Construction of Bi2WO6/g-C3N4 Z-Scheme Heterojunction and Its Enhanced Photocatalytic Degradation of Tetracycline with Persulfate under Solar Light
Abstract
1. Introduction
2. Results and Discussion
2.1. Structure and Morphology Analyses
2.1.1. FT-IR Analysis
2.1.2. XRD Analysis
2.1.3. XPS Analysis
2.1.4. FE-SEM and EDS Analysis
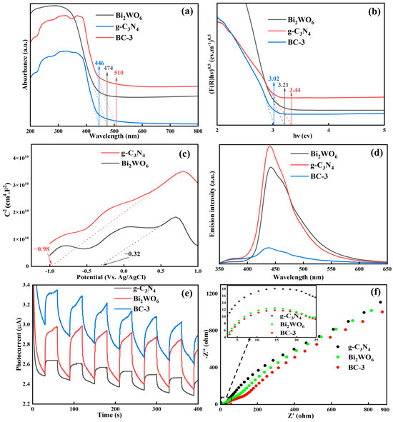
2.2. Optical and Photoelectrochemical Properties
2.2.1. UV-Vis DRS Analysis
2.2.2. PL Analysis
2.2.3. Electrochemical Analysis
2.2.4. BET Analysis
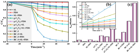
2.3. Comparative Tests on TC Removal
2.4. Parameters Impacting on TC Degradation
2.4.1. Effect of the Bi2WO6 Doping Ratio
2.4.2. Influence of the Catalyst BC-3 Dosage
2.4.3. Influence of TC Concentration
2.4.4. Influence of PDS Dose
2.4.5. Influence of Initial Solution pH
2.4.6. Influence of Co-Existing Components
2.4.7. Stability Assessment
2.4.8. ROSs and Reaction Mechanisms in BC-3/SL/PDS System
3. Experimental Section
3.1. Preparation of Bi2WO6/g-C3N4
3.2. Characterization
3.3. Photocatalytic Degradation
4. Conclusions
Author Contributions
Funding
Institutional Review Board Statement
Informed Consent Statement
Data Availability Statement
Conflicts of Interest
References
- Salehi, M. Global water shortage and potable water safety; Today’s concern and tomorrow’s crisis. Environ. Int. 2022, 158, 106936. [Google Scholar] [CrossRef]
- He, C.; Liu, Z.; Wu, J.; Pan, X.; Fang, Z.; Li, J.; Bryan, B.A. Future global urban water scarcity and potential solutions. Nat. Commun. 2021, 12, 4667. [Google Scholar] [CrossRef]
- Haddaoui, I.; Mateo-Sagasta, J. A review on occurrence of emerging pollutants in waters of the MENA region. Environ. Sci. Pollut. Res. 2021, 28, 68090–68110. [Google Scholar] [CrossRef]
- Mpatani, F.M.; Han, R.; Aryee, A.A.; Kani, A.N.; Li, Z.; Qu, L. Adsorption performance of modified agricultural waste materials for removal of emerging micro-contaminant bisphenol A: A comprehensive review. Sci. Total Environ. 2021, 780, 146629. [Google Scholar] [CrossRef] [PubMed]
- Montes-Hernandez, G.; Feugueur, L.; Vernier, C.; Van Driessche, A.E.S.; Renard, F. Efficient removal of antibiotics from water via aqueous portlandite carbonation. J. Water Process. Eng. 2023, 51, 103466. [Google Scholar] [CrossRef]
- Ding, Y.; Wang, X.; Fu, L.; Peng, X.; Pan, C.; Mao, Q.; Wang, C.; Yan, J. Nonradicals induced degradation of organic pollutants by peroxydisulfate (PDS) and peroxymonosulfate (PMS): Recent advances and perspective. Sci. Total Environ. 2021, 765, 142794. [Google Scholar] [CrossRef] [PubMed]
- Johnson, R.L.; Tratnyek, P.G.; Johnson, R.O. Persulfate persistence under thermal activation conditions. Environ. Sci. Technol. 2008, 42, 9350–9356. [Google Scholar] [CrossRef]
- Li, N.; Ye, J.; Dai, H.; Shao, P.; Liang, L.; Kong, L.; Yan, B.; Chen, G.; Duan, X. A critical review on correlating active sites, oxidative species and degradation routes with persulfate-based antibiotics oxidation. Water Res. 2023, 235, 119926. [Google Scholar] [CrossRef] [PubMed]
- Tian, D.Q.; Zhou, H.Y.; Zhang, H.; Zhou, P.; You, J.J.; Yao, G.; Pan, Z.C.; Liu, Y.; Lai, B. Heterogeneous photocatalyst-driven persulfate activation process under visible light irradiation: From basic catalyst design principles to novel enhancement strategies. Chem. Eng. J. 2022, 428, 131166. [Google Scholar] [CrossRef]
