Efficient triazine derivatives for collagenous materials stabilization. Materials 2021, 14, 3069. [Google Scholar] [CrossRef]
- Morandini, A.; Leonetti, B.; Riello, P.; Sole, R.; Gatto, V.; Caligiuri, I.; Rizzolio, F.; Beghetto, V. Synthesis and Antimicrobial Evaluation of Bis-morpholine Triazine Quaternary Ammonium Salts. ChemMedChem 2021, 16, 3172–3176. [Google Scholar] [CrossRef]
- Beghetto, V.; Bardella, N.; Samiolo, R.; Gatto, V.; Conca, S.; Sole, R.; Molin, G.; Gattolin, A.; Ongaro, N. By-products from mechanical recycling of polyolefins improve hot mix asphalt performance. J. Clean. Prod. 2021, 318, 128627. [Google Scholar] [CrossRef]
- Scrivanti, A.; Beghetto, V.; Bertoldini, M. New insights into the alkoxycarbonylation of propargyl alcohol. Mol. Catal. 2017, 443, 38–42. [Google Scholar] [CrossRef]
- Scrivanti, A.; Sole, R.; Bortoluzzi, M.; Beghetto, V.; Bardella, N.; Dolmella, A. Synthesis of new triazolyl-oxazoline chiral ligands and study of their coordination to Pd(II) metal centers. Inorganica Chim. Acta 2019, 498, 119129. [Google Scholar] [CrossRef]
- Han, Q.; Liu, Y.; Wang, D.; Yuan, F.; Niu, X.; Zhu, Y. Effect of Carbon Supported Pt Catalysts on Selective Hydrogenation of Cinnamaldehyde. J. Chem. 2016, 2016, 4563832. [Google Scholar] [CrossRef]
- Lan, X.; Wang, T. Highly selective catalysts for the hydrogenation of unsaturated aldehydes: A review. ACS Catal. 2020, 10, 2764–2790. [Google Scholar] [CrossRef]
- Sole, R.; Bortoluzzi, M.; Spannenberg, A.; Tin, S.; Beghetto, V.; de Vries, J.G. Synthesis, characterization and catalytic activity of novel ruthenium complexes bearing NNN click based ligands. Dalton Trans. 2019, 48, 13580–13588. [Google Scholar] [CrossRef]
- Liu, Q.; Li, Y.; Fan, Y.; Su, C.-Y.; Li, G. Chemoselective hydrogenation of α,β-unsaturated aldehydes over Rh nanoclusters confined in a metal–organic framework. J. Mater. Chem. A 2020, 8, 11442–11447. [Google Scholar] [CrossRef]
- Singh, B.K.; Lee, S.; Na, K. An overview on metal-related catalysts: Metal oxides, nanoporous metals and supported metal nanoparticles on metal organic frameworks and zeolites. Rare Met. 2020, 39, 751–766. [Google Scholar] [CrossRef]
- Ndolomingo, M.J.; Bingwa, N.; Meijboom, R. Review of supported metal nanoparticles: Synthesis methodologies, advantages and application as catalysts. J. Mater. Sci. 2020, 55, 6195–6241. [Google Scholar] [CrossRef]
- Singh, N.; Ogunseitan, O.A.; Wong, M.H.; Tang, Y. Sustainable materials alternative to petrochemical plastics pollution: A review analysis. Sustain. Horizons 2022, 2, 100016. [Google Scholar] [CrossRef]
- Stangel, C.; Charalambidis, G.; Varda, V.; Coutsolelos, A.G.; Kostas, I.D. Aqueous-Organic Biphasic Hydrogenation of trans-Cinnamaldehyde Catalyzed by Rhodium and Ruthenium Phosphane-Free Porphyrin Complexes. Eur. J. Inorg. Chem. 2011, 2011, 4709–4716. [Google Scholar] [CrossRef]
- Signoretto, M.; Taghavi, S.; Ghedini, E.; Menegazzo, F. Catalytic Production of Levulinic Acid (LA) from Actual Biomass. Molecules 2019, 24, 2760. [Google Scholar] [CrossRef] [PubMed]
- Leal Silva, J.F.; MacIel Filho, R.; Wolf MacIel, M.R. Process Design and Technoeconomic Assessment of the Extraction of Levulinic Acid from Biomass Hydrolysate Using n-Butyl Acetate, Hexane, and 2-Methyltetrahydrofuran. Ind. Eng. Chem. Res. 2020, 59, 11031–11041. [Google Scholar] [CrossRef]
- Obregón, I.; Gandarias, I.; Al-Shaal, M.G.; Mevissen, C.; Arias, P.L.; Palkovits, R. The Role of the Hydrogen Source on the Selective Production of γ-Valerolactone and 2-Methyltetrahydrofuran from Levulinic Acid. ChemSusChem 2016, 9, 2488–2495. [Google Scholar] [CrossRef]
- Tan, J.; Cui, J.; Ding, G.; Deng, T.; Zhu, Y.; Li, Y.-W. Efficient aqueous hydrogenation of levulinic acid to γ-valerolactone over a highly active and stable ruthenium catalyst. Catal. Sci. Technol. 2016, 6, 1469–1475. [Google Scholar] [CrossRef]