- Tan, J.; Li, Z.F.; Li, J.; Wu, J.X.; Yao, X.L.; Zhang, T.T. Graphitic carbon nitride-based materials in activating persulfate for aqueous organic pollutants degradation: A review on materials design and mechanisms. Chemosphere 2020, 262, 127675. [Google Scholar] [CrossRef]
- Zhang, M.; Yang, Y.; An, X.; Zhao, J.; Bao, Y.; Hou, L.A. Exfoliation method matters: The microstructure-dependent photoactivity of g-C3N4 nanosheets for water purification. J. Hazard. Mater. 2022, 424 Pt. B, 127424. [Google Scholar] [CrossRef]
- Das, S.; Chowdhury, A. Recent advancements of g-C3N4-based magnetic photocatalysts towards the degradation of organic pollutants: A review. Nanotechnology 2021, 33, 072004. [Google Scholar] [CrossRef] [PubMed]
- Yang, H. A short review on heterojunction photocatalysts: Carrier transfer behavior and photocatalytic mechanisms. Mater. Res. Bull. 2021, 142, 111406. [Google Scholar] [CrossRef]
- Jia, J.; Zhang, Q.Q.; Li, K.K.; Zhang, Y.T.; Liu, E.Z.; Li, X. Recent advances on g-C3N4-based Z-scheme photocatalysts: Structural design and photocatalytic applications. Int. J. Hydrog. Energy 2023, 48, 196–231. [Google Scholar] [CrossRef]
- Long, G.Y.; Ding, J.F.; Xie, L.H.; Sun, R.Z.; Chen, M.X.; Zhou, Y.F.; Huang, X.Y.; Han, G.R.; Li, Y.J.; Zhao, W.R. Fabrication of mediator-free g-C3N4/Bi2WO6 Z-scheme with enhanced photocatalytic reduction dechlorination performance of 2,4-DCP. Appl. Surf. Sci. 2018, 455, 1010–1018. [Google Scholar] [CrossRef]
- Zhao, P.; Jin, B.; Zhang, Q.C.; Peng, R.F. Fabrication of g-C3N4/Bi2WO6 as a direct Z-scheme excellent photocatalyst. New J. Chem. 2022, 46, 5751–5760. [Google Scholar] [CrossRef]
- Liu, Z.; Gao, F.; Zhang, S.; Zhang, Y.; Sun, H.; Liu, B.; Zhang, J.; Kong, M.; Fang, M.; Tan, X. Self-heating effect of g-C3N4/Bi2WO6 on the photodegradation of tetracycline: A deep understanding. J. Alloys Compd. 2023, 938, 168630. [Google Scholar] [CrossRef]
- Koutavarapu, R.; Tamtam, M.R.; Lee, S.G.; Rao, M.C.; Lee, D.Y.; Shim, J. Synthesis of 2D NiFe2O4 nanoplates/2D Bi2WO6 nanoflakes heterostructure: An enhanced Z-scheme charge transfer and separation for visible-light-driven photocatalytic degradation of toxic pollutants. J. Environ. Eng. 2021, 9, 164500. [Google Scholar] [CrossRef]
- Pan, J.Q.; Wang, P.H.; Wang, P.P.; Yu, Q.; Wang, J.J.; Song, C.S.; Zheng, Y.Y.; Li, C.R. The photocatalytic overall water splitting hydrogen production of g-C3N4/CdS hollow core-shell heterojunction via the HER/OER matching of Pt/MnOx. Chem. Eng. J. 2021, 405, 126622. [Google Scholar] [CrossRef]
- Lian, X.Y.; Xue, W.H.; Dong, S.; Liu, E.Z.; Li, H.; Xu, K.Z. Construction of S-scheme Bi2WO6/g-C3N4 heterostructure nanosheets with enhanced visible-light photocatalytic degradation for ammonium dinitramide. J. Hazard. Mater. 2021, 412, 125217. [Google Scholar] [CrossRef]
- Liu, C.H.; Dai, H.L.; Tan, C.Q.; Pan, Q.Y.; Hu, F.P.; Peng, X.M. Photo-Fenton degradation of tetracycline over Z-scheme Fe-g-C3N4/Bi2WO6 heterojunctions: Mechanism insight, degradation pathways and DFT calculation. Appl. Catal. B 2022, 310, 121362. [Google Scholar] [CrossRef]
- Kim, M.G.; Jo, W.K. Visible-light-activated N-doped CQDs/g-C3N4/Bi2WO6 nanocomposites with different component arrangements for the promoted degradation of hazardous vapors. J. Mater. Sci. Technol. 2020, 40, 168–175. [Google Scholar] [CrossRef]
- Sattari, M.; Farhadian, M.; Nazar, A.R.S.; Moghadam, M. Enhancement of Phenol degradation, using of novel Z-scheme Bi2WO6/C3N4/TiO2 composite: Catalyst and operational parameters optimization. J. Photochem. Photobiol. A 2022, 431, 114065. [Google Scholar] [CrossRef]
- Du, F.Y.; Lai, Z.; Tang, H.Y.; Wang, H.Y.; Zhao, C.X. Construction of dual Z-scheme Bi2WO6/g-C3N4/black phosphorus quantum dots composites for effective bisphenol A degradation. J. Environ. Sci. 2023, 124, 617–629. [Google Scholar] [CrossRef] [PubMed]
- Xue, X.L.; Chen, X.Y.; Zhang, Z.Y.; Fan, G.F.; Ma, T.T. Improved ionic organic pollutant degradation under visible light by Ag SPR-promoted phosphorus-doped g-C3N4/AgBr/Bi2WO6 with excellent charge transfer capacity and high surface area. J. Alloys Compd. 2023, 930, 167457. [Google Scholar] [CrossRef]
- Xiong, X.S.; Zhang, J.; Chen, C.; Yang, S.; Lin, J.C.; Xi, J.H.; Kong, Z. Novel 0D/2D Bi2WO6/MoSSe Z-scheme heterojunction for enhanced photocatalytic degradation and photoelectrochemical activity. Ceram. Int. 2022, 48, 31970–31983. [Google Scholar] [CrossRef]
- Zhao, X.Z.; Xia, Y.G.; Wang, X.; Wen, N.; Li, H.P.; Jiao, X.L.; Chen, D.R. Promoted photocarriers separation in atomically thin BiOCl/Bi2WO6 heterostructure for solar-driven photocatalytic CO2 reduction. Chem. Eng. J. 2022, 449, 137874. [Google Scholar] [CrossRef]
- Kang, Z.H.; Ke, K.H.; Lin, E.Z.; Qin, N.; Wu, J.; Huang, R.; Bao, D.H. Piezoelectric polarization modulated novel Bi2WO6/g-C3N4/ZnO Z-scheme heterojunctions with g-C3N4 intermediate layer for efficient piezo-photocatalytic decomposition of harmful organic pollutants. J. Colloid. Interface Sci. 2022, 607, 1589–1602. [Google Scholar] [CrossRef] [PubMed]
- Rabanimehr, F.; Farhadian, M.; Nazar, A.R.S.; Moghadam, M. Fabrication of Z-scheme Bi2WO6/CNT/TiO2 heterostructure with enhanced cephalexin photodegradation: Optimization and reaction mechanism. J. Mol. Liq. 2021, 339, 1010–1018. [Google Scholar] [CrossRef]
- Zhang, Y.L.; Zhao, Y.C.; Xiong, Z.; Xiao, R.H.; Gao, T.; Liu, P.F.; Liu, J.; Zhang, J.Y. Fabrication of Z-scheme V-O-Bi2WO6/g-C3N4 heterojunction composite with visible-light-driven photocatalytic performance for elemental mercury removal. Chem. Eng. J. 2021, 425, 131537. [Google Scholar] [CrossRef]
- Hu, M.; Zhu, P.F.; Liu, M.; Xu, J.; Duan, M.; Lin, J.R. Construction of Ag3PO4/TiO2/C with p-n heterojunction using Shiff base-Ti complex as precursor: Preparation, performance and mechanism. Powder Technol. 2021, 393, 597–609. [Google Scholar] [CrossRef]
- Li, Y.K.; Chen, L.; Wang, Y.; Zhu, L. Advanced nanostructured photocatalysts based on reduced graphene oxide-flower-like Bi2WO6 composites for an augmented simulated solar photoactivity activity. Mater. Sci. Eng. B-Adv. 2016, 210, 29–36. [Google Scholar] [CrossRef]
- Sarkar, P.; De, S.R.D.; Neogi, S. Microwave assisted facile fabrication of dual Z-scheme g-C3N4/ZnFe2O4/Bi2S3 photocatalyst for peroxymonosulphate mediated degradation of 2,4,6-Trichlorophenol: The mechanistic insights. Appl. Catal. B 2022, 307, 121165. [Google Scholar] [CrossRef]
- Zhang, M.; Zhang, Y.; Tang, L.; Zeng, G.; Wang, J.; Zhu, Y.; Feng, C.; Deng, Y.; He, W. Ultrathin Bi2WO6 nanosheets loaded g-C3N4 quantum dots: A direct Z-scheme photocatalyst with enhanced photocatalytic activity towards degradation of organic pollutants under wide spectrum light irradiation. J. Colloid Interface Sci. 2019, 539, 654–664. [Google Scholar] [CrossRef] [PubMed]
- Zhang, R.; Zeng, K.L. A novel flower-like dual Z-scheme BiSI/Bi2WO6/g-C3N4 photocatalyst has excellent photocatalytic activity for the degradation of organic pollutants under visible light. Diam. Relat. Mater. 2021, 115, 108343. [Google Scholar] [CrossRef]