- Scrivanti, A.; Beghetto, V.; Bertoldini, M.; Matteoli, U. Catalyst-Free Suzuki-Type Coupling of Allylic Bromides with Arylboronic Acids. Eur. J. Org. Chem. 2012, 2012, 264–268. [Google Scholar] [CrossRef]
- Sole, R.; Cappellazzo, J.; Scalchi, L.; Paganelli, S.; Beghetto, V. Synthesis of 2-Alkylaryl and Furanyl Acetates by Palladium Catalyzed Carbonylation of Alcohols. Catalysts 2022, 12, 883. [Google Scholar] [CrossRef]
- Nemanashi, M.; Noh, J.-H.; Meijboom, R. Hydrogenation of biomass-derived levulinic acid to γ-valerolactone catalyzed by mesoporous supported dendrimer-derived Ru and Pt catalysts: An alternative method for the production of renewable biofuels. Appl. Catal. A Gen. 2018, 550, 77–89. [Google Scholar] [CrossRef]









| Entry | MNP(0)-CS | p(H2) (atm) | T (°C) | Conv. (%) a | II(%) a | III(%) a | IV(%) a |
|---|---|---|---|---|---|---|---|
| 1 | Rh(0)-CS | 10 | 80 | 100 | 84 | 3 | 13 |
| 1r1 | 100 | 82 | 0 | 18 | |||
| 1r2 | 96 | 71 | 15 | 14 | |||
| 1r3 | 97 | 71 | 14 | 15 | |||
| 2 b | Rh(0)-CS | 10 | 80 | 32 | 91 | 3 | 6 |
| 3 | Rh(0)-CS | 5 | 80 | 52 | 81 | 13 | 6 |
| 4 | Rh(0)-CS | 10 | 50 | 25 | 96 | 0 | 4 |
| 5 c | Rh(0)-CS | 10 | 80 | 19 | 100 | 0 | 0 |
| 6 | Ru(0)-CS | 10 | 80 | 45 | 78 | 9 | 13 |
| 7 | Ru(0)-CS | 20 | 80 | 53 | 60 | 17 | 23 |
| 8 | Ru(0)-CS | 10 | 100 | 62 | 52 | 21 | 27 |
| 9 | Ru(0)-CS | 20 | 100 | 97 | 20 | 23 | 57 |
| 9r1 | 97 | 19 | 22 | 56 | |||
| 9r2 | 95 | 13 | 0 | 87 | |||
| 9r3 | 97 | 14 | 2 | 84 | |||
| 9r4 | 96 | 13 | 5 | 82 |
| Entry | MNP(0)-CS | M/S | t(h) | p(H2) (atm) | T (°C) | Conv (%) a | VI (%) a |
|---|---|---|---|---|---|---|---|
| 1 | Rh(0)-CS | 1/100 | 16 | 20 | 80 | 100 | 100 |
| 2 | Rh(0)-CS | 1/100 | 16 | 10 | 80 | 100 | 100 |
| 3 | Rh(0)-CS | 1/100 | 16 | 10 | 50 | 100 | 100 |
| 3r1 | 1/100 | 68 | 68 | ||||
| 4 | Rh(0)-CS | 1/100 | 16 | 5 | 50 | 36 | 36 |
| 5 | Ru(0)-CS | 1/100 | 16 | 5 | 50 | 100 | 100 |
| 6 | Ru(0)-CS | 1/100 | 4 | 5 | 50 | 100 | 100 |
| 7 | Ru(0)-CS | 1/100 | 4 | 2 | 50 | 100 | 100 |
| 7r1 | 100 | 100 | |||||
| 8 | Ru(0)-CS | 1/100 | 4 | 2 | 50 | 100 | 100 |
| 9 | Ru(0)-CS | 1/100 | 4 | 1 | 50 | 100 | 100 |
| 9r1 | 99 | 99 | |||||
| 9r2 | 99 | 99 | |||||
| 9r3 | 99 | 99 | |||||
| 10 | Ru(0)-CS | 1/200 | 4 | 5 | 50 | 100 | 100 |
| 10r1 | 87 | 87 | |||||
| 10r2 | 85 | 85 | |||||
| 10r3 | 85 | 85 | |||||
| 11 | Ru(0)-CS | 1/500 | 16 | 20 | 80 | 100 | 100 |
| 11r1 | 100 | 100 | |||||
| 11r2 | 100 | 100 | |||||
| 11r3 | 100 | 100 |
Disclaimer/Publisher’s Note: The statements, opinions and data contained in all publications are solely those of the individual author(s) and contributor(s) and not of MDPI and/or the editor(s). MDPI and/or the editor(s) disclaim responsibility for any injury to people or property resulting from any ideas, methods, instructions or products referred to in the content. |
© 2024 by the authors. Licensee MDPI, Basel, Switzerland. This article is an open access article distributed under the terms and conditions of the Creative Commons Attribution (CC BY) license (https://creativecommons.org/licenses/by/4.0/).
Share and Cite
Paganelli, S.; Brugnera, E.; Di Michele, A.; Facchin, M.; Beghetto, V. Chitosan as a Bio-Based Ligand for the Production of Hydrogenation Catalysts. Molecules 2024, 29, 2083. https://doi.org/10.3390/molecules29092083
Paganelli S, Brugnera E, Di Michele A, Facchin M, Beghetto V. Chitosan as a Bio-Based Ligand for the Production of Hydrogenation Catalysts. Molecules. 2024; 29(9):2083. https://doi.org/10.3390/molecules29092083
Chicago/Turabian StylePaganelli, Stefano, Eleonora Brugnera, Alessandro Di Michele, Manuela Facchin, and Valentina Beghetto. 2024. "Chitosan as a Bio-Based Ligand for the Production of Hydrogenation Catalysts" Molecules 29, no. 9: 2083. https://doi.org/10.3390/molecules29092083
APA StylePaganelli, S., Brugnera, E., Di Michele, A., Facchin, M., & Beghetto, V. (2024). Chitosan as a Bio-Based Ligand for the Production of Hydrogenation Catalysts. Molecules, 29(9), 2083. https://doi.org/10.3390/molecules29092083