- Dou, X.C.; Li, Q.Q.; Shi, H.F. Ag nanoparticle-decorated 2D/2D S-scheme g-C3N4/Bi2WO6 heterostructures for an efficient photocatalytic degradation of tetracycline. Crystengcomm 2021, 23, 4638–4647. [Google Scholar] [CrossRef]
- Chu, Y.Y.; Fan, J.R.; Wang, R.; Liu, C.; Zheng, X.L. Preparation and immobilization of Bi2WO6/BiOI/g-C3N4 nanoparticles for the photocatalytic degradation of tetracycline and municipal waste transfer station leachate. Sep. Purif. Technol. 2022, 300, 121867. [Google Scholar] [CrossRef]
- Li, Y.K.; Zhang, D.; Chen, Q.S.; Chao, C.; Sun, J.H.; Dong, S.Y.; Sun, Y.Y. Synthesis of rGO/g-C3N4 for methyl orange degradation in activating peroxydisulfate under simulated solar light irradiation. J. Alloys Compd. 2022, 907, 164500. [Google Scholar] [CrossRef]









| Process | Antibiotic | Operating Conditions | Degradation Rate | kobs (min−1) | Ref. |
|---|---|---|---|---|---|
| CNQDs/BWO + vis | TC | [pH]: - [Catalyst]: 1.0 g/L [Nor]: 20 mg/L [Time]: 60 min | 87.0% | - | [34] |
| flower-like dual Z-scheme BiSI/Bi2WO6/g-C3N4 + vis | TC | [pH]: - [Catalyst]: 0.6 g/L [Nor]: 20 mg/L [Time]: 60 min | 90.0% | - | [35] |
| Agx/Bi2WO6/g-C3N4 + vis | TC | [pH]: - [Catalyst]: 0.5 g/L [Nor]: 15 mg/L [Time]: 60 min | 81.4% | 0.028 min−1 | [36] |
| Bi2WO6/BiOI/g-C3N4 nanoparticles + vis | TC | [pH]: 9.0 [Catalyst]: 1.0 g/L [Nor]: 20 mg/L [Time]: 120 min | 94.5% | - | [37] |
| Bi2WO6/g-C3N4 + SL + PDS | TC | [pH]: 6.49 [Catalyst]: 0.4 g/L [Nor]: 20 mg/L [Time]: 60 min | 98.0% | 0.0446 min−1 | This work |
Disclaimer/Publisher’s Note: The statements, opinions and data contained in all publications are solely those of the individual author(s) and contributor(s) and not of MDPI and/or the editor(s). MDPI and/or the editor(s) disclaim responsibility for any injury to people or property resulting from any ideas, methods, instructions or products referred to in the content. |
© 2024 by the authors. Licensee MDPI, Basel, Switzerland. This article is an open access article distributed under the terms and conditions of the Creative Commons Attribution (CC BY) license (https://creativecommons.org/licenses/by/4.0/).
Share and Cite
Li, Y.; Zhang, H.; Zhang, D.; Yao, S.; Dong, S.; Chen, Q.; Fan, F.; Jia, H.; Dong, M. Construction of Bi2WO6/g-C3N4 Z-Scheme Heterojunction and Its Enhanced Photocatalytic Degradation of Tetracycline with Persulfate under Solar Light. Molecules 2024, 29, 1169. https://doi.org/10.3390/molecules29051169
Li Y, Zhang H, Zhang D, Yao S, Dong S, Chen Q, Fan F, Jia H, Dong M. Construction of Bi2WO6/g-C3N4 Z-Scheme Heterojunction and Its Enhanced Photocatalytic Degradation of Tetracycline with Persulfate under Solar Light. Molecules. 2024; 29(5):1169. https://doi.org/10.3390/molecules29051169
Chicago/Turabian StyleLi, Yukun, Haiyang Zhang, Dan Zhang, Sen Yao, Shuying Dong, Qishi Chen, Fengjuan Fan, Hongyuan Jia, and Mingjia Dong. 2024. "Construction of Bi2WO6/g-C3N4 Z-Scheme Heterojunction and Its Enhanced Photocatalytic Degradation of Tetracycline with Persulfate under Solar Light" Molecules 29, no. 5: 1169. https://doi.org/10.3390/molecules29051169
APA StyleLi, Y., Zhang, H., Zhang, D., Yao, S., Dong, S., Chen, Q., Fan, F., Jia, H., & Dong, M. (2024). Construction of Bi2WO6/g-C3N4 Z-Scheme Heterojunction and Its Enhanced Photocatalytic Degradation of Tetracycline with Persulfate under Solar Light. Molecules, 29(5), 1169. https://doi.org/10.3390/molecules29051169
